Next Article in Journal
Assessment of Saudi Arabia’s Classification and Selection Criteria for Heritage Sites: A Case Study of Barzan Heritage Area in Hail City
Next Article in Special Issue
Spatial Difference Studies and Driving Force Analysis of Rural Settlements in the Northwest Sichuan Plateau
Previous Article in Journal
Comparative Analysis of the Genetic Diversity of Faba Bean (Vicia faba L.)
Previous Article in Special Issue
The Influence of Large-Scale Agricultural Land Management on the Modernization of Agricultural Product Circulation: Based on Field Investigation and Empirical Study
 
 
Font Type:
Arial Georgia Verdana
Font Size:
Aa Aa Aa
Line Spacing:
Column Width:
Background:
Article

Can Policy Promote Agricultural Service Outsourcing? Quasi-Natural Experimental Evidence from China

1
School of Business, Heze University, Heze 274015, China
2
College of Politics and Law, Heze University, Heze 274015, China
*
Author to whom correspondence should be addressed.
Sustainability 2023, 15(2), 1009; https://doi.org/10.3390/su15021009
Submission received: 24 November 2022 / Revised: 22 December 2022 / Accepted: 26 December 2022 / Published: 5 January 2023
(This article belongs to the Collection Rural Policy, Governance and Sustainable Rural Development)

Abstract

This paper emphasizes the key role of policy in the development of agricultural services outsourcing. In this paper, a theoretical framework is constructed to analyze the role of government policies on agricultural service outsourcing under the assumption of the separability of agricultural production processes. The article constructs a quasi-natural experiment using the China-targeted poverty alleviation program and nationally representative microdata, and the PSM-DID model is chosen to estimate the policy effects. We also discuss regional heterogeneity, aiming to identify the ways in which policy affects agricultural service outsourcing. Based on a comprehensive household-level dataset and econometric analysis, we find that targeted poverty alleviation programs significantly promote the use of agricultural service outsourcing by low-income farmers, and the effects of the policies are more pronounced for the central and western regions. These findings suggest that targeted poverty alleviation programs improve the income of farm households in poor areas and encourage the use of agricultural service outsourcing, which can save agricultural labor, reduce the opportunity cost of agricultural production, and contribute to the sustainable development of the poor.

1. Introduction

“No Poverty” is one of the 17 Sustainable Development Goals (SDGs) issued by the United Nations, and rural areas are the regions with the highest incidence of poverty, so achieving sustainable rural development is the key to poverty eradication. In 2015, China had 14 concentrated areas of extreme poverty, 832 poor counties, 128,000 documented poor villages, and 55.75 million people living in absolute poverty [1]. In order to eliminate absolute poverty, China has implemented a precision poverty alleviation program [2]. By 2020, China has achieved the complete eradication of poverty for people below the national poverty line (per capita net income below RMB 2855) and regional overall poverty has been addressed [3]. As a result, China declared a major victory against poverty and achieved the UN 2030 Agenda for Sustainable Development poverty reduction target 10 years ahead of schedule.
Encouraging the development of agricultural service outsourcing is an important part of China’s targeted poverty alleviation program. Agricultural service outsourcing has changed traditional Chinese agriculture by guiding the reallocation of rural production factors and organically linking new technologies with smallholder production [4,5]. The agricultural sector is less productive than the non-farm sector [6,7,8,9] and the trapping of agricultural labor in the agricultural sector weakens the policy effects of targeted poverty alleviation. Agricultural service outsourcing replaces the labor element of agricultural production, allowing this labor to take up higher paying non-farm jobs, further consolidating the results of targeted poverty alleviation programs. This paper examines the impact of targeted poverty alleviation programs on agricultural service outsourcing and explores the economic logic behind the effects.
The rapid development of agricultural service outsourcing, encouraged by policy, is due to the reality of China’s “big country, small farmers”, where farmers are often constrained by capital and land to acquire large fixed assets [10,11,12], and where purchasing their own farm machinery often faces high investment thresholds and dedicated assets are easily locked in. The sharing of agricultural services outsourcing among farmers can bypass the size threshold constraint of large-scale machinery operations [13]. Schurz (1964) proposed a market-based approach to transforming agricultural production by providing farmers with a profitable supply of new factors of production and investing in improving the capacity of those who demand them, the famous “poor but efficient” proposition [14]. In the practice of agricultural production in China, increasingly diversified forms of agricultural service outsourcing organizations such as farm machinery services and agricultural trusteeships have emerged to improve the factor endowment structure of smallholder business models [15]. Rational small-scale farmer theory suggests that between acquiring agricultural machinery and outsourcing agricultural services, farmers will choose the less costly method [16,17]. In China, a developed market for outsourced agricultural machinery services has enabled poor farmers to easily access agricultural machinery in agricultural production and increase agricultural productivity [18,19,20]. Developing agricultural service outsourcing in this context has become an important initiative to promote sustainable anti-poverty policies in China.
Therefore, we construct a simple theoretical framework drawing on Acemoglu and Restrepo’s (2018) [21] task model to promote the development of agricultural service outsourcing through policy subsidies. Helping poor farmers outsource more of their agricultural production enables them to exit from low-yielding agricultural production, gain access to more high-yielding off-farm jobs, and increase farm incomes. This will make China’s targeted poverty alleviation program sustainable. Based on this theoretical framework, we hypothesize that there is a positive average treatment effect of targeted poverty alleviation programs on agricultural service outsourcing. The positive treatment effect arises for two reasons: first, it is clear that there is a direct incentive for the policy to develop the industry; second, the policy reduces the cost of agricultural services outsourcing for farmers, expanding the demand for it and freeing up agricultural labor. We constructed a three-period unbalanced panel dataset using a nationally representative CFPS database and used the DID approach to test our theoretical predictions. We construct treatment and control groups using the absolute poverty line for China, and to deal with endogeneity due to sample selection issues and omitted variable issues, we use the PSM approach to improve the accuracy of our estimates so that the coefficients more accurately reflect causality. In addition to positive treatment effects, we also captured the issue of heterogeneity, which is consistent with our theoretical framework that the response of outsourcing agricultural services to policy varies by geography, with the highest response in the western region.
This article is related to a wide range of literature, such as studies on the effects of anti-poverty policies [1,22,23,24] as well as studies on targeted poverty alleviation programs in China (e.g., anti-poverty relocation program [25,26], the poverty alleviation resettlement policies [27], and targeted poverty alleviation through tourism development [28], and studies of welfare [29]. The basic findings of this study are in line with the extensive literature that highlights the positive aspects of targeted poverty alleviation programs, with our article highlighting the impact of policies on the diffusion of new technologies.
This article is also related to empirical studies on agricultural service outsourcing, which have mostly focused on the level of micro-decision making, i.e., the impact of factors such as household characteristics, individual characteristics, landform characteristics, non-farm employment, and transaction costs on farmers’ agricultural production decisions [17,30,31,32,33]. The impact of agricultural service outsourcing on farm household income and costs has also been discussed [34,35]. However, few scholars have focused on the impact of policy on the adoption of agricultural services outsourcing, with the only literature discussing the impact of different rights recognition approaches on agricultural services outsourcing, using agricultural land rights recognition policies as an entry point [15]. Governments can provide incentives and infrastructure for the development of broad-based outsourcing clusters, enabling faster growth in agricultural productivity [36,37]. A key reason why government power is needed for the development of agricultural services outsourcing is that the supply side requires a certain level of investment in entering the market (e.g., upfront investment in production equipment, or upfront investment in entering a market), and too high an entry cost can hinder market formation [38]. This is why a careful discussion of the role of government policy becomes a key contribution of the article.
The rest of the article is organized as follows. The second chapter is the theoretical analysis. The third chapter is the empirical strategy and data description. The fourth chapter gives the empirical results. The fifth chapter is the conclusion section.

