Next Article in Journal
The Role of Two-Way Influences on Sustaining Green Brand Engagement and Loyalty in Social Media
Previous Article in Journal
Deep Learning-Based Defect Detection Framework for Ultra High Resolution Images of Tunnels
 
 
Font Type:
Arial Georgia Verdana
Font Size:
Aa Aa Aa
Line Spacing:
Column Width:
Background:
Article

The Influence of Principals’ e-Leadership on the Effectiveness of Schools’ Public Relations and Organizational Improvement

1
Educational Administration Department, Faculty of Education, Universitas Negeri Malang, Malang 65145, Indonesia
2
Educational Administration, Faculty of Education, Universitas Pendidikan Indonesia, Bandung 40154, Indonesia
3
Faculty of Education, Umm Al-Qura University, Makkah 24382, Saudi Arabia
4
Management Department, BINUS Online Learning, Bina Nusantara University, Jakarta 11480, Indonesia
*
Author to whom correspondence should be addressed.
Sustainability 2023, 15(2), 1296; https://doi.org/10.3390/su15021296
Submission received: 31 October 2022 / Revised: 2 January 2023 / Accepted: 3 January 2023 / Published: 10 January 2023

Abstract

Principal leadership is the main variable that determines a school’s progress. Schools develop optimally when they are led by a principal who has a good leadership capacity. Related to technology development, the leadership of principals today is also changing, and principals are required to have a good e-leadership capacity. This study aims to examine the effect of principals’ e-leadership on the effectiveness of schools’ public relations and school improvement. The sample of this research was taken randomly, comprising 200 principals in Indonesia. A questionnaire was used for data collection, filled out by all participants. In addition, descriptive statistics and structural equation modeling were used for data analysis. The study results showed that there is a direct influence of principals’ e-leadership on the effectiveness of schools’ public relations. A principal’s e-leadership affects their school’s improvement, both directly and indirectly, and the effectiveness of a school’s public relations has a direct effect on school improvement. Looking at the dimensions, several dominant factors provide support for the constructs of the three variables that were studied. The research findings are discussed in depth in terms of theory and the results of previous studies.

1. Introduction

The emergence of COVID-19 has brought about changes in the implementation of education, which has shifted to a virtual system [1]. E-learning, which was previously used as an alternative in the learning process, has now become the main activity in meeting the continuity of learning. With e-learning, students engage in distance learning independently and continue to carry out their learning process [2].
On the contrary, the 21st century is facing unprecedented challenges, namely in the era of Industry 4.0 [3]. Disruption, as part of the evolution of information technology, is needed when providing learning solutions. The era of disruption triggered by the presence of COVID-19 brought consequences in the shape of suppressing the implementation of online learning. Independence in the learning process is prioritized, which makes students responsible and active in learning [4].

1.1. e-Leadership of Principals

Disruption as regards learning innovation and compliance with implementing ministry policies are two big and real challenges that must be realized simultaneously. The disruption of innovation in the learning process that occurred during COVID-19 has disrupted the performance of principals, who have had to quickly make changes. Quick changes without being balanced with sufficient skills result in inefficiency in the form of stress and emotional pressure at work [5].
To manage the disruption of learning innovation technology, principals are required to have e-leadership capacity. However, many principals are confused about dealing with this change on a practical level. Many problems arise, especially related to the use of technology in managing schools. This is due to the lack of capacity and capability of principals in using information and communication technology [6]. The role of a principal is yet to reach optimum capacity in implementing e-leadership in the online education and learning process.
Principals must act quickly, be visionary, make decisions carefully, consider various options, communicate empathetically and humanely, and develop their school in terms of the credibility of school members [7]. Leading in this pandemic period requires great effort, with strong commitment in the face of disruption of innovative technology that is very different in leadership practice [8].
On the contrary, the COVID-19 pandemic has forced principals to switch to using information and communication technology in the implementation of education and learning. Technology changes the structure and way of working and transforms leaders into people who must be adaptive to said changes [9,10,11]. Principals are required to have knowledge, understanding, and leadership skills based on technology and information, as a way of providing education and learning. However, principals’ e-leadership competency is still not clearly known, as is its impact on schools’ organization. The results of previous studies have shown that there is a significant effect of leadership on organizational effectiveness, change, and improvement [12,13,14]. However, the effect of e-leadership on a school’s organization remains unknown and therefore requires deeper investigation.

1.2. Schools’ Public Relations

The success of the education process in schools is optimal if supported by all parties: both internal school resources and parents, as well as the community. To achieve a quality education process, parents and the community need support, such as in the form of material, moral, and spiritual support. Several research results have shown that the existence of good parental or community support and involvement in the implementation of education in schools improves education quality and students’ achievements [15,16,17,18]. Maintaining good relations with the community is an effective strategy to influence the public and different stakeholders, as well as to build the school’s image [19]. Therefore, schools must have good public relations.
Schools’ public relations involve collaboration between themselves and the community to provide public understanding of the implementation and educational needs of the schools. Through this communication, schools collaborate with the community, especially parents, to achieve educational success. A school’s public relations are a realization of the shared responsibility between the school and the community in the implementation of education. With the support of parents or the community, good-quality education can be achieved in schools [20,21]. This indicates the need for schools to develop effective public relations.
Regarding field examination, efforts to communicate to the community were carried out via several activities, including several public relations program activities, but they were still not maximized [22,23]. The implementation of principals’ e-leadership is also expected to increase the effectiveness of schools’ public relations, but this remains to be investigated. Many studies have researched the influence of a principal’s leadership on teacher performance [24,25,26]. However, the effect of using e-leadership on the behavior of parents and the community has not been widely studied; therefore, this issue needs to be investigated further.

1.3. School Improvement

The final goal of efforts to improve principals’ performance is school improvement, which is a planned organizational change. Schools try to improve their learning conditions and the factors related to these learning conditions to improve the achievement of educational goals more effectively [27,28,29,30].
There are several characteristics of school improvement. The International School Improvement Project identified seven characteristics of a school’s organizational improvement: (1) schools become the center of change; (2) schools use a systematic approach to change; (3) schools use their internal conditions as a key focus of change; (4) schools’ educational goals are achieved more effectively; (5) schools use a systems approach with multiple perspectives; (6) schools use an integrated implementation strategy; (7) schools push toward institutionalization [31].
The characteristics of school improvement, when viewed from organizational development theory, have similarities. Developing an organization needs to be well-planned, emphasize group cooperation, refer to the system as a whole, use renewal agents, and be implemented in a sustainable manner [32].
Based on these foundations, school improvement can be studied from five sub-dimensions: (1) school improvement activity programs carried out; (2) management of school improvement activity programs; (3) involvement of members in school improvement; (4) level of responsiveness of members to school improvement; and (5) achievement of school improvement results.

