Next Article in Journal
A Blockchain-Enabled Approach for Enhancing Synchrophasor Measurement in Smart Grid 3.0
Next Article in Special Issue
Cradle-to-Gate Life Cycle Assessment (LCA) of GaN Power Semiconductor Device
Previous Article in Journal
Study of Potential Impact of Wind Energy on Electricity Price Using Regression Techniques
 
 
Font Type:
Arial Georgia Verdana
Font Size:
Aa Aa Aa
Line Spacing:
Column Width:
Background:
Article

Reference Framework Based on a Two-Stage Strategy for Sizing and Operational Management in Electrical Microgrid Planning

by
Fabian Zuñiga-Cortes
*,
Eduardo Caicedo-Bravo
and
Juan D. Garcia-Racines
Electrical and Electronic Engineering Department, University of Valle, Cali 760032, Colombia
*
Author to whom correspondence should be addressed.
Sustainability 2023, 15(19), 14449; https://doi.org/10.3390/su151914449
Submission received: 30 August 2023 / Revised: 23 September 2023 / Accepted: 30 September 2023 / Published: 3 October 2023

Abstract

:
The challenges of today’s energy landscape, marked by the search for sustainable development, the expansion of coverage, and the diversification of the energy matrix, allow for electricity systems focusing on renewable energy resources. Microgrids are considered an efficient paradigm for managing distributed renewable energy generation and providing reliable access to electricity in remote areas where the grid has not been extended. However, their planning is a complex task that requires a thorough understanding of various multi-dimensional aspects and decision-making scenarios to define feasible and sustainable alternatives. In this context, this study presents a new planning framework based on a two-stage strategy. The strategy seeks to optimize the capacity of generation resources, considering the microgrid’s operational knowledge in various scenarios and aspects related to its sustainability. The framework was evaluated through a case of planning a microgrid for a remote community in Vaupés, Colombia, considering the local energy potential and demand requirements. Twenty optimized alternatives were identified based on the best compromise levels achieved for a set of performance criteria in the technical, economic, environmental, and social dimensions.

1. Introduction

1.1. Background and Motivation

Electric power is essential for any nation’s economic development and social equity. However, around 13% of the world’s population lacks adequate access to modern electricity services, mainly in rural and remote areas [1]. Yet more than 38% of the population depends on traditional polluting energy sources, such as oil, coal, and gas, which harms the environment and health. In addition, the depletion of these sources poses challenges for ensuring energy security and meeting growing global demand, which is expected to increase by 30% by 2040, mainly due to population growth [2]. In the case of developing countries, it is inferred that the change in energy demand will also increase due to their development goals in infrastructure, technology, industry, and transportation. Against this backdrop, the electricity sector faces the challenge of developing solutions that guarantee universal access to affordable, reliable, modern, and sustainable energy services, as established in Objective 7 of the United Nations 2030 agenda [3,4].
In the Colombian context, the country’s energy policy has two important objectives: to expand electricity coverage and diversify the energy matrix [5]. Although most regions are connected to the National Interconnected System (Sistema Interconectado Nacional—SIN), many communities are still without an electricity supply. In particular, the country’s southeastern regions, such as the departments of Amazonas and Vichada, show the lowest levels of coverage with less than 60%. Other departments, such as Chocó, Cauca, and Guajira, have coverage levels of 80.9%, 86.82%, and 77.83%, respectively [6].
Regarding the energy matrix, Colombia has prioritized the development of large hydroelectric plants due to its geographic location and abundance of water resources and also includes some thermal power plants. However, there is great potential for solar photovoltaic and wind power generation [7]. Therefore, through the Ministry of Mines and Energy and the electricity market regulator, the national government has established a regulatory framework to promote the adoption of non-conventional alternative energy sources, mainly renewable ones. In 2014, Law 1715 was issued to regulate and promote the integration of these non-conventional sources in the national energy system [8]. This law became an incentive signal for investment in generation assets and the development of small-scale projects. This approach seeks to move towards a more diversified and sustainable energy matrix.
Current energy policy and advances in distributed generation technologies have paved the way for less conventional decentralized solutions where microgrids emerge as a key technological response in the transformation of the electricity system. Microgrids allow for the integration of various distributed generation technologies, especially those based on renewable resources. They can also generate power close to the load, which reduces dependence on centralized power, thus changing infrastructure needs and energy markets [9]. These characteristics acquire relevance when supplying electricity to rural areas isolated from the SIN, known as Non-Interconnected Zones (Zonas No Interconectadas—ZNIs) [10]. The implementation of microgrids represents a gradual step in the development of the smart grid, enabling a transition to the future electricity system on a more manageable scale in terms of planning, management, and operation.
Planning a microgrid is a complex process that involves evaluating multiple alternatives in different decision-making scenarios, considering both strategic and tactical decision levels, which will influence the system’s capabilities and performance [11]. Sizing is a strategic planning task that seeks to select and optimally dimension the generation and storage assets of the microgrid over a long-term horizon, opting for the most appropriate combination for a specific area. However, operational management is at a tactical planning level and focuses on the efficient use and adequate scheduling of generation resources in the short term. Both planning tasks must meet established performance criteria, considering demand requirements, constraints, and available energy resources [12].
Traditionally, planning has been treated as an investment decision where the lowest financial cost is reasonably sought. The importance of a cost analysis when investing in microgrid projects that require significant capital investments is highlighted. However, in a sustainable development context, due to the heterogeneous nature of microgrids, it is essential to adopt a multi-dimensional analysis approach that considers the attainment of the benefits potentially associated with deploying these systems and the factors related to their environment [13]. This idea is associated with the project’s economic viability and with evaluating aspects such as reliability and quality of supply, environmental impact, and social acceptance.
Based on the above issues, microgrid planning aims to identify feasible and sustainable alternatives through a comprehensive analysis considering the project’s requirements, needs, and constraints. This planning seeks to define clear courses of action to achieve financially viable, technically reliable, socially acceptable, and environmentally friendly energy access [12]. The complexity of the problem lies in the fact that most decisions must be made in an uncertain environment, where potential alternatives are not precisely known due to the diversity of generation resources and their heterogeneous combination, strategic and tactical conditions, and multi-dimensional performance with the simultaneous trade-off of multiple criteria (best trade-off values). These circumstances make it difficult for decision-makers to establish clear preferences.

