Risk Classification Assessment and Early Warning of Heavy Metal Contamination in Meat Products
Abstract
:1. Introduction
2. Materials and Methods
2.1. Data Collection and Processing
2.1.1. Data Source
2.1.2. Data Preprocessing
2.2. Dietary Exposure Assessment Method
2.2.1. Geographic Scope and Division
2.2.2. Nemerow Integrated Pollution Index
2.2.3. Target Cancer Risk
2.2.4. Target Hazard Quotient
2.3. Analytical Hierarchy Process–Entropy Weight
2.4. Transformer-Based Model
2.4.1. Problem Description
2.4.2. Input Embedding
2.4.3. ProbSpare Self-Attention
2.4.4. Encoder and Decoder
2.5. Overall Framework
3. Result and Discussion
3.1. Risk Assessment of Heavy Metals
3.2. Risk Classification of Heavy Metal Hazard
3.3. Early Warning for Meat Products
4. Conclusions
Author Contributions
Funding
Institutional Review Board Statement
Informed Consent Statement
Data Availability Statement
Conflicts of Interest
References
- Bilandžić, N.; Sedak, M.; Čalopek, B.; Đokić, M.; Varenina, I.; Kolanović, B.S.; Hruškar, M. Dietary exposure of the adult Croatian population to meat, liver and meat products from the Croatian market: Health risk assessment. J. Food Compos. Anal. 2021, 95, 103672. [Google Scholar] [CrossRef]
- Zeinali, T.; Salmani, F.; Naseri, K. Dietary intake of cadmium, chromium, copper, nickel, and lead through the consumption of meat, liver, and kidney and assessment of human health risk in Birjand, Southeast of Iran. Biol. Trace Elem. Res. 2019, 191, 338–347. [Google Scholar] [CrossRef] [PubMed]
- Wang, X.; Zhang, Y.; Geng, Z.; Liu, Y.; Guo, L.; Xiao, G. Spatial analysis of heavy metals in meat products in China during 2015–2017. Food Control. 2019, 104, 174–180. [Google Scholar] [CrossRef]
- Chen, S.S.; Lin, Y.W.; Kao, Y.M.; Shih, Y.C. Trace elements and heavy metals in poultry and livestock meat in Taiwan. Food Addit. Contam. Part B 2013, 6, 231–236. [Google Scholar] [CrossRef] [PubMed]
- Bortey-Sam, N.; Nakayama, S.M.; Ikenaka, Y.; Akoto, O.; Baidoo, E.; Yohannes, Y.B.; Ishizuka, M. Human health risks from metals and metalloid via consumption of food animals near gold mines in Tarkwa, Ghana: Estimation of the daily intakes and target hazard quotients (THQs). Ecotoxicol. Environ. Saf. 2015, 111, 160–167. [Google Scholar] [CrossRef]
- Larsen, E.H.; Andersen, N.L.; Møller, A.; Petersen, A.; Mortensen, G.K.; Petersen, J. Monitoring the content and intake of trace elements from food in Denmark. Food Addit. Contam. 2002, 19, 33–46. [Google Scholar] [CrossRef]
- Avegliano, R.P.; Maihara, V.A.; da Silva, F.F. A Brazilian total diet study: Evaluation of essential elements. J. Food Compos. Anal. 2001, 24, 1009–1016. [Google Scholar] [CrossRef]
- Wu, Y.; Zhao, Y.; Li, J. The Fifth China Total Diet Study; Science Press: Beijing, China, 2018; pp. 1–649. (In Chinese) [Google Scholar]
- Liang, G.; Gong, W.; Li, B.; Zuo, J.; Pan, L.; Liu, X. Analysis of heavy metals in foodstuffs and an assessment of the health risks to the general public via consumption in Beijing, China. Int. J. Environ. Res. Public Health 2019, 16, 909. [Google Scholar] [CrossRef]
- Geng, Z.; Zhao, S.; Tao, G.; Han, Y. Early warning modeling and analysis based on analytic hierarchy process integrated extreme learning machine (AHP-ELM): Application to food safety. Food Control 2017, 78, 33–42. [Google Scholar] [CrossRef]
