Daylighting Performance and Thermal Comfort Performance Analysis of West-Facing External Shading for School Office Buildings in Cold and Severe Cold Regions of China
Abstract
:1. Introduction
- Previous research on architectural shading devices has mainly focused on a particular type of device. In contrast, China’s SC and C regions are characterized by significant differences in geography and climatic conditions, so it is necessary to select appropriate shading devices according to different geographic and climatic conditions.
- Previous studies have focused on the south façade of the building, while the west façade is also the focus of building shading and heat protection.
- Most previous studies have focused on the active external shading of buildings, and relatively few studies have been conducted on fixed shading of buildings.
- Multi-objective optimization design to improve the light and thermal comfort performance of the interior of a west-facing building.
- Evaluating the parameters of exterior building shading devices under different goal orientations, analyzing the factors affecting the external shading effect of different urban buildings, and providing a basis for the design of each parameter of shading devices. This study helps architects choose the proper exterior shading devices.
- Analyzing optimal solutions with different goal orientations to evaluate the light and thermal comfort performance of four shading devices in different cities.
2. Literature Review
2.1. Horizontal Louver Shading
2.2. Vertical Louver Shading
2.3. Egg Crate Shading
2.4. Baffle Shading
3. Methodology
3.1. Research Methodology and Workflow
3.2. Ladybug Tools Simulation Verification
3.2.1. Introduction to Field Experiments
3.2.2. Comparative Field Tests
3.2.3. Comparison of Measured and Simulated Data
3.3. Baseline Model
Simulation of Working Conditions
3.4. Selection of Typical Cities
3.5. Evaluation Indicators
3.5.1. UDI
3.5.2. PMV
- M: is the metabolic rate, in watts per square meter, W/m;
- W: is the effective mechanical power, in watts per square metre, W/m;
- : is the water vapor partial pressure, in pascals, Pa;
- : is the water vapor partial pressure, in pascals, °C;
- : is the mean radiant temperature, in degrees Celsius, °C;
- : is the clothing surface area factor;
- : is the clothing surface temperature, in degrees Celsius, °C;
- : is the convective heat transfer coefficient, in watts per square metre kelvin, W/(m·K).
3.5.3. Cumulative Solar Radiation
3.6. Description of the Simulation Variables
3.7. Optimization Objectives
- UDI: UDI for shading conditions.
- UDI: UDI for no shading conditions.
- PMV: PMV for shading conditions.
- PMV: PMV for no shading conditions.
4. Results
- : Sample variance;
- X: The variable;
- : Sample mean;
- N: The number of sample cases.
5. Discussion
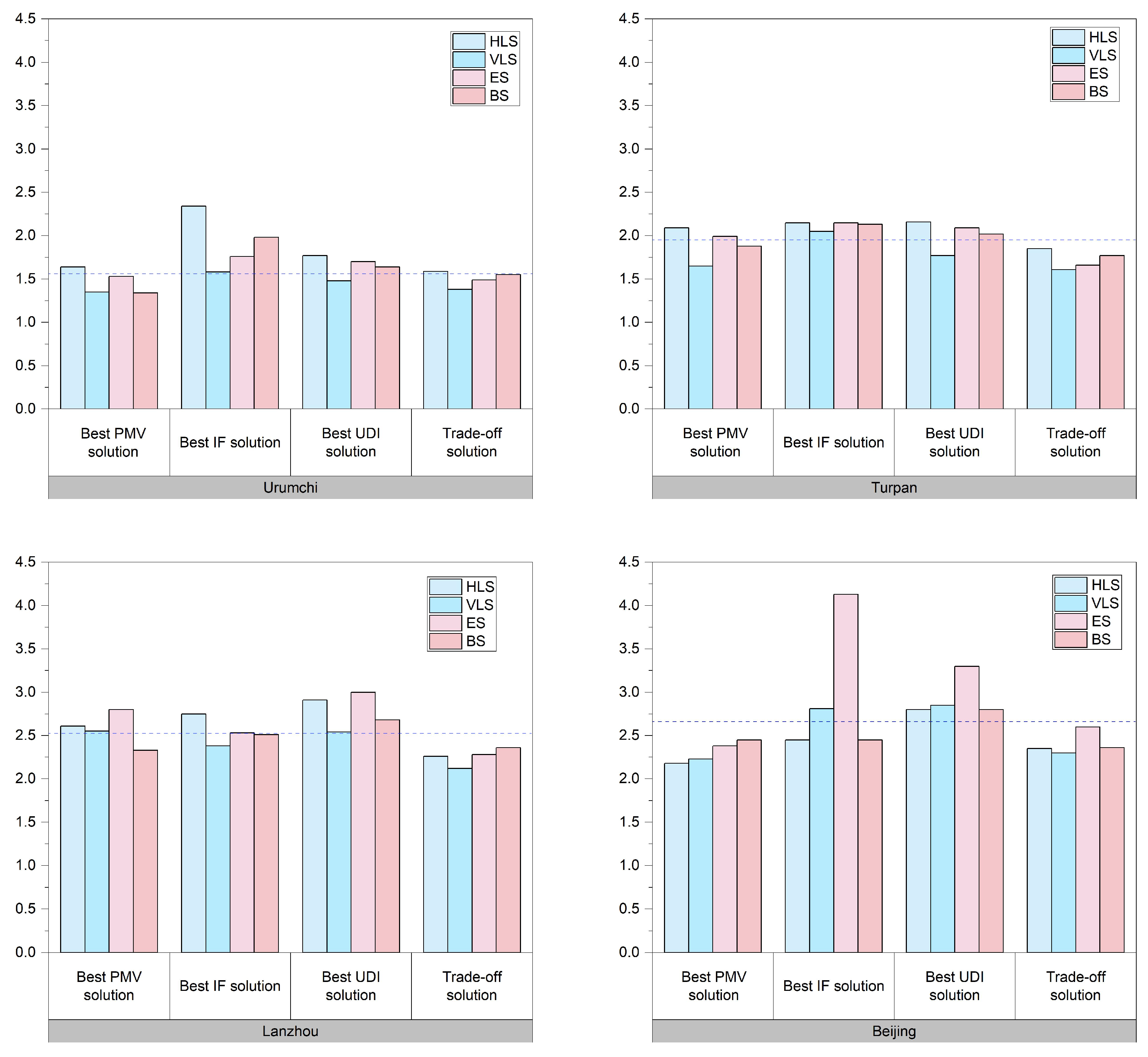
5.1. Evaluate Four Urban Performance Enhancements
5.2. Assessment of Shading Device Parameters in Four Cities