1.4. Influence of Principals’ e-Leadership on Schools’ Public Relations and Improvement

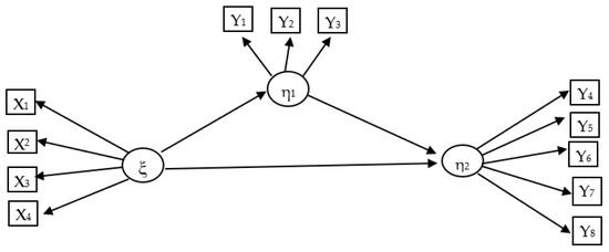
Based on the theory, the principal’s leadership behavior influences the behavior of members, both internally and externally. Principals need to constantly make changes in line with developments in society and technology. By making changes, they will be able to improve the behavior and interaction of members in the organization, both internally and externally. Increasing the effectiveness of organizational interactions, especially with stakeholders, will have an impact on the progress and improvement of school organizations. e-Leadership reflects the principal’s leadership behavior that takes into account technological developments and societal behavior. The relationship between the variables can be presented in the form of Figure 1.
e-Leadership is implemented through a school management system, which involves various activities, such as creating school data, monitoring curriculum implementation, interacting with teachers, establishing communication with parents, interacting with students, and developing a school climate [33]. These activities can be implemented in the management of school work areas, namely the fields of learning, student affairs, school infrastructure, school finance, school staffing, and school community relations. A school’s community relations comprise a substantive field of work; therefore, e-leadership is closely related to a school’s community relations.
The results of a previous study showed that there is a significant influence of a principal’s leadership on students’ learning processes and outcomes [34]. One of the factors that support the success of education in schools is the support of parents or the community. For this reason, the principal should establish good relations with parents or the community. The results of another study showed that a principal’s leadership influences the performance of students and teachers [35]. However, whether the implementation of e-leadership affects a school’s public relations remains a question, because the use of e-leadership involves cultural change. Changing cultures can bring different results. The problem encountered in implementing e-leadership is not always due to a lack of facilities, but instead due to organizational culture, the readiness of leaders and staff, and the reluctance to adapt and change [36]. Therefore, it needs further investigation.
Previous research results have indicated that the leadership of principals affects school improvement [37,38]. There is an effect of public relations leadership on organizational change [39]. However, how it affects this era of information technology is still a question, as is how it relates to the development of today’s society. Many studies have examined the effect of ICT on teacher performance or student achievement [27,28,29]. However, the influence of e-leadership on a school’s public relations and school improvement has not been studied.
Therefore, this research was conducted, aimed at answering the problems related to the use of information and communication technology in school leadership, as well as examining its effect on the effectiveness of a school’s public relations and school improvement, either directly or indirectly.

1.5. Research Objectives

The objectives of this study were to (1) describe the implementation of information and communication technology-based school leadership, (2) describe principals’ ability to use information and communication technology, (3) describe the effectiveness of the use of information and communication technology in school leadership, and (4) examine the effect of using information and communication technology in school leadership on the effectiveness of a school’s public relations and improvement, either directly or indirectly.
Through this research, the level of principals’ ICT utilization in leading schools, ICT mastery in leading schools, level of effectiveness of using ICT in leading schools, and magnitude of the influence of using ICT in school leadership on the effectiveness of a school’s community relations and improvement were obtained. These findings can be used to increase the utilization and effectiveness of ICT in school leadership to improve the quality of education and develop schools. Thus, the findings of this study can increase the realization of industrial society 5.0, namely by increasing the use of technology to support human tasks, especially the task of managing education in schools. In addition, theoretically, the findings of this study can also be used to develop educational leadership theories based on information and communication technology.

2. Materials and Methods

2.1. Research Design

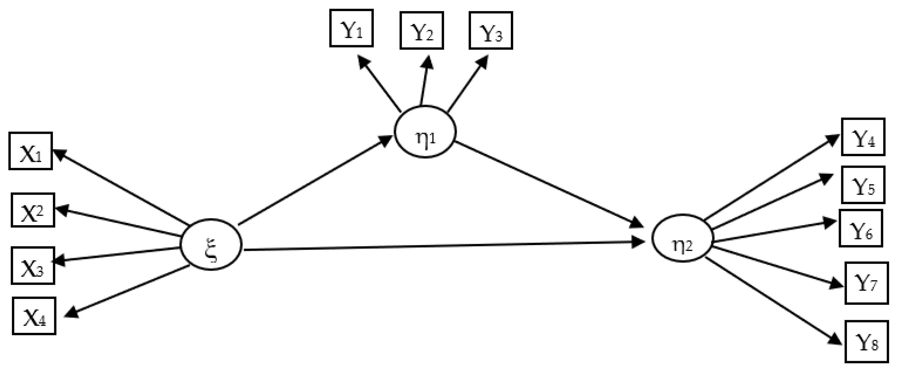
This study used an explanatory research design and aims to examine the structural effect of school principals’ e-leadership variables on the effectiveness of school public relations and school improvement. Therefore, the research design used is an explanatory causal model research design. Explanation research is research to test hypotheses and theories conceptually to explain phenomena [39]. This research provides evidence of cause and effect. The researcher developed a causal model construct based on the theory and results of previous research, and then tested it empirically in the field. The hypothetical model tested is presented in Figure 2.
  • Information:
  • ξ = principal e-leadership;
  • X1 = frequency of ICT usage;
  • X2 = variations in the use of ICT;
  • X3 = effective use of ICT;
  • X4 = mastery of ICT;
  • η1 = effectiveness of schools’ public relations;
  • Y1 = communication effectiveness;
  • Y2 = community involvement in supporting education;
  • Y3 = community support in solving problems;
  • η2 = school improvement;
  • Y4 = school improvement program;
  • Y5 = member responsiveness level;
  • Y6 = school improvement management;
  • Y7 = member involvement in school improvement;
  • Y8 = achievement of school improvement.
By testing this model, the influence of exogenous variables, namely the e-leadership of principals, on endogenous variables can be determined, namely the effectiveness of schools’ public relations and improvement, both directly and indirectly, so that they can be used as a foundation for developing theory and improving leadership practices, related to the development of information and communication technology to improve or to advance the school performance.
The process begins with the research design and the data collection process for data analysis and interpretation. Some of the steps taken were formulating research problems, exploring theories relevant to research problems, formulating research hypotheses, developing research instruments, collecting data, testing the research hypotheses, processing and interpreting the data, drawing conclusions, and writing research reports.

