Isothermal and Kinetic Studies for the Removal of Malachite Green and Congo Red Dyes Using Wastes from Mining and Processing Perlite in Different Particle Sizes as Sustainable Adsorbents
Abstract
:1. Introduction
2. Materials and Methods
2.1. Materials
2.2. Chemicals
2.3. Waste Characterizations
2.4. Batch Adsorption Studies
3. Results and Discussion
3.1. Characterizations
3.2. Adsorption Study
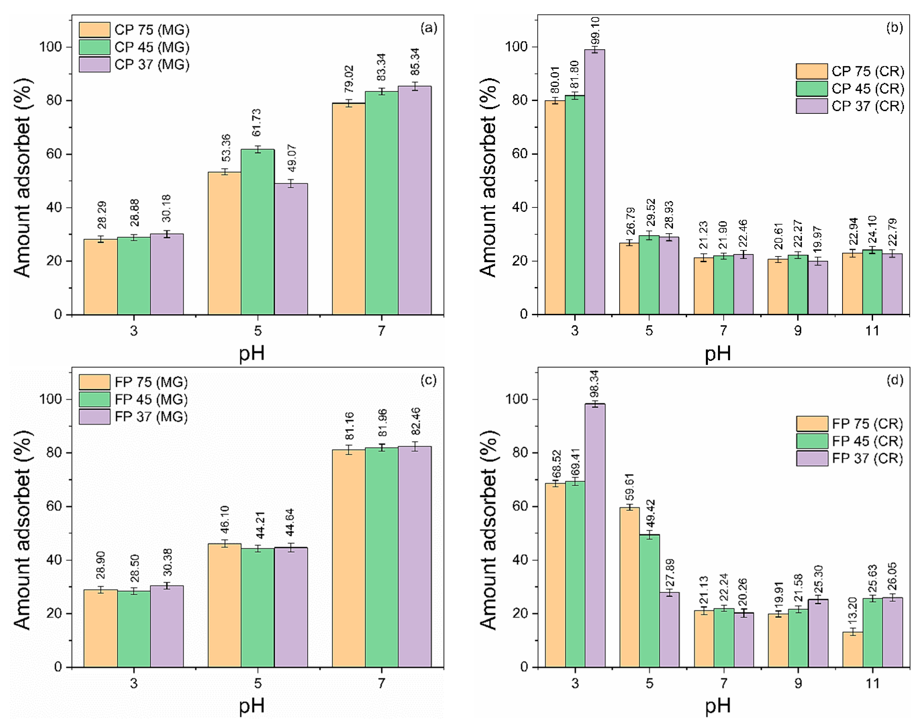
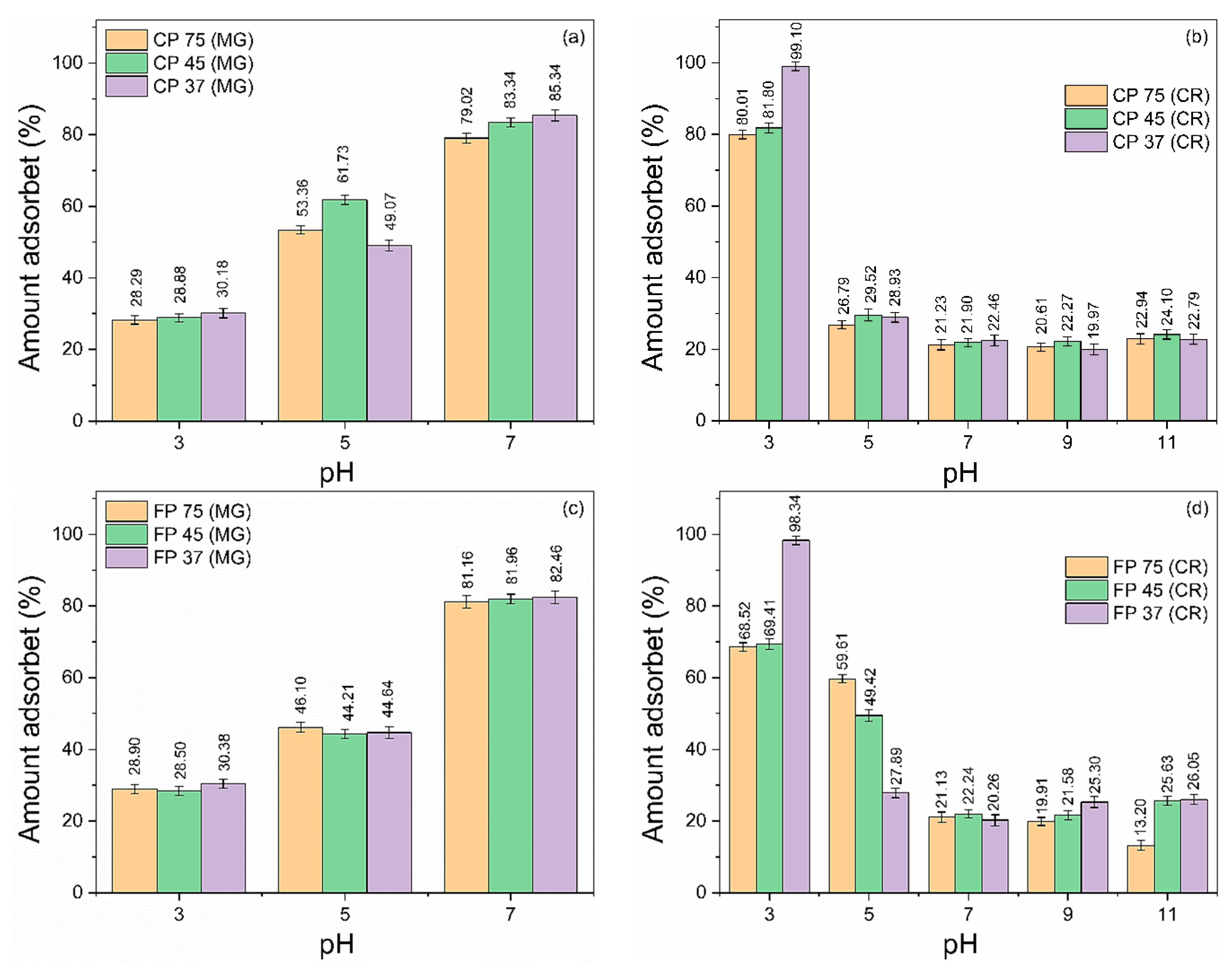
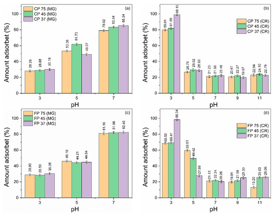
3.2.1. Effect of pH Variation
3.2.2. Effect of Initial Dye Concentration and Isothermal Study
3.2.3. Effect of Contact Time and Kinetic Study
3.2.4. Comparison with Other Sustainable Adsorbents
4. Conclusions
Author Contributions
Funding
Informed Consent Statement
Data Availability Statement
Conflicts of Interest
References
- Babuji, P.; Thirumalaisamy, S.; Duraisamy, K.; Periyasamy, G. Human Health Risks Due to Exposure to Water Pollution: A Review. Water 2023, 15, 2532. [Google Scholar] [CrossRef]
- Yu, Q.; Sun, Z.; Shen, J.; Xu, X.; Han, Q.; Zhu, M. The Nonlinear Effect of New Urbanization on Water Pollutant Emissions: Empirical Analysis Based on the Panel Threshold Model. J. Environ. Manage. 2023, 345, 118564. [Google Scholar] [CrossRef]
- Islam, T.; Repon, M.R.; Islam, T.; Sarwar, Z.; Rahman, M.M. Impact of Textile Dyes on Health and Ecosystem: A Review of Structure, Causes, and Potential Solutions. Environ. Sci. Pollut. Res. 2023, 30, 9207–9242. [Google Scholar] [CrossRef] [PubMed]
- Reghioua, A.; Barkat, D.; Jawad, A.H.; Abdulhameed, A.S.; Khan, M.R. Synthesis of Schiff’s Base Magnetic Crosslinked Chitosan-Glyoxal/ZnO/Fe3O4 Nanoparticles for Enhanced Adsorption of Organic Dye: Modeling and Mechanism Study. Sustain. Chem. Pharm. 2021, 20, 100379. [Google Scholar] [CrossRef]
- Farrokhi, Z.; Sadjadi, S.; Raouf, F.; Bahri-Laleh, N. Novel Bio-Based Pd/Chitosan-Perlite Composite Bead as an Efficient Catalyst for Rapid Decolorization of Azo Dye. Inorg. Chem. Commun. 2022, 143, 109734. [Google Scholar] [CrossRef]
- Ahmad, A.; Tariq, S.; Zaman, J.U.; Martin Perales, A.I.; Mubashir, M.; Luque, R. Recent Trends and Challenges with the Synthesis of Membranes: Industrial Opportunities towards Environmental Remediation. Chemosphere 2022, 306, 135634. [Google Scholar] [CrossRef]
- Singh, A.; Kaushik, V.; Kumari, V.; Goswami, A.; Nain, S. Impact of Variable Metal Oxide Loadings on Photocatalytic and Antibacterial Behaviour of CNT-NiO Nanocomposites. Bionanoscience 2023. [Google Scholar] [CrossRef]
- Ma, X.; Zhao, S.; Tian, Z.; Duan, G.; Pan, H.; Yue, Y.; Li, S.; Jian, S.; Yang, W.; Liu, K. MOFs Meet Wood: Reusable Magnetic Hydrophilic Composites toward Efficient Water Treatment with Super-High Dye Adsorption Capacity at High Dye Concentration. Chem. Eng. J. 2022, 446, 136851. [Google Scholar] [CrossRef]
- Zhao, J.; Xu, L.; Su, Y.; Yu, H.; Liu, H.; Qian, S.; Zheng, W.; Zhao, Y. Zr-MOFs Loaded on Polyurethane Foam by Polydopamine for Enhanced Dye Adsorption. J. Environ. Sci. 2021, 101, 177–188. [Google Scholar] [CrossRef]
- Sreelekshmi, P.B.; Pillai, R.R.; Meera, A.P. Controlled Synthesis of Novel Graphene Oxide Nanoparticles for the Photodegradation of Organic Dyes. Top. Catal. 2022, 65, 1659–1668. [Google Scholar] [CrossRef]
- You, X.; Zhou, R.; Zhu, Y.; Bu, D.; Cheng, D. Adsorption of Dyes Methyl Violet and Malachite Green from Aqueous Solution on Multi-Step Modified Rice Husk Powder in Single and Binary Systems: Characterization, Adsorption Behavior and Physical Interpretations. J. Hazard. Mater. 2022, 430, 128445. [Google Scholar] [CrossRef]
- Qiao, Q.; Zhou, H.; Guo, F.; Shu, R.; Liu, S.; Xu, L.; Dong, K.; Bai, Y. Facile and Scalable Synthesis of Mesoporous Composite Materials from Coal Gasification Fine Slag for Enhanced Adsorption of Malachite Green. J. Clean. Prod. 2022, 379, 134739. [Google Scholar] [CrossRef]