6. Conclusions and Further Research
- (1)
- After conducting an optimized comparison of the four types of shading devices in four different cities, it was concluded that regardless of the city, the use of fixed shading devices significantly enhanced the thermal comfort and daylighting performance of rooms on the west side of the building. The improvement was observed to be 1.5 to 2.5 times the NSC.
- (2)
- Designers must take into account various factors, such as target orientations, climatic characteristics, and geographical locations when selecting the parameters of shading devices. This includes considering the appropriate number and angle of shading slats, which should be adjusted rationally.
Author Contributions
Funding
Institutional Review Board Statement
Informed Consent Statement
Data Availability Statement
Conflicts of Interest
Appendix A. Shading Parameters
| Shade | Description | Description | Units | Urumchi | Lanzhou | Turpan | Beijing |
|---|---|---|---|---|---|---|---|
| HLS | Design variables | NHS | quantity | 15 | 17 | 30 | 17 |
| HSW | m | 0.3 | 0.25 | 0.15 | 0.3 | ||
| HSA | degree | 60 | 45 | 45 | 60 | ||
| DSW | m | 0 | 0 | 0.1 | 0 | ||
| Fitness Criteria | f(PMV) | / | 1.46 | 2.61 | 2.09 | 2.11 | |
| f(UDI) | / | 1.23 | 1.22 | 1.34 | 1.26 | ||
| IF | / | 2.34 | 2.75 | 2.15 | 2.45 | ||
| VLS | Design variables | NVS | quantity | 10 | 15 | 8 | 15 |
| VSW | m | 0.15 | 0.15 | 0.25 | 0.15 | ||
| VSA | degree | 150 | 135 | 135 | 135 | ||
| DSW | m | 0.4 | 0.1 | 0.2 | 0.1 | ||
| Fitness Criteria | f(PMV) | / | 1.33 | 2.55 | 1.56 | 2.2 | |
| f(UDI) | / | 1.13 | 1.28 | 1.33 | 1.6 | ||
| IF | / | 1.58 | 2.38 | 2.05 | 2.81 | ||
| ES | Design variables | NVS | quantity | 4 | 13 | 7 | 7 |
| VSW | m | 0.1 | 0.05 | 0.3 | 0.25 | ||
| VSA | degree | 150 | 135 | 135 | 120 | ||
| DSW | m | 0.2 | 0 | 0.4 | 0 | ||
| NHS | quantity | 28 | 21 | 23 | 17 | ||
| HSW | m | 0.15 | 0.25 | 0.05 | 0.3 | ||
| HSA | degree | 60 | 75 | 90 | 90 | ||
| Fitness Criteria | f(PMV) | / | 1.49 | 2.53 | 1.58 | 2.35 | |
| f(UDI) | / | 1.25 | 1.82 | 1.31 | 1.75 | ||
| IF | / | 1.76 | 2.53 | 2.15 | 4.13 | ||
| BS | Design variables | VBW | m | 1.6 | 1.6 | 1.6 | 1.6 |
| VBA | degree | 30 | 30 | 0 | 15 | ||
| HBW | m | 1.4 | 1.6 | 1.6 | 1.2 | ||
| HBA | degree | 60 | 75 | 60 | 75 | ||
| Fitness Criteria | f(PMV) | / | 1.34 | 2.33 | 1.88 | 2.45 | |
| f(UDI) | / | 1.33 | 1.47 | 1.3 | 1.26 | ||
| IF | / | 1.98 | 2.51 | 2.13 | 2.45 |
| Shade | Description | Description | Units | Urumchi | Lanzhou | Turpan | Beijing |
|---|---|---|---|---|---|---|---|
| HLS | Design variables | NHS | quantity | 17 | 17 | 30 | 15 |
| HSW | m | 0.2 | 0.25 | 0.15 | 0.25 | ||
| HSA | degree | 45 | 45 | 45 | 60 | ||
| DSW | m | 0 | 0 | 0.1 | 0 | ||
| Fitness Criteria | f(PMV) | / | 1.64 | 2.61 | 2.09 | 2.18 | |
| f(UDI) | / | 1.33 | 1.22 | 1.34 | 1.66 | ||
| IF | / | 1.57 | 2.75 | 2.15 | 2.37 | ||
| VLS | Design variables | NVS | quantity | 8 | 15 | 13 | 15 |