2.2. Participants

This research was conducted in Nganjuk Regency, Indonesia. The total population comprised 605 schools. According to Cohen [37], the sample size can be obtained using the following formula:
N = L/f2 + u + 1;
N = number of samples;
f2 = effect size;
u = number of variables;
L = function of power.
Using this formula, with an effect size of 0.1 and a = 0.05, the value of L was 17.17. Thus, the number of samples taken was 17.17/0.1 + 3 + 1 = 175.7, rounded up to 176. According to Hair et al., the recommendation for sample size using structural equation modeling was between 100 and 200, providing at least five observations of each estimated parameter [38]. In the study, there were 12 estimated parameters; therefore, the recommended number of samples was 120. Based on this formula, 200 principals were sampled using a random sampling technique. Thus, the research sample was representative.

2.3. Research Instruments

Questionnaires were used to collect data on the implementation of information and communication technology-based school leadership and the effectiveness of the school’s public relations and improvement. The documentation technique was used to collect data, which is a documentary method, for example, about the characteristics of the principal, conditions, characteristics, and school achievements.
This study used instruments that were developed based on the research variables. The e-leadership instrument consisted of four variable dimensions, namely frequency of use, variation of use, effectiveness of use, and mastery of information and communication technology. The instrument for the effectiveness of the school’s public relations consisted of three dimensions, namely the school’s public relation communication, community involvement, and community support. The school improvement instrument was divided into five dimensions, namely the school improvement program, the level of responsiveness of members, the management of school improvement, the involvement of members, and the school’s achievement of improvement results. Graded answer alternatives were provided from never to always, with a score of 1 to 5. As for the alternative checklist answers, yes = 1 and no = 0.
The instrument validity content was achieved by conducting an in-depth study of the theoretical construct of the variables, considering the situation and conditions in the field, and developing a grid based on a careful theoretical study. Thus, good content validity was obtained. In addition, empirical instrument trials were also conducted in the field. The type of empirical validity studied was item validity, using item–total analysis, while the reliability of the questionnaire was estimated using Cronbach’s alpha formula and linear combinations [40,41,42].
The test was conducted on samples with the same characteristics as the research population, with a total of 100 principals. The results of the reliability analysis achieved a reliability estimate for the information and communication technology-based school leadership instrument of rii = 0.873, for the school’s public relations effectiveness instrument of rii = 0.855, and for the school improvement instrument rii = 0.956. All reliability coefficients were >0.7; thus, it can be concluded that the instruments had good reliability.
For item validity analysis, the item–total correlation coefficient for the information and communication technology-based school leadership instrument was r = 0.392 to 0.722, for the school’s public relations effectiveness instrument was r = 0.423 to 0.746, and for the school improvement instrument was r = 0.429 to 0.789. All r coefficients were >0.3; thus, it can be concluded that the research instruments showed good item validity. Two items in the school’s public relations effectiveness instrument were below 0.3 but significant; therefore, they were still used to collect data.

2.4. Data Analysis

The data analysis techniques comprised descriptive statistics and structural equation modeling. Frequency distribution, means, standard deviations, and percentages were used to describe the data in terms of the implementation of information and communication technology-based school leadership and the effectiveness of the school’s public relations and improvement. Structural equation modeling (SEM) was used to examine the structural influence of the use of information and communication technology-based school leadership on the effectiveness of the school’s public relations and improvement, both directly and indirectly. The determination of the analysis technique was based on the research objectives and the types of data available.

3. Results

3.1. Descriptive Analysis Results

Based on the descriptive statistical analysis results, it is known that the average implementation of information and communication technology-based school leadership was 2.92, with a standard deviation of 0.515. This means that the average use of information and communication technology was included in the category of frequent use. The frequency of each criterion is presented in Figure 3.
Figure 3 shows that the school principals often used ICT in leading their schools, with a percentage of 73%, while 9.5% always used ICT and only 17.5% rarely used it.
When viewed from the perspective of the variation of its use, in general, the obtained average was 2.25, with a standard deviation of 1.062. Based on these results, it can be inferred that, on average, the principals use two techniques, with a fairly high variation, from one communication technique to more than five communication techniques. The percentage of the number of variations of communication techniques is presented in Figure 4.
The description of the figure strengthens the mean value, mostly found in the two communication techniques (37.10%), followed by three techniques (24.73%), four techniques (6.99%), five techniques (4.30%), and one technique (26.88%). However, the difference between using two techniques and one technique hardly varies. A description of the variety of communication techniques used in implementing school leadership is presented in Figure 5.
Some communication techniques widely used in school leadership included WhatsApp, telephone, email, Google Forms, video recording, Zoom, audio recording, Google Meet, websites, and Facebook. WhatsApp was the most used, followed by telephone, email, and Google Forms, while Skype was rarely used. Some other techniques were Instagram, telegram, YouTube, and Webex.
Viewed from the field, the use of ICT can be presented in Figure 6.
Based on Figure 6, it can be seen that in terms of frequency, ICT is widely used to deal with financial, administrative, and staffing problems, while in terms of variations, it is the highest in dealing with learning problems.
Looking at the effectiveness of using communication techniques in school leadership, the average value was 2.83, with a standard deviation of 0.542. Thus, it can be concluded that the average use of ICT in school leadership is quite effective. The view per criterion is broadly presented in Figure 7.
The description of the picture strengthens the mean value, mostly found in the quite effective criteria (70.85%), followed by the less-effective criteria (21.61%), very effective criteria (6.53%), and non-effective criteria (1.01%), meaning that most said it was effective.
Looking at the level of mastery of the principals regarding using ICT in their school’s leadership in general, the average value was 2.89, with a standard deviation of 0.513. Thus, it can be concluded that the average level of ICT mastery of the principals in school leadership is in the category of moderately mastered. The results of the analysis per criteria, in general, are presented in Figure 8.
Based on the tables and figures, it can be inferred that the level of ICT mastery of the principals in school leadership is mostly included in the category of moderately mastered or enough to understand (77.00%), followed by highly mastered (6.5%), less mastered (15.00%), and not mastered (1.5%). Thus, most indicated that they had mastered ICT use quite well.