- Gharavi-nakhjavani, M.S.; Niazi, A.; Hosseini, H.; Aminzare, M.; Dizaji, R.; Tajdar-oranj, B.; Mirza Alizadeh, A. Malachite Green and Leucomalachite Green in Fish: A Global Systematic Review and Meta-Analysis. Environ. Sci. Pollut. Res. 2023, 30, 48911–48927. [Google Scholar] [CrossRef] [PubMed]
- Huang, L.-Y.; Li, W.; Du, N.; Lu, H.-Q.; Meng, L.-D.; Huang, K.-Y.; Li, K. Preparation of Quaternary Ammonium Magnetic Chitosan Microspheres and Their Application for Congo Red Adsorption. Carbohydr. Polym. 2022, 297, 119995. [Google Scholar] [CrossRef] [PubMed]
- Extross, A.; Waknis, A.; Tagad, C.; Gedam, V.V.; Pathak, P.D. Adsorption of Congo Red Using Carbon from Leaves and Stem of Water Hyacinth: Equilibrium, Kinetics, Thermodynamic Studies. Int. J. Environ. Sci. Technol. 2023, 20, 1607–1644. [Google Scholar] [CrossRef]
- Ahmadian, M.; Jaymand, M. Interpenetrating Polymer Network Hydrogels for Removal of Synthetic Dyes: A Comprehensive Review. Coord. Chem. Rev. 2023, 486, 215152. [Google Scholar] [CrossRef]
- Shi, Y.; Chang, Q.; Zhang, T.; Song, G.; Sun, Y.; Ding, G. A Review on Selective Dye Adsorption by Different Mechanisms. J. Environ. Chem. Eng. 2022, 10, 108639. [Google Scholar] [CrossRef]
- Li, D.-P.; Zhang, Y.-R.; Zhao, X.-X.; Zhao, B.-X. Magnetic Nanoparticles Coated by Aminoguanidine for Selective Adsorption of Acid Dyes from Aqueous Solution. Chem. Eng. J. 2013, 232, 425–433. [Google Scholar] [CrossRef]
- Cao, X.-L.; Yan, Y.-N.; Zhou, F.-Y.; Sun, S.-P. Tailoring Nanofiltration Membranes for Effective Removing Dye Intermediates in Complex Dye-Wastewater. J. Memb. Sci. 2020, 595, 117476. [Google Scholar] [CrossRef]
- Ravadelli, M.; da Costa, R.E.; Lobo-Recio, M.A.; Akaboci, T.R.V.; Bassin, J.P.; Lapolli, F.R.; Belli, T.J. Anoxic/Oxic Membrane Bioreactor Assisted by Electrocoagulation for the Treatment of Azo-Dye Containing Wastewater. J. Environ. Chem. Eng. 2021, 9, 105286. [Google Scholar] [CrossRef]
- Hao, N.; Nie, Y.; Xu, Z.; Jin, C.; Fyda, T.J.; Zhang, J.X.J. Microfluidics-Enabled Acceleration of Fenton Oxidation for Degradation of Organic Dyes with Rod-like Zero-Valent Iron Nanoassemblies. J. Colloid Interface Sci. 2020, 559, 254–262. [Google Scholar] [CrossRef] [PubMed]
- Silva, V.C.; Araújo, M.E.B.; Rodrigues, A.M.; Cartaxo, J.M.; Menezes, R.R.; Neves, G.A. Adsorption Behavior of Acid-Treated Brazilian Palygorskite for Cationic and Anionic Dyes Removal from the Water. Sustainability 2021, 13, 3954. [Google Scholar] [CrossRef]
- Wan, X.; Rong, Z.; Zhu, K.; Wu, Y. Chitosan-Based Dual Network Composite Hydrogel for Efficient Adsorption of Methylene Blue Dye. Int. J. Biol. Macromol. 2022, 222, 725–735. [Google Scholar] [CrossRef] [PubMed]
- Jadoun, S.; Fuentes, J.P.; Urbano, B.F.; Yáñez, J. A Review on Adsorption of Heavy Metals from Wastewater Using Conducting Polymer-Based Materials. J. Environ. Chem. Eng. 2023, 11, 109226. [Google Scholar] [CrossRef]
- Sultana, M.; Rownok, M.H.; Sabrin, M.; Rahaman, M.H.; Alam, S.M.N. A Review on Experimental Chemically Modified Activated Carbon to Enhance Dye and Heavy Metals Adsorption. Clean. Eng. Technol. 2022, 6, 100382. [Google Scholar] [CrossRef]
- Babas, H.; Kaichouh, G.; Khachani, M.; Karbane, M.E.; Chakir, A.; Guenbour, A.; Bellaouchou, A.; Warad, I.; Zarrouk, A. Equilibrium and Kinetic Studies for Removal of Antiviral Sofosbuvir from Aqueous Solution by Adsorption on Expanded Perlite: Experimental, Modelling and Optimization. Surf. Interfaces 2021, 23, 100962. [Google Scholar] [CrossRef]
- Różycka, A.; Pichór, W. Effect of Perlite Waste Addition on the Properties of Autoclaved Aerated Concrete. Constr. Build. Mater. 2016, 120, 65–71. [Google Scholar] [CrossRef]
- Sassi, W.; Msaadi, R.; Ardhaoui, N.; Ammar, S.; Nafady, A. Selective/Simultaneous Batch Adsorption of Binary Textile Dyes Using Amorphous Perlite Powder: Aspects of Central Composite Design Optimization and Mechanisms. J. Environ. Health Sci. Eng. 2023, 21, 441–454. [Google Scholar] [CrossRef]