| VSW | m | 0.25 | 0.15 | 0.1 | 0.15 | ||
| VSA | degree | 135 | 135 | 165 | 150 | ||
| DSW | m | 0.4 | 0.2 | 0.2 | 0.2 | ||
| Fitness Criteria | f(PMV) | / | 1.35 | 2.55 | 1.65 | 2.23 | |
| f(UDI) | / | 1.36 | 1.74 | 1.21 | 1.25 | ||
| IF | / | 1.44 | 2.19 | 1.69 | 2.67 | ||
| ES | Design variables | NVS | quantity | 4 | 12 | 6 | 7 |
| VSW | m | 0.2 | 0.2 | 0.2 | 0.25 | ||
| VSA | degree | 120 | 105 | 150 | 120 | ||
| DSW | m | 0.2 | 0.1 | 0.3 | 0 | ||
| NHS | quantity | 25 | 21 | 13 | 18 | ||
| HSW | m | 0.15 | 0.25 | 0.3 | 0.3 | ||
| HSA | degree | 60 | 75 | 45 | 90 | ||
| Fitness Criteria | f(PMV) | / | 1.53 | 2.8 | 1.99 | 2.38 | |
| f(UDI) | / | 1.39 | 1.48 | 1.26 | 1.21 | ||
| IF | / | 1.54 | 1.93 | 1.42 | 4.05 | ||
| BS | Design variables | VBW | m | 1.6 | 1.6 | 1.6 | 1.6 |
| VBA | degree | 30 | 30 | 0 | 15 | ||
| HBW | m | 1.4 | 1.6 | 1.6 | 1.2 | ||
| HBA | degree | 60 | 75 | 60 | 75 | ||
| Fitness Criteria | f(PMV) | / | 1.34 | 2.33 | 1.88 | 2.45 | |
| f(UDI) | / | 1.33 | 1.47 | 1.33 | 1.26 | ||
| IF | / | 1.98 | 2.51 | 1.98 | 2.45 |
| Shade | Description | Description | Units | Urumchi | Lanzhou | Turpan | Beijing |
|---|---|---|---|---|---|---|---|
| HLS | Design variables | NHS | quantity | 15 | 17 | 16 | 13 |
| HSW | m | 0.25 | 0.25 | 0.15 | 0.25 | ||
| HSA | degree | 75 | 75 | 45 | 60 | ||
| DSW | m | 0 | 0.2 | 0.1 | 0 | ||
| Fitness Criteria | f(PMV) | / | 1.2 | 1.97 | 1.34 | 1.92 | |
| f(UDI) | / | 1.77 | 2.91 | 2.16 | 2.8 | ||
| IF | / | 1.37 | 1.52 | 1.36 | 2.14 | ||
| VLS | Design variables | NVS | quantity | 8 | 13 | 13 | 8 |
| VSW | m | 0.2 | 0.15 | 0.1 | 0.15 | ||
| VSA | degree | 135 | 120 | 165 | 165 | ||
| DSW | m | 0.4 | 0 | 0.4 | 0.2 | ||
| Fitness Criteria | f(PMV) | / | 1.24 | 2.1 | 1.5 | 1.81 | |
| f(UDI) | / | 1.48 | 2.54 | 1.77 | 2.85 | ||
| IF | / | 1.21 | 1.26 | 1.56 | 1.35 | ||
| ES | Design variables | NVS | quantity | 4 | 10 | 6 | 11 |
| VSW | m | 0.1 | 0.05 | 0.05 | 0.1 | ||
| VSA | degree | 150 | 105 | 150 | 90 | ||
| DSW | m | 0.2 | 0.1 | 0.2 | 0.1 | ||
| NHS | quantity | 28 | 20 | 29 | 9 | ||
| HSW | m | 0.15 | 0.25 | 0.1 | 0.3 | ||
| HSA | degree | 90 | 90 | 75 | 60 | ||
| Fitness Criteria | f(PMV) | / | 1.21 | 1.98 | 1.29 | 1.91 | |
| f(UDI) | / | 1.7 | 3 | 2.09 | 3.3 | ||
| IF | / | 1.32 | 1.56 | 1.21 | 1.22 | ||
| BS | Design variables | VBW | m | 1.6 | 1.6 | 1.6 | 1.4 |
| VBA | degree | 15 | 30 | 30 | 0 | ||
| HBW | m | 1.6 | 1.4 | 1.6 | 1.6 | ||
| HBA | degree | 30 | 45 | 45 | 45 | ||
| Fitness Criteria | f(PMV) | / | 1.25 | 2.14 | 1.48 | 2.14 | |
| f(UDI) | / | 1.64 | 2.68 | 2.02 | 2.8 | ||
| IF | / | 1.77 | 2.18 | 1.8 | 2.14 |
| Shade | Description | Description | Units | Urumchi | Lanzhou | Turpan | Beijing |
|---|---|---|---|---|---|---|---|
| HLS | Design variables | NHS | quantity | 13 | 18 | 17 | 27 |
| HSW | m | 0.3 | 0.3 | 0.2 | 0.3 | ||
| HSA | degree | 60 | 75 | 45 | 60 | ||
| DSW | m | 0 | 0 | 0 | 0 | ||
| Fitness Criteria | f(PMV) | / | 1.54 | 2.26 | 1.97 | 2.7 | |