1.2. Literature Review

Recent years have seen a significant increase in optimizing strategies in microgrid planning. Previous reviews [14,15,16,17,18,19] provide an account of the characteristics of the intuitive, analytical, and heuristic methods used in solving optimization problems in this context. In Ref. [15], various objectives are described for which optimization approaches have been applied in microgrids. Heuristic methods, especially the Particle Swarm Optimization (PSO) method and Genetic Algorithms, are highlighted in Ref. [17] as the most employed ones. However, in Ref. [19], multi-objective optimization methods and multi-criteria decision-making methods for sizing and selecting standalone photovoltaic system alternatives are jointly analyzed. This review also includes different mathematical models used to estimate the power output of photovoltaic modules and battery storage systems. The studies concur that cost minimization remains the most commonly used planning objective. In addition, photovoltaic and wind resources are reportedly the most popular generation options in hybrid systems.
The economic sizing of resources in microgrids has been approached using traditional optimization techniques and formulated as a Mixed-Integer Linear Programming (MILP) problem [20,21,22,23,24]. This approach can include an environmental impact analysis, e.g., through an economic penalty of C O 2 emissions in the objective function, as shown in Ref. [22], where a MILP model is used to optimize capacity in a grid-connected integrated gas and electric power system. The works presented in Refs. [20,23,24] address the planning of autonomous microgrids with renewable resources and battery storage using two-stage MILP models. These models seek to jointly determine the capacity of the microgrid and its operational schedule, considering the demand requirements of the grid.
The PSO optimization method and its variants have been widely used for sizing the power generation mix in microgrids [25,26,27,28,29,30]. In Ref. [25], the sizing of an autonomous microgrid in Rafsanjan is conducted, solving the total annual cost-optimization problem using the evolutionary PSO algorithm (E-PSO) and introducing a rule-based energy management system. In Ref. [30], the capacity allocation of a remote microgrid with split-diesel generators and renewable energy systems is solved using the variable-weighted PSO algorithm (VWPSO). The studies presented in Refs. [26,27,28,29] use the multi-objective PSO (MOPSO) algorithm to determine the capacity, energy dispatch, and location of energy resources in microgrids. In Ref. [27], a bi-level model for planning an isolated microgrid in the Colombian Pacific coast is proposed. In contrast, in Ref. [29], a planning model for a grid-connected microgrid considering energy management under uncertainty scenarios in renewable energy generation is developed.
Evolutionary strategies, such as Genetic Algorithms and Differential Evolution, are another set of metaheuristics used to solve optimization models in microgrid planning. In Ref. [31], a two-stage optimization model for capacity configuration and operation scheduling of a regional power system in China is presented. The NSGA-II algorithm and MILP solve the optimization model in both stages, where the energy and environmental cost criteria are minimized. In Ref. [32], a Differential Evolution algorithm is used to integrate multiple distributed generation sources into a distribution grid, optimizing the placement and size of each source to minimize energy losses. In Ref. [33], a model for planning a hybrid AC–DC microgrid is proposed using a two-stage approach. In the first stage, a genetic algorithm is used to perform the sizing, while in the second stage, a nonlinear solver is implemented to solve the operational problem subject to the design/investment decisions.
Research using recent optimization metaheuristics is presented in Refs. [34,35,36]. In Ref. [34], the Grasshopper algorithm is employed to size an autonomous microgrid, optimizing the probability of deficient supply and energy cost. In addition, a rule-based management scheme is proposed to coordinate the energy flow between the components of the microgrid. In Ref. [35], a techno-economic study of an isolated hybrid system using various optimization algorithms such as the Flower Pollination Algorithm (FPA), Harmony Search (HS), Artificial Bee Colony (ABC), and Firefly Algorithm (FA) is conducted to determine the capacity of the generators. The optimization is performed based on minimizing the Net Present Cost for a specified probability of loss of energy supply and percentage of surplus energy. In Ref. [36], a framework for planning a microgrid in a residential subdivision in Aotearoa, New Zealand is presented. The framework integrates an investment optimization model based on the Equilibrium Optimizer (EO) algorithm and a multi-day power dispatch strategy based on linear programming.
In cases of microgrid planning where alternatives are not predefined, and decisions require a multi-criteria analysis at the strategic and tactical level, the adoption of a multi-objective optimization strategy is presented as a solution. This strategy allows for the exploration of various scenarios to discover the most suitable generation asset configurations for the design and operation of the microgrid, optimizing a set of relevant criteria according to the needs and preferences of the stakeholders while meeting several essential constraints.
Heuristic optimization methods present a flexible and versatile option for tackling optimization problems, especially those involving multiple objectives [14]. Unlike conventional optimization methods, such as linear or quadratic programming, heuristic methods are designed to concurrently explore different regions of complex search spaces, such as nonlinear, discontinuous, and multimodal, and find alternative solutions in a reasonable time. These methods are characterized by maintaining a set of candidate solutions that evolves selecting the “best” solutions during the search according to a fitness value related to the objectives of the problem. These solutions, known as non-dominated or Pareto optimal solutions, reflect a balance between all objectives and provide an informative representation of the objective space to the decision maker.
The characteristics of the planning problem require the research and development of new strategies that can be adapted to the complexity of various cases of microgrid implementation. This research work proposes a planning framework based on a two-stage hierarchical strategy to jointly address the sizing and operational management of energy supply resources in microgrids. This comprehensive approach focuses on strategic planning, exploring possible microgrid configuration alternatives using a multi-objective optimization model that considers knowledge of the operation over the system’s lifetime. This strategy has a hierarchical bidirectional interaction between the decision-makers of both stages: the microgrid planner and an energy management system—EMS. The planner seeks to optimize a set of multi-dimensional criteria, considering the decisions of the EMS in relation to the operating points of the microgrid generation assets.
This research aims to provide a systematic framework to support decision-making by planners and stakeholders in the development of electrical microgrids, considering current energy needs and a sustainability perspective. In this regard, the distinctive contributions of the research are highlighted below:
  • Compared to existing studies on microgrid planning, where the determination of resource capacity is based only on demand requirements and on partial and specific analyses of the system, from a technical, economic, or technical-economic point of view, without revealing the influence of other dimensions of impact, this study presents a comprehensive and multi-dimensional approach to the analysis of microgrid solution alternatives, considering technical, economic, environmental, and social aspects.
  • The proposed two-stage strategy addresses the strategic planning of microgrids by analyzing and evaluating various solution alternatives under different operating conditions. In each scenario, possible hybrid configurations are modeled, optimized, and compared to make informed decisions on each identified action, considering the expected costs/benefits and resources involved.
  • The research approach and results presented align with the initiatives of the National Energy Plan [5] and the United Nations Sustainable Development Goal 7 [4]. Therefore, they can be considered as a preliminary reference point for stakeholders, the energy industry, and policymakers when:
    Determining the “best” local context hybrid electrification option among a set of feasible alternatives to achieve a modern and sustainable energy service.
    Creating a priority investment plan to promote the adoption of renewable energies in Colombia through systems such as micro-grids. This planning framework can be adapted and applied in other regions with different generation conditions and energy needs, especially in developing countries with low access to electricity.
The remaining sections of the article are organized as follows: Section 2 provides a detailed description of the proposed planning framework, including the mathematical models of the generation assets, the two-stage planning strategy, the multi-objective optimization model, the operational management strategy, and the dimensions of analysis and performance criteria. Section 3 presents the results and discussion of applying the planning framework in a case study in Vaupés, Colombia. Finally, Section 4 outlines the conclusions and describes the prospects for future work.

2. Framework for Microgrid Planning

When addressing the challenge of planning the capacity of a microgrid’s energy supply resources, it is essential to consider multiple aspects of the process. This involves consideration of primary data such as demand profile, availability of energy resources, annual demand growth rate, and project financial data (e.g., interest rates, inflation rates, project lifetime). In addition, the technical and economic characteristics of the system components, i.e., energy sources and storage systems, must be considered, including their mathematical models.
Once the necessary data are available, the optimization model and strategy must be defined, considering the performance criteria in each dimension of analysis and the constraints that determine the feasibility of the solutions. An adequate energy management system is also required to understand the possible behavior of the microgrid resources at the operational level. Integrating this knowledge into the planning process can help to avoid resource oversizing or under-sizing scenarios. These aspects are incorporated into the proposed planning framework, as shown in Figure 1.

2.1. Mathematical Models of Generation Assets

In the planning framework, mathematical relationships describing the operation of the microgrid’s generation resources are integrated at the operational level. The proposed microgrid includes photovoltaic panels, wind turbines, diesel generation units, and a battery storage system. Each technology is characterized by its capacity, efficiency, and lifetime, among other aspects.
Photovoltaic panel—PV [19,28]: The performance of solar cells is influenced by several factors, such as solar radiation, ambient temperature, module area, and module efficiency, among others. Since atmospheric conditions vary throughout the day, the PV system is considered to use a Maximum Power Point Tracking system (MPPT) to improve power generation stability under different temperature and solar radiation conditions. Therefore, its power output at a time t is calculated as:
P P V t = N p v η p v A p v I T t
where, I T t is the incident solar irradiance on the PV module [ k W / m 2 ] at time t ; A p v is the area of a single module [ m 2 ] and N p v is the number of PV modules to be optimized. The instantaneous efficiency η p v of the module is obtained by:
η p v = η r η p t 1 β t T c T r
where, η r is the reference efficiency of the PV module; η p t is the efficiency of the tracking system, in this case assumed equal to 1; T c is the temperature on the cell surface [ ]; T r is the reference temperature of the cell [ ] under standard test conditions; and β t is the temperature coefficient of the module [ % / ].
Wind Turbine—WT [28,36]: The power output of a wind turbine at time t varies with wind speed, as expressed in (3). When the wind velocity is below a threshold known as the cut-in or start-up speed v c i , the turbine produces no energy. As the wind speed increases from v c i to the rated speed v r of the turbine, the power output gradually increases until the maximum power P r , w t . The power output is constantly regulated between v r and the cut-off speed v c o , which is the maximum speed allowed for safety reasons to avoid possible damage.
P w t i v t = 0 v t < v c i P r , w t v t 3 v c i 3 v r 3 v c i 3 v c i v t < v r P r , w t v r v t < v c o 0 v t v c o
The power generated by the set of wind turbines of the microgrid at time t is calculated according to (4) average wind speed v t [ m / s ]; the total turbine swept area A w t [ m 2 ]; the wind turbine efficiency η w t and the number of wind turbines to be optimized N w t .
P W T t = N w t P w t i v t η w t A w t
Diesel generator—DG [37]: The power output of a particular diesel generator reference depends on both its rated capacity and the load it is subjected to. The model uses the fuel consumption curve, which is expressed as a function of the power output P D S L t of the generator at time t , as described in (5):
f u e l D S L t = α D S L P r , D S L + β D S L P D S L t + F s t a r t α D S L + β D S L P r , D S L
where, α D S L y β D S L represent the coefficients characterizing the fuel consumption curve [ l / k W h ]; P r , D S L indicates the rated power of the diesel generator [ k W ]; and F s t a r t corresponds to the additional fuel consumption factor due to the generator start-up [ l / k W h ].
Energy storage system—ESS [19,36]: The ESS is a key component in autonomous systems. Due to the inherent variability in the generation of some renewable resource-based technologies, the ESS has the function of improving power quality and reliability and providing support for economic dispatch [19]. In this study, a battery bank is used as the storage system. The battery model updates the State Of Charge (SOC) at time t , depending on the energy deficit or excess in the microgrid, as expressed in (6) and (7):
S O C t = S O C t Δ t 1 σ + E r e n t E l o a d t η i n v η b a t C b a t ,   m a x 100 ,     c h a r g e
S O C t = S O C t Δ t 1 σ E l o a d t η i n v E r e n t η b a t C b a t ,   m a x 100 ,     d i s c h a r g e
where, S O C t Δ t represents the SOC of the battery at time t Δ t , with Δ t being the simulation interval (1 h, in this study); σ is the battery self-discharge rate, which indicates the loss of charge without active use of the battery; η b a t is the charge/discharge efficiency of the battery, i.e., the efficiency with which the battery stores or releases energy; E r e n t is the total energy generated by renewable sources at time t [ k W h ]; E l o a d t is the energy demand of the load during t [ k W h ]; η i n v is the inverter efficiency, and C b a t ,   m a x is the storage capacity of the battery [ k W h ].
Inverter [19,38]: This device converts direct current—DC electrical power, such as that from batteries or PV, to alternating current—AC electrical power for charging. It can also perform the reverse conversion from AC to DC to prepare energy for battery storage. The inverter’s efficiency can vary between 89% and 95%, depending on its type and manufacture. In addition, a charge controller can be incorporated to regulate the charge and discharge dynamics of the batteries, protecting them from overcharging and prolonging their lifetime. The output power P o u t of the inverter, as a function of the input power P i n and its efficiency η i n v , can be estimated as:
P o u t = P i n η i n v