- Khoshraftar, Z.; Masoumi, H.; Ghaemi, A. On the Performance of Perlite as a Mineral Adsorbent for Heavy Metals Ions and Dye Removal from Industrial Wastewater: A Review of the State of the Art. Case Stud. Chem. Environ. Eng. 2023, 8, 100385. [Google Scholar] [CrossRef]
- Msaadi, R.; Yahia, A.; Sassi, W.; Ammar, S. Adsorption of Methyl Orange onto Perlite: Optimization, Adsorption Kinetics, and Thermodynamic Studies. Chem. Africa 2023, 6, 933–944. [Google Scholar] [CrossRef]
- Saufi, H.; El Alouani, M.; Alehyen, S.; El Achouri, M.; Aride, J.; Taibi, M. Photocatalytic Degradation of Methylene Blue from Aqueous Medium onto Perlite-Based Geopolymer. Int. J. Chem. Eng. 2020, 2020, 9498349. [Google Scholar] [CrossRef]
- Damiyine, B.; Guenbour, A.; Boussen, R. Adsorption of Rhodamine B Dye onto Expanded Perlite from Aqueous Solution: Kinetics, Equilibrium and Thermodynamics. J. Mater. Environ. Sci. 2017, 8, 345–355. [Google Scholar]
- Loqman, A.; El Bali, B.; El Gaidoumi, A.; Boularbah, A.; Kherbeche, A.; Lützenkirchen, J. The First Application of Moroccan Perlite as Industrial Dyes Removal. Silicon 2021, 14, 2813–2838. [Google Scholar] [CrossRef]
- Kumar, M.D.K.M.; Padmanaban, R.; Kumar, M. Adsorption Modelling Studies for the Removal of Rose Bengal Dye from Aqueous Solutions Using a Natural Adsorbent Perlite. Indian J. Chem. Technol. 2022, 28, 604–611. [Google Scholar]
- Kotwica, Ł.; Pichór, W.; Kapeluszna, E.; Różycka, A. Utilization of Waste Expanded Perlite as New Effective Supplementary Cementitious Material. J. Clean. Prod. 2017, 140, 1344–1352. [Google Scholar] [CrossRef]
- Osacký, M.; Pálková, H.; Hudec, P.; Czímerová, A.; Galusková, D.; Vítková, M. Effect of Alkaline Synthesis Conditions on Mineralogy, Chemistry and Surface Properties of Phillipsite, P and X Zeolitic Materials Prepared from Fine Powdered Perlite by-Product. Microporous Mesoporous Mater. 2020, 294, 109852. [Google Scholar] [CrossRef]
- Golik, V.I.; Klyuev, R.V.; Martyushev, N.V.; Zyukin, D.A.; Karlina, A.I. Technology for Nonwaste Recovery of Tailings of the Mizur Mining and Processing Plant. Metallurgist 2023, 66, 1476–1480. [Google Scholar] [CrossRef]
- Selengil, U.; Yildiz, D. Investigation of the Methylene Blue Adsorption onto Waste Perlite. Desalin. Water Treat. 2022, 262, 235–247. [Google Scholar] [CrossRef]
- Bosikov, I.I.; Martyushev, N.V.; Klyuev, R.V.; Tynchenko, V.S.; Kukartsev, V.A.; Eremeeva, S.V.; Karlina, A.I. Complex Assessment of X-Ray Diffraction in Crystals with Face-Centered Silicon Carbide Lattice. Crystals 2023, 13, 528. [Google Scholar] [CrossRef]
- Brunauer, S.; Emmett, P.H.; Teller, E. Adsorption of Gases in Multimolecular Layers. J. Am. Chem. Soc. 1938, 60, 309–319. [Google Scholar] [CrossRef]
- Dişçi, E.; Polat, R. The Influence of Nano-CaO and Nano-Al2O3 and Curing Conditions on Perlite Based Geopolymer Concrete Produced by the One-Part Mixing Method. Constr. Build. Mater. 2022, 346, 128484. [Google Scholar] [CrossRef]
- Lexa, J.; Varga, P.; Uhlik, P.; Koděra, P.; Biroň, A.; Rajnoha, M. Perlite Deposits of the Central Slovakia Volcanic Field (Western Carpathians): Geology and Properties. Geol. Carpathica 2021, 72, 253–281. [Google Scholar] [CrossRef]
- Aziz, A.; Bellil, A.; El Amrani El Hassani, I.-E.; Fekhaoui, M.; Achab, M.; Dahrouch, A.; Benzaouak, A. Geopolymers Based on Natural Perlite and Kaolinic Clay from Morocco: Synthesis, Characterization, Properties, and Applications. Ceram. Int. 2021, 47, 24683–24692. [Google Scholar] [CrossRef]
- de Oliveira Neto, R.E.; Cartaxo, J.D.M.; Rodrigues, A.M.; Barros, S.V.A.; da Costa, F.P.; Neves, G.D.A.; Menezes, R.R. New Sustainable Mortar Compositions Containing Perlite Waste. Clean Technol. Environ. Policy 2022, 24, 1403–1415. [Google Scholar] [CrossRef]
- Chakir, A.; Bessiere, J.; Kacemi, K.E.L.; Marouf, B. A Comparative Study of the Removal of Trivalent Chromium from Aqueous Solutions by Bentonite and Expanded Perlite. J. Hazard. Mater. 2002, 95, 29–46. [Google Scholar] [CrossRef]