| f(UDI) | / | 1.43 | 2.31 | 1.67 | 2.22 | ||
| IF | / | 1.81 | 2.21 | 1.93 | 2.12 | ||
| Variance Average | FC | / | 0.2 | 0.05 | 0.16 | 0.31 | |
| FC | / | 1.59 | 2.26 | 1.85 | 2.35 | ||
| VLS | Design variables | NVS | quantity | 8 | 12 | 13 | 12 |
| VSW | m | 0.25 | 0.15 | 0.1 | 0.2 | ||
| VSA | degree | 135 | 135 | 165 | 135 | ||
| DSW | m | 0.4 | 0.2 | 0.4 | 0.3 | ||
| Fitness Criteria | f(PMV) | / | 1.35 | 2.31 | 1.5 | 2.14 | |
| f(UDI) | / | 1.36 | 2.24 | 1.77 | 2.48 | ||
| IF | / | 1.44 | 1.8 | 1.56 | 2.3 | ||
| Variance Average | FC | / | 0.05 | 0.28 | 0.14 | 0.17 | |
| FC | / | 1.38 | 2.12 | 1.61 | 2.3 | ||
| ES | Design variables | NVS | quantity | 4 | 12 | 6 | 7 |
| VSW | m | 0.2 | 0.15 | 0.25 | 0.25 | ||
| VSA | degree | 120 | 105 | 150 | 120 | ||
| DSW | m | 0.2 | 0.1 | 0.3 | 0.1 | ||
| NHS | quantity | 25 | 13 | 13 | 15 | ||
| HSW | m | 0.15 | 0.3 | 0.05 | 0.25 | ||
| HSA | degree | 60 | 75 | 45 | 90 | ||
| Fitness Criteria | f(PMV) | / | 1.53 | 2.48 | 1.51 | 2.32 | |
| f(UDI) | / | 1.39 | 2.45 | 1.56 | 2.89 | ||
| IF | / | 1.54 | 1.9 | 1.91 | 2.59 | ||
| Variance Average | FC | / | 0.08 | 0.33 | 0.22 | 0.28 | |
| FC | / | 1.49 | 2.28 | 1.66 | 2.6 | ||
| BS | Design variables | VBW | m | 1.6 | 1.2 | 1.6 | 1.4 |
| VBA | m | 30 | 15 | 15 | 0 | ||
| HBW | m | 1.4 | 1.6 | 1.6 | 1.6 | ||
| HBA | m | 60 | 45 | 45 | 45 | ||
| Fitness Criteria | f(PMV) | / | 1.34 | 2.11 | 1.55 | 2.14 | |
| f(UDI) | / | 1.33 | 2.65 | 1.89 | 2.8 | ||
| IF | / | 1.98 | 2.31 | 1.87 | 2.14 | ||
| Variance Average | FC | / | 0.37 | 0.27 | 0.19 | 0.38 | |
| FC | / | 1.55 | 2.36 | 1.77 | 2.36 |
References
- González-Torres, M.; Pérez-Lombard, L.; Coronel, J.F.; Maestre, I.R.; Yan, D. A review on buildings energy information: Trends, end-uses, fuels and drivers. Energy Rep. 2022, 8, 626–637. [Google Scholar] [CrossRef]
- Khani, A.; Khakzand, M.; Faizi, M. Multi-objective optimization for energy consumption, visual and thermal comfort performance of educational building (case study: Qeshm Island, Iran). Sustain. Energy Technol. Assessments 2022, 54, 102872. [Google Scholar] [CrossRef]
- Tsinghua University Building Energy Conservation Research China. China Building Energy Efficiency Annual Development Report; China Building Industry Press: Beijing, China, 2023. [Google Scholar]
- Omer, A.M. Energy, environment and sustainable development. Renew. Sustain. Energy Rev. 2008, 12, 2265–2300. [Google Scholar] [CrossRef]
- Liu, L.; Tam, V.W.; Almeida, L.; Le, K.N. Dynamically assessing life cycle energy consumption of buildings at a national scale by 2020: An empirical study in China. Energy Build. 2023, 296, 113354. [Google Scholar] [CrossRef]
- Department of Development Planning, Ministry of Education, China. Title, Basic Information on the Development of National Education in 2022, 2023. Available online: http://www.moe.gov.cn/fbh/live/2023/55167/sfcl/202303/t20230323_1052203.html (accessed on 23 March 2023).