2. Theoretical Framework

As an important part of agricultural production carried out by farmers, agricultural service outsourcing plays a decisive role in the process of allocating agricultural production materials. In recent years, Chinese scholars have given birth to fruitful research on the theory of agricultural service outsourcing. In particular, the principle of divisibility of agricultural production has been discussed [39,40,41]. The divisibility of agricultural production is distinguished from traditional family farming by the idea that the agricultural production process can be divided into different production stages in different ways. For example, plants can be divided into a number of stages such as seed breeding, plowing, sowing, fertilizing, watering, pest control, and harvesting according to their growth pattern. When agricultural production links can be divided, farmers can save labor by outsourcing some of the links according to the rational allocation of factors based on the family’s factor endowment. This provides a theoretical basis for the development of agricultural service outsourcing. Under the condition that agricultural production can be divided, the production of agricultural products can be divided up in the same way as the production of industrial products, realizing economies of scale. On the one hand, the separability of production steps of agriculture induces the separation of agricultural production in different subjects or in different spaces, which helps the entry of new agricultural production operators and the formation of a new outsourcing market for agricultural services. On the other hand, the continuous decomposition of agricultural production processes and intermediate steps extends the agricultural production chain and also promotes the standardization of agricultural production, reduces transaction costs, and thus extends market boundaries and deepens the division of agricultural labor [41].
Agricultural service outsourcing is proven to be one of the ways to improve agricultural efficiency for small-scale farmers in China under investment constraints and land constraints [42,43,44]. The development of agricultural service outsourcing can help small-scale farmers resolve the contradiction between high investment demand in agriculture and the low purchasing power of farmers [45,46,47], achieve the level of agricultural mechanization under the institutional arrangement of highly fragmented land and decentralized production [48], and thus help them escape from poverty. The path of its role can be summarized as agricultural service outsourcing saves labor in agricultural production, reduces the opportunity cost of agricultural production, gives more farm households the opportunity to participate in non-farm work, increases average rural income, and reduces poverty [43]. There is also evidence that agricultural outsourcing services promote agricultural labor transfer and confirm that outsourcing agricultural production helps to overcome family labor constraints and solve the problems of small-scale farmer operations and can replace traditional methods of land consolidation, which in turn improves the capital–labor ratio of family farms [11,49,50,51]. Therefore, the degree of specialization of outsourcing services can improve the factor endowment in traditional agricultural production and thus increase agricultural productivity [11,52,53].
To discuss the impact of government policies on agricultural service outsourcing, this paper draws on the theoretical model of Acemoglu and Restrepo(2018) [21] and constructs a static general equilibrium model under the assumption of divisibility of agricultural production tasks. Assuming that the set of agricultural production tasks is normalized to [ X 1 ,   X ] , as task x gets closer to X 1 representing a more standardized scale of tasks, the more likely agricultural service outsourcing is used. When the task x is closer to X which represents a more specialized and less scaled task, the more likely it is to be produced with labor. To simplify the analysis, this study uses the C-D function to add the total task x [ X 1 , X ] and normalizes the final product price to 1:
ln Y = X 1 X ln y ( x ) d x
In formula (1), Y denotes the total output and y ( x ) denotes the output of each task x . The set [ X 1 , X ] is used to denote the range of tasks, and this integral form can help us to consider the degree of subdivision of agricultural production links, i.e., the variation in the range of agricultural production tasks.
It is assumed that each agricultural production task can be performed by either labor l ( x ) or agricultural service outsourcing o ( x ) , depending on whether the agricultural production task is (technically feasible) to be outsourced. In this study, x [ X 1 , D ] is defined as being technically outsourceable. In this subset of agricultural production tasks, agricultural service outsourcing can be used as an alternative to traditional family operations. The residual set of this subset then denotes the set of tasks that can only be operated with a family business. Without loss of generality, the output y ( x ) of each task is expressed in linear techniques:
y ( x ) = { α L ( x ) l ( x ) + α O ( x ) o ( x )   if   x [ X 1 , D ] α L ( x ) l ( x )                                                     if   x ( D , X ]
In formula (2), α L ( x ) is defined as the productivity of labor in task x (equivalent to labor-enhancing technology) and is assumed to increase with x , i.e., the more specialized the agricultural production task, the higher the productivity of labor. α O ( x ) denotes the productivity of agricultural service outsourcing in the task (equivalent to capital-enhancing technology).
The threshold D denotes the possibility frontier of agricultural service outsourcing: it describes the range of tasks that can be performed by agricultural service outsourcing. Additionally, it is assumed that labor (L) is inelastically supplied. Farmers pay a rent(R) to produce by using agricultural service outsourcing. In equilibrium, the total output expression is:
Y = γ ( K D X + 1 ) D X + 1 ( L X D ) X D
where γ = e x p ( X 1 D ln α O ( x ) d x + D X ln α L ( x ) d x ) .
In equilibrium, formula (3) remains in the form of a C-D production function, with capital and labor determining total output. Unlike the traditional C-D production function, the aggregate production function characterized by formula (3) allocates tasks to both production factors, i.e., the change in the set of tasks determines the relative elasticity of the factors.
We refer to Lucas Jr’s (1988) [54] analysis of human capital and combine it with the reality of Chinese agriculture. We argue that in Chinese agricultural production, the development of outsourcing of agricultural services is often led by the government and then followed by more small-scale farmers, thus creating a scale advantage and driving down the cost of agricultural production. For example, the development of cross-regional combined harvesting operations in China was initially established with government guidance [11], which reflects the central role of the government in the development of agricultural service outsourcing. Moreover, government policy is a set of interrelated policies. It contains not only direct subsidies for agricultural service outsourcing, providing more information on farmers’ demand, providing human capital training for practitioners, etc., but also induced effects resulting from the use of policies [55]. Therefore, the policy set acting in agricultural production affects the range of feasible task sets for agricultural service outsourcing.
Based on this, to simplify the discussion of the role of government in agricultural service outsourcing, we assume the set of government policies as one government policy, i.e., government subsidies, and assume that the subsidies only act on agricultural service outsourcing. In summary, farmers receive a positive marginal subsidy rate τ   with τ > 0 for using agricultural service outsourcing.
Due to the presence of positive subsidies, the cost of agricultural service outsourcing changes, and it affects the choice of the initial task set. To avoid the boundary problem, the boundary assumption is given: α L ( X ) α O ( X 1 ) > W R ( 1 τ ) > α L ( D ) α O ( D ) .
Since farm production requires the payment of a fixed rent(R), the net income(I) of the farm household, is denoted as I = Y R K . Based on the nature of the C-D function and the frontier assumption, the effect of agricultural service outsourcing on the net income of the farm household can be expressed in terms of the productivity of labor and capital and factor prices.
d   I d   D = d Y d D | K + R ( 1 τ ) d K d D R d K d D
Rearranging formula (4), we obtain:
d   I d   D = ln ( W α L ( D ) ) ln ( R ( 1 τ ) α O ( D ) ) + R τ d   O d   D
The first two terms in formula (5) are under the boundary assumption and are constant positive. When we drop the frontier assumption and more objectively assess the role of agricultural service outsourcing, we need to focus on the effect of agricultural service outsourcing on agricultural efficiency improvement, i.e., whether it reduces production costs, at the threshold D . As shown by the formula, the first two terms are more likely to be positive when the subsidy τ is larger and the second term is smaller. The value of the third term is constantly positive, implying that the expansion of the threshold D represents the expansion of agricultural service outsourcing under the condition that the subsidy τ > 0 .
In sum, under the assumptions, formula (5) is constantly greater than 0. When the frontier assumption is dropped, the higher the government subsidy, the more likely it is that the effect of farm service outsourcing on the net income of farm households is positive. We thus obtain the key corollary of the theoretical model:
Corollary 1:
Government policy sets facilitate the development of agricultural service outsourcing and can increase the net income of farmers.
Due to the imbalances in China’s economic development [56,57], there will also be differences in the response of the east, central, and west regions to the policy. We also focus on regional heterogeneity when studying policy effects, and the article also proposes Corollary 2.
Corollary 2:
There is regional heterogeneity in the impact of China’s targeted poverty alleviation program on agricultural service outsourcing.