- Niu, B.; Zhang, H.; Zhou, G.; Zhang, S.; Yang, Y.; Deng, X.; Chen, Q. Safety risk assessment and early warning of chemical contamination in vegetable oil. Food Control 2021, 125, 107970. [Google Scholar] [CrossRef]
- Liu, S.; Yu, H.; Liao, C.; Li, J.; Lin, W.; Liu, A.X.; Dustdar, S. Pyraformer: Low-Complexity Pyramidal Attention for Long-Range Time Series Modeling and Forecasting. In Proceedings of the International Conference on Learning Representations, Vienna, Austria, 4 May 2021. [Google Scholar]
- Liu, Z.; Meng, L.; Zhao, W.; Yu, F. Application of ANN in food safety early warning. In Proceedings of the 2010 2nd International Conference on Future Computer and Communication, Wuhan, China, 21–24 May 2010; IEEE: New York, NY, USA, 2010; Volume 3, pp. V3-667–V3-680. [Google Scholar]
- Geng, Z.; Shang, D.; Han, Y.; Zhong, Y. Early warning modeling and analysis based on a deep radial basis function neural network integrating an analytic hierarchy process: A case study for food safety. Food Control 2019, 96, 329–342. [Google Scholar] [CrossRef]
- Geng, Z.; Liu, F.; Shang, D.; Han, Y.; Shang, Y.; Chu, C. Early warning and control of food safety risk using an improved AHC-RBF neural network integrating AHP-EW. J. Food Eng. 2021, 292, 110239. [Google Scholar] [CrossRef]
- Li, L.; Jiang, Y.; Huang, B. Long-term prediction for temporal propagation of seasonal influenza using Transformer-based model. J. Biomed. Inform. 2021, 122, 103894. [Google Scholar] [CrossRef] [PubMed]
- Alassafi, M.O.; Jarrah, M.; Alotaibi, R. Time series predicting of COVID-19 based on deep learning. Neurocomputing 2022, 468, 335–344. [Google Scholar] [CrossRef]
- Li, Y.; Zhu, Z.; Kong, D.; Han, H.; Zhao, Y. EA-LSTM: Evolutionary attention-based LSTM for time series prediction. Knowl. Based Syst. 2019, 181, 104785. [Google Scholar] [CrossRef]
- Struye, J.; Latré, S. Hierarchical temporal memory and recurrent neural networks for time series prediction: An empirical validation and reduction to multilayer perceptrons. Neurocomputing 2020, 396, 291–301. [Google Scholar] [CrossRef]
- Cho, K.; Van Merriënboer, B.; Bahdanau, D.; Bengio, Y. On the properties of neural machine translation: Encoder-decoder approaches. arXiv 2014, arXiv:1409.1259. [Google Scholar]
- Du, S.; Li, T.; Yang, Y.; Horng, S.J. Multivariate time series forecasting via attention-based encoder–decoder framework. Neurocomputing 2020, 388, 269–279. [Google Scholar] [CrossRef]
- Vaswani, A.; Shazeer, N.; Parmar, N.; Uszkoreit, J.; Jones, L.; Gomez, A.N.; Polosukhin, I. Attention is all you need. In Advances in Neural Information Processing Systems; The MIT Press: Cambridge, MA, USA, 2017; Volume 30. [Google Scholar]
- Zhou, H.; Zhang, S.; Peng, J.; Zhang, S.; Li, J.; Xiong, H.; Zhang, W. Informer: Beyond efficient transformer for long sequence time-series forecasting. In Proceedings of the AAAI Conference on Artificial Intelligence; AAAI Press: Washington, DC, USA, 2021. [Google Scholar]
- GB 2762-2017; National Food Safety Standard—Maximum Levels of Contaminants in Foods. National Food Safety Standards: Beijing, China, 2018.