- Cuce, E.; Riffat, S.B. A state-of-the-art review on innovative glazing technologies. Renew. Sustain. Energy Rev. 2015, 41, 695–714. [Google Scholar] [CrossRef]
- Yang, Z.; Li, X.; Hu, Y. Study on solar radiation and energy efficiency of building glass system. Appl. Therm. Eng. 2006, 26, 956–961. [Google Scholar] [CrossRef]
- De Luca, F.; Voll, H.; Thalfeldt, M. Horizontal or vertical? Windows’ layout selection for shading devices optimization. Manag. Environ. Qual. Int. J. 2016, 27, 623–633. [Google Scholar] [CrossRef]
- De Luca, F.; Voll, H.; Thalfeldt, M. Comparison of static and dynamic shading systems for office building energy consumption and cooling load assessment. Manag. Environ. Qual. Int. J. 2018, 29, 978–998. [Google Scholar] [CrossRef]
- Lechner, N. Heating, Cooling, Lighting: Sustainable Design Methods for Architects; John Wiley & Sons: Hoboken, NJ, USA, 2014. [Google Scholar]
- Brown, G.; DeKay, M.; Sun, W. Light: Architectural Design Strategies; Jon Wiley & Sons: Hoboken, NJ, USA, 2001. [Google Scholar]
- Dutta, A.; Samanta, A.; Neogi, S. Influence of orientation and the impact of external window shading on building thermal performance in tropical climate. Energy Build. 2017, 139, 680–689. [Google Scholar] [CrossRef]
- Kirimtat, A.; Koyunbaba, B.K.; Chatzikonstantinou, I.; Sariyildiz, S. Review of simulation modeling for shading devices in buildings. Renew. Sustain. Energy Rev. 2016, 53, 23–49. [Google Scholar] [CrossRef]
- Voll, H.; De Luca, F.; Pavlovas, V. Analysis of the insolation criteria for nearly-zero energy buildings in Estonia. Sci. Technol. Built Environ. 2016, 22, 939–950. [Google Scholar] [CrossRef]
- Voll, H.; Thalfeldt, M.; De Luca, F.; Kurnitski, J.; Olesk, T. Urban planning principles of nearly zero-energy residential buildings in Estonia. Manag. Environ. Qual. Int. J. 2016, 27, 634–648. [Google Scholar] [CrossRef]
- Kim, G.; Lim, H.S.; Lim, T.S.; Schaefer, L.; Kim, J.T. Comparative advantage of an exterior shading device in thermal performance for residential buildings. Energy Build. 2012, 46, 105–111. [Google Scholar] [CrossRef]
- Cho, J.; Yoo, C.; Kim, Y. Viability of exterior shading devices for high-rise residential buildings: Case study for cooling energy saving and economic feasibility analysis. Energy Build. 2014, 82, 771–785. [Google Scholar] [CrossRef]
- Kim, J.T.; Kim, G. Advanced external shading device to maximize visual and view performance. Indoor Built Environ. 2010, 19, 65–72. [Google Scholar]
- Zhang, L.; Deng, Z.; Liang, L.; Zhang, Y.; Meng, Q.; Wang, J.; Santamouris, M. Thermal behavior of a vertical green facade and its impact on the indoor and outdoor thermal environment. Energy Build. 2019, 204, 109502. [Google Scholar] [CrossRef]
- Kim, S.H.; Shin, K.J.; Choi, B.E.; Jo, J.H.; Cho, S.; Cho, Y.H. A study on the variation of heating and cooling load according to the use of horizontal shading and venetian blinds in office buildings in Korea. Energies 2015, 8, 1487–1504. [Google Scholar] [CrossRef]
- Hammad, F.; Abu-Hijleh, B. The energy savings potential of using dynamic external louvers in an office building. Energy Build. 2010, 42, 1888–1895. [Google Scholar] [CrossRef]
- Huo, H.; Xu, W.; Li, A.; Lv, Y.; Liu, C. Analysis and optimization of external venetian blind shading for nearly zero-energy buildings in different climate regions of China. Sol. Energy 2021, 223, 54–71. [Google Scholar] [CrossRef]
- Tan, Y.; Peng, J.; Luo, Y.; Gao, J.; Luo, Z.; Wang, M.; Curcija, D.C. Parametric study of venetian blinds for energy performance evaluation and classification in residential buildings. Energy 2022, 239, 122266. [Google Scholar] [CrossRef]
- Ahmed, N.; Wongpanyathaworn, K. Optimising louver location to improve indoor thermal comfort based on natural ventilation. Procedia Eng. 2012, 49, 169–178. [Google Scholar] [CrossRef]
- Zhang, J.; Ji, L. Optimization and Prediction of Energy Consumption, Daylighting, and Thermal Comfort of Buildings in Tropical Areas. Adv. Civ. Eng. 2022, 2022. [Google Scholar] [CrossRef]
- Lee, H.M.; Yoon, J.H.; Kim, S.C.; Shin, U.C. Operational power performance of south-facing vertical BIPV window system applied in office building. Solar Energy 2017, 145, 66–77. [Google Scholar] [CrossRef]