- Raji, M.; Nekhlaoui, S.; El Hassani, I.-E.E.A.; Essassi, E.M.; Essabir, H.; Rodrigue, D.; Bouhfid, R.; el kacem Qaiss, A. Utilization of Volcanic Amorphous Aluminosilicate Rocks (Perlite) as Alternative Materials in Lightweight Composites. Compos. Part B Eng. 2019, 165, 47–54. [Google Scholar] [CrossRef]
- Wheelwright, W.; Cooney, R.P.; Ray, S.; Zujovic, Z.; de Silva, K. Ultra-High Surface Area Nano-Porous Silica from Expanded Perlite: Formation and Characterization. Ceram. Int. 2017, 43, 11495–11504. [Google Scholar] [CrossRef]
- Sarı, A.; Sahinoglu, G.; Tuzen, M. Antimony (III) Adsorption from Aqueous Solution Using Raw Perlite and Mn-Modified Perlite: Equilibrium, Thermodynamic, and Kinetic Studies. Ind. Eng. Chem. Res. 2012, 51, 6877–6886. [Google Scholar] [CrossRef]
- Roulia, M.; Chassapis, K.; Kapoutsis, J.A.; Kamitsos, E.I.; Savvidis, T. Influence of Thermal Treatment on the Water Release and the Glassy Structure of Perlite. J. Mater. Sci. 2006, 41, 5870–5881. [Google Scholar] [CrossRef]
- Udvardi, B.; Kovács, I.J.; Fancsik, T.; Kónya, P.; Bátori, M.; Stercel, F.; Falus, G.; Szalai, Z. Effects of Particle Size on the Attenuated Total Reflection Spectrum of Minerals. Appl. Spectrosc. 2016, 71, 1157–1168. [Google Scholar] [CrossRef]
- Ali, F.; Ali, N.; Bibi, I.; Said, A.; Nawaz, S.; Ali, Z.; Salman, S.M.; Iqbal, H.M.N.; Bilal, M. Adsorption Isotherm, Kinetics and Thermodynamic of Acid Blue and Basic Blue Dyes onto Activated Charcoal. Case Stud. Chem. Environ. Eng. 2020, 2, 100040. [Google Scholar] [CrossRef]
- Aigbe, U.O.; Ukhurebor, K.E.; Onyancha, R.B.; Osibote, O.A.; Darmokoesoemo, H.; Kusuma, H.S. Fly Ash-Based Adsorbent for Adsorption of Heavy Metals and Dyes from Aqueous Solution: A Review. J. Mater. Res. Technol. 2021, 14, 2751–2774. [Google Scholar] [CrossRef]
- Kooravand, M.; Haddadi, H.; Asadpour, S.; Farhadian, S.; Sarmast, N.; Asfaram, A. Simply Synthesized Ca-Al-LDH-Thiosulfate as Adsorbent for Removal of Malachite Green from Aqueous Solution. Polyhedron 2023, 246, 116653. [Google Scholar] [CrossRef]
- Widiartyasari Prihatdini, R.; Suratman, A.; Siswanta, D. Linear and Nonlinear Modeling of Kinetics and Isotherm of Malachite Green Dye Adsorption to Trimellitic-Modified Pineapple Peel. Mater. Today Proc. 2023, 88, 33–40. [Google Scholar] [CrossRef]
- Haladu, S.A. Highly Efficient Adsorption of Malachite Green Dye onto a Cross-Linked PH-Responsive Cycloterpolymer Resin: Kinetic, Equilibrium and Thermodynamic Studies. J. Mol. Liq. 2022, 357, 119115. [Google Scholar] [CrossRef]
- Silva, V.C.; Araújo, M.E.B.; Rodrigues, A.M.; Vitorino, M.D.B.C.; Cartaxo, J.M.; Menezes, R.R.; Neves, G.A. Adsorption Behavior of Crystal Violet and Congo Red Dyes on Heat-Treated Brazilian Palygorskite: Kinetic, Isothermal and Thermodynamic Studies. Materials 2021, 14, 5688. [Google Scholar] [CrossRef]
- Mohammed, I.; Yaseri, A.; Al Shehri, D.; Mahmoud, M. Basalt Mineral Surface Charge and the Effect of Mineralization on Its Colloidal Stability: Implications of Subsurface CO2 Storage. Fuel 2024, 356, 129569. [Google Scholar] [CrossRef]
- Madan, S.; Shaw, R.; Tiwari, S.; Tiwari, S.K. Adsorption Dynamics of Congo Red Dye Removal Using ZnO Functionalized High Silica Zeolitic Particles. Appl. Surf. Sci. 2019, 487, 907–917. [Google Scholar] [CrossRef]
- Alam, M.Z.; Bari, M.N.; Kawsari, S. Statistical Optimization of Methylene Blue Dye Removal from a Synthetic Textile Wastewater Using Indigenous Adsorbents. Environ. Sustain. Indic. 2022, 14, 100176. [Google Scholar] [CrossRef]
- Yang, D.-L.; Liu, R.-K.; Wei, Y.; Sun, Q.; Wang, J.-X. Micro-Sized Nanoaggregates: Spray-Drying-Assisted Fabrication and Applications. Particuology 2024, 85, 22–48. [Google Scholar] [CrossRef]