3. Policy Background and Empirical Strategy

3.1. Targeted Poverty Alleviation Program in China

China’s anti-poverty policy has distinctive Chinese characteristics, and the objectives and measures of anti-poverty policy have always been highly consistent with national strategic objectives at all stages. Since the implementation of the Household Responsibility System in 1978, China has implemented a number of economic and rural development initiatives. In 1987, the land market reform was promoted and the “87-year poverty alleviation” plan was implemented to lift 80 million people out of poverty by 2000. After 2000, a model of poverty alleviation and development was implemented that placed equal emphasis on solving and consolidating food and clothing [1,29,58]. The targeted poverty alleviation program was initiated on the basis of these policies.
In 2015, China promulgated the Decision on Winning the Battle against Poverty, with the goal of eliminating absolute poverty, which also signaled the official implementation of the Targeted Poverty Alleviation Program. Subsequently, China has issued 13 supporting documents and formulated more than 200 sectoral poverty alleviation implementation plans, forming an extensive set of policies. These policies not only highlight programs that directly help farmers to escape poverty, such as industrial development, transferring employment, relocation, education, health, and ecological protection, but also contain policy plans to encourage the establishment and improvement of agricultural service outsourcing markets in rural areas. For example, outsourced agricultural machinery services, as an important component of outsourced agricultural services, promote the replacement of traditional production methods based on human and animal power by modern agricultural production methods based on mechanization. According to statistics from China’s Ministry of Agriculture and Rural Affairs, in 2017 China had more than 5 million farm machinery service providers, 51.28 million farm machinery employees, 187,000 farm machinery service organizations, and over 280 million hectares of farm machinery outsourcing services. China has initially formed an agricultural machinery outsourcing service system, which plays a key role in the reallocation of production factors for small farmers.

3.2. Data Sources and Sample Selection

For a single farming household, the targeted poverty alleviation program occurs naturally and there is no external force at the household level that can intervene. Thus, the targeted poverty alleviation program is equivalent to a quasi-natural experiment in which farm households are randomly assigned to either the experimental or control group according to their income level [59]. Moreover, farm households in the same region live in very similar environments, providing the basic conditions for a quasi-natural experiment study for our study. To cover the time before and after the targeted poverty alleviation program, the article selects the China Family Panel Studies (CFPS) [60] database with nationally representative samples from 2014–2018 and constructs three periods of unbalanced panel data for empirical analysis.
The China Family Panel Studies (CFPS) is a large-scale micro-survey database led by Peking University on a nationally representative sample, which aims to reflect social, economic, demographic, and educational changes in China by tracking and collecting data at the individual, household, and community levels. The CFPS focuses on the economic and non-economic welfare of the Chinese population, and its sample covers 30 provinces in China, making it one of the core micro-databases for scholars studying China. The sample was concentrated in 161 counties and 649 village residences at the time of the CFPS baseline survey. By 2018, the successfully contacted sample has been distributed in more than 900 counties with nearly 3000 village houses, resulting in a large number of missing individual-level data, but the household-level data maintain a relatively excellent tracking rate. Therefore, this paper chooses to use CFPS household data as the core for analysis. In order to minimize sample loss and to be able to cover the period before and after the policy implementation, we selected three periods of rural household samples in 2014, 2016, and 2018 to construct the panel dataset.

3.3. Estimation Strategy

In this paper, the propensity score matching difference-in-difference (PSM-DID) model is used for effect estimation. The reasons are: firstly, there may be missing not at random in the sample during the survey, and the propensity score matching method is used to obtain an appropriate counterfactual sample by matching the treatment and control groups to alleviate the problem of sample self-selection bias. Secondly, the interference of omitted variables of time-invariant is eliminated by using the difference-in-difference method [61]. The specific setting form of the PSM-DID model is referred to in the study of Heckman et al. (1997) [61]. The DID model is widely used to evaluate the effectiveness of policy implementation [59]. To a certain extent, the model controls for influences other than policy interventions. At the same time, the inclusion of other control variables in the model further controls for some of the “noise” in the treatment and control groups, compensating for the shortcomings of quasi-natural experiments in which the sample assignment is not completely randomized, thus allowing for a true assessment of policy effects [62].
The PSM-DID approach is to match the “pre-event” data to be able to examine the post-event differences. Therefore, a propensity score needs to be calculated for pre-2015 data. According to Kienzle et al. (2013) [63], without agricultural machinery, it would be difficult for farmers to move away from subsistence production. When labor is trapped in low-yield agricultural production, the effectiveness of targeted poverty alleviation programs is questionable. This means that targeted poverty alleviation program encourages poor farmers to use agricultural service outsourcing to supplement agricultural production, freeing up agricultural labor and increasing their income levels. At the same time, as the targeted poverty alleviation work mainly targets the absolute poor households, we choose the net household income per capita as the matching treatment variable and use China’s poverty line as the basis for classification. The sample information was divided into treatment and control groups according to the current price of the absolute poverty line standard of China delineated in 2015, which is CNY 2855. The treatment group is the sample with per capita net household income less than 2855, while the control group is the sample with per capita net household income greater than 2855. After data grouping was completed, propensity scores were calculated for all covariates.
The matching process is to find farmer j in the control group, make it correspond to farmer i in the treatment group, and ensure that the observed values of covariates X j   and X i for farmer j and farmer i are similar.
The principle is to use the propensity score as a distance function for matching. The propensity score is calculated as the conditional probability p ( X j ) that farmer j enters into the treatment group given the covariate X j of farmer j . Thus, propensity score matching is a method of matching based on the similarity of conditional probabilities, i.e., p ( X j ) p ( X i ) . There are also more methods for propensity score matching, and the most popular nearest neighbor matching is used in this paper. When matching, individual observations are allowed to be used as matching more than once. Specifically, for each farmer, four closest farmer matches are found, i.e., one-to-four matching. According to Abadie et al. (2004) [64], one-to-four matching can minimize the mean square error, which can use as much sample information as possible while minimizing the matching bias.
To fully assess the impact of policy on agricultural service outsourcing, we estimate the policy effect using a difference-in-difference model. The difference-in-difference model is essentially an extension of the panel model to distinguish between pre-policy as well as post-policy, using policy time as the benchmark. Additonally, the time dummy variable is cross-multiplied with the treatment variable, and the regression coefficient of the interaction term is the policy effect. Incorporating the covariates used in matching on this basis yields the baseline regression equation of the article.
l n   o u t s o u r c i n g i t = β 1 d i d i t + X i t β + α i + δ t + ε i t
where β 1   is the policy effect we are interested in. X i t is a vector of covariates. α i is an individual effect, δ t is a time effect, and ε i t represents the policy-independent error term. In our estimation, we use a fixed effects estimator for policy effect assessment, and the two-way fixed effects DD estimator is used to control for time-varying factors and thus obtain more accurate policy effects [65].