2.2. Two-Stage Planning Strategy

The proposed framework bases microgrid planning on a two-stage strategy coupled to analyze both the capacity of energy supply resources and the effect of their operation on system performance over a planning horizon (Figure 2). The first stage is responsible for sizing the generation assets of the microgrid using a multi-objective optimization model that considers various aspects, such as reliability, economic costs, and environmental impact, among others. In the second stage, the operation strategy corresponding to each combination of assets considered in the first stage is defined, which solves the hourly dispatch problem, representing an Energy Management System—EMS.
The first stage receives the necessary input information on the technical and economic parameters applicable to the project, such as the planning horizon, the availability of resources, the cost of capital of the assets, and the interest rate, among others. To perform the optimization, the SPEA2 genetic algorithm [39] is used, which has an operation that starts from an initial population of M vectors or individuals ( i = 1 , 2 , , M ), each one representing a possible combination of assets (amount of each type of resource), randomly generated within the established maximum and minimum limits. Then, the set of possible solutions is communicated to the EMS, which operates as input parameters of the second stage. Where, for each asset combination i , the operational management strategy is executed to determine the corresponding hourly dispatch plan. The operational scheduling scheme ( P i , j ) is passed to the first stage, which is one of the conditions to evaluate the performance of each configuration during the entire planning horizon. From this evaluation, non-dominated solutions are identified and recorded in an initial file. Based on the non-dominated solutions, the combination schemes can be updated by selecting individuals based on their fitness and introducing variations through crossover and mutation operations in the selected individuals. The new individuals are passed to the operational management stage to evaluate their performance and update the file. This process is repeated until the main cycle is completed, when a fixed number of iterations is reached, or until an equilibrium is reached where there is no incentive to change the solutions.
At the end of the execution, the strategy provides a set of non-dominated or Pareto optimal solutions. These solutions represent the decision variables related to the number of generation assets in the microgrid. In addition, hourly power dispatch decisions over the management horizon are obtained for each feasible alternative.

2.3. Multi-Objective Optimization Model

The sizing stage aims to search for an optimized amount of generation resources in the microgrid within a specific time horizon. Therefore, it is essential to formulate a mathematical model that relates to a multi-objective problem, considering the decision space, the objective space, and the associated constraints. The decision space is an n-dimensional space encompassing the design variables represented by the decision vector x (10). However, the objective space is an m-dimensional space related to the objective functions, where each dimension refers to the value f i x of a specific function (9). Each point in the decision space represents a solution to the problem and is related to a point in the objective space, where its quality is evaluated in terms of the values of the objective functions. Constraints (11), whether logical or physical, determine the feasibility of a solution, ensuring that the imposed conditions, such as those related to the environment or the availability of resources, are met. The general model of the multi-objective problem, in a k —dimensional analysis (in this case, k = 4 ), is expressed by Equations (9)–(11):
M i n i m i z e   F x = f t e c x , f e c o x , f a m b x , f s o c x
x = N p v ,   N w t ,   N d s l ,   N b a t
Subject   to :   H x = 0 G x 0
where, F x represents the set of objective functions to be optimized in each dimension of analysis, i.e., of technical type f t e c ,   x , economic f e c o x , environmental f a m b x , and social f s o c x ; H x and G x are sets of equality and inequality constraints, respectively; x is the vector of decision variables, which includes the microgird’s number of photovoltaic units N p v , wind turbines N w t , diesel generators N d s l , and storage units N b a t . Each component of the vector x must belong to the domain S j , which is defined by the maximum number N j m a x of units of type j configured in the microgrid, which is determined as:
0 N j N j m a x
N j m a x = t = 1 T β j P l o a d t t = 1 T P j t
where β j is the scale factor of generation unit type j .
In the proposed optimization model, the objective functions are defined from a set of performance criteria used to evaluate the suitability of potential solutions in each dimension of analysis. Therefore, the objective function associated with a dimension is defined by aggregating the corresponding criteria previously normalized, as shown in Equations (14)–(17). A detailed description of the performance criteria considered in this study for each dimension of analysis is presented in Section 2.5 below.
f t e c x = n = 1 N I T n min I T n max I T n min I T n
f e c o x = n = 1 N I E n min I E n max I E n min I E n
f a m b x = n = 1 N I A n min I A n max I A n min I A n
f s o c x = n = 1 N I S n min I S n max I S n min I S n
where, I T n , I E n , I A n , I S n are the indicators related to the technical, economic, environmental, and social dimensions, respectively; and N is the total number of indicators in each analysis dimension.

2.4. Operational Management of the Microgrid

The operational management stage of the microgrid is based on an hourly simulation of the power balance, considering a set of generation and demand profiles over a management horizon T (18). In addition, specific practical operational considerations are considered, such as the generation limits imposed by the technologies used (19) and the constraints associated with the state of charge of the storage system (20) and (21).
m = 1 M P D S L , m t + P P V t + P W T t ± P B A T t = P l o a d t         t T .
P j m i n P j t P j m a x         t T .
S O C m i n S O C t S O C m a x       t T .
S O C m i n = 1 D O D S O C m a x .
where, M denotes the number of diesel generators; P D S L , m t is the power output of the m diesel generator at time t [ k W ]; P l o a d t is the power demanded by the load at time t [ k W ]; P P V t and P W T t are the powers generated by the PV panels and wind turbines at time t [ k W ]; and P B A T t indicates the charging/discharging power of the storage system at time t [ k W ]. The lower and upper limits of the output power of the type j generation units are represented as P m i n , j and P m a x , j , respectively, while the lower and upper limits of the SOC of the batteries are represented as S O C m i n and S O C m a x , respectively. In addition, D O D refers to their Depth Of Discharge.
The response of the operational stage is intrinsically linked to the dispatch strategy adopted. In this case, the dispatch strategy of the microgrid follows the concept of reducing pollutant emissions and avoiding using fossil fuels in the generation process as much as possible. For this reason, the first attempt to meet the demand is to use renewable resources. Therefore, the demand to be supplied by energy management at time t can be determined by (22):
Δ P t = P l o a d t P P V t P W T t
From the first attempt to meet the demand, three possible scenarios can be analyzed:
  • If Δ P t > 0 , the generation from renewable sources is not enough to cover the demand. In this scenario, the storage system acts according to its state of charge conditions ( S O C > S O C m i n ), to cover the deficit. Once the discharge is completed, the S O C is updated. The diesel generator is used if the energy deficit exceeds the available storage capacity. If the diesel generator cannot cover the deficit, we consider it an unmet load.
  • If Δ P t = 0 , the generation from renewable sources is sufficient to meet demand fully. In this case, the energy storage system will not operate, nor will the diesel units be used.
  • If Δ P t < 0 , the generation from renewable sources exceeds demand. In this scenario, the energy storage system is used to absorb the surplus, provided its reserve capacity is sufficient ( S O C < S O C m a x ). If there is still a surplus of energy left after fully charging the storage system, it is registered as lost energy.
In addition to the operational scenarios, the management strategy also considers a condition of annual growth in electricity demand up to a period of L s years. Under this condition, some microgrid components may have to be scaled according to the increase in demand, which implies updating the number of resources available in the system. To do this, the resources are first sized using the total demand D 0 of the initial or base year. During the following four years, excluding the initial year, no updates will be made to the system, which implies that the capital cost should be zero, while other costs, such as operation and maintenance costs, should be calculated for each year. Then, according to the demand requirements, the amount of specific system resources can be upgraded at four-year intervals, excluding the year in which the upgrade is performed, and so on, until the project’s lifetime is reached.
This study uses a simple approach to project the annual growth of electricity demand, as described in Ref. [40], represented by (23).
D l = D 0 1 + g l l
where D l represents the electricity demand in year l and g l the growth rate adopted for year l . The growth rate can be determined from available historical demand data or by considering an increase in new consumers in the target community. In cases where the availability or quality of historical data is insufficient, expert advice may be sought to estimate the growth rate.