- Ramirez Arenas, L.; Le Coustumer, P.; Ramseier Gentile, S.; Zimmermann, S.; Stoll, S. Removal Efficiency and Adsorption Mechanisms of CeO2 Nanoparticles onto Granular Activated Carbon Used in Drinking Water Treatment Plants. Sci. Total Environ. 2023, 856, 159261. [Google Scholar] [CrossRef] [PubMed]
- Wang, Q.; Jia, X.; Jin, M.; Guo, R.; Niu, B.; Yan, H.; Wang, H. A Magnetically Recyclable Carboxyl-Functionalized Chitosan Composite for Efficiently Removing Methyl Orange from Wastewater: Isotherm, Kinetics, Thermodynamic, and Adsorption Mechanism. Int. J. Biol. Macromol. 2023, 253, 126631. [Google Scholar] [CrossRef] [PubMed]
- Abbou, B.; Lebkiri, I.; Ouaddari, H.; El Amri, A.; Achibat, F.E.; Kadiri, L.; Ouass, A.; Lebkiri, A.; Rifi, E.H. Improved Removal of Methyl Orange Dye by Adsorption Using Modified Clay: Combined Experimental Study Using Surface Response Methodology. Inorg. Chem. Commun. 2023, 155, 111127. [Google Scholar] [CrossRef]
- Dana, M.; Jamshidi, P.; Shemirani, F. Effect of Ionic Liquid to Highly Selective Removal of Cd2+ onto Carbon Nanotube: Optimized by Plackett–Burman Design Method. Chem. Pap. 2023. [Google Scholar] [CrossRef]
- Araújo, M.E.B.; Silva, V.C.; Fernandes, J.V.; Cartaxo, J.M.; Rodrigues, A.M.; Menezes, R.R.; de Araújo Neves, G. Innovative Adsorbents Based on Bentonite Mining Waste for Removal of Cationic Dyes from Wastewater. Environ. Sci. Pollut. Res. 2022, 29, 90446–90462. [Google Scholar] [CrossRef]
- Petrović, J.; Ercegović, M.; Simić, M.; Kalderis, D.; Koprivica, M.; Milojković, J.; Radulović, D. Novel Mg-Doped Pyro-Hydrochars as Methylene Blue Adsorbents: Adsorption Behavior and Mechanism. J. Mol. Liq. 2023, 376, 121424. [Google Scholar] [CrossRef]
- Watwe, V.; Kulkarni, S.; Kulkarni, P. Development of Dried Uncharred Leaves of Ficus Benjamina as a Novel Adsorbent for Cationic Dyes: Kinetics, Isotherm, and Batch Optimization. Ind. Crops Prod. 2023, 195, 116449. [Google Scholar] [CrossRef]
- Nascimento, V.X.; Pinto, D.; Lütke, S.F.; da Silva, M.C.F.; Machado, F.M.; Lima, É.C.; Silva, L.F.O.; Dotto, G.L. Brilliant Blue FCF Dye Adsorption Using Magnetic Activated Carbon from Sapelli Wood Sawdust. Environ. Sci. Pollut. Res. 2023, 30, 58684–58696. [Google Scholar] [CrossRef]
- Gohr, M.S.; Abd-Elhamid, A.I.; El-Shanshory, A.A.; Soliman, H.M.A. Adsorption of Cationic Dyes onto Chemically Modified Activated Carbon: Kinetics and Thermodynamic Study. J. Mol. Liq. 2022, 346, 118227. [Google Scholar] [CrossRef]
- Vakili, A.; Zinatizadeh, A.A.; Rahimi, Z.; Zinadini, S.; Mohammadi, P.; Azizi, S.; Karami, A.; Abdulgader, M. The Impact of Activation Temperature and Time on the Characteristics and Performance of Agricultural Waste-Based Activated Carbons for Removing Dye and Residual COD from Wastewater. J. Clean. Prod. 2023, 382, 134899. [Google Scholar] [CrossRef]
- Wang, J.; Guo, X. Adsorption Kinetic Models: Physical Meanings, Applications, and Solving Methods. J. Hazard. Mater. 2020, 390, 122156. [Google Scholar] [CrossRef] [PubMed]
- Liu, M.; Zang, Z.; Zhang, S.; Ouyang, G.; Han, R. Enhanced Fluoride Adsorption from Aqueous Solution by Zirconium (IV)-Impregnated Magnetic Chitosan Graphene Oxide. Int. J. Biol. Macromol. 2021, 182, 1759–1768. [Google Scholar] [CrossRef] [PubMed]
- Piri, F.; Mollahosseini, A.; Hosseini, M.M. Enhanced Adsorption of Dyes on Microwave-Assisted Synthesized Magnetic Zeolite-Hydroxyapatite Nanocomposite. J. Environ. Chem. Eng. 2019, 7, 103338. [Google Scholar] [CrossRef]
- Khnifira, M.; Boumya, W.; Attarki, J.; Mahsoune, A.; Abdennouri, M.; Sadiq, M.; Kaya, S.; Barka, N. Adsorption Characteristics of Dopamine by Activated Carbon: Experimental and Theoretical Approach. J. Mol. Struct. 2023, 1278, 134964. [Google Scholar] [CrossRef]
- Wei, W.; Jiao, L.; Li, W.; Tang, X.; Xie, W.; Yu, H.; Li, W.; Lei, F. Removal of High-Molecular-Weight Hexose Alkaline Degradation Products by Rosin-Based Anion Adsorbent: Kinetics, Thermodynamics, and Mechanisms. Food Control 2023, 145, 109410. [Google Scholar] [CrossRef]