3.2. Hypothesis Test Results

Structural equation modeling analysis techniques were used to test the research hypothesis. The hypothesis tested was that there is a structural influence of information and communication technology-based school leadership on the effectiveness of the school’s public relations and improvement.
Based on the analysis results, the chi-squared value was 58.67 with a p-value of 0.13915. As the p-value was > 0.05, it can be concluded that the theoretical model fitted with the empirical model. This is supported by other goodness-of-fit criteria that are broadly presented in Table 1.
The goodness-of-fit value obtained was 0.953, the adjusted goodness-of-fit (AGFI) value obtained was 0.924, the normed fit index (NFI) value obtained was 0.940, and the non-normed fit index (NNFI) value obtained was 0.980. All values were above 0.9, so it can be concluded that the structural model of the influence of exogenous and endogenous variables fits the data in the field. In addition, the root-mean-square residual (RMSEA) value was 0.033, which is below 0.08. The results allow the null hypothesis to be rejected and the alternative hypothesis to be accepted. In other words, the proposed hypothetical model fits the data in the field.
In general, the structural relationship model among these variables is presented in Figure 9.
  • Information:
  • ICT-M = principal e-leadership;
  • X1 = frequency of ICT usage;
  • X2 = variations in the use of ICT;
  • X3 = effective use of ICT;
  • X4 = mastery of ICT;
  • SPR = effectiveness of schools’ public relations;
  • Y1 = communication effectiveness;
  • Y2 = community involvement in supporting education;
  • Y3 = community support in solving problems;
  • SI = school improvement;
  • Y4 = school improvement program;
  • Y5 = member responsiveness level;
  • Y6 = school improvement management;
  • Y7 = member involvement in school improvement;
  • Y8 = achievement of school improvement.
Figure 9 confirms that the results of the goodness-of-fit analysis model of the structural influence of exogenous and endogenous variables fit with the data in the field. In other words, principals’ e-leadership has a direct effect on the effectiveness of schools’ public relations, as well as direct and indirect effects on school improvement. The effectiveness of schools’ public relations affects school improvement. The effects coefficient is presented in Table 2.
Based on the analysis results, it can be concluded that principals’ e-leadership affects the effectiveness of schools’ public relations, with a coefficient of 0.230. The effectiveness of schools’ public relations affects school improvement, with a coefficient of 0.333, and principals’ e-leadership also affects school improvement, with a direct effect coefficient of 0.123 and an indirect effect coefficient of 0.077, comprising a total effect of 0.199.
Looking at the support of each variable observed in the latent variable, good results were observed. The measurement model of the variables fits with the data in the field. In general, the measurement model analysis results of the three variables are presented in Table 3.
Referring to Table 3, it can be seen that principals’ e-leadership variable consists of four dimensions, namely the frequency of use of ICT, obtained as a value of λ = 1.000, as referenced; variation in the use of ICT, obtained as a value of λ = 0.564; effectiveness of use, obtained as a value of λ = 0.976; and mastery of ICT, obtained as a value of λ = 0.527. The four lambda values are quite high; therefore, the observed variables are the main indicators of the construct of the principals’ e-leadership variable.
From the analysis results, it is also known that the effectiveness of the schools’ public relations variable is supported by three dimensions, namely communication effectiveness, which obtained a value of λ = 0.874; community involvement, which obtained a value of λ = 0.481; and community support to solve problems, which obtained a value of λ = 1.000. The three lambda values are also quite high, which indicates that the three observed variables are the main indicators of the effectiveness of the schools’ public relations construct.
Based on the findings, it is also emphasized that the school improvement variable consists of five dimensions, namely school improvement program, which obtained a value of λ = 1.000; responsive level of members, which obtained a value of λ = 0.933; improvement management, which obtained a value of λ = 1.000; member involvement, which obtained a value of λ = 0.870; achievement of school improvement, which obtained a value of λ = 0.842. The five lambda values are quite high, showing that the five observed variables are the main indicators of the school improvement construct.