3.4. Variable Selection

According to scholarly discussions, controlling for some individual effects when controlling for high-dimensional fixed effects in the assessment of policy effects may create serious covariance problems [66]. This is due to the fact that some of the dependent variables may be linear combinations of fixed effects, making the regression results unrobust, while the sample size reported in the regression may also be misleading. Accordingly, we make two notes on variable selection.
First, the data were cleaned without including village-level data in the data panel. This is because the subsequent empirical analysis mainly uses the fixed effects model in panel data analysis, which will be estimated with within-group differencing, and all time-invariant variables will be omitted. The fixed effects model is an unbiased estimation, and its drawback is the lack of validity of the estimates. Our focus is not on the validity of the estimated coefficients, but on the causal effects that the coefficients can reflect, and using a fixed-effects model can effectively avoid the problem of omitted variables. Therefore, we do not need to consider village-level variables in the regressions.
Second, many studies have concluded that basic information about the householder has a significant effect on rural household income, but most have been applied to cross-sectional data analysis, using personal characteristics as control variables [67,68]. The basic profile of the household head can also be ignored when using panels for analysis, i.e., all householder characteristics can be absorbed using high-dimensional fixed effects. In addition, this paper focuses on the impact of policy on agricultural service outsourcing, and the inclusion of individual characteristic variables in the estimation requires clustering standard errors to the household level. Although the inclusion of individual data can increase the precision of the estimation, it also allows a lot of noise to enter the regression equation and even generates estimation bias. For example, it is difficult to accurately match the identity of the householder in the CFPS data, and the influence of non- householder on household decisions is not significant. In some scholarly studies, the respondent of the household financial status is included as the householder, but this matching allows confounding factors to enter the regression equation. Therefore, in our empirical strategy, we subsume householder characteristics into household fixed effects.
The core dependent variable of the article is agricultural service outsourcing (Agri_outsourcing). According to the results of the theoretical analysis, the government policy set will have an impact on the range of the executable task set of agricultural service outsourcing for farm households, and it is difficult for us to find variables in the dataset that precisely measure the range of the task set of agricultural service outsourcing. However, we believe that the share of agricultural service outsourcing costs in total agricultural production costs is a valid proxy. The higher share of agricultural service outsourcing costs in total agricultural production costs represents the greater range of agricultural service outsourcing used by farm households, which can be used as evidence of the expanded range of agricultural service outsourcing task sets. The cost of agricultural service outsourcing is accounted for by adding up the cost of machinery rental, hired labor, irrigation, and other costs.
The core independent variable is the policy effect (did). The policy effect we focus on is the interaction term of the targeted poverty alleviation policy grouping dummy variable and the policy time dummy variable, and the significance and positive or negative coefficient of this variable is the focus of attention.
The policy effect we focus on is the interaction term of the policy dummy variable and the time dummy variable, and the significance and positive or negative coefficients of this variable are key [43]. At the household level, there are also variables that affect outsourcing costs, and we identify four covariates, namely nonfarm income, agricultural output, government transfer payments, and value of owned farm machines. Nonfarm income consists of farm income from a business, income from part-time jobs, income from wages, income from assets such as rented land, and pensions. It has been demonstrated in studies that there is a critical impact of nonfarm income on agricultural service outsourcing. Controlling for government transfers is intended to minimize the presence of policy noise. Government transfers in the dataset are direct subsidies to farm households, which differs from the assumptions of our theoretical framework. In our theoretical framework, the government directly subsidizes agricultural service outsourcing. Dissecting direct subsidies to farm households from the policy can make the coefficient reflect the causal effect of the policy more accurately. Agricultural output value determines the incentives for households to adopt the use of agricultural service outsourcing, and in general, the higher the agricultural output value, the higher the propensity to use agricultural service outsourcing. The value of owned farm machinery directly affects the use of agricultural service outsourcing.
After double-checking, we finally constructed unbalanced three-period panel data. Table 1 reports the statistical description of the raw data classified by treatment and control groups after data filtering, and all data are taken as logarithms. The specific data cleaning process is as follows: firstly, households with agricultural households are screened from the CFPS historical household database, secondly, variables are screened to leave key variables, and finally, the segmented data are merged.

4. Analysis of Regression Results

4.1. Baseline Regression

In this paper, the PSM-DID model is used to estimate Equation (6), and with the help of propensity score matching, the treatment group samples are matched to appropriate counterfactual samples to mitigate sample self-selection bias, and the interference of time-invariant omitted variables is eliminated by using the difference-in-difference to obtain more accurate estimates of policy effects.
Following the previous section, we used a one-to-four matching approach to minimize the mean squared error according to Abadie et al. (2004) [64], which was able to incorporate as much sample information as possible while minimizing the matching bias. The propensity score estimation in this study was performed using a logit model. The results of the logit estimation of propensity score matching are given in Table 2, and the LR chi-square statistic is significant at the 1% level, indicating that the model is well estimated overall and that most variables are significant at the 1% level.
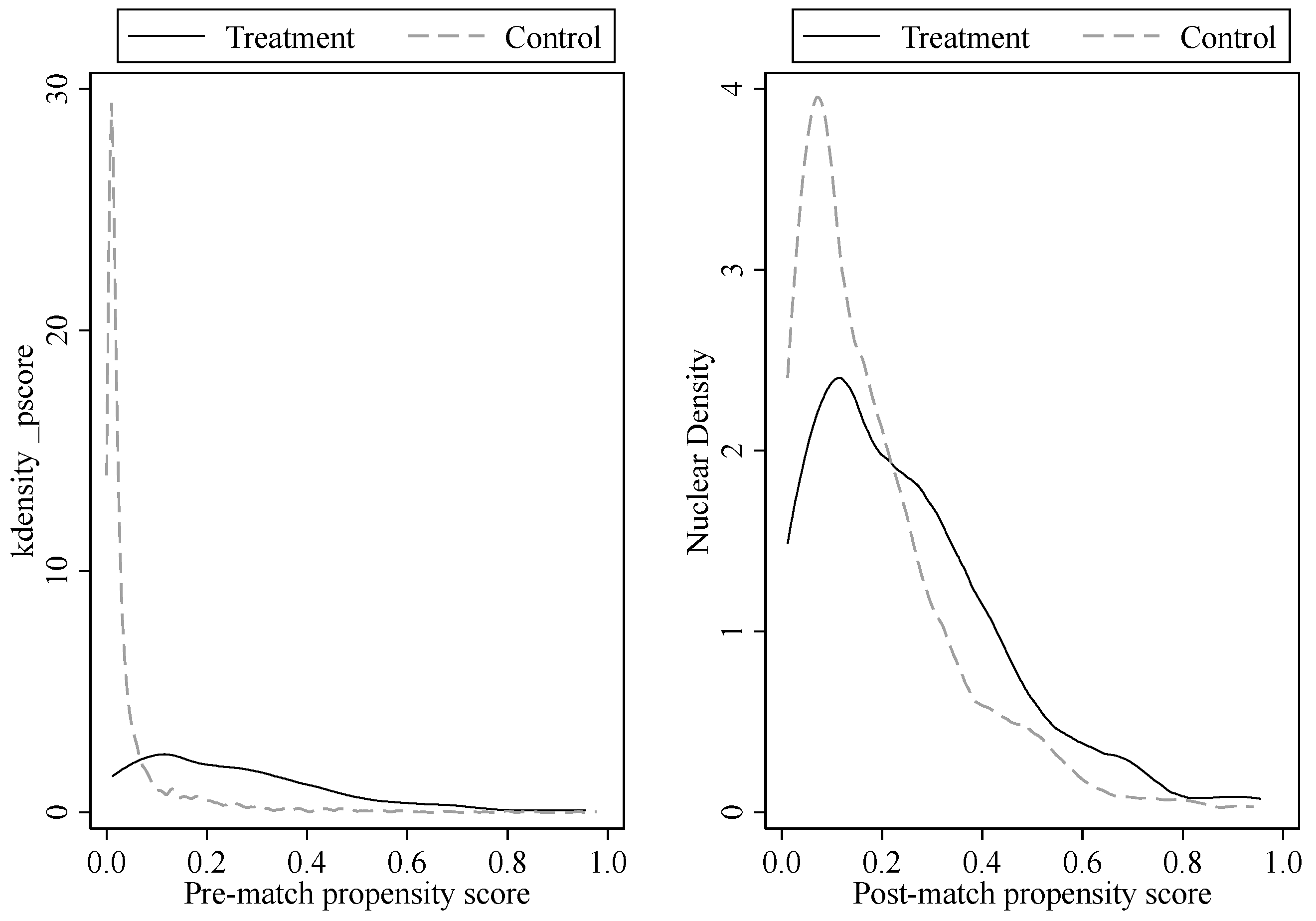
To ensure the accuracy and reliability of the propensity score matching results, the matching balance test was conducted for each variable, and the results of the matching balance test are given in Table 3. The absolute values of the standard biases of the matched data for each variable were significantly smaller. From the results of the t-test, the concomitant probabilities of t-tests for all variables were greater than 10%, indicating that after matching the data of each variable, the means of the treatment group and the control group were closer to each other and there was no significant difference, i.e., the balance hypothesis was satisfied. Thus, it can be considered that the matching effect is good, the covariates selected in the matching are appropriate, and the matching method is appropriate. Figure 1 and Figure 2 also give evidence of accurate matching from different perspectives.
The next step was to analyze the average treatment effect (ATT) for agricultural service outsourcing and household income in the treatment group using the bias-corrected matching estimator proposed by Abadie and Imbens (2011) [69], which yielded the following results: the ATT coefficients were calculated to be 0.27 (2.95) and 0.06 (−23.20) and the corresponding t-statistics are in parentheses, all coefficients are significant at the 1% level. It shows that the treatment effect of targeted poverty alleviation is significant, and the targeted poverty alleviation program has a significant contribution to agricultural service outsourcing as well as household income.
Table 4 reports the results of the PSM-DID estimation, which shows that the policy effect is significantly positive regardless of the estimation method used, indicating that the targeted poverty alleviation program significantly increases the share of agricultural service outsourcing costs in the total cost of agricultural production. This implies that the targeted poverty alleviation program has promoted the rapid development of agricultural service outsourcing. Columns one and two of Table 4 show the double difference model estimated with fixed effects, and columns three and four are estimated using the two-way fixed effects DD estimator. There are significant differences in the policy effects estimated by the different methods. Comparing columns two and four, the policy effect is significantly larger than the fixed effects model after controlling for time effects. This indicates that the effect of targeted poverty alleviation programs on agricultural service outsourcing is amplified after controlling for macro trends unrelated to individuals, which also reflects the rapid spread of agricultural service outsourcing in rural areas under policy support. However, agricultural service outsourcing is strongly influenced by the external macro environment, which requires a well-developed market system to support its healthy development.
Compared to columns three and four, the sample size of policy effects participating in the regression is reduced after controlling for the four covariates. This is because there will be a large number of missing values in the microdata, so it is not possible to directly compare different estimated coefficients of policy effects in the same estimation method. At this point, we only need to focus on the significance and the positive and negative cases of the coefficients. In conclusion, the targeted poverty alleviation program enables poor rural groups to have better access to advanced agricultural production technologies by helping them. Agricultural service outsourcing can help low-income farmers replace traditional labor with capital, releasing agricultural production labor and also expanding the scale of agricultural production operations. Large-scale agricultural production operations also increase the demand for agricultural service outsourcing. The above empirical results corroborate the core corollary1 of the theoretical analysis.
In the estimates of covariates, the effect of transfer payments on agricultural service outsourcing is not significant, probably because government subsidies in the microdata are more targeted at subsidies for farm households than for agricultural service outsourcing. The coefficient on nonfarm income is insignificant and very small, which implies that the increase in nonfarm work opportunities for low-income farm households does not affect their decision to adopt agricultural service outsourcing. The reason for this is that under the condition of scarcity of land per capita in China, small-scale farming households can reasonably schedule their non-farm jobs without affecting the agricultural production process. Agricultural output value significantly and negatively affects agricultural service outsourcing, which indicates that the share of agricultural service outsourcing in total production cost is decreasing as agricultural output value increases. This implies that the larger the scale of agricultural production, the more advantageous the use of agricultural service outsourcing is, and the more opportunity cost of agricultural production can be saved. This also implies that low-income farmers can participate in the agricultural-scale production path through agricultural service outsourcing. The value of owned farm machines significantly and positively affects agricultural service outsourcing, reflecting the additional demand of farm households for mechanized production. Farmers’ adoption of technology is a response to their own factor endowments and comparative advantages [70], with small farmers preferring to purchase inexpensive, small-scale farm machinery. However, small farm machinery is functionally homogeneous and unable to meet the constantly segmented agricultural production chain, and farmers’ reliance on technology provides an incentive for them to use agricultural service outsourcing to complement the missing functions of their own farm machinery. Related studies also confirm that the use of farm machinery benefits inefficient farmers more, and when small farmers benefit from technology, they are incentivized to choose agricultural service outsourcing and enjoy more technological dividends [71].