- de la Luz-Asunción, M.; Pérez-Ramírez, E.E.; Martínez-Hernández, A.L.; García-Casillas, P.E.; Luna-Bárcenas, J.G.; Velasco-Santos, C. Adsorption and Kinetic Study of Reactive Red 2 Dye onto Graphene Oxides and Graphene Quantum Dots. Diam. Relat. Mater. 2020, 109, 108002. [Google Scholar] [CrossRef]
- Gupta, N.; Kushwaha, A.K.; Chattopadhyaya, M.C. Application of Potato (Solanum tuberosum) Plant Wastes for the Removal of Methylene Blue and Malachite Green Dye from Aqueous Solution. Arab. J. Chem. 2016, 9, S707–S716. [Google Scholar] [CrossRef]
- Sharma, N.; Nandi, B.K. Utilization of Sugarcane Baggase, an Agricultural Waste to Remove Malachite Green Dye from Aqueous Solutions. J. Mater. Environ. Sci 2013, 4, 1052–1065. [Google Scholar]
- Sonawane, G.H.; Shrivastava, V.S. Kinetics of Decolourization of Malachite Green from Aqueous Medium by Maize Cob (Zea maize): An Agricultural Solid Waste. Desalination 2009, 247, 430–441. [Google Scholar] [CrossRef]
- Khan, T.A.; Rahman, R.; Khan, E.A. Adsorption of Malachite Green and Methyl Orange onto Waste Tyre Activated Carbon Using Batch and Fixed-Bed Techniques: Isotherm and Kinetics Modeling. Model. Earth Syst. Environ. 2017, 3, 38. [Google Scholar] [CrossRef]
- Mishra, S.P.; Patra, A.R.; Das, S. Methylene Blue and Malachite Green Removal from Aqueous Solution Using Waste Activated Carbon. Biointerface Res. Appl. Chem 2020, 11, 7410–7421. [Google Scholar]
- Porkodi, K.; Vasanth Kumar, K. Equilibrium, Kinetics and Mechanism Modeling and Simulation of Basic and Acid Dyes Sorption onto Jute Fiber Carbon: Eosin Yellow, Malachite Green and Crystal Violet Single Component Systems. J. Hazard. Mater. 2007, 143, 311–327. [Google Scholar] [CrossRef] [PubMed]
- Namasivayam, C.; Arasi, D.J.S.E. Removal of Congo Red from Wastewater by Adsorption onto Waste Red Mud. Chemosphere 1997, 34, 401–417. [Google Scholar] [CrossRef]
- Somasekhara Reddy, M.C.; Sivaramakrishna, L.; Varada Reddy, A. The Use of an Agricultural Waste Material, Jujuba Seeds for the Removal of Anionic Dye (Congo Red) from Aqueous Medium. J. Hazard. Mater. 2012, 203–204, 118–127. [Google Scholar] [CrossRef] [PubMed]
- Stjepanović, M.; Velić, N.; Galić, A.; Kosović, I.; Jakovljević, T.; Habuda-Stanić, M. From Waste to Biosorbent: Removal of Congo Red from Water by Waste Wood Biomass. Water 2021, 13, 279. [Google Scholar] [CrossRef]
- Abbas, M.; Trari, M. Kinetic, Equilibrium and Thermodynamic Study on the Removal of Congo Red from Aqueous Solutions by Adsorption onto Apricot Stone. Process Saf. Environ. Prot. 2015, 98, 424–436. [Google Scholar] [CrossRef]
- Tor, A.; Cengeloglu, Y. Removal of Congo Red from Aqueous Solution by Adsorption onto Acid Activated Red Mud. J. Hazard. Mater. 2006, 138, 409–415. [Google Scholar] [CrossRef]
- Namasivayam, C.; Jeyakumar, R.; Yamuna, R.T. Dye Removal from Wastewater by Adsorption on ‘Waste’ Fe(III)/Cr(III) Hydroxide. Waste Manag. 1994, 14, 643–648. [Google Scholar] [CrossRef]










| Sample | SiO2 | Al2O3 | K2O | Na2O | Fe2O3 | CaO | SO3 | Other Oxides |
|---|---|---|---|---|---|---|---|---|
| Coarse perlite waste | 75.0 | 15.2 | 3.4 | 3.1 | 1.3 | 1.2 | - | 0.8 |
| Fine perlite waste | 73.0 | 15.7 | 4.4 | 3.4 | 0.9 | 0.9 | 1.3 | 0.4 |
| Sample | Nomenclature |
|---|---|
| Coarse perlite waste (0.075 mm) | CP 75 |
| Coarse perlite waste (0.045 mm) | CP 45 |
| Coarse perlite waste (0.037 mm) | CP 37 |
| Fine perlite waste (0.075 mm) | FP 75 |
| Fine perlite waste (0.045 mm) | FP 45 |
| Fine perlite waste (0.037 mm) | FP 37 |
| Sample | SSA (m²/g) | Dp (nm) |
|---|---|---|
| CP 75 | 0.97 | 6.29 |
| CP 45 | 1.98 | 4.70 |
| CP 37 | 2.25 | 3.90 |
| FP 75 | 1.72 | 5.42 |
| FP 45 | 4.04 | 3.14 |
| FP 37 | 4.10 | 2.11 |
| Models | Parameters | Malachite Green | |||||
|---|---|---|---|---|---|---|---|
| CP 75 | CP 45 | CP 37 | FP 75 | FP 45 | FP 37 | ||
| qmax,exp (mg/g) | 162.57 | 154.60 | 154.22 | 160.50 | 161.93 | 154.06 | |