- Jiang, T.-Q.; Wang, Z.; Zhang, Q.-C.; Wang, Z.-Z.; Cheng, B.-L. Establishment and application of risk classification model for lead in vegetables based on spectral clustering algorithms. Food Sci. Nutr. 2022, 10, 879–887. [Google Scholar] [CrossRef]
- Loska, K.; Wiechula, D.; Korus, I. Metal contamination of farming soils affected by industry. Environ. Int. 2004, 30, 159–165. [Google Scholar] [CrossRef]
- Ma, L.; Yang, Z.; Li, L.; Wang, L. Source identification and risk assessment of heavy metal contaminations in urban soils of Changsha, a mine-impacted city in Southern China. Environ. Sci. Pollut. Res. 2016, 23, 17058–17066. [Google Scholar] [CrossRef] [PubMed]
- Wei, J.; Gao, J.; Cen, K. Levels of eight heavy metals and health risk assessment considering food consumption by China’s residents based on the 5th China total diet study. Sci. Total Environ. 2019, 689, 1141–1148. [Google Scholar] [CrossRef] [PubMed]
- Wei, J.; Geng, Y.; Cen, K. The heavy metal content monitoring and dietary risk assessment of commercial Rice in Beijing. Modern. Food Sci. Technol. 2018, 34, 267–273. [Google Scholar]
- Yari, A.A.; Varvani, J.; Zare, R. Assessment and zoning of environmental hazard of heavy metals using the Nemerow integrated pollution index in the vineyards of Malayer city. Acta Geophys. 2021, 69, 149–159. [Google Scholar] [CrossRef]
- Yang, Q.; Li, Z.; Lu, X.; Duan, Q.; Huang, L.; Bi, J. A review of soil heavy metal pollution from industrial and agricultural regions in China: Pollution and risk assessment. Sci. Total Environ. 2018, 642, 690–700. [Google Scholar] [CrossRef] [PubMed]
- Zhang, Y.; Chu, C.; Li, T.; Xu, S.; Liu, L.; Ju, M. A water quality management strategy for regionally protected water through health risk assessment and spatial distribution of heavy metal pollution in 3 marine reserves. Sci. Total Environ. 2017, 599, 721–731. [Google Scholar] [CrossRef]
- Shaheen, N.; Irfan, N.M.; Khan, I.N.; Islam, S.; Islam, M.S.; Ahmed, M.K. Presence of heavy metals in fruits and vegetables: Health risk implications in Bangladesh. Chemosphere 2016, 152, 431–438. [Google Scholar] [CrossRef] [PubMed]
- Chang, Y.Y.; Sun, F.Y.; Wu, Y.H.; Lin, S.D. A memory-network based solution for multivariate time-series forecasting. arXiv 2016, arXiv:1809.02105. [Google Scholar]