- Jung, S.K.; Kim, Y.; Moon, J.W. Performance evaluation of control methods for PV-integrated shading devices. Energies 2020, 13, 3171. [Google Scholar] [CrossRef]
- Mandalaki, M.; Tsoutsos, T.; Papamanolis, N. Integrated PV in shading systems for Mediterranean countries: Balance between energy production and visual comfort. Energy Build. 2014, 77, 445–456. [Google Scholar] [CrossRef]
- Alsukkar, M.; Hu, M.; Gadi, M.; Su, Y. A Study on Daylighting Performance of Split Louver with Simplified Parametric Control. Buildings 2022, 12, 594. [Google Scholar] [CrossRef]
- Uribe, D.; Vera, S.; Bustamante, W.; McNeil, A.; Flamant, G. Impact of different control strategies of perforated curved louvers on the visual comfort and energy consumption of office buildings in different climates. Sol. Energy 2019, 190, 495–510. [Google Scholar] [CrossRef]
- Alsukkar, M.; Hu, M.; Eltaweel, A.; Su, Y. Daylighting performance improvements using of split louver with parametrically incremental slat angle control. Energy Build. 2022, 274, 112444. [Google Scholar] [CrossRef]
- Hernández, F.F.; López, J.M.C.; Suárez, J.M.P.; Muriano, M.C.G.; Rueda, S.C. Effects of louvers shading devices on visual comfort and energy demand of an office building. A case of study. Energy Procedia 2017, 140, 207–216. [Google Scholar] [CrossRef]
- Fang, J.; Zhao, Y.; Tian, Z.; Lin, P. Analysis of dynamic louver control with prism redirecting fenestrations for office daylighting optimization. Energy Build. 2022, 262, 112019. [Google Scholar] [CrossRef]
- Diab, S.; Qadourah, B.A.; Hammad, R. Daylight quality in healthcare design, daylight measurements results and discussion, case study: Jordan University Hospital. J. Energy Power Eng. 2017, 11, 141–149. [Google Scholar]
- Tsikra, P.; Andreou, E. Investigation of the energy saving potential in existing school buildings in Greece. The role of shading and daylight strategies in visual comfort and energy saving. Procedia Environ. Sci. 2017, 38, 204–211. [Google Scholar] [CrossRef]
- Choe, S.J.; Han, S.H. Energy Balance Data-Based Optimization of Louver Installation Angles for Different Regions in Korea. Energies 2022, 15, 9214. [Google Scholar] [CrossRef]
- Bellia, L.; De Falco, F.; Minichiello, F. Effects of solar shading devices on energy requirements of standalone office buildings for Italian climates. Appl. Therm. Eng. 2013, 54, 190–201. [Google Scholar] [CrossRef]
- Jung, S.y.; Han, S.; Lee, M.G.; Lee, H. Development of a Solar Tracking-Based Movable Louver System to Save Lighting Energy and Create a Comfortable Light Environment. Buildings 2022, 12, 2017. [Google Scholar] [CrossRef]
- Tzempelikos, A. The impact of venetian blind geometry and tilt angle on view, direct light transmission and interior illuminance. Solar energy 2008, 82, 1172–1191. [Google Scholar] [CrossRef]
- Rafati, N.; Hazbei, M.; Eicker, U. Louver configuration comparison in three Canadian cities utilizing NSGA-II. Build. Environ. 2023, 229, 109939. [Google Scholar] [CrossRef]
- Lau, A.K.K.; Salleh, E.; Lim, C.H.; Sulaiman, M.Y. Potential of shading devices and glazing configurations on cooling energy savings for high-rise office buildings in hot-humid climates: The case of Malaysia. Int. J. Sustain. Built Environ. 2016, 5, 387–399. [Google Scholar] [CrossRef]
- Nedhal, A.; Fadzil, S. The potential of shading devices for temperature reduction in high-rise residential buildings in the tropics. Procedia Eng. 2011, 21, 273–282. [Google Scholar]
- Freewan, A.A. Impact of external shading devices on thermal and daylighting performance of offices in hot climate regions. Solar Energy 2014, 102, 14–30. [Google Scholar] [CrossRef]
- Ziaee, N.; Vakilinezhad, R. Multi-objective optimization of daylight performance and thermal comfort in classrooms with light-shelves: Case studies in Tehran and Sari, Iran. Energy Build. 2022, 254, 111590. [Google Scholar] [CrossRef]
- Claros, S.T.; Soler, A. Indoor daylight climate-comparison between light shelves and overhang performances in Madrid for hours with unit sunshine fraction and realistic values of model reflectance. Sol. Energy 2001, 71, 233–239. [Google Scholar] [CrossRef]