2.5. Dimensions of Analysis and Performance Criteria

Planning a microgrid project from a multi-dimensional perspective involves managing a large amount of information, making it difficult for decision-makers to analyze. To understand the project’s complex cost/benefit relationships, stakeholders need to have performance criteria that provide a quantitative measure of various aspects of resource management and utilization, thus providing a clear evaluation message as to progress or setbacks in achieving project objectives and a solid basis for decision-making.
The performance of a project is in focus when an adequate selection, use, and interpretation of the evaluation criteria is made. In the proposed planning framework, it is essential to select or design appropriate criteria that represent the microgrid’s sizing and operating conditions, as well as to have a comprehensive approach when obtaining viable solutions based on optimization and decision-making processes. In this study, criteria are presented that cover aspects of technical, economic, environmental, and social value in the development of electrical microgrids. These criteria are aligned with global energy policies [3,4] and are based on previous specialized research findings on the sustainability of electricity systems. However, it is important to keep in mind that the selection of analysis criteria in microgrid planning will always be case-specific and will depend mainly on the particularities and objectives of each project, as well as the nature of the problem and the alternatives available to solve it.

2.5.1. Technical Dimension

This dimension of analysis focuses on key aspects of an adequate operation of the microgrid throughout its lifetime, which is defined in terms of a regular, reliable, and quality energy supply [41,42]. Therefore, the indicators in this dimension focus on the technical feasibility of the solution alternatives, considering the availability and use of energy supply resources, both in absolute terms and in terms of their associated performance. The technical indicators considered are presented below.
Penetration of renewable sources [%] [28,43]: Evaluates the level of deployment of renewable energy sources in the microgrid, considering the weight of the nominal value of these sources in relation to the total supply capacity of the microgrid.
I T 1 = P R E = n = 1 N P r , n N n n = 1 N P r , n N n + m = 1 M P r , m N m
where, P r , n represents the nominal capacity of a renewable source of type n , N n is the number of renewable sources of type n , P r , m is the nominal capacity of a conventional energy source of type m , and N m is the number of conventional energy sources of type m .
Renewable sources generation share [%] [28,43]: The ratio between the power generated by renewable sources P r e n t and the total power generated by the microgrid P t o t a l t at time t provides a direct measure of the contribution of renewable sources to the energy balance of the system.
I T 2 = C R E = t = 1 T P r e n t t = 1 T P t o t a l t
Energy surplus [ k W h / y e a r ] [30,43]: Excess energy that is not used to supply the load or to be stored. This criterion is critical when the microgrid cannot sell energy to the main grid. In such cases, a dump load absorbs the surplus energy.
I T 3 = E S = t = 1 T P d u m p t = P t o t a l t P l o a d t , P t o t a l t > P l o a d t 0 , P t o t a l t P l o a d t
where, P d u m p t is the power loss and P l o a d t is the power demanded by the load at time t .
Expected Energy Not Supplied (EENS) [ k W h / y e a r ] [19,42]: Provides a measure of system reliability by quantifying the amount of expected energy that could not be supplied when demand exceeds the power generated.
I T 4 = E E N S = t = 1 T E E N S t = P l o a d t P t o t a l t , P l o a d t > P t o t a l t 0 , P l o a d t P t o t a l t
Loss of Power Supply Probability (LPSP) [19]: Microgrid reliability index quantifies the probability of power supply deficiency when the system cannot meet the demand during a period T . In this analysis, only the contribution of renewable sources is considered, so LPSP is defined as the ratio between the total energy not supplied by renewable sources or the storage system and the total demand (28). The value of LPSP varies between 0 and 1, where 0 indicates a highly reliable energy system and 1 implies that the load is never fed.
I T 5 = L P S P = t = 1 T ( P l o a d t Δ t ( P r e n t Δ t + C E S S t Δ t C E S S ,   m i n t Δ t ) )   t = 1 T P l o a d t Δ t
where C E S S t Δ t is the energy available in the storage system at time t Δ t , which can be defined by the state of charge of the battery SOC t Δ t at time t Δ t and the number of batteries N b a t in the system, as shown in Equation (29).
C E S S t Δ t = C b a t ,   m a x S O C t Δ t N b a t

2.5.2. Economic Dimension

From an economic perspective, access to capital is essential for any form of electrification. Therefore, when planning a microgrid project, performing a short-, medium-, and long-term cost analysis is necessary. This analysis seeks to ensure that the use and management of resources does not compromise the economic interests of the parties involved or the system’s profitability throughout its lifetime. It also allows for comparing the costs of different alternatives and determining their economic viability. When defining the costs of a microgrid, it is important to consider its characteristics, such as the capacity to be installed and its composition, which influences the costs of construction, acquisition, and replacement of assets, as well as operation and maintenance expenses [13,42]. Three economic indicators are defined here, which cover the main costs incurred during the microgrid life cycle.
Capital cost [$] [28,29]: The cost required to establish a microgrid in an operable state includes the initial investment cost C i n in to acquire and install the system assets, the land occupancy cost C t r , and the asset replacement cost C r e . Therefore, the annualized capital cost is calculated as:
I E 1 = C c a p = [ C i n + C t r + C r e ] C R F r ,   L s
C i n = j = 1 J c j a d q + c j s e t u p N j
C t r = C m 2 j = 1 J a r e a j N j
C r e = l = 1 L s j = 1 J c j , l r e p N j , l r e p
C R F r ,   L s = r 1 + r L s 1 + r L s 1
where c j a d q and c j s e t u p setup are the acquisition and installation costs, respectively, of an asset type j   [ $ / U n i t ]; N j is the number of assets type j in the microgrid setup; C m 2   is the cost per m 2 of land use [$]; a r e a j is the area required for the installation of an asset type j [ m 2 ]; c j , l r e p is the cost of replacing a type j in the year l   $ / U n i t ; N j , l r e p is the number of type j assets to replace in year l ; r is the annual real interest rate; L s is the planning cycle [years] of the microgrid; and CRF is the Capital Recovery Factor used to calculate the present value of a future annuity.
Operation and maintenance costs [$] [24,29]: The criterion includes the operating and maintenance costs of the generation assets during the entire planning cycle of the microgrid, in addition to the cost related to C O 2 emissions (35). Here, we consider the fixed and variable annual costs necessary to maintain each asset’s normal operation, such as repair costs, operating personnel, materials consumed, and fuel costs, among others. Since the planning horizon of the microgrid is considered in calculating costs, an annual inflation rate f is applied.
I E 2 = C O & M = l = 0 L s c l O & M + c l e m i
c l O & M = j = 1 J ( c j o p e + c j m a i n ) N j 1 + f l
c j o p e = t = 1 T f u e l j t c j f u e l
c l e m i = t = 1 T e m i C O 2 t c C O 2
where, c l O & M is the operation and maintenance cost in year l [$]; c l e m i is the emissions cost of C O 2 in the year l [$]; c j o p e and c j m a i n are the annual operation and maintenance costs, respectively, of an asset j [$]; f u e l j t is the fuel consumption of generation an asset type j at time t [ l ]; c j f u e l is the fuel cost [ $ / l ]; e m i C O 2 t amount of C O 2 emissions produced at time t [ k g   C O 2 ]; and y c C O 2 is the cost per C O 2 emissions [ $ / k g   C O 2 ].
Levelized Cost Of Electricity (LCOE) [ $ / k W h ] [13,19,43]: Criterion widely used in the planning of electricity projects to evaluate their economic efficiency. It allows for comparing the average electricity production costs of different systems or technologies over their lifetime. It is defined as the ratio between the total annualized cost and the energy generated by the system during the same period.
I E 3 = L C O E = l = 0 L s C T l 1 + r l l = 0 L s E l 1 + r l
where C T l represents the total system cost in Year l (it includes both investment cost and operation and maintenance costs); E l is the energy generated in year l [ k W h / y e a r ].