4. Discussion

Based on the study results, it can be seen that principals, on average, use ICT in school leadership to a sufficient level. Likewise, the variation in usage is still relatively low, being at its highest using one to two communication techniques. The level of mastery of the principals in ICT is also still sufficient. These results are related to several previous research findings. Principals are still applying relatively low information and communication technology in school leadership, including in managing schools’ public relations [43]. Principals lack experience in using information and communication technology or social media to manage schools, especially public school principals [44]. However, the results of previous research show that principals have a responsibility to use ICT in establishing relationships with parents and the community [45].
Our research results indicated that there is a significant positive effect of principals’ e-leadership on the effectiveness of schools’ public relations. The greater degree to which a principal implements e-leadership, the higher the collaboration between their school and parents, and the community. These findings are in line with several previous studies, in that there is a significant positive correlation between principals’ e-leadership and the quality of schools’ administrative work [46]. Information and communication technology (ICT) use also has a significant effect on the job satisfaction and commitment of employees [47,48]. In addition, several other research works have shown that the use of social media or ICT in communication results in organizational growth [49]. Information and communication technology (ICT) also has a significant effect on the learning rate of students [50]. Social media usage also can support women in community leadership [51]. There is a positive indirect impact of social media usage on psychological well-being [52]. By using ICT in leadership, communication becomes more effective, and effective communication can improve cooperation and relationships between parents and the community.
The research results also showed that there was a significant positive effect of principals’ e-leadership on school improvement. The results of this study support previous studies, in that the principal’s leadership has a significant positive effect on school improvement [37,53]. The results of another analysis showed that there is an effect of the effectiveness of schools’ public relations on school improvement. When examined further, the magnitude of the influence of the effectiveness of schools’ public relations on school improvement is stronger. Thus, there is an indirect effect of the implementation of principals’ e-leadership on school improvement. The implementation of e-leadership can increase the effectiveness of schools’ public relations, and the development of the effectiveness of schools’ public relations can increase community support for schools. Meanwhile, increased community support for the implementation of education in schools has an impact on increasing school improvement.
If examined from the dimensions of the variables, in the principals’ e-leadership variable, the factors that provide the highest support are the frequency of use and the effectiveness of the use of information and communication technology. This can be understood from the perspective of these two factors being the main dimensions that show the real activities carried out by principals.
In the variable of the effectiveness of schools’ public relations, the factor that contributed the most was community support in solving problems, followed by the effectiveness of communication. These findings indicate that it is real community support that determines the effectiveness of schools’ public relations. If communication is carried out effectively, it produces maximum community support for the implementation of education in schools.
In the school improvement variable, all five factors showed high support. This means that the five factors are the main dimensions of the school improvement variable. This finding supports the results of previous studies that school improvement is largely determined by the behavior, practices, and attitudes of school personnel [54]. Indeed, the five dimensions of school improvement refer to the behavior of school personnel.
The findings of this study make a major contribution to the development of educational leadership and management theory and practice. Based on the theory and results of previous research, communication with parents or the community is mostly conducted through oral and written communication techniques. The results of previous studies have also shown that the utilization of ICT in school community relations management is less effective [6]. These findings change or develop existing theories and some of the results of previous studies. This relates to the development of industrial society 5.0, which emphasizes the use of technology to support human activities, especially the activity of leading and managing schools.
Second, from several dimensions of the effectiveness of schools’ public relations, the main dimension mostly emphasizes the community’s concrete support for the implementation of education in schools. For this reason, the main step that has to be carried out is to communicate effectively with the community, while the second is to involve the community in educational activities in schools.
Third, in terms of the characteristics of school improvement, nowadays, only team, process, change, qualitative, improvement, and implementation of knowledge are emphasized. From the findings of this study, it is necessary to add another quite important component, namely the use of ICT in school improvement related to technological developments, to support the optimal achievement of goals. In other words, ICT-based leadership is very effective in supporting school improvement.
The fourth major implementation of ICT depends on the intensity of its utilization in school leadership and management. This is followed by a variation of ICT-based communication techniques. The more intensively ICT is utilized in school leadership and management, the more effective it will be in increasing school effectiveness and improvement. The intensity of such use will be higher if supported by a variety of relevant communication techniques.
The most used communication technique is WhatsApp. The results of this study are in line with the results of previous studies. This technique is widely used for sharing information [55]. Considering the implications for the development of supervision theory, three aspects must be considered in using ICT for learning or employee development. The first is the intensity of doing, the second is providing a variety of media, and the third is the relevance of developing techniques.
Fifth, the findings of this study also provide practical benefits, in that the level of mastery, frequency, and variations of ICT-based communication techniques applied by school principals are still not optimal. Therefore, regarding both the mastery and intensity of using ICT in schools, school principals need to continuously improve, through in-service education, supervision, or other development activity programs.
Viewed from another perspective based on social system theory, the individual behavior of personnel in the organization is influenced by two elements, namely the demands of organizational tasks, roles, and expectations, called the nomothetic dimension, and individual characteristics, personality, and needs disposition, called the ideographic dimension. The findings of this study indicate that the use of ICT in carrying out organizational tasks can comply with the demands of the institution and also be accepted by the school community, parents, or the community. Thus, the use of ICT in carrying out school leadership tasks follows the culture of the school and society.
In general, the formulated hypothesis of this study is proven. The proposed hypothetical model is fit with the data in the field. e-Leadership implemented by principals has proven to have a significant effect on the effectiveness of schools’ public relations and improvement, both directly and indirectly. Based on the evaluation program theory, the implementation of e-leadership of principals and the effectiveness of school public relations are process components, while school improvement is a product or output component [56]. The findings of this study indicate that the principal’s e-leadership is a leadership strategy proven to increase the effectiveness of the process, namely increasing the effectiveness of school public relations, which is realized with the support of parents and the community. Effective leadership and strong parental and community support are the two main pillars that determine the effectiveness of the process. Meanwhile, school improvement is an output. e-Leadership of school principals is proven to increase the effectiveness of processes and results, the impact of which can bring about continuous systemic improvements and achieve excellent or high-performance schools.

5. Conclusions

Based on the analysis results, it can be concluded that the findings of this study have answered the hypothesis formulation. There is a structural influence of school principals’ e-leadership on the effectiveness of schools’ public relations and improvement, either directly or indirectly. There is a direct influence of principals’ e-leadership on the effectiveness of schools’ public relations; that is, the higher the application of principals’ e-leadership, the higher the effectiveness of schools’ public relations. Additionally, there are direct and indirect effects of principals’ e-leadership on school improvement; that is, the higher the implementation of principals’ e-leadership, the higher the school improvement. Lastly, there is a direct influence of the effectiveness of schools’ public relations on school improvement; that is, the higher the effectiveness of schools’ public relations, the higher the school improvement. Thus, the findings of this study prove the existing theory that principals’ leadership influences school improvement, and also develop a theory, namely that the implementation of e-leadership turns out to be effective in processes and results. Implementation of the principals’ e-leadership can increase the effectiveness of schools’ public relations and improvement.
Based on the conclusions obtained in this study, several recommendations can be put forward. To increase the effectiveness of schools’ public relations, it is necessary to increase the capacity of the principals in leading schools using information and communication technology. To develop school progress, it is necessary to have capable principals manage schools using information and communication technology. Based on these findings, it can be concluded that the use of ICT in school leadership can improve school progress by increasing the effectiveness of schools’ public relations. Therefore, it is recommended that principals improve their ICT skills to increase their school’s progress.
This study only looked at the effect on the effectiveness of schools’ public relations and school improvement. Many other variables were not studied in this research, including the effectiveness of learning management, student affairs, finance, infrastructure, personnel, and school culture. Therefore, this can be considered in further research to obtain generalizations to develop further theories.

Author Contributions

Conceptualization, B.B.W. and A.K.; methodology, B.B.W.; software, B.B.W. and A.K.; validation, B.B.W. and M.F.; formal analysis, B.B.W.; investigation, B.B.W.; resources, B.B.W., S. and A.A.A.; data curation, B.B.W. and S.; writing—original draft preparation, B.B.W.; writing—review and editing, B.B.W., A.A.A. and M.F.; visualization, B.B.W. and S.; supervision, B.B.W., A.K. and M.F.; project administration, B.B.W. and S.; funding acquisition, A.A.A. All authors have read and agreed to the published version of the manuscript.

Funding

The Deanship of Scientific Research at Umm Al-Qura University for supporting this work by Grant Code: (22UQU4280253DSR04).

Institutional Review Board Statement

Not applicable.

Informed Consent Statement

Not applicable.

Data Availability Statement

Not applicable.

Acknowledgments

The authors would like to thank the Deanship of Scientific Research at Umm Al-Qura University for supporting this work by Grant Code: (22UQU4280253DSR04).

Conflicts of Interest

There are no potential conflicts of interest regarding this research.