- Lim, T.; Yim, W.S.; Kim, D.D. Evaluation of daylight and cooling performance of shading devices in residential buildings in South Korea. Energies 2020, 13, 4749. [Google Scholar] [CrossRef]
- Berardi, U.; Anaraki, H.K. The benefits of light shelves over the daylight illuminance in office buildings in Toronto. Indoor Built Environ. 2018, 27, 244–262. [Google Scholar] [CrossRef]
- Kharvari, F. An empirical validation of daylighting tools: Assessing radiance parameters and simulation settings in Ladybug and Honeybee against field measurements. Sol. Energy 2020, 207, 1021–1036. [Google Scholar] [CrossRef]
- Ahmad, A.; Kumar, A.; Prakash, O.; Aman, A. Daylight availability assessment and the application of energy simulation software—A literature review. Mater. Sci. Energy Technol. 2020, 3, 679–689. [Google Scholar] [CrossRef]
- Ward, G.; Mistrick, R.; Lee, E.S.; McNeil, A.; Jonsson, J. Simulating the daylight performance of complex fenestration systems using bidirectional scattering distribution functions within radiance. Leukos 2011, 7, 241–261. [Google Scholar] [CrossRef]
- GB50176-2016; Code for Thermal Design of Civil Buildings. Ministry of Housing and Urban-Rural Development, People’s Republic of China: Beijing, China, 2016.
- Taleghani, M.; Tenpierik, M.; Kurvers, S.; Van Den Dobbelsteen, A. A review into thermal comfort in buildings. Renew. Sustain. Energy Rev. 2013, 26, 201–215. [Google Scholar] [CrossRef]
- Yu, X.; Su, Y. Daylight availability assessment and its potential energy saving estimation–A literature review. Renew. Sustain. Energy Rev. 2015, 52, 494–503. [Google Scholar] [CrossRef]
- Gago, E.; Muneer, T.; Knez, M.; Köster, H. Natural light controls and guides in buildings. Energy saving for electrical lighting, reduction of cooling load. Renew. Sustain. Energy Rev. 2015, 41, 1–13. [Google Scholar] [CrossRef]
- Wen, J.; Xie, Y.; Yang, S.; Yu, J.; Lin, B. Study of surrounding buildings’ shading effect on solar radiation through windows in different climates. Sustain. Cities Soc. 2022, 86, 104143. [Google Scholar] [CrossRef]
- Kontadakis, A.; Tsangrassoulis, A.; Doulos, L.; Topalis, F. An active sunlight redirection system for daylight enhancement beyond the perimeter zone. Build. Environ. 2017, 113, 267–279. [Google Scholar] [CrossRef]
- Aldawoud, A. Conventional fixed shading devices in comparison to an electrochromic glazing system in hot, dry climate. Energy Build. 2013, 59, 104–110. [Google Scholar] [CrossRef]
- Esquivias, P.; Munoz, C.; Acosta, I.; Moreno, D.; Navarro, J. Climate-based daylight analysis of fixed shading devices in an open-plan office. Light. Res. Technol. 2016, 48, 205–220. [Google Scholar] [CrossRef]
- Huo, H.; Xu, W.; Li, A.; Cui, G.; Wu, Y.; Liu, C. Field comparison test study of external shading effect on thermal-optical performance of ultralow-energy buildings in cold regions of China. Build. Environ. 2020, 180, 106926. [Google Scholar] [CrossRef]
- Lai, K.; Wang, W.; Giles, H. Solar shading performance of window with constant and dynamic shading function in different climate zones. Sol. Energy 2017, 147, 113–125. [Google Scholar] [CrossRef]
- Bagheri Sabzevar, H.; Erfan, Z. Effect of fixed louver shading devices on thermal efficiency. Iran. (Iranica) J. Energy Environ. 2021, 12, 349–357. [Google Scholar] [CrossRef]
- De Luca, F.; Sepúlveda, A.; Varjas, T. Multi-performance optimization of static shading devices for glare, daylight, view and energy consideration. Build. Environ. 2022, 217, 109110. [Google Scholar] [CrossRef]















| Parameters | Description |
|---|---|
| Heat transfer coefficient of envelope K | exterior wall = 0.35 W/(m·K) |
| interior wall = 2.93 W/(m·K) | |
| roof = 0.25 W/(m·K) | |
| ground = 2.93 W/(m·K) | |
| west window–wall ratio (WWR) | 0.48 |
| glass | Solar heat gain coefficient (SHGC) = 0.5 |
| K = 2.35 W/(m·K) |
| External Louver Shading Device | Description |
|---|---|
| Louver width = 0.025 m | |
![]() | Louver count = 150 |
| Louver Angle = 45° | |
| Louver thickness = 0.002 m |