| Langmuir | qmax (mg/g) | 215.34 | 239.41 | 290.14 | 232.25 | 222.97 | 235.17 |
| KL (L/mg) | 0.15 | 0.02 | 0.03 | 0.07 | 0.02 | 0.01 | |
| R2 | 0.93 | 0.82 | 0.98 | 0.98 | 0.96 | 0.97 | |
| Error | 0.78 | 0.89 | 0.71 | 0.56 | 1.79 | 1.99 | |
| Freundlich | 1/n | 0.89 | 0.74 | 0.68 | 0.90 | 0.79 | 0.82 |
| KF (mg/g) (L/mg)1/n | 6.77 | 9.68 | 11.87 | 6.27 | 9.45 | 7.16 | |
| R2 | 0.92 | 0.81 | 0.98 | 0.97 | 0.95 | 0.95 | |
| Error | 2.37 | 1.27 | 0.71 | 0.46 | 0.70 | 0.88 | |
| Temkin | bT (J/mol) | 58.15 | 39.75 | 36.61 | 50.81 | 48.69 | 51.96 |
| AT (L/mg) | 0.34 | 0.58 | 0.83 | 0.40 | 0.50 | 0.34 | |
| R2 | 0.86 | 0.68 | 0.86 | 0.89 | 0.87 | 0.93 | |
| Error | 2.81 | 1.03 | 0.87 | 3.51 | 0.21 | 1.86 | |
| Sips | qmax (mg/g) | 186.40 | 170.77 | 164.88 | 198.36 | 186.16 | 171.24 |
| KS (L/mg) | 0.02 | 0.04 | 0.02 | 0.01 | 0.02 | 0.01 | |
| ns | 2.21 | 1.93 | 1.03 | 1.31 | 1.60 | 1.45 | |
| R2 | 0.97 | 0.83 | 0.99 | 0.99 | 0.97 | 0.98 | |
| Error | 0.02 | 0.04 | 0.09 | 0.07 | 0.12 | 0.19 | |
| R–P | KRP (L/g) | 5.55 | 3.89 | 6.49 | 4.86 | 4.74 | 4.52 |
| β | 1.12 | 1.18 | 1.32 | 2.65 | 1.66 | 3.01 | |
| αRP (1/mg) | 0.02 | 0.03 | 0.05 | 0.01 | 0.01 | 0.04 | |
| R2 | 0.94 | 0.68 | 0.98 | 0.98 | 0.89 | 0.97 | |
| Error | 1.69 | 0.94 | 0.54 | 1.32 | 0.78 | 0.41 | |
| Models | Parameters | Congo Red | |||||
|---|---|---|---|---|---|---|---|
| CP 75 | CP 45 | CP 37 | FP 75 | FP 45 | FP 37 | ||
| qmax,exp (mg/g) | 125.17 | 127.32 | 125.20 | 124.70 | 124.09 | 127.24 | |
| Langmuir | qmax (mg/g) | 186.35 | 247.40 | 208.03 | 210.10 | 264.74 | 259.30 |
| KL (L/mg) | 0.18 | 0.07 | 0.03 | 0.01 | 0.02 | 0.01 | |
| R2 | 0.95 | 0.90 | 0.72 | 0.98 | 0.98 | 0.86 | |
| Error | 0.17 | 0.24 | 0.12 | 0.35 | 1.32 | 1.75 | |
| Freundlich | 1/n | 1.02 | 0.84 | 0.61 | 0.97 | 0.95 | 0.74 |
| KF (mg/g) (L/mg)1/n | 1.81 | 3.66 | 10.04 | 2.04 | 2.07 | 5.69 | |
| R2 | 0.96 | 0.89 | 0.63 | 0.98 | 0.97 | 0.83 | |
| Error | 1.99 | 2.83 | 0.89 | 0.99 | 0.72 | 0.84 | |
| Temkin | bT (J/mol) | 49.09 | 50.42 | 51.93 | 46.70 | 46.84 | 53.20 |
| AT (L/mg) | 0.16 | 0.15 | 0.21 | 0.15 | 0.15 | 0.34 | |
| R2 | 0.92 | 0.90 | 0.77 | 0.95 | 0.96 | 0.94 | |
| Error | 2.37 | 1.72 | 1.99 | 0.78 | 0.93 | 1.12 | |
| Sips | qmax (mg/g) | 145.24 | 116.35 | 122.54 | 135.66 | 172.24 | 117.34 |
| KS (L/mg) | 0.05 | 0.02 | 0.01 | 0.01 | 0.03 | 0.02 | |
| ns | 2.36 | 3.07 | 10.07 | 1.31 | 1.38 | 2.72 | |
| R2 | 0.97 | 0.95 | 0.99 | 0.99 | 0.99 | 0.96 | |
| Error | 0.09 | 0.08 | 0.06 | 0.03 | 0.01 | 0.02 | |
| R–P | KRP (L/g) | 2.01 | 2.54 | 3.88 | 1.83 | 1.83 | 3.17 |
| β | 1.08 | 1.87 | 4.26 | 6.04 | 1.90 | 2.14 | |
| αRP (1/mg) | 0.09 | 0.08 | 0.01 | 0.04 | 0.03 | 0.02 | |
| R2 | 0.96 | 0.88 | 0.74 | 0.98 | 0.97 | 0.85 | |
| Error | 1.13 | 2.03 | 0.99 | 1.02 | 0.85 | 0.63 | |
| Models | Parameters | Malachite Green | |||||
|---|---|---|---|---|---|---|---|
| CP 75 | CP 45 | CP 37 | FP 75 | FP 45 | FP 37 | ||
| qexp (mg/g) | 39.51 | 41.67 | 42.67 | 40.58 | 40.98 | 41.23 | |
| Pseudo-first-order | qcal (mg/g) | 36.92 | 38.17 | 38.84 | 39.91 | 39.95 | 40.40 |
| k1 (min–1) | 0.13 | 0.11 | 0.09 | 0.13 | 0.15 | 0.15 | |
| R2 | 0.94 | 0.90 | 0.89 | 0.98 | 0.98 | 0.98 | |
| Error | 0.51 | 0.53 | 0.81 | 0.47 | 0.62 | 0.78 | |
| Pseudo-second-order | qcal (mg/g) | 38.75 | 40.78 | 41.74 | 41.15 | 41.19 | 41.46 |
| k2 (g/(mg·min)) | 0.006 | 0.004 | 0.003 | 0.001 | 0.009 | 0.010 | |
| R2 | 0.97 | 0.95 | 0.95 | 0.98 | 0.98 | 0.98 | |
| Error | 0.71 | 0.67 | 0.78 | 0.43 | 0.82 | 0.57 | |
| Elovich | α (mg·g–1/min) | 373.30 | 288.89 | 255.84 | 455.54 | 350.74 | 443.83 |
| β (g/mg) | 0.37 | 0.27 | 0.23 | 0.55 | 0.55 | 0.64 | |
| R2 | 0.99 | 0.98 | 0.98 | 0.99 | 0.99 | 0.99 | |
| Error | 0.07 | 0.02 | 0.11 | 0.21 | 0.27 | 0.09 | |
| Models | Parameters | Congo Red | |||||
|---|---|---|---|---|---|---|---|
| CP 75 | CP 45 | CP 37 | FP 75 | FP 45 | FP 37 | ||
| qexp (mg/g) | 48.47 | 48.83 | 49.32 | 33.75 | 34.59 | 49.53 | |