References

  1. Sahlberg, P. Will the Pandemic Change Schools? J. Prof. Cap. Community 2020, 5, 359–365. [Google Scholar] [CrossRef]
  2. Komariah, A.; Kurniady, D.A. Kepemimpinan Pendidikan Abad ke-21; PT Raja Grafindo Persada: Depok, Indonesia, 2021. [Google Scholar]
  3. Al-Mubarok, Z.; Komariah, A.; Kurniatun, T.C. The Role of Educational Leadership to Support National Resilience: An overview of Era 4.0. Int. J. Psychosoc. Rehabil. 2020. Available online: https://inspirasifoundation.org/blog/portfolio_page/the-role-of-educational-leadership-to-support-national-resilience-an-overview/ (accessed on 2 January 2023).
  4. Oishi, I.R.V. Pentingnya Belajar Mandiri Bagi Peserta Didik di Perguruan Tinggi. J. IKRA ITH Hum. 2020, 4, 50–55. [Google Scholar]
  5. Collie, R.J. COVID-19 and Teachers’ Somatic Burden, Stress, and Emotional Exhaustion: Examining the Role of Principal Leadership and Workplace Buoyancy. AERA Open 2021, 7, 1–7. [Google Scholar] [CrossRef]
  6. Wiyono, B.B.; Kusumaningrum, D.E.; Triwiyanto, T.; Sumarsono, R.B.; Valdez, A.V.; Gunawan, I. The Comparative Analysis of Using Communication Technology and Direct Techniques in Building School Public Relation. In Proceedings of the 2019 5th International Conference on Education and Technology (ICET), Malang, Indonesia, 4–5 October 2019; pp. 81–86. [Google Scholar] [CrossRef]
  7. Adams, D.; Cheah, K.S.L.; Thien, L.M.; Yusoff, N.N.M. Leading schools through the COVID-19 crisis in a South-East Asian country. Manag. Educ. 2021. [Google Scholar] [CrossRef]
  8. Bush, T. Theories of Educational Leadership and Management, 5th ed.; Sage Publications: Thousand Oaks, CA, USA, 2020. [Google Scholar]
  9. Khan, S. Leadership in the Digital Age—A Study on the Effects of Digitalisation on Top Management Leadership; Stockholm Business School: Stockholm, Sweden, 2016. [Google Scholar]
  10. Berman, S.J. Digital Transformation: Opportunities to Create New Business Models. Strategy Leadersh. 2012, 40, 16–24. [Google Scholar] [CrossRef]
  11. Gorton, C. Building Digital Leadership and Resilience in the UK’s Cultural Sector; Arts and Humanities Research Council: Swindon, UK, 2018. [Google Scholar]
  12. Zhang, G.; Jia, Z.; Yan, S. Does Gender Matter? The Relationship Comparison of Strategic Leadership on Organizational Ambidextrous Behavior between Male and Female CEOs. Sustainability 2022, 14, 8559. [Google Scholar] [CrossRef]
  13. Haider, S.A.; Akbar, A.; Tehseen, S.; Poulova, P.; Jaleel, F. The Impact of Responsible Leadership on Knowledge Sharing Behavior through the Mediating Role of Person—Organization Fit and Moderating Role of Higher Educational Institute Culture. J. Innov. Knowl. 2022, 7, 100265. [Google Scholar] [CrossRef]
  14. Bagga, S.K.; Gera, S.; Haque, S.N. The Mediating Role of Organizational Culture: Transformational Leadership and Change Management in Virtual Teams. Asia Pac. Manag. Rev. 2022. [Google Scholar] [CrossRef]
  15. Lara, L.; Saracostti, M. Effect of Parental Involvement on Children’s Academic Achievement in Chile. Front. Psychol. 2019, 10, 1464. [Google Scholar] [CrossRef] [PubMed]
  16. Yulianti, K.; Denessen, E.; Droop, M. The Effects of Parental Involvement on Children’s Education a Study in Elementary Schools in Indonesia. Int. J. About Parents Educ. 2018, 10, 14–32. [Google Scholar]
  17. Chohan, B.I.; Khan, R. Impact of Parental Support on the Academic Performance and Self Concept of the Student. J. Res. Reflect. Educ. 2010, 4, 14–26. [Google Scholar]
  18. Topor, D.R.; Keane, S.P.; Shelton, T.L.; Calkins, S.D. Parent Involvement and Student Academic Performance: A Multiple Mediational Analysis. J. Prev. Interv. Community 2010, 38, 183–197. [Google Scholar] [CrossRef]
  19. Alexieva, M.; Filipov, M. Building School Community through Educational Public relations. Evol. Soc. Sci. J. 2016, 2, 5–9. [Google Scholar]
  20. Sanfo, M.B.J.-B. Leaving No Place behind: Community Participation and Primary School Students’ Learning Achievements in Burkina Faso’s Small-Scale Gold Mining Communities. Int. J. Educ. Res. Open 2020, 1, 100010. [Google Scholar] [CrossRef]
  21. Ginosyan, H.; Tuzlukova, V.; Ahmed, F. An Investigation into the Role of Extracurricular Activities in Supporting and Enhancing Students’ Academic Performance in Tertiary Foundation Programs in Oman. Theory Pract. Lang. Stud. 2020, 10, 1528–1534. [Google Scholar] [CrossRef]
  22. Sumarsono, R.; Imron, A.; Wiyono, B.; Arifin, I. Parents’ Participation in Improving the Quality of Elementary School in the City of Malang, East Java, Indonesia. Int. Educ. Stud. 2016, 9, 256. [Google Scholar] [CrossRef]
  23. Wiyono, B. The Effect of School-Based Management Implementation on the Education Quality. Adv. Sci. Lett. 2017, 23, 8612–8616. [Google Scholar] [CrossRef]
  24. Joo, Y.H. The Effects of Distributed Leadership on Teacher Professionalism: The Case of Korean Middle Schools. Int. J. Educ. Res. 2020, 99, 101500. [Google Scholar] [CrossRef]
  25. Luyten, H.; Bazo, M. Transformational Leadership, Professional Learning Communities, Teacher Learning, and Learner Centred Teaching Practices; Evidence on Their Interrelations in Mozambican Primary Education. Stud. Educ. Eval. 2019, 60, 14–31. [Google Scholar] [CrossRef]
  26. Rechsteiner, B.; Compagnoni, M.; Wullschleger, A.; Schäfer, L.M.; Rickenbacher, A.; Merki, K.M. Teachers Involved in School Improvement: Analyzing Mediating Mechanisms of Teachers’ Boundary-Crossing Activities between Leadership Perception and Teacher Involvement. Teach. Teach. Educ. 2022, 116, 103774. [Google Scholar] [CrossRef]
  27. Salomon, A.; Kolikant, Y.B.-D. High-School Students’ Perceptions of the Effects of Non-Academic Usage of ICT on Their Academic Achievements. Comput. Hum. Behav. 2016, 64, 143–151. [Google Scholar] [CrossRef]
  28. Zhu, J.; Li, S.C. The Non-Linear Relationships between ICT Use and Academic Achievement of Secondary Students in Hong Kong. Comput. Educ. 2022, 187, 104546. [Google Scholar] [CrossRef]
  29. Alt, D. Science Teachers’ Conceptions of Teaching and Learning, ICT Efficacy, ICT Professional Development and ICT Practices Enacted in Their Classrooms. Teach. Teach. Educ. 2018, 73, 141–150. [Google Scholar] [CrossRef]
  30. Bush, T.; Coleman, M. Leadership and Strategic Management in Education; Paul Chapman Publishing Ltd.: London, UK, 2000. [Google Scholar]
  31. Reynolds, D.; Teddlie, C. The International Handbook of School Effectiveness Research, 1st ed.; Routledge: London, UK; New York, NY, USA, 1999. [Google Scholar]
  32. French, W.L.; Bell, C.; Zawacki, R.A. Organization Development and Transformation: Managing Effective Change, 6th ed.; McGraw-Hill/Irwin: New York, NY, USA, 2005. [Google Scholar]
  33. Blau, I.; Presser, O. E-Leadership of School Principals: Increasing School Effectiveness by a School Data Management System. Br. J. Educ. Technol. 2013, 44, 1000–1011. [Google Scholar] [CrossRef]
  34. Karadag, E. The Effect of Educational Leadership on Students’ Achievement: A Cross-Cultural Meta-Analysis Research on Studies between 2008 and 2018. Asia Pac. Educ. Rev. 2020, 21, 49–64. [Google Scholar] [CrossRef]
  35. Omar, A.; Kavale, D. Effect of Leadership Style on School Performance of the Secondary Schools in Wadajir District, Mogadishu, Somalia. J. Appl. Manag. Sci. 2016, 2, 51–70. [Google Scholar]
  36. Chua, Y.P.; Chua, Y.P. How Are E-Leadership Practices in Implementing a School Virtual Learning Environment Enhanced? A Grounded Model Study. Comput. Educ. 2017, 109, 109–121. [Google Scholar] [CrossRef]
  37. Wiyono, B.B. The Effect of Self-Evaluation on the Principals’ Transformational Leadership, Teachers’ Work Motivation, Teamwork Effectiveness, and School Improvement. Int. J. Leadersh. Educ. 2018, 21, 705–725. [Google Scholar] [CrossRef]
  38. Luo, Y.; Jiang, H. Effective Public Relations Leadership in Organizational Change: A Study of Multinationals in Mainland China. J. Public Relat. Res. 2014, 26, 134–160. [Google Scholar] [CrossRef]
  39. Johnson, R.; Christensen, L. Educational Research Quantitative, Qualitative, and Mixed Approaches, 5th ed.; SAGE Publications: Thousand Oaks, CA, USA, 2014. [Google Scholar]