| Experimental Apparatus | Type Specification | Measurement Range | Error Range | Picture |
|---|---|---|---|---|
| Illuminometer ST-80C | Illuminometer ST-81C | 0.1 to 199,900 lx | 4% | ![]() |
| temperature and humidity sensor | COS-03 | temperature 20 to 60 | temperature 0.2 | |
| humidity 0 to 95 | humidity 2 RH | ![]() | ||
| small trolley | / | / | / | ![]() |
| tape measure | / | 0 to 50 m | 0.5 mm | ![]() |
| Climate District | Representative City | Longitude | Latitude | Extreme Maximum Temperature (°C) |
|---|---|---|---|---|
| IC | Urumchi | 87.65 | 43.80 | 42.1 |
| IIA | Lanzhou | 103.88 | 36.05 | 39.8 |
| IIB | Turpan | 89.20 | 42.93 | 47.7 |
| IIB | Beijing | 116.28 | 39.93 | 41.9 |
| Shade | Design Variables | Units | Abbreviate | [Start,Stop,Step] |
|---|---|---|---|---|
| HLS | Number of Horizontal Slats | quantity | NHS | [1,35,1] |
| Horizontal Slats Width | m | HSW | [0.05,0.3,0.05] | |
| Horizontal Slats Angle | degree | HSA | [0,180,15] | |
| Distance between shade and windows | m | DSW | [0,0.4,0.1] | |
| VLS | Number of Vertical Slats | quantity | NVS | [1,15,1] |
| Vertical Slats Width | m | VSW | [0.05,0.3,0.05] | |
| Vertical Slats Angle | degree | VSA | [0,180,15] | |
| Distance between shade and windows | m | DSW | [0,0.4,0.1] | |
| ES | Number of Vertical Slats | quantity | NVS | [1,15,1] |
| Vertical Slats Width | m | VSW | [0.05,0.3,0.05] | |
| Vertical Slats Angle | degree | VSA | [0,180,15] | |
| Distance between shade and windows | m | DSW | [0,0.4,0.1] | |
| Number of Horizontal Slats | quantity | NHS | [1,35,1] | |
| Horizontal Slats Width | m | HSW | [0.05,0.3,0.05] | |
| Horizontal Slats Angle | degree | HSA | [0,180,15] | |
| BS | Vertical Baffle Width | m | VBW | [0.2,1.6,0.2] |
| Vertical Baffle Angle | degree | VBA | [0,90,15] | |
| Horizontal Baffle Width | m | HBW | [0.2,1.6,0.2] | |
| Horizontal Baffle Angle | degree | HBA | [0,90,15] |
| Boundary Conditions | Description |
|---|---|
| Generation Size | 30 |
| Generation Count | 30 |
| Crossover Probability | 0.9 |
| Crossover Distribution Index | 20 |
| Mutation Distribution Index | 20 |
| Random Seed | 1 |
| Optimization Objectives | Description |
|---|---|
| F1 | Maximization f (PMV) |
| F2 | Maximization f (UDI) |
| F3 | Maximization IF |
Disclaimer/Publisher’s Note: The statements, opinions and data contained in all publications are solely those of the individual author(s) and contributor(s) and not of MDPI and/or the editor(s). MDPI and/or the editor(s) disclaim responsibility for any injury to people or property resulting from any ideas, methods, instructions or products referred to in the content. |
© 2023 by the authors. Licensee MDPI, Basel, Switzerland. This article is an open access article distributed under the terms and conditions of the Creative Commons Attribution (CC BY) license (https://creativecommons.org/licenses/by/4.0/).
Share and Cite
Liu, Y.; Wang, W.; Li, Z.; Song, J.; Fang, Z.; Pang, D.; Chen, Y. Daylighting Performance and Thermal Comfort Performance Analysis of West-Facing External Shading for School Office Buildings in Cold and Severe Cold Regions of China. Sustainability 2023, 15, 14458. https://doi.org/10.3390/su151914458
Liu Y, Wang W, Li Z, Song J, Fang Z, Pang D, Chen Y. Daylighting Performance and Thermal Comfort Performance Analysis of West-Facing External Shading for School Office Buildings in Cold and Severe Cold Regions of China. Sustainability. 2023; 15(19):14458. https://doi.org/10.3390/su151914458
Chicago/Turabian StyleLiu, Ye, Wanjiang Wang, Zixiao Li, Junkang Song, Zhicheng Fang, Dongbing Pang, and Yanhui Chen. 2023. "Daylighting Performance and Thermal Comfort Performance Analysis of West-Facing External Shading for School Office Buildings in Cold and Severe Cold Regions of China" Sustainability 15, no. 19: 14458. https://doi.org/10.3390/su151914458
APA StyleLiu, Y., Wang, W., Li, Z., Song, J., Fang, Z., Pang, D., & Chen, Y. (2023). Daylighting Performance and Thermal Comfort Performance Analysis of West-Facing External Shading for School Office Buildings in Cold and Severe Cold Regions of China. Sustainability, 15(19), 14458. https://doi.org/10.3390/su151914458