4.2. Validity Tests

The assumptions that need to be satisfied for the estimation of the PSM-DID model contain two parts: first, the propensity score matching (PSM) assumptions, including the overlap assumption and the matching assumption, for which evidence is given in the baseline regression section. The second is the difference-in-difference (DID) assumption condition, which includes the parallel trend assumption and the random grouping assumption. The database used in this paper is one of the nationally representative microdata in China, and the application of the PSM-DID model is able to address the random grouping assumption to some extent.
The test that must be performed to determine whether the DID results are plausible is the parallel trend test. This is because the interaction term between the treatment variable and the policy point-in-time variable can only capture the policy effect if the assumption of parallelism is satisfied in the control and treatment groups. The parallel trend test can be presented by regression analysis or by graphs. The results of the test are given in Figure 3.
The policy time points in the figure are all dummy variables. pre_1 represents the time dummy before the policy occurred, post_1 represents the time dummy in the first period after the policy occurs, and post_2 is the time dummy in the second period after the policy occurs. The figure shows that the coefficient of pre_1 is insignificant, while the coefficients of post_1, and post_2 are positively significant, proving that the difference-in-difference model satisfies the parallel trend assumption.

4.3. Heterogeneity Analysis

There are imbalances in China’s regional economic development, and the extent to which farmers participate in agricultural service outsourcing varies from region to region. Compared to the eastern region, the central and western regions have received more attention from China’s targeted poverty alleviation. All these imply the need for a heterogeneous analysis of Chinese regions. We divided the sample provinces into three regions (see Figure 4): east, west, and central. The eastern region includes 12 provinces, including Beijing, Tianjin, Hebei, Liaoning, Jilin, Heilongjiang, Shanghai, Jiangsu, Zhejiang, Shandong, Guangdong, and Fujian. The central region includes Anhui, Jiangxi, Henan, Hubei, Hunan, Shanxi, Chongqing, Neimenggu, Hainan, and Sichuan, a total of 10 provinces. The western region includes Guangxi, Guizhou, Yunnan, Shaanxi, Gansu, Qinghai, Ningxia, and Xinjiang, for a total of eight provinces. We estimate using the two-way fixed effects DD estimator while controlling for four covariates, fixed effects, and time effects. The results are displayed in Table 5.
The results of the heterogeneity analysis show that, first, the policy effect is insignificant in the eastern region, and the policy effect is significantly positive at the 1% level in both the central and western regions, and the coefficient is larger in the western region than in the central region, which fits the focus of China’s precise poverty alleviation policies. This also provides empirical evidence for Corollary 2 of our theoretical analysis. Second, the difference in policy effects means that the development of agricultural services outsourcing is uneven. The western region has the slowest development, so the policy intensity is the highest. According to the theoretical model, the strong policy boost to agricultural service outsourcing will realize into a rise in net income of farm households, which in turn makes the targeted poverty alleviation program sustainable. Third, the policy effect in the eastern region is insignificant because most low-income farmers in the eastern provinces are engaged in food production, the plain terrain is also suitable for using large-scale agricultural mechanization, and agricultural service outsourcing has become popular. Moreover, farmers in the eastern region have more opportunities to engage in non-farm work, and agricultural service outsourcing is less affected by the policy. Since China’s precise targeted poverty alleviation program is a collection of policies, the insignificance of the coefficient for the eastern region also indicates that our empirical model is highly likely to overcome the omitted variable problem and the estimation results are plausible.
The results of the heterogeneity analysis are given in Table 5.