  40. Cohen, J. Statistical Power Analysis for the Behavioral Sciences, 2nd ed.; Routledge: Hillsdale, NJ, USA, 1988. [Google Scholar]
  41. Hair, J.F.; Black, W.C.; Babin, B.J.; Anderson, R.E. Multivariate Data Analysis; Pearson Education Limited: London, UK, 2013. [Google Scholar]
  42. Martens, D.M. Research and Evaluation in Education and Psychology; Sage Publications: Los Angeles, CA, USA, 2010. [Google Scholar]
  43. Wiyono, B.B.; Kusumaningrum, D.E.; Prestiadi, D. The Utilization of Information and Communication Technology in School Management, in Relation to the Characteristics of Principals. In Proceedings of the 2021 International Conference on Technological Advancements and Innovations (ICTAI), Tashkent, Uzbekistan, 10–12 November 2021; pp. 251–256. [Google Scholar] [CrossRef]
  44. Azubuike, A.J.; Nkiru, A.F.; Adaora, A.V. Principals’ ICT Competencies: An Imperative for Management of Information Systems in Public and Private Secondary Schools in Anambra State. Int. J. Innov. Sci. Res. Technol. 2021, 6, 196–204. [Google Scholar]
  45. Mazza, J. The Use of Social Media Tools by School Principals to Communicate between Home and School; University of Pennsylvania: Philadelphia, PA, USA, 2013. [Google Scholar]
  46. Wiyono, B.B.; Indreswari, H.; Prastiawan, A. The Use of Communication Technology in Establishing Community Relationships Applied by School Administration Staff, in Relation to Their Education Level and Age. In Proceedings of the 2021 3rd International Conference on Computer Communication and the Internet (ICCCI), Nagoya, Japan, 25–27 June 2021; pp. 214–219. [Google Scholar] [CrossRef]
  47. Apak, S.; Gümüş, S. A Research about the Effect of the Leadership Qualities of Public Administrators on the Motivation of the Employees. Procedia Soc. Behav. Sci. 2015, 210, 368–377. [Google Scholar] [CrossRef]
  48. Canterino, F.; Guerci, M.; Cirella, S.; Shani, A.B. The Intertwined Effect of HRM Practices and Transformational Leadership on Employees’ Attitudes in an M&A Context: Evidence from a Collaborative and Mixed-Methods Study. Eur. Manag. J. 2022, 40. [Google Scholar] [CrossRef]
  49. Lee, K.; Park, Y.; Lee, D. Effect of the ICT Ecosystem Structure on the Sustainable Growth of ICT Firms: A Metafrontier Analysis on China, South Korea, the United States, and Japan. Sustainability 2016, 8, 469. [Google Scholar] [CrossRef]
  50. Maleki, H.; Majidi, A.; Haddadian, F.; Rezai, A.M.; Alipour, V. Effect of Applying Informant on and Communication Technology (ICT) on Learning Level and Information Literacy of Students. Procedia Soc. Behav. Sci. 2012, 46, 5862–5867. [Google Scholar] [CrossRef]
  51. Shockley, B.; Lari, N.A.; El-Maghraby, E.A.A.; Al-Ansari, M.H. Social Media Usage and Support for Women in Community Leadership: Evidence from Qatar. Women’s Stud. Int. Forum 2020, 81, 102374. [Google Scholar] [CrossRef]
  52. Ostic, D.; Qalati, S.A.; Barbosa, B.; Shah, S.M.M.; Vela, E.G.; Herzallah, A.M.; Liu, F. Effects of Social Media Use on Psychological Well-Being: A Mediated Model. Front. Psychol. 2021, 12, 2381. [Google Scholar] [CrossRef]
  53. Silins, H.C. Leadership Characteristics, and School Improvement. Aust. J. Educ. 1994, 38, 266–281. [Google Scholar] [CrossRef]
  54. Kalman, M. School Improvement and Contextual Factors: A Qualitative Case Study on Educators’ Perceptions and Experiences. Pedagog. Res. 2020, 5, em0083. [Google Scholar] [CrossRef]
  55. Wiyono, B.B.; Kulidtod, Z.D.; Musa, K.B. The Effectiveness of Using Recording, Synchronous Communication, and Sharing Information Tools in Training to Improve the Teachers’ Instructional Process and Outcome. In Proceedings of the 2022 2nd In-ternational Conference on Information Technology and Education (ICIT&E), Malang, Indonesia, 22 January 2022; pp. 398–402. [Google Scholar] [CrossRef]
  56. Isaac, S.; Michael, W.B. Handbook in Research and Evaluation: A Collection of Principles, Methods, and Strategies Useful in the Planning, Design, and Evaluation of Studies in Education and the Behavioral Sciences; Edits Publishers: San Diego, CA, USA, 1995. [Google Scholar]
Figure 1. The conceptual model of the relationships between exogenous and endogenous variables.
Figure 1. The conceptual model of the relationships between exogenous and endogenous variables.
Sustainability 15 01296 g001
Figure 2. Hypothetical model of the effect of e-leadership principals on the effectiveness of schools’ public relations and improvement.
Figure 2. Hypothetical model of the effect of e-leadership principals on the effectiveness of schools’ public relations and improvement.
Sustainability 15 01296 g002
Figure 3. Frequency of using ICT in school’s e-leadership.
Figure 3. Frequency of using ICT in school’s e-leadership.
Sustainability 15 01296 g003
Figure 4. Sum of techniques variation in the use of ICT.
Figure 4. Sum of techniques variation in the use of ICT.
Sustainability 15 01296 g004
Figure 5. Communication techniques that are used in school leadership.
Figure 5. Communication techniques that are used in school leadership.
Sustainability 15 01296 g005
Figure 6. The use of ICT in the field of tasks in schools.
Figure 6. The use of ICT in the field of tasks in schools.
Sustainability 15 01296 g006
Figure 7. Effectiveness of communication techniques.
Figure 7. Effectiveness of communication techniques.
Sustainability 15 01296 g007
Figure 8. Level of the principals’ ICT mastery.
Figure 8. Level of the principals’ ICT mastery.
Sustainability 15 01296 g008
Figure 9. Structural influence model of e-leadership on the effectiveness of schools’ public relations and improvement.
Figure 9. Structural influence model of e-leadership on the effectiveness of schools’ public relations and improvement.
Sustainability 15 01296 g009
Table 1. Results of the goodness-of-fit analysis of the structural influence model of e-leadership on the effectiveness of schools’ public relations and improvement.
Table 1. Results of the goodness-of-fit analysis of the structural influence model of e-leadership on the effectiveness of schools’ public relations and improvement.
Indicators of Goodness of FitOutputCriterionInterpretation
Chi-squared58.67p > 0.05Fit
Goodness of Fit (GFI)0.953>0.9Fit
Adjusted Goodness of Fit (AGFI) 0.924>0.9Fit
Root-Mean-Square Residual (RMSEA)0.033<0.08Fit
Normed Fit Index (NFI)0.940>0.9Fit
Non-Normed Fit Index (NNFI)0.980>0.9Fit
Table 2. Results of the goodness-of-fit analysis of the structural influence model of principals’ e-leadership on the effectiveness of schools’ public relations and improvement.
Table 2. Results of the goodness-of-fit analysis of the structural influence model of principals’ e-leadership on the effectiveness of schools’ public relations and improvement.
Exogenous VariableEndogenous VariableDirect EffectIndirect EffectTotal Effect
e-Leadership of PrincipalsEffectiveness of Schools’ Public Relations0.230-0.230
School Improvement0.1230.0770.199
Effectiveness of Schools’ Public RelationsSchool Improvement0.333-0.333
Table 3. Principals’ e-leadership variable measurement model and effectiveness of schools’ public relations and improvement.
Table 3. Principals’ e-leadership variable measurement model and effectiveness of schools’ public relations and improvement.
Latent VariableObserved VariableLambda
Exogenous Variable
Principals’ e-LeadershipFrequency of ICT Usage (X1)1.000
Variations in the Use of ICT (X2)0.564
Effective Use of ICT (X3)0.976
Mastery of ICT (X4)0.527
Effectiveness of Schools’ Public RelationsCommunication Effectiveness (Y1)0.874
Community Involvement in Supporting Education (Y2)0.481
Community Support in Solving Problems (Y3)1.000
School ImprovementSchool Improvement Program (Y4)1.000
Member Responsiveness Level (Y5)0.933
School Improvement Management (Y6)1.000
Member Involvement in School Improvement (Y7)0.870
Achievement of School Improvement Results (Y8)0.842
Disclaimer/Publisher’s Note: The statements, opinions and data contained in all publications are solely those of the individual author(s) and contributor(s) and not of MDPI and/or the editor(s). MDPI and/or the editor(s) disclaim responsibility for any injury to people or property resulting from any ideas, methods, instructions or products referred to in the content.