- Devlin, J.; Chang, M.W.; Lee, K.; Toutanova, K. Bert: Pre-training of deep bidirectional transformers for language understanding. arXiv 2018, arXiv:1810.04805. [Google Scholar]
- Clevert, D.A.; Unterthiner, T.; Hochreiter, S. Fast and accurate deep network learning by exponential linear units (elus). arXiv 2015, arXiv:1511.07289. [Google Scholar]
- Li, Q.; Liu, W.; Sun, A.; Duan, M.; Liu, P.; Dai, Y. Study on the risk grading evaluation of processed food. Food Ferment. Ind. 2015, 41, 220–224. [Google Scholar]
- Cai, Q.; Wang, J.J.; Li, H.S.; Mao, D.H. Research on establishment of food safety evaluation modle based on neural network. J. Food Sci. Technol. 2014, 4, 69–77. [Google Scholar]
- Abduljaleel, S.A.; Shuhaimi-Othman, M.; Babji, A. Assessment of trace metals contents in chicken (Gallus gallus domesticus) and quail (Coturnix coturnix japonica) tissues from Selangor (Malaysia). J. Environ. Sci. Technol. 2012, 5, 441–451. [Google Scholar] [CrossRef]
- Wang, Z. Study on heavy metal pollution caused by wastewater discharge in Shaanxi province. Technol. Innov. Appl. 2018, 25, 75–76. [Google Scholar]
- Pillay, A.E.; Williams, J.R.; El Mardi, M.O.; Al-Lawati, S.M.H.; Al-Hadabbi, M.H.; Al-Hamdi, A. Risk assessment of chromium and arsenic in date palm leaves used as livestock feed. Environ. Int. 2003, 29, 541–545. [Google Scholar] [CrossRef]
- Li, Y.; Li, Z.; Cozzi, G.; Turetta, C.; Barbante, C.; Huang, J.; Xiong, L. Signals of pollution revealed by trace elements in recent snow from mountain glaciers at the Qinghai–Tibetan plateau. Chemosphere 2018, 200, 523–531. [Google Scholar] [CrossRef]
- Gao, Y.; Xia, J. Chromium contamination accident in China: Viewing environment policy of China. Environ. Sci. Technol. 2011, 45, 8605–8606. [Google Scholar] [CrossRef]
- Han, Z.; Zhao, J.; Leung, H.; Ma, K.F.; Wang, W. A review of deep learning models for time series prediction. IEEE Sens. J. 2019, 21, 7833–7848. [Google Scholar] [CrossRef]
- Lara-Benítez, P.; Carranza-García, M.; Riquelme, J.C. An experimental review on deep learning architectures for time series forecasting. Int. J. Neural Syst. 2021, 31, 2130001. [Google Scholar] [CrossRef]
- Bengio, Y.; Simard, P.; Frasconi, P. Learning long-term dependencies with gradient descent is difficult. IEEE Trans. Neural Netw. 1994, 5, 157–166. [Google Scholar] [CrossRef]