| Pseudo-first-order | qcal (mg/g) | 36.76 | 45.26 | 47.59 | 33.19 | 33.99 | 47.48 |
| k1 (min–1) | 0.13 | 0.05 | 0.05 | 0.24 | 0.20 | 0.09 | |
| R2 | 0.94 | 0.95 | 0.94 | 0.98 | 0.98 | 0.97 | |
| Error | 0.52 | 0.64 | 0.83 | 0.92 | 0.37 | 0.79 | |
| Pseudo-second-order | qcal (mg/g) | 46.71 | 49.43 | 50.14 | 33.53 | 34.70 | 49.99 |
| k2 (g/(mg min)) | 0.002 | 0.001 | 0.002 | 0.004 | 0.018 | 0.003 | |
| R2 | 0.97 | 0.98 | 0.98 | 0.98 | 0.98 | 0.98 | |
| Error | 0.71 | 0.79 | 0.89 | 0.48 | 0.95 | 0.99 | |
| Elovich | α (mg·g–1/min) | 433.52 | 231.23 | 388.56 | 527.24 | 470.90 | 625.49 |
| β (g/mg) | 0.37 | 0.15 | 0.17 | 1.75 | 0.87 | 0.26 | |
| R2 | 0.99 | 0.99 | 0.99 | 0.99 | 0.99 | 0.99 | |
| Error | 0.09 | 0.17 | 0.07 | 0.23 | 0.15 | 0.04 | |
| Adsorbent | Qmax (mg/g) | Dye | References |
|---|---|---|---|
| CP 75 | 162.57 | MG | This work |
| CP 45 | 154.60 | MG | This work |
| CP 37 | 154.22 | MG | This work |
| FP 75 | 160.50 | MG | This work |
| FP 45 | 161.93 | MG | This work |
| FP 37 | 154.06 | MG | This work |
| CP 75 | 125.20 | CR | This work |
| CP 45 | 127.32 | CR | This work |
| CP 37 | 125.01 | CR | This work |
| FP 75 | 124.70 | CR | This work |
| FP 45 | 124.09 | CR | This work |
| FP 37 | 127.24 | CR | This work |
| Leaves of Solanum tuberosum | 33.3 | MG | [77] |
| Agricultural waste | 90.16 | MG | [78] |
| Agricultural solid waste | 80.64 | MG | [79] |
| Waste tyre activated carbon | 29.23 | MG | [80] |
| Waste activated carbon | 18.87 | MG | [81] |
| Jute fiber carbon | 136.58 | MG | [82] |
| Waste red mud | 4.05 | CR | [83] |
| Agricultural waste material | 55.56 | CR | [84] |
| Waste wood biomass | 3.3 | CR | [85] |
| Apricot stone | 32.85 | CR | [86] |
| Activated red mud | 7.08 | CR | [87] |
| Waste Fe(III)/Cr(III) hydroxide | 44.00 | CR | [88] |
Disclaimer/Publisher’s Note: The statements, opinions and data contained in all publications are solely those of the individual author(s) and contributor(s) and not of MDPI and/or the editor(s). MDPI and/or the editor(s) disclaim responsibility for any injury to people or property resulting from any ideas, methods, instructions or products referred to in the content. |
© 2023 by the authors. Licensee MDPI, Basel, Switzerland. This article is an open access article distributed under the terms and conditions of the Creative Commons Attribution (CC BY) license (https://creativecommons.org/licenses/by/4.0/).
Share and Cite
Filho, J.I.S.; Silva, V.C.; Silva, P.F.; Cartaxo, J.M.; Rodrigues, A.M.; Menezes, R.R.; Neves, G.A. Isothermal and Kinetic Studies for the Removal of Malachite Green and Congo Red Dyes Using Wastes from Mining and Processing Perlite in Different Particle Sizes as Sustainable Adsorbents. Sustainability 2023, 15, 15562. https://doi.org/10.3390/su152115562
Filho JIS, Silva VC, Silva PF, Cartaxo JM, Rodrigues AM, Menezes RR, Neves GA. Isothermal and Kinetic Studies for the Removal of Malachite Green and Congo Red Dyes Using Wastes from Mining and Processing Perlite in Different Particle Sizes as Sustainable Adsorbents. Sustainability. 2023; 15(21):15562. https://doi.org/10.3390/su152115562
Chicago/Turabian StyleFilho, Josenildo I. Santos, Vanderlane C. Silva, Paulysendra F. Silva, Juliana M. Cartaxo, Alisson M. Rodrigues, Romualdo R. Menezes, and Gelmires A. Neves. 2023. "Isothermal and Kinetic Studies for the Removal of Malachite Green and Congo Red Dyes Using Wastes from Mining and Processing Perlite in Different Particle Sizes as Sustainable Adsorbents" Sustainability 15, no. 21: 15562. https://doi.org/10.3390/su152115562
APA StyleFilho, J. I. S., Silva, V. C., Silva, P. F., Cartaxo, J. M., Rodrigues, A. M., Menezes, R. R., & Neves, G. A. (2023). Isothermal and Kinetic Studies for the Removal of Malachite Green and Congo Red Dyes Using Wastes from Mining and Processing Perlite in Different Particle Sizes as Sustainable Adsorbents. Sustainability, 15(21), 15562. https://doi.org/10.3390/su152115562