2.5.3. Environmental Dimension

Environmental sustainability entails conserving or improving the integrity of the environment, natural resources, and ecosystems. Therefore, in planning a microgrid project, it is essential to consider the environmental impact related to factors such as emissions of pollutant gases ( C O 2 , N O x , S O x ) and particle matter P M 10 generated by the use of fossil fuels, material flows resulting from energy conversion processes (water, chemicals, waste), and land use, among others [41]. Evaluating and analyzing these aspects can help to formulate strategies to reduce the potentially negative impact of microgrid deployment and operation on the environment, prioritizing technologies with low pollution index. Two indicators that can have a large impact on the local ecosystem and health are considered: emissions of C O 2 and the required land area.
Emissions of C O 2 [ k g   C O 2 / y e a r ] [43,44]: Here, the total annual carbon dioxide emissions ( C O 2 ) emitted by the system during its operation are evaluated (40). The impact of these emissions on air pollution and the greenhouse effect varies to a greater or lesser degree, depending on the technology used, e.g., combustion-based generation sources such as diesel, as well as the quality and rate of fuel consumption.
I A 1 = e m i C O 2 = t = 1 T m = 1 M f u e l m E m t f C O 2 , m
where E m t represents the energy generated by generation sources type m at time t [ k W h ]; f u e l m is the fuel consumption rate of source type m [ l / k W h ] ; and f C O 2 , m is the emission factor of C O 2 expressed in kg of C O 2 emitted per unit of fuel consumed by source type m . The emission factor depends on the fuel type and generator characteristics.
Required land area [ m 2 ] [44,45]: This indicator provides a measure of the total area required for the installation of the system components (41). A land occupancy analysis becomes relevant if one considers the importance of land for ecological balance, biodiversity, ecosystem services provision, and food security. Therefore, when planning a microgrid project, it is essential to develop sustainable land management plans that prioritize alternatives that minimize the use of available space. It should be noted that generation technologies based on renewable resources, such as solar and wind, usually require a large surface area to capture the energy necessary for their use.
I A 2 = a r e a = j = 1 J N j a r e a j

2.5.4. Social Dimension

The social aspect presents significant complexity in its analysis, encompassing broad concepts such as empowerment, acceptance, and inclusion. It is closely interrelated and influenced by the development of the other dimensions as a whole [41]. In the context of microgrid-based electrification, the indivisible connection between energy services and human well-being is pointed out, which implies expressing the key social aspects of this relationship. These aspects include, among other things, the participation and acceptance of end users, as well as the promotion of equity in access to reliable and quality energy that promotes economic development and improves people’s standard of living through the diversification of productive activities and the generation of local employment [46]. The evaluation of social aspects is where there is less certainty in selecting representative criteria, possibly due to the difficulty of obtaining operational data. The level of social acceptability and the potential for job creation are criteria that can be used to assess the social impact in planning microgrid alternatives.
Social acceptability level [45,47]: Perceived acceptability is a key aspect to consider when implementing electrification projects, as it can help establish an honest relationship with the target community and prevent potential risks of failure due to end-user dissatisfaction. Issues such as land requirements, visual intrusion, noise, and health and safety concerns influence this perception. Since these issues are closely associated with the different generation technologies, it is important to assess the social perception associated with each of them. In a previous study [45], a scale of acceptability levels per technology, S A j , was used, where solar photovoltaic and wind present high acceptability, 5 and 4 on a numerical scale, respectively, while diesel-based generation shows medium-low acceptability, rated as 2. Starting from this scale, a measure of the overall acceptability of a microgrid alternative can be obtained, as expressed in (42).
I S 1 = S A = j = 1 J S A j P j P t o t a l
where, P t o t a l is the total power generated by a microgrid alternative, P j is the output power of type j generation units, and S A j is the acceptability value of the technology Type j .
Job creation potential [ J o b s / y e a r ] [41,45]: It refers to the employment opportunities associated with the deployment of the various generation assets of a microgrid. It can be considered as a measure of social acceptability through participation, training, and economic development of the target community. Its value is expressed in terms of the number of jobs created per unit of energy produced in a year [ j o b s / k W h / y e a r ] . Job creation varies according to the generation resources used and the combination of these in the system. According to [41], diesel-generated electricity can generate 0.14   j o b s / G W h / y e a r . In the case of solar photovoltaic and wind turbine generation resources, [45] reports values of 0.87 j o b s / G W h / y e a r and 0.17   j o b s / G W h / y e a r , respectively. Therefore, the employment potential of a microgrid alternative can be expressed as:
I S 2 = J C = j = 1 J j o b j E g e n , j
where j o b j is the number of jobs created per unit of electricity produced in a year by a generation asset type j [ j o b s / k W h / y e a r ]; E g e n , j is the annual electricity production of a generation asset type j [ k W h ].

3. Results

3.1. Case Study

A microgrid planning analysis is carried out to evaluate the proposed framework for a remote community in Colombia located outside of the SIN within the ZNI area (Figure 3). For the municipality of Taraira, situated in the south of the department of Vaupés at coordinates latitude −0.5644 and longitude −69.6341, according to the authors’ knowledge, to date, there are no studies on microgrid planning that offer feasible and sustainable electrification alternatives.
The urban area of Taraira has an estimated population of 500 inhabitants and covers an area of 58,671 m², where approximately 40% of the buildings are private and public. Currently, the community has a limited electricity supply, with only 4 h of service per day, between 6 pm and 10 pm, provided by an 80 kW Cummins power plant, of which 68 kW are effective [48]. The general characteristics of the municipality are summarized in Table 1.

3.2. Technical and Economic Conditions

The average electric power demand curve in Colombia [49] is used as a reference to extrapolate and estimate a possible behavior of electricity consumption levels in Taraira during a 24-h period, considering the current effective maximum generation of 68 kW. The hourly electricity demand profile for the community is shown in Figure 4. In addition, the planning strategy considers new demand requirements through an annual growth condition of electricity demand up to a period of L s years. Starting from the base year demand D 0 , the annual demand growth for Taraira is projected based on the projections for Colombia. According to the report [50], the electricity demand in Colombia up to 2035 may have an average annual growth between 2.28% and 2.68%, with a probability of 34%. Therefore, Taraira’s demand is projected to increase by 2.48%.
In the case study, both dispatchable and non-dispatchable generating units are considered in a hybrid manner. The diesel units are dispatchable generating sources, while the battery storage system is a dispatchable non-generating source. On the other hand, technologies based on renewable resources, photovoltaic and wind in this case, are non-dispatchable generating sources. This hybrid condition is necessary to deal with the intermittency that characterizes renewable-based generation sources.
The power output of renewable energy sources in hourly resolution is calculated from specific technical data of the technologies and historical meteorological data of the analysis area [7,51,52]. The average daily curves of these variables are obtained from the historical behavior in the years 2020 and 2021 (Figure 5) of irradiance, wind speed, and temperature. The wind speed data were recorded at the height of 10 m. Therefore, this speed is corrected to the height of the turbine axis using the power law equation, setting the surface friction coefficient α at 0.2 due to the characteristics of flat terrain with little tree cover at the site of interest [36].
The technical and economic parameters of the generation technologies selected for the case study are obtained from the manufacturing data sheets of commercial references. These parameters include nominal capacity, efficiency, useful life, and acquisition cost, among others, and are presented in Table 2.
In addition to the technical and economic parameters of the generation technologies, the general economic parameters for the microgrid project are defined. This project is planned considering a useful life ( L s ) of 25 years, a real interest rate ( r ) of 13%, an inflation rate ( f ) of 8%, a land cost of 855 U S D   $ / m 2 , and a cost per C O 2 emissions of 0.0045 U S D   $ / k g C O 2 .