- Lim, B.; Arik, S.O.; Loeff, N.; Pfister, T. Temporal fusion transformers for interpretable multi-horizon time series forecasting. arXiv 2019, arXiv:1912.09363. [Google Scholar] [CrossRef]
- Yuan, X.; Zhang, D.; Zhu, X.; Liu, H.; Sun, B. Triple-dimensional spectroscopy combined with chemometrics for the discrimination of pesticide residues based on ionic liquid-stabilized Mn-ZnS quantum dots and covalent organic frameworks. Food Chem. 2021, 342, 128299. [Google Scholar] [CrossRef]
- Yuan, X.; Zhu, X.; Sun, R.; Jiang, W.; Zhang, D.; Liu, H.; Sun, B. Sensory attributes and characterization of aroma profiles of fermented sausages based on fibrous-like meat substitute from soybean protein and Coprinus comatus. Food Chem. 2022, 373, 131537. [Google Scholar] [CrossRef] [PubMed]
- Saeed, R.; Feng, H.; Wang, X.; Zhang, X.; Fu, Z. Fish quality evaluation by sensor and machine learning: A mechanistic review. Food Control 2022, 137, 108902. [Google Scholar] [CrossRef]
- Asgari, L.B.; Najafi, N.; Moghiseh, E.; Mosaferi, M.; Hadian, J. Micronutrient and heavy metal concentrations in basil plant cultivated on irradiated and non-irradiated sewage sludge-treated soil and evaluation of human health risk. Reg. Toxicol. Pharmacol. 2019, 104, 141–150. [Google Scholar] [CrossRef] [PubMed]







| Heavy Metals | Reference Doses mg/(kg·d) | Cancer Slope Factor (kg·d)/mg | National Limit Standard (mg/kg) |
|---|---|---|---|
| Lead | 0.0037 | 0.0085 | 0.2 |
| Cadmium | 0.001 | 6.3 | 0.1 |
| Chromium | 0.003 | 0.5 | 1.0 |
| Arsenic | 0.0003 | 1.5 | 0.5 |
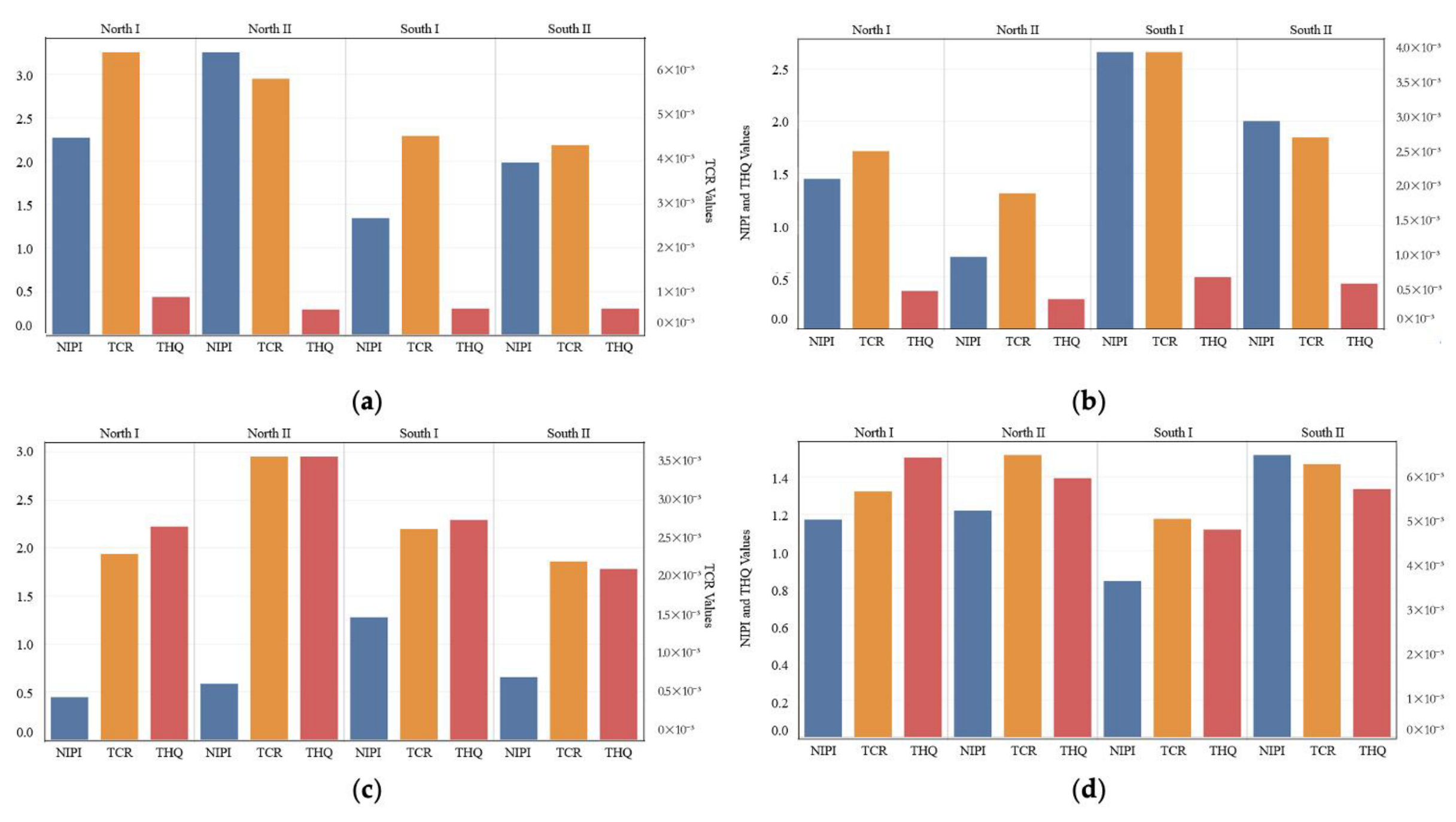
| Region | Heavy Metal | Mean | Range * | NIPI | TCR | THQ |
|---|---|---|---|---|---|---|
| North I | Cd | 0.0060 ± 0.0200 | −0.320 | 2.2631 | 0.00064 | 0.4333 |
| Pb | 0.0176 ± 0.0445 | −0.407 | 1.4403 | 2.5 × 10−6 | 0.3613 | |
| As | 0.0089 ± 0.0236 | −0.310 | 0.4386 | 0.00023 | 2.2222 | |
| Cr | 0.0646 ± 0.1190 | −1.650 | 1.1676 | 0.00054 | 1.5000 | |
| North II | Cd | 0.0055 ± 0.0273 | −0.460 | 3.2529 | 0.00058 | 0.2833 |
| Pb | 0.0135 ± 0.0250 | −0.195 | 0.6911 | 1.9 × 10−6 | 0.2845 | |
| As | 0.0137 ± 0.0284 | −0.410 | 0.5802 | 0.00035 | 2.9500 | |
| Cr | 0.0744 ± 0.1192 | −1.720 | 1.2174 | 0.00062 | 1.3889 | |