5. Conclusion and Policy Implications

In 2020, China declared the elimination of absolute poverty, a journey in which targeted poverty alleviation programs played a decisive role. China’s targeted poverty alleviation program, as a collection of policies, focuses not only on farm household income but also on agricultural production issues. Only by maintaining the stability of agricultural production can we help China solve the problem of food security and achieve sustainable rural development. The characteristics of China’s resource endowment of a large population and a small amount of land determine that small-scale farm production is sustainable. Achieving the organic linkage between small-scale farmers and modern agriculture requires the support of agricultural service outsourcing [39,50]. To discuss the impact of policy on agricultural service outsourcing, we construct a static general equilibrium model based on agricultural production tasks under the assumption of divisibility of agricultural production and obtain comparative static results. To verify the theoretical inferences, we constructed a three-period nonequilibrium panel using the CFPS database and used the PSM-DID model for empirical testing. The study finds that China’s targeted poverty alleviation program has a significant contribution to agricultural service outsourcing, but the policy effect is heterogeneous across regions and has a significant effect on agricultural service outsourcing in the central and western regions. The finding is consistent with the core hypothesis of the model and the results are robust.
The policy implications of this paper are as follows. First, the benchmark regression results affirm the significant positive impact of China’s targeted poverty alleviation programs on agricultural service outsourcing. This indicates that the redistribution of rural production factors cannot rely only on market regulation, and government guidance is needed in the process of agricultural service outsourcing development. The government is responsible for selecting new technologies suitable for local endowment conditions according to local conditions, so that policy dividends can be transformed into technological dividends for agricultural service outsourcing, and eventually, the sustainability of small-scale farmers’ business model can be achieved. Second, policy incentives have heterogeneous impacts in different regions, so it is necessary to strengthen policy guidance and accelerate the cultivation of the agricultural service outsourcing market in central and western regions. For example, building an agricultural outsourcing service platform to reduce farmers’ search costs and alleviating the uncertainty of outsourcing contract execution, etc. Thus, it can reduce the cost of agricultural production and consolidate the effect of targeted poverty alleviation programs. Third, for the eastern region, farmers should be guided to carry out large-scale agricultural production, forming a cluster layout and regional specialization of advantageous agricultural products. Aggregate the demand for agricultural service outsourcing, form comparative advantages, induce the redistribution of factors in agricultural production, and give more depth to the development of agricultural service outsourcing.
The article also has some shortcomings that need to be improved in future studies. First, the theoretical analysis of the article is still relatively simple and needs to be further improved by trying to incorporate a dynamic framework for analysis. Second, subsequent studies can try to select more representative data sets to assess the policy effects, such as using data from the main food-producing regions. Further studies can also be conducted using more representative data from different countries and regions to test whether the theoretical results hold in other settings.

Author Contributions

Conceptualization, X.L. and X.G.; methodology, X.L; formal analysis, X.L. and X.G.; data curation, X.L.; writing—original draft preparation, X.L.; writing—review and editing, X.G. All authors have read and agreed to the published version of the manuscript.

Funding

This research received no external funding.

Institutional Review Board Statement

Not applicable.

Informed Consent Statement

Not applicable.

Data Availability Statement

The CFPS data for this analysis come from Peking University Open Research Data: https://opendata.pku.edu.cn/dataverse/CFPS?language=en (accessed on 25 February 2022).

Conflicts of Interest

The authors declare no conflict of interest.