3.3. Analysis of Results

The proposed planning framework was implemented using Python®, including the multi-objective optimization model and its SPEA2-based solving method. The SPEA2 setup parameters were set to M = 500 individuals in the population, a file size N = 500 , 50,000 iterations, a mutation probability of 0.3, and a crossover probability of 0.9.
According to the technical and economic conditions defined for the case study, the proposed planning strategy, supported by the multi-objective optimization model and the operational management strategy, aims to optimize the capacity of the microgrid generation resources, seeking to identify alternatives that represent the best compromise values among the criteria of the four dimensions of analysis. Concerning the optimization strategy and the genetic algorithm applied, each chromosome represents a specific configuration of the system x = N pv ,   N wt ,   N dsl ,   N bat . The set of chromosomes obtained at the end of the run represents the solutions or non-dominated alternatives, which reflect their performance in the space of the objective functions, allowing to understand the levels of the trade-off between the performance criteria in each dimension. Table 3 presents the optimization results in relation to the decision variables for each of the alternatives.
The mathematical models defined to estimate the power output of the generation technologies are used to simulate their operation and evaluate the overall operational performance of the microgrid. Figure 6, Figure 7, Figure 8 and Figure 9 illustrate the operational schemes of some of the alternatives found by the planning strategy.
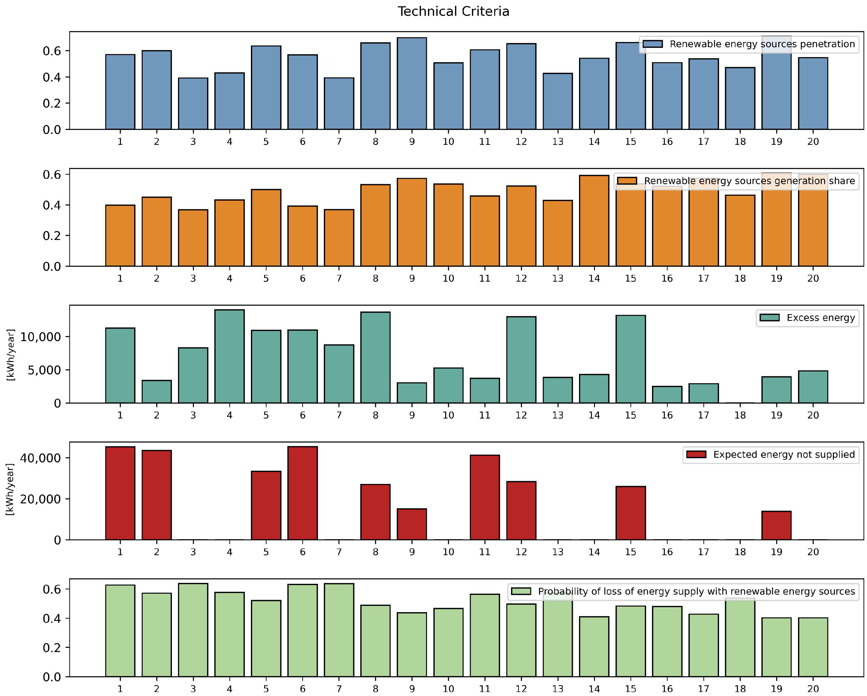
Figure 6 shows the operational behavior of Alternative 3, which exhibits the lowest EENS value (0 k W h / y e a r ), sufficiently guaranteeing electricity supply throughout the planning horizon, and it is also the alternative that requires the least land use (412.28 m 2 ). However, lacking wind turbines and relying heavily on diesel units in the energy balance of the system, it presents the lowest levels of participation of renewable resources PRE (39.07%) and CRE (36.79%), resulting in the highest level of C O 2 emissions (430,098 k g   C O 2 / y e a r ) and the lowest acceptability ( S A : 3.10). In economic terms, this alternative represents the highest C O & M operation and maintenance cost (567,806 USD) due to the constant use of diesel fuel.
Similar to Alternative 3, Alternative 6 (Figure 7) does not have wind turbines but only uses one diesel unit during the planning years. This leads to the lowest capital cost C c a p (USD 476,867) and the lowest LCOE (0.142 $ / k W h ) compared to the other alternatives. However, this alternative has the highest EENS value (45,397.1 k W h / y e a r ) and one of the highest LPSP values (0.631), which could cause reliability problems in the electricity supply after the 5th year of operation.
Figure 8 shows the operational behavior of Alternative 19, which presents the highest integration of renewable resources, with a PRE penetration of 71.01% and REC contribution of 60.78% in electricity supply of the microgrid. Consequently, it offers the lowest amount of C O 2 (262,173 k g   C O 2 / y e a r ) and a high level of acceptability ( S A : 3.58). However, this reliance on renewable sources could cause reliability problems in electricity supply from the 15th year of operation onwards if a system upgrade is not performed. In addition, it has one of the highest capital C c a p costs (USD 1,000,000) and the highest land use (853.26 m 2 ), although it compensates with the lowest operating and maintenance cost C O & M (USD 315,935) due to the lower use of the diesel unit in the operation.
Figure 9 shows the operational behavior of Alternative 20, which stands out for having the highest acceptability ( S A : 3.59) of renewable resources in the energy balance of the microgrid, which leads it to have one of the lowest levels of C O 2 emissions (271,343 k g   C O 2 / y e a r ). At the economic level, it presents the highest C c a p capital cost (USD 1,000,000) and LCOE (0.183 $ / k W h ), attributable to a higher incorporation of wind turbines in the system. Unlike Alternative 19, Alternative 20 incorporates a more significant number of storage units, which makes it possible to take better advantage of the generation from renewable sources and sufficiently supply the electricity demand during the entire planning horizon.
Figure 10, Figure 11, Figure 12 and Figure 13 present the performance criteria values for each optimized alternative in the technical, economic, environmental, and social dimensions. Based on these values, a comparative analysis of the trade-offs between criteria is performed, considering the performance of the alternatives.
Figure 10 presents the performance of microgrid alternatives from a technical perspective, where Alternative 19 shows a 31.95% increase in the penetration of renewable sources and a 23.98% increase in the share of generation from these sources, compared to the alternative with the lowest contribution, Alternative 3. This translates into greater system reliability supported by renewable resources, evidenced by a 23.53% decrease in LSPS in Alternative 19 compared to Alternative 3. Regarding energy surplus, Alternative 18 shows no energy surplus (0 k W h / y e a r ), while Alternative 4 reflects the highest energy loss (14,019 k W h / y e a r ). However, half of the alternatives are able to sufficiently meet the demand requirements over the entire planning horizon, unlike Alternative 6, which presents the highest level of unsupplied energy EENS with 45,397.1 k W h / y e a r .
In economic terms, Figure 11 shows that Alternative 6 achieves a 53.23% reduction in capital costs compared to Alternative 20. This difference is due to the fact that Alternative 6 does not have wind turbines, unlike Alternative 20, which includes 27 of them. This is also reflected in the LCOE, where Alternative 6 presents a cost per k W h 22.57% lower than alternative 20. Regarding operation and maintenance costs, Alternative 19 shows a reduction of 44.36% compared to Alternative 3. This reduction is mainly because Alternative 3 supports most of its energy balance (63.21%) in diesel units, which entails an expense associated with fuel.
On an environmental level, it is expected that the alternatives with greater incorporation and participation of renewable resources will exhibit the lowest values of C O 2 emissions, as shown in Figure 12. This is verified when comparing Alternative 19 with Alternative 3, where there is a reduction in C O 2 emissions of 39.05% of energy supply coming from renewable sources as opposed to 36.79% of Alternative 3. Regarding land occupation, Alternative 3 requires 51.69% less area than Alternative 19. This difference is due to the fact that Alternative 3 lacks wind turbines and has 218 PV panels, compared to the 23 wind turbines and 230 PV panels of Alternative 19.
In the social dimension, there are comparable levels of acceptability, as shown in Figure 13, since all alternatives meet the demand requirements of the area, at least at a base level (years 0–5). However, a favorable trend ( E S : 3.59 is observed for Alternative 20, which is also one of the alternatives with one of the highest participation rates (59.98%) in the generation of energy from renewable resources. In contrast, Alternative 3 presents the lowest acceptability value (ES: 3.10), as it is the alternative with the lowest participation (36.79%) of renewable resources in its generation. Similar values are also observed among all of the alternatives regarding the impact on employment. However, there is a difference of 11.12% in jobs/year between Alternatives 8 and 9, which are the alternatives with the highest and lowest number of PV panels, 267 and 198, respectively. This difference is reflected in the fact that PV panels represent the technology with the highest jobs/kWh/year ratio recorded, which translates into approximately six additional jobs per year for Alternative 8 compared to Alternative 9.
When analyzing the hybrid microgrid configurations, different levels of trade-off or compromise between the performance criteria in the technical, economic, environmental, and social dimensions are observed, resulting from the diversity in generation resources and their heterogeneous mix. In addition, all of the optimized solutions can meet Taraira’s demand requirements, at least for the first 5 years. Therefore, selecting the best alternative to implement would fall on a group of stakeholders and decision-makers involved in the microgrid project. This selection should be made considering their preferences, conditions, and needs, both strategic and tactical.

4. Conclusions

The challenges of the current energy landscape, such as sustainable development, expansion of coverage, and diversification of the energy matrix, together with advances in distributed generation technologies, especially those based on renewable resources, have paved the way for the adoption of less conventional decentralized solutions, where the microgrid concept emerges as one of the key technological responses in the transformation of the electricity system. However, for microgrids to become feasible, it is essential to develop planning strategies with clear courses of action that guarantee financially viable, technically reliable, socially accepted, and environmentally friendly access to energy. This complex process involves evaluating multiple alternatives in various decision-making scenarios, considering both strategic and tactical decision levels. Under these considerations, this study presents a new planning framework based on a coupled two-stage strategy to address both the sizing and operational management of energy supply resources in microgrids. This strategy seeks comprehensive planning where the capacity of generation resources is optimized, considering both the microgrid’s operational knowledge and various aspects of its sustainable development.
To evaluate the proposed framework, a microgrid planning analysis was conducted for the remote community of Taraira, located in the south of the department of Vaupes, Colombia. This analysis determined the capacity of the microgrid’s generation resources, including PV panels, wind turbines, diesel units, and batteries. Both local energy potential and demand requirements were considered, and the impact of the operational resource management strategy was evaluated under various scenarios. The results show 20 optimized alternatives in relation to the capacity of the microgrid generation resources. These alternatives are presented as the best options according to compromise levels among a set of performance criteria covering aspects such as required investment, reliability, environmental impact, and social acceptability, among other aspects of the technical, economic, environmental, and social dimensions.
The proposed planning framework establishes a general model that could be adapted to various microgrid projects. However, specific components, criteria, and constraints could be omitted depending on the requirements and limitations of each project. In each case, the alternatives found should be presented to a group of experts and decision-makers to select the most convenient option according to their preferences and needs, so the planning framework can be integrated with a multi-criteria decision analysis model to define the alternative to be implemented. However, including stochastic models that consider uncertainty factors in demand conditions, renewable energy resources may be the key to take better advantage of the available resources and ensure the microgrid’s reliability.