| South I | Cd | 0.0042 ± 0.0097 | −0.190 | 1.3438 | 0.00045 | 0.3000 |
| Pb | 0.0273 ± 0.0525 | −0.754 | 2.6675 | 3.9 × 10−6 | 0.4923 | |
| As | 0.0085 ± 0.0274 | −0.900 | 1.2729 | 0.00026 | 2.2889 | |
| Cr | 0.0575 ± 0.0988 | −1.180 | 0.8354 | 0.00048 | 1.1111 | |
| South II | Cd | 0.0041 ± 0.0100 | −0.280 | 1.9801 | 0.00043 | 0.3000 |
| Pb | 0.0189 ± 0.0434 | −0.566 | 2.0022 | 2.7 × 10−6 | 0.4324 | |
| As | 0.0085 ± 0.0246 | −0.460 | 0.6507 | 0.00022 | 1.7778 | |
| Cr | 0.0714 ± 0.1190 | −2.140 | 1.5141 | 0.00060 | 1.3333 | |
| Total | Cd | 0.0048 ± 0.0165 | −0.460 | 3.2529 | 0.000053 | 0.3333 |
| Pb | 0.0199 ± 0.0441 | −0.754 | 2.6667 | 7.08 × 10−7 | 0.4220 | |
| As | 0.0098 ± 0.0258 | −0.900 | 1.2729 | 0.000038 | 2.2222 | |
| Cr | 0.0669 ± 0.1144 | −2.140 | 1.5139 | 0.000292 | 1.3333 |
Disclaimer/Publisher’s Note: The statements, opinions and data contained in all publications are solely those of the individual author(s) and contributor(s) and not of MDPI and/or the editor(s). MDPI and/or the editor(s) disclaim responsibility for any injury to people or property resulting from any ideas, methods, instructions or products referred to in the content. |
© 2023 by the authors. Licensee MDPI, Basel, Switzerland. This article is an open access article distributed under the terms and conditions of the Creative Commons Attribution (CC BY) license (https://creativecommons.org/licenses/by/4.0/).
Share and Cite
Wang, Z.; Gao, Y.; Xu, X.; Dong, W.; Jiang, T. Risk Classification Assessment and Early Warning of Heavy Metal Contamination in Meat Products. Sustainability 2023, 15, 15558. https://doi.org/10.3390/su152115558
Wang Z, Gao Y, Xu X, Dong W, Jiang T. Risk Classification Assessment and Early Warning of Heavy Metal Contamination in Meat Products. Sustainability. 2023; 15(21):15558. https://doi.org/10.3390/su152115558
Chicago/Turabian StyleWang, Zheng, Yanping Gao, Xuemei Xu, Wei Dong, and Tongqiang Jiang. 2023. "Risk Classification Assessment and Early Warning of Heavy Metal Contamination in Meat Products" Sustainability 15, no. 21: 15558. https://doi.org/10.3390/su152115558
APA StyleWang, Z., Gao, Y., Xu, X., Dong, W., & Jiang, T. (2023). Risk Classification Assessment and Early Warning of Heavy Metal Contamination in Meat Products. Sustainability, 15(21), 15558. https://doi.org/10.3390/su152115558