Share and Cite

MDPI and ACS Style

Wiyono, B.B.; Komariah, A.; Alghamdi, A.A.; Sultoni; Fahlevi, M. The Influence of Principals’ e-Leadership on the Effectiveness of Schools’ Public Relations and Organizational Improvement. Sustainability 2023, 15, 1296. https://doi.org/10.3390/su15021296

AMA Style

Wiyono BB, Komariah A, Alghamdi AA, Sultoni, Fahlevi M. The Influence of Principals’ e-Leadership on the Effectiveness of Schools’ Public Relations and Organizational Improvement. Sustainability. 2023; 15(2):1296. https://doi.org/10.3390/su15021296

Chicago/Turabian Style

Wiyono, Bambang Budi, Aan Komariah, Abdulelah A. Alghamdi, Sultoni, and Mochammad Fahlevi. 2023. "The Influence of Principals’ e-Leadership on the Effectiveness of Schools’ Public Relations and Organizational Improvement" Sustainability 15, no. 2: 1296. https://doi.org/10.3390/su15021296

APA Style

Wiyono, B. B., Komariah, A., Alghamdi, A. A., Sultoni, & Fahlevi, M. (2023). The Influence of Principals’ e-Leadership on the Effectiveness of Schools’ Public Relations and Organizational Improvement. Sustainability, 15(2), 1296. https://doi.org/10.3390/su15021296

Note that from the first issue of 2016, this journal uses article numbers instead of page numbers. See further details here.

Article Metrics

Back to TopTop