Author Contributions

Conceptualization, F.Z.-C., J.D.G.-R. and E.C.-B.; Methodology, F.Z.-C.; Software, F.Z.-C.; Validation, F.Z.-C., J.D.G.-R. and E.C.-B.; Formal Analysis, F.Z.-C.; Investigation, F.Z.-C., J.D.G.-R. and E.C.-B.; Resources, E.C.-B.; Data Curation, F.Z.-C. and J.D.G.-R.; Writing—Original Draft Preparation, F.Z.-C.; Writing—Review and Editing, F.Z.-C., J.D.G.-R. and E.C.-B.; Visualization, F.Z.-C. and J.D.G.-R.; Supervision, E.C.-B.; Project Administration, F.Z.-C. and E.C.-B.; Funding Acquisition, E.C.-B. All authors have read and agreed to the published version of the manuscript.

Funding

The authors gratefully acknowledge the financial support provided by the Colombia Scientific Program within the framework called Ecosistema Científico (Contract No. FP44842-218-2018).

Institutional Review Board Statement

Not applicable.

Informed Consent Statement

Not applicable.

Data Availability Statement

Not applicable.

Acknowledgments

The authors gratefully acknowledge the financial support provided by the Colombia Scientific Program within the framework of the calls for proposals Ecosistema Científico (Contract No. FP44842-218-2018), which provided research and training to F. Zuñiga.

Conflicts of Interest

The authors declare no conflict of interest. The sponsors had no role in the design, execution, interpretation, or writing of the study.