References

  1. Luo, L.; Ping, W.; Shan, Q.; Wang, J. Summary from China’s Poverty Alleviation Experience: Can Poverty Alleviation Policies Achieve Effective Income Increase? J. Manag. World 2022, 38, 70–83+115. [Google Scholar] [CrossRef]
  2. Davie, G.; Wang, M.; Rogers, S.; Li, J. Targeted Poverty Alleviation in China: A Typology of Official–Household Relations. Prog. Dev. Stud. 2021, 21, 244–263. [Google Scholar] [CrossRef]
  3. Zhou, Y.; Guo, Y.; Liu, Y. Health, income and poverty: Evidence from China’s rural household survey. Int. J. Equity Health 2020, 19, 36. [Google Scholar] [CrossRef] [PubMed]
  4. Deininger, K.; Jin, S.; Ma, M. Structural transformation of the agricultural sector in low-and middle-income economies. Annu. Rev. Resour. Econ. 2022, 14, 221–241. [Google Scholar] [CrossRef]
  5. Rose, D.C.; Wheeler, R.; Winter, M.; Lobley, M.; Chivers, C.-A. Agriculture 4.0: Making it work for people, production, and the planet. Land Use Policy 2021, 100, 104933. [Google Scholar] [CrossRef]
  6. Adamopoulos, T.; Brandt, L.; Leight, J.; Restuccia, D. Misallocation, selection and productivity: A quantitative analysis with panel data from China. Econometrica 2022, 90, 1261–1282. [Google Scholar] [CrossRef]
  7. Gollin, D.; Lagakos, D.; Waugh, M.E. The agricultural productivity gap. Q. J. Econ. 2014, 129, 939–993. [Google Scholar] [CrossRef]
  8. Gollin, D.; Lagakos, D.; Waugh, M.E. Agricultural productivity differences across countries. Am. Econ. Rev. 2014, 104, 165–170. [Google Scholar] [CrossRef]
  9. Lagakos, D. Urban-rural gaps in the developing world: Does internal migration offer opportunities? J. Econ. Perspect. 2020, 34, 174–192. [Google Scholar] [CrossRef]
  10. Otsuka, K. Farm size and long-term prospects for Chinese. In The Oxford Companion to the Economics of China; Oxford University Press: Oxford, UK, 2014; pp. 309–314. [Google Scholar]
  11. Zhang, X.; Yang, J.; Thomas, R. Mechanization outsourcing clusters and division of labor in Chinese agriculture. China Econ. Rev. 2017, 43, 184–195. [Google Scholar] [CrossRef]
  12. Qian, L.; Lu, H.; Gao, Q.; Lu, H. Household-owned farm machinery vs. outsourced machinery services: The impact of agricultural mechanization on the land leasing behavior of relatively large-scale farmers in China. Land Use Policy 2022, 115, 106008. [Google Scholar] [CrossRef]
  13. Olmstead, A.L. The mechanization of reaping and mowing in American agriculture, 1833–1870. J. Econ. Hist. 1975, 35, 327–352. [Google Scholar] [CrossRef]
  14. Schultz, T.W. Transforming Traditional Agriculture; Yale University Press: New Haven, CT, USA, 1964. [Google Scholar]
  15. Hu, X.; Xu, J.; Chen, W. Methods of Land Titling and Agricultural Service Outsourcing:Evidence from PSM-DID Model Based on Quasi-experimental Data. J. Nanjing Agric. Univ. 2022, 22, 128–138. [Google Scholar] [CrossRef]
  16. Lin, J.Y. Rural reforms and agricultural growth in China. Am. Econ. Rev. 1992, 82, 34–51. [Google Scholar]
  17. Tshikala, S.K.; Kostandini, G.; Fonsah, E.G. The impact of migration, remittances and public transfers on technology adoption: The case of cereal producers in rural Kenya. J. Agric. Econ. 2019, 70, 316–331. [Google Scholar] [CrossRef]
  18. Ji, Y.; Yu, X.; Zhong, F. Machinery investment decision and off-farm employment in rural China. China Econ. Rev. 2012, 23, 71–80. [Google Scholar] [CrossRef]
  19. Yang, J.; Huang, Z.; Zhang, X.; Reardon, T. The rapid rise of cross-regional agricultural mechanization services in China. Am. J. Agric. Econ. 2013, 95, 1245–1251. [Google Scholar] [CrossRef]
  20. Ma, W.; Renwick, A.; Grafton, Q. Farm machinery use, off-farm employment and farm performance in China. Aust. J. Agric. Resour. Econ. 2018, 62, 279–298. [Google Scholar] [CrossRef]
  21. Acemoglu, D.; Restrepo, P. Modeling Automation. AEA Pap. Proc. 2018, 108, 48–53. [Google Scholar] [CrossRef]
  22. Straub, S. Infrastructure and Economic Growth in East Asia; World Bank Publications: Washington, DC, USA, 2008; Volume 4589. [Google Scholar]
  23. Moreno-Dodson, B. Assessing the Impact of Public Spending on Growth—An Empirical Analysis for Seven Fast Growing Countries; Policy Research Working Paper; World Bank Publications: Washington, DC, USA, 2008. [Google Scholar]
  24. Zhang, H.; Xu, Z.; Sun, C.; Elahi, E. Targeted poverty alleviation using photovoltaic power: Review of Chinese policies. Energy Policy 2018, 120, 550–558. [Google Scholar] [CrossRef]
  25. Guo, Y.; Wang, J. Poverty alleviation through labor transfer in rural China: Evidence from Hualong County. Habitat Int. 2021, 116, 102402. [Google Scholar] [CrossRef]
  26. Zhang, L.; Xie, L.; Zheng, X. Across a few prohibitive miles: The impact of the Anti-Poverty Relocation Program in China. J. Dev. Econ. 2023, 160, 102945. [Google Scholar] [CrossRef]
  27. Yang, Y.; de Sherbinin, A.; Liu, Y. China’s poverty alleviation resettlement: Progress, problems and solutions. Habitat Int. 2020, 98, 102135. [Google Scholar] [CrossRef]
  28. Liang, Z.; Bao, J. Targeted poverty alleviation in China: Segmenting small tourism entrepreneurs and effectively supporting them. J. Sustain. Tour. 2018, 26, 1984–2001. [Google Scholar] [CrossRef]
  29. Chang, Q.; Ma, W.; Vatsa, P.; Li, J. Has the Targeted Poverty Alleviation program improved household welfare in rural China? J. Policy Model. 2022, 44, 1041–1056. [Google Scholar] [CrossRef]
  30. Picazo-Tadeo, A.J.; Reig-Martínez, E. Outsourcing and efficiency: The case of Spanish citrus farming. Agric. Econ. 2006, 35, 213–222. [Google Scholar] [CrossRef]
  31. Gibson, J.; McKenzie, D.; Stillman, S. The impacts of international migration on remaining household members: Omnibus results from a migration lottery program. Rev. Econ. Stat. 2011, 93, 1297–1318. [Google Scholar] [CrossRef]
  32. Mi, Q.; Li, X.; Gao, J. How to improve the welfare of smallholders through agricultural production outsourcing: Evidence from cotton farmers in Xinjiang, Northwest China. J. Clean. Prod. 2020, 256, 120636. [Google Scholar] [CrossRef]
  33. Li, X.; Lee, H. An Analysis on the Determining Factors of Farmers’ Land-Scale Management: Empirical Analysis Based on the Micro-Perspective of Farmers in China. Land 2022, 11, 1278. [Google Scholar] [CrossRef]
  34. Igata, M.; Hendriksen, A.; Heijman, W. Agricultural outsourcing: A comparison between the Netherlands and Japan. Appl. Stud. Agribus. Commer. 2008, 2, 29–33. [Google Scholar] [CrossRef]
  35. Gillespie, J.; Nehring, R.; Sandretto, C.; Hallahan, C. Forage outsourcing in the dairy sector: The extent of use and impact on farm profitability. Agric. Resour. Econ. Rev. 2010, 39, 399–414. [Google Scholar] [CrossRef]
  36. Brümmer, B.; Glauben, T.; Lu, W. Policy reform and productivity change in Chinese agriculture: A distance function approach. J. Dev. Econ. 2006, 81, 61–79. [Google Scholar] [CrossRef]
  37. Kuroyanagi, T. Economic Effects of Government Investment in Farm Mechanization Japanese Experience. J. Fac. Agric. Hokkaido Univ. 1982, 60, 353–383. [Google Scholar]
  38. Hong, W. Development and Equilibrium of Agricultural Service Outsourcing Market: A Theoretical Model of Evolutionary Game. J. Huazhong Agric. Univ. 2022, 42, 10–23. [Google Scholar] [CrossRef]
  39. Luo, C. Decomposition Analysis of Poverty Reduction in Rural China: 2007–2018. China World Econ. 2022, 30, 142–166. [Google Scholar] [CrossRef]
  40. Luo, B.; Hu, X.; Zhang, L. To Serve Small Farmers:“the Third Path” in the Development of Modern Agriculture in China. Rural Econ. 2021, 39, 1–10. [Google Scholar]
  41. Luo, B. Service Scale Management: Vertical Division of Labor, Horizontal Division of Labor and Specialization of Connected Farmland. Chin. Rural Econ. 2017, 33, 2–16. [Google Scholar]
  42. Sheng, Y.; Song, L.; Yi, Q.; Song. Mechanisation Outsourcing and Agricultural Productivity for Small Farms: Implications for Rural Land Reform in China; ANU Press: Canberra, Australia, 2017; pp. 289–313. [Google Scholar]
  43. Yang, Z.; Chen, F.; Zhang, R. Non-agricultural Employment and Agricultural Production Service Adoption: A Re-examination of Substitution Effect and Income Effect. J. Agrotech. Econ. 2022, 41, 84–99. [Google Scholar] [CrossRef]
  44. Yang, Z.; Rao, F.; Zhu, P. The Impact of Specialized Agricultural Services on Land Scale Management: An Empirical Analysis from the Perspective of Farmers’ Land Transfer-in. Chin. Rural Econ. 2019, 35, 82–95. [Google Scholar]
  45. Cai, R.; Cai, S. An empirical study on Outsourcing of agricultural production—Based on the survey in the main rice producing areas of Anhui Province. J. Agrotech. Econ. 2014, 33, 34–42. [Google Scholar] [CrossRef]
  46. Cai, J.; Shao, S.; Liu, W. Research on Land Circulation and Adoption of Mechanical Farming:Based on the Evidences of Mechanized Harvesting of Corns in Hebei, Henan and Shandong Provinces. Shanghai J. Econ. 2016, 35, 89–96. [Google Scholar] [CrossRef]
  47. Cai, L.; Wang, L. Analysis on outsourcing service behavior of rice pest and disease control based on Heckman selection model—A case study of ten counties in Fujian Province. PLoS ONE 2021, 16, e0254819. [Google Scholar] [CrossRef] [PubMed]
  48. Yang, D.T.; Zhu, X. Modernization of agriculture and long-term growth. J. Monet. Econ. 2013, 60, 367–382. [Google Scholar] [CrossRef]
  49. Qiu, T.; He, Q.; Choy, S.B.; Li, Y.; Luo, B. The impact of land renting-in on farm productivity: Evidence from maize production in China. China Agric. Econ. Rev. 2020, 13, 78–95. [Google Scholar] [CrossRef]
  50. Qiu, T.; Shi, X.; He, Q.; Luo, B. The paradox of developing agricultural mechanization services in China: Supporting or kicking out smallholder farmers? China Econ. Rev. 2021, 69, 101680. [Google Scholar] [CrossRef]
  51. Huang, J.; Ding, J. Institutional innovation and policy support to facilitate small-scale farming transformation in China. Agric. Econ. 2016, 47, 227–237. [Google Scholar] [CrossRef]
  52. Sako, M. Outsourcing and offshoring: Implications for productivity of business services. Oxf. Rev. Econ. Policy 2006, 22, 499–512. [Google Scholar] [CrossRef]
  53. Cortes, G.M.; Salvatori, A. Delving into the demand side: Changes in workplace specialization and job polarization. Labour Econ. 2019, 57, 164–176. [Google Scholar] [CrossRef]
  54. Lucas, R.E., Jr. On the mechanics of economic development. J. Monet. Econ. 1988, 22, 3–42. [Google Scholar] [CrossRef]
  55. Acemoglu, D.; Aghion, P.; Zilibotti, F. Distance to frontier, selection, and economic growth. J. Eur. Econ. Assoc. 2006, 4, 37–74. [Google Scholar] [CrossRef]
  56. Gyourko, J.; Shen, Y.; Wu, J.; Zhang, R. Land finance in China: Analysis and review. China Econ. Rev. 2022, 76, 101868. [Google Scholar] [CrossRef]
  57. Luo, B. 40-year reform of farmland institution in China: Target, effort and the future. China Agric. Econ. Rev. 2018, 10, 16–35. [Google Scholar] [CrossRef]
  58. Qu, F.; Heerink, N.; Wang, W. Land administration reform in China: Its impact on land allocation and economic development. Land Use Policy 1995, 12, 193–203. [Google Scholar] [CrossRef]
  59. Angrist, J.D.; Pischke, J.-S. Mostly Harmless Econometrics: An Empiricist’s Companion; Princeton University Press: Princeton, NJ, USA, 2009. [Google Scholar]
  60. Institute of Social Science Survey, Peking University. China Family Panel Studies (CFPS); Peking University Open Research Data Platform: Beijing, China, 2015. [Google Scholar] [CrossRef]
  61. Heckman, J.J.; Ichimura, H.; Todd, P.E. Matching as an econometric evaluation estimator: Evidence from evaluating a job training programme. Rev. Econ. Stud. 1997, 64, 605–654. [Google Scholar] [CrossRef]
  62. Donald, S.G.; Lang, K. Inference with difference-in-differences and other panel data. Rev. Econ. Stat. 2007, 89, 221–233. [Google Scholar] [CrossRef]
  63. Kienzle, J.; Ashburner, J.E.; Sims, B.G. Mechanization for rural development: A review of patterns and progress from around the world. Integr. Crop Manag. 2013, 20. Available online: https://www.fao.org/3/i3259e/i3259e.pdf (accessed on 23 November 2022).
  64. Abadie, A.; Drukker, D.; Herr, J.L.; Imbens, G.W. Implementing matching estimators for average treatment effects in Stata. Stata J. 2004, 4, 290–311. [Google Scholar] [CrossRef]
  65. Goodman-Bacon, A. Difference-in-differences with variation in treatment timing. J. Econom. 2021, 225, 254–277. [Google Scholar] [CrossRef]
  66. Armstrong, C.; Kepler, J.D.; Samuels, D.; Taylor, D. Causality redux: The evolution of empirical methods in accounting research and the growth of quasi-experiments. J. Acc. Econ. 2022, 74, 101521. [Google Scholar] [CrossRef]
  67. Deng, X.; Xu, D.; Zeng, M.; Qi, Y. Does outsourcing affect agricultural productivity of farmer households? Evidence from China. China Agric. Econ. Rev. 2020, 12, 673–688. [Google Scholar] [CrossRef]
  68. Ji, C.; Guo, H.; Jin, S.; Yang, J. Outsourcing agricultural production: Evidence from rice farmers in Zhejiang Province. PLoS ONE 2017, 12, e0170861. [Google Scholar] [CrossRef]
  69. Abadie, A.; Imbens, G.W. Bias-corrected matching estimators for average treatment effects. J. Bus. Econ. Stat. 2011, 29, 1–11. [Google Scholar] [CrossRef]
  70. Chen, S.; Lan, X. Tractor vs. animal: Rural reforms and technology adoption in China. J. Dev. Econ. 2020, 147, 102536. [Google Scholar] [CrossRef]
  71. Zhou, X.; Ma, W.; Li, G.; Qiu, H. Farm machinery use and maize yields in China: An analysis accounting for selection bias and heterogeneity. Aust. J. Agric. Resour. Econ. 2020, 64, 1282–1307. [Google Scholar] [CrossRef]
Figure 1. Standard deviation status before and after matching.
Figure 1. Standard deviation status before and after matching.
Sustainability 15 01009 g001
Figure 2. Kernel density plot of propensity scores before and after matching.
Figure 2. Kernel density plot of propensity scores before and after matching.
Sustainability 15 01009 g002
Figure 3. Parallel trend test.
Figure 3. Parallel trend test.
Sustainability 15 01009 g003
Figure 4. Map of heterogeneous regions.
Figure 4. Map of heterogeneous regions.
Sustainability 15 01009 g004
Table 1. Statistical description.
Table 1. Statistical description.
VariablesTreatmentControl
MeanSDNMeanSDN
Agri_outsourcing0.121.051500−0.371.0112,000
Government transfer payments6.541.1117266.651.2111,348
Value of owned farm machines 7.291.4710247.931.477853
Agricultural output8.341.2215089.111.3612,093
Nonfarm income7.691.0713669.761.3614,061
Table 2. Logit estimation results for propensity score matching.
Table 2. Logit estimation results for propensity score matching.
VariablesCoefficientSDZ-Value
Nonfarm income−0.93 ***0.05−18.65
Agricultural output−0.45 ***0.05−8.51
Government transfer payments−0.13 **0.06−2
Value of owned farm machines−0.17 ***0.05−3.48
LR571.66
N4079
*** p < 0.01, ** p < 0.05.
Table 3. Matching balance test results.
Table 3. Matching balance test results.
VariablesMatchMeanBiasReduce BiasT-Value
TreatmentControl
Nonfarm incomePre-match7.689.76−170.997.5−25.02
Post-match7.687.624.2 0.48
Agricultural outputPre-match8.349.11−63.793.9−9.80
Post-match8.348.39−3.9 −0.39
Government transfer paymentsPre-match6.546.65−10.686.0−1.64
Post-match6.546.55−1.5 −0.17
Value of owned farm machinesPre-match7.297.93−43.178.1−6.86
Post-match7.297.43−9.5 −1.06
Table 4. PSM-DID estimation results.
Table 4. PSM-DID estimation results.
Agri_outsourcing
VariablesFEFETwo-WayTwo-Way
DID0.30 ***0.16 *0.48 ***0.22 **
(7.02)(1.87)(10.53)(2.47)
Nonfarm income −0 −0.01
(−0.01) (−0.45)
Agricultural output −0.70 *** −0.69 ***
(−22.34) (−22.15)
Government transfer payments 0.04 0.03
(1.53) (1.21)
Value of owned farm machines 0.04 ** 0.04 **
(2.44) (2.30)
Fixed effects
Time effect
Constant−0.34 ***5.46 ***−0.47 ***5.46 ***
(−129.43)(13.42)(−36.59)(13.45)
R20.460.700.030.46
N13,500411613,5004116
Note: Robust t-statistics in parentheses. *** p < 0.01, ** p < 0.05, * p <0.1.
Table 5. Heterogeneity regression results.
Table 5. Heterogeneity regression results.
Agri_outsourcing
VariablesEastCentralWest
DID−0.1090.223 **0.358 ***
(−0.46)(1.98)(2.88)
Control variable
Fixed effects
Time effect
R-squared0.5420.4700.466
N97914001498
Note: Robust t-statistics in parentheses. *** p < 0.01, ** p < 0.05.
Disclaimer/Publisher’s Note: The statements, opinions and data contained in all publications are solely those of the individual author(s) and contributor(s) and not of MDPI and/or the editor(s). MDPI and/or the editor(s) disclaim responsibility for any injury to people or property resulting from any ideas, methods, instructions or products referred to in the content.

Share and Cite

MDPI and ACS Style

Li, X.; Guo, X. Can Policy Promote Agricultural Service Outsourcing? Quasi-Natural Experimental Evidence from China. Sustainability 2023, 15, 1009. https://doi.org/10.3390/su15021009

AMA Style

Li X, Guo X. Can Policy Promote Agricultural Service Outsourcing? Quasi-Natural Experimental Evidence from China. Sustainability. 2023; 15(2):1009. https://doi.org/10.3390/su15021009

Chicago/Turabian Style

Li, Xiang, and Xiaoqin Guo. 2023. "Can Policy Promote Agricultural Service Outsourcing? Quasi-Natural Experimental Evidence from China" Sustainability 15, no. 2: 1009. https://doi.org/10.3390/su15021009

APA Style

Li, X., & Guo, X. (2023). Can Policy Promote Agricultural Service Outsourcing? Quasi-Natural Experimental Evidence from China. Sustainability, 15(2), 1009. https://doi.org/10.3390/su15021009

Note that from the first issue of 2016, this journal uses article numbers instead of page numbers. See further details here.

Article Metrics

Back to TopTop