References

  1. Comisión Económica para América Latina y el Caribe (CEPAL). La Agenda 2030 para el Desarrollo Sostenible en el Nuevo Contexto Mundial y Regional: Escenarios y Proyecciones en la Presente Crisis; CEPAL: Santiago, Chile, 2020. [Google Scholar]
  2. International Energy Agency (IEA). World Energy Outlook 2021; IEA: Paris, France, 2021. [Google Scholar]
  3. Jayachandran, M.; Gatla, R.K.; Rao, K.P.; Rao, G.S.; Mohammed, S.; Milyani, A.H.; Azhari, A.A.; Kalaiarasy, C.; Geetha, S. Challenges in Achieving Sustainable Development Goal 7: Affordable and Clean Energy in Light of Nascent Technologies. Sustain. Energy Technol. Assess. 2022, 53, 102692. [Google Scholar] [CrossRef]
  4. Naciones Unidas La Agenda. 2030 y Sus Objetivos de Desarrollo Sostenible: Una Oportunidad para América Latina y el Caribe; CEPAL: Santiago, Chile, 2018; ISBN 9789210586436. [Google Scholar]
  5. Unidad de Planeación Minero-Energética (UPME). Plan Energético Nacional 2020–2050: La Transformación Energética Que Habilita El Desarrollo Sostenible; UPME: Bogotá, Colombia, 2020. [Google Scholar]
  6. Superintendencia de Servicios Públicos Domiciliarios. Zonas No Interconectadas—ZNI Diagnóstico de la Prestación del Servicio de Energía Eléctrica; Superintendencia de Servicios Públicos Domiciliarios: Bogotá, Colombia, 2018. [Google Scholar]
  7. IDEAM. Atlas Climatológico de Colombia. Available online: http://atlas.ideam.gov.co/visorAtlasClimatologico.html (accessed on 25 July 2023).
  8. Minenergía Ley 1715 de 2014. Available online: https://www.funcionpublica.gov.co/eva/gestornormativo/norma.php?i=57353 (accessed on 28 August 2023).
  9. Henderson, M.; Novosel, D.; Crow, M. Electric Power Grid Modernization Trends, Challenges, and Opportunities; IEEE Technology Trend Paper; IEEE: New York, NY, USA, 2017. [Google Scholar]
  10. Hirsch, A.; Parag, Y.; Guerrero, J. Microgrids: A Review of Technologies, Key Drivers, and Outstanding Issues. Renew. Sustain. Energy Rev. 2018, 90, 402–411. [Google Scholar] [CrossRef]
  11. Ghadi, M.J.; Rajabi, A.; Ghavidel, S.; Azizivahed, A.; Li, L.; Zhang, J. From Active Distribution Systems to Decentralized Microgrids: A Review on Regulations and Planning Approaches Based on Operational Factors. Appl. Energy 2019, 253, 113543. [Google Scholar] [CrossRef]
  12. Stadler, M.; Naslé, A. Planning and Implementation of Bankable Microgrids. Electr. J. 2019, 32, 24–29. [Google Scholar] [CrossRef]
  13. Parag, Y.; Ainspan, M. Sustainable Microgrids: Economic, Environmental and Social Costs and Benefits of Microgrid Deployment. Energy Sustain. Dev. 2019, 52, 72–81. [Google Scholar] [CrossRef]
  14. Gamarra, C.; Guerrero, J.M. Computational Optimization Techniques Applied to Microgrids Planning: A Review. Renew. Sustain. Energy Rev. 2015, 48, 413–424. [Google Scholar] [CrossRef]
  15. Fathima, A.H.; Palanisamy, K. Optimization in Microgrids with Hybrid Energy Systems—A Review. Renew. Sustain. Energy Rev. 2015, 45, 431–446. [Google Scholar] [CrossRef]
  16. Deng, X.; Lv, T. Power System Planning with Increasing Variable Renewable Energy: A Review of Optimization Models. J. Clean. Prod. 2020, 246, 118962. [Google Scholar] [CrossRef]
  17. Twaha, S.; Ramli, M.A.M. A Review of Optimization Approaches for Hybrid Distributed Energy Generation Systems: Off-Grid and Grid-Connected Systems. Sustain. Cities Soc. 2018, 41, 320–331. [Google Scholar] [CrossRef]
  18. Khan, F.A.; Pal, N.; Saeed, S.H. Review of Solar Photovoltaic and Wind Hybrid Energy Systems for Sizing Strategies Optimization Techniques and Cost Analysis Methodologies. Renew. Sustain. Energy Rev. 2018, 92, 937–947. [Google Scholar] [CrossRef]
  19. Ridha, H.M.; Gomes, C.; Hizam, H.; Ahmadipour, M.; Heidari, A.A.; Chen, H. Multi-Objective Optimization and Multi-Criteria Decision-Making Methods for Optimal Design of Standalone Photovoltaic System: A Comprehensive Review. Renew. Sustain. Energy Rev. 2021, 135, 110202. [Google Scholar] [CrossRef]
  20. Koltsaklis, N.E.; Giannakakis, M.; Georgiadis, M.C. Optimal Energy Planning and Scheduling of Microgrids. Chem. Eng. Res. Des. 2018, 131, 318–332. [Google Scholar] [CrossRef]
  21. Lamedica, R.; Santini, E.; Ruvio, A.; Palagi, L.; Rossetta, I. A MILP Methodology to Optimize Sizing of PV—Wind Renewable Energy Systems. Energy 2018, 165, 385–398. [Google Scholar] [CrossRef]
  22. Xiang, Y.; Cai, H.; Gu, C.; Shen, X. Cost-Benefit Analysis of Integrated Energy System Planning Considering Demand Response. Energy 2020, 192, 116632. [Google Scholar] [CrossRef]
  23. Subramanyam, V.; Jin, T.; Novoa, C. Sizing a Renewable Microgrid for Flow Shop Manufacturing Using Climate Analytics. J. Clean. Prod. 2020, 252, 119829. [Google Scholar] [CrossRef]
  24. Guo, L.; Hou, R.; Liu, Y.; Wang, C.; Lu, H. A Novel Typical Day Selection Method for the Robust Planning of Stand-Alone Wind-Photovoltaic-Diesel-Battery Microgrid. Appl. Energy 2020, 263, 114606. [Google Scholar] [CrossRef]
  25. Lorestani, A.; Gharehpetian, G.B.; Nazari, M.H. Optimal Sizing and Techno-Economic Analysis of Energy- and Cost-Efficient Standalone Multi-Carrier Microgrid. Energy 2019, 178, 751–764. [Google Scholar] [CrossRef]
  26. Ghiasi, M. Detailed Study, Multi-Objective Optimization, and Design of an AC-DC Smart Microgrid with Hybrid Renewable Energy Resources. Energy 2019, 169, 496–507. [Google Scholar] [CrossRef]
  27. Echeverri, R.; Caicedo, E.; Alfonso, W.; García, J.D. A Bi-Level Multi-Objective Optimization Model for the Planning, Design and Operation of Smart Grid Projects. Case Study: An Islanded Microgrid. Int. J. Energy Econ. Policy 2020, 10, 325–341. [Google Scholar] [CrossRef]
  28. Xu, X.; Hu, W.; Cao, D.; Huang, Q.; Chen, C.; Chen, Z. Optimized Sizing of a Standalone PV-Wind-Hydropower Station with Pumped-Storage Installation Hybrid Energy System. Renew. Energy 2020, 147, 1418–1431. [Google Scholar] [CrossRef]
  29. Chen, X.; Dong, W.; Yang, Q. Robust Optimal Capacity Planning of Grid-Connected Microgrid Considering Energy Management under Multi-Dimensional Uncertainties. Appl. Energy 2022, 323, 119642. [Google Scholar] [CrossRef]
  30. Cardenas, G.A.R.; Khezri, R.; Mahmoudi, A.; Kahourzadeh, S. Optimal Planning of Remote Microgrids with Multi-Size Split-Diesel Generators. Sustainability 2022, 14, 2892. [Google Scholar] [CrossRef]
  31. Wang, Y.; Wang, Y.; Huang, Y.; Li, F.; Zeng, M.; Li, J.; Wang, X.; Zhang, F. Planning and Operation Method of the Regional Integrated Energy System Considering Economy and Environment. Energy 2019, 171, 731–750. [Google Scholar] [CrossRef]
  32. Huy, P.D.; Ramachandaramurthy, V.K.; Yong, J.Y.; Tan, K.M.; Ekanayake, J.B. Optimal Placement, Sizing and Power Factor of Distributed Generation: A Comprehensive Study Spanning from the Planning Stage to the Operation Stage. Energy 2020, 195, 117011. [Google Scholar] [CrossRef]
  33. Rousis, A.O.; Konstantelos, I.; Strbac, G. A Planning Model for a Hybrid AC-DC Microgrid Using a Novel GA/AC OPF Algorithm. IEEE Trans. Power Syst. 2020, 35, 227–237. [Google Scholar] [CrossRef]
  34. Bukar, A.L.; Tan, C.W.; Lau, K.Y. Optimal Sizing of an Autonomous Photovoltaic/Wind/Battery/Diesel Generator Microgrid Using Grasshopper Optimization Algorithm. Sol. Energy 2019, 188, 685–696. [Google Scholar] [CrossRef]
  35. Eteiba, M.B.; Barakat, S.; Samy, M.M.; Wahba, W.I. Optimization of an Off-Grid PV/Biomass Hybrid System with Different Battery Technologies. Sustain. Cities Soc. 2018, 40, 713–727. [Google Scholar] [CrossRef]
  36. Mohseni, S.; Brent, A.C. A Metaheuristic-Based Micro-Grid Sizing Model with Integrated Arbitrage-Aware Multi-Day Battery Dispatching. Sustainability 2022, 14, 12941. [Google Scholar] [CrossRef]
  37. Dufo-López, R.; Cristóbal-Monreal, I.R.; Yusta, J.M. Optimisation of PV-Wind-Diesel-Battery Stand-Alone Systems to Minimise Cost and Maximise Human Development Index and Job Creation. Renew. Energy 2016, 94, 280–293. [Google Scholar] [CrossRef]
  38. Rad, M.A.V.; Ghasempour, R.; Rahdan, P.; Mousavi, S.; Arastounia, M. Techno-Economic Analysis of a Hybrid Power System Based on the Cost-Effective Hydrogen Production Method for Rural Electrification, a Case Study in Iran. Energy 2020, 190, 116421. [Google Scholar] [CrossRef]
  39. Zitzler, E.; Laumanns, M.; Bleuler, S. A Tutorial on Evolutionary Multi-objective Optimization. In Metaheuristics for Multiobjective Optimisation; Gandibleux, X., Sevaux, M., Sörensen, K., T’kindt, V., Eds.; Springer: Berlin/Heidelberg, Germany, 2004; Volume 535, pp. 3–37. [Google Scholar]
  40. Kumar, A.; Singh, A.R.; Deng, Y.; He, X.; Kumar, P.; Bansal, R.C. A Novel Methodological Framework for the Design of Sustainable Rural Microgrid for Developing Nations. IEEE Access 2018, 6, 24925–24951. [Google Scholar] [CrossRef]
  41. López-González, A.; Domenech, B.; Ferrer-Martí, L. Sustainability and Design Assessment of Rural Hybrid Microgrids in Venezuela. Energy 2018, 159, 229–242. [Google Scholar] [CrossRef]
  42. Adefarati, T.; Bansal, R.C. Reliability, Economic and Environmental Analysis of a Microgrid System in the Presence of Renewable Energy Resources. Appl. Energy 2019, 236, 1089–1114. [Google Scholar] [CrossRef]
  43. Ramezanzade, M.; Saebi, J.; Karimi, H.; Mostafaeipour, A. A New Hybrid Decision-Making Framework to Rank Power Supply Systems for Government Organizations: A Real Case Study. Sustain. Energy Technol. Assess. 2020, 41, 100779. [Google Scholar] [CrossRef]
  44. Ullah, Z.; Elkadeem, M.R.; Kotb, K.M.; Taha, I.B.M.; Wang, S. Multi-Criteria Decision-Making Model for Optimal Planning of on/off Grid Hybrid Solar, Wind, Hydro, Biomass Clean Electricity Supply. Renew. Energy 2021, 179, 885–910. [Google Scholar] [CrossRef]
  45. Sedghiyan, D.; Ashouri, A.; Maftouni, N.; Xiong, Q.; Rezaee, E.; Sadeghi, S. Prioritization of Renewable Energy Resources in Five Climate Zones in Iran Using AHP, Hybrid AHP-TOPSIS and AHP-SAW Methods. Sustain. Energy Technol. Assess. 2021, 44, 101045. [Google Scholar] [CrossRef]
  46. Shao, M.; Han, Z.; Sun, J.; Xiao, C.; Zhang, S.; Zhao, Y. A Review of Multi-Criteria Decision Making Applications for Renewable Energy Site Selection. Renew. Energy 2020, 157, 377–403. [Google Scholar] [CrossRef]
  47. Kumar, A.; Singh, A.R.; Deng, Y.; He, X.; Kumar, P.; Bansal, R.C. Integrated Assessment of a Sustainable Microgrid for a Remote Village in Hilly Region. Energy Convers. Manag. 2019, 180, 442–472. [Google Scholar] [CrossRef]
  48. Portal Único del Estado Colombiano Municipio de Taraira—Departamento Del Vaupés. Available online: https://www.vaupes.gov.co/territorios/municipio-de-taraira-643178 (accessed on 18 July 2023).
  49. XM Históricos de Demanda. Available online: https://www.xm.com.co/consumo/historicos-de-demanda (accessed on 28 August 2023).
  50. Unidad de Planeación Minero-Energética (UPME). Proyección Demanda Energía Eléctrica y Gas Natural 2021–2035; UPME: Bogotá, Colombia, 2020. [Google Scholar]
  51. NASA POWER|DAVe. Available online: https://power.larc.nasa.gov/beta/data-access-viewer/ (accessed on 25 July 2023).
  52. Servir Global ClimateSERV—Map. Available online: https://climateserv.servirglobal.net/map (accessed on 25 July 2023).
Figure 1. Framework for microgrid planning.
Figure 1. Framework for microgrid planning.
Sustainability 15 14449 g001
Figure 2. Two-step planning strategy for sizing and operational management of microgrid resources.
Figure 2. Two-step planning strategy for sizing and operational management of microgrid resources.
Sustainability 15 14449 g002
Figure 3. Geographic location of the municipality of Taraira. The figure also shows the ZNI of Colombia [6].
Figure 3. Geographic location of the municipality of Taraira. The figure also shows the ZNI of Colombia [6].
Sustainability 15 14449 g003
Figure 4. Estimated electricity demand for the municipality of Taraira.
Figure 4. Estimated electricity demand for the municipality of Taraira.
Sustainability 15 14449 g004
Figure 5. Historical behavior of meteorological variables in Taraira: (top) Irradiance, (center) Wind speed, (bottom) Temperature.
Figure 5. Historical behavior of meteorological variables in Taraira: (top) Irradiance, (center) Wind speed, (bottom) Temperature.
Sustainability 15 14449 g005
Figure 6. Operational scheme and number of generation units of microgrid alternative 3 in the 25 years of planning.
Figure 6. Operational scheme and number of generation units of microgrid alternative 3 in the 25 years of planning.
Sustainability 15 14449 g006
Figure 7. Operational scheme and number of generation units of microgrid alternative 6 in the 25 years of planning.
Figure 7. Operational scheme and number of generation units of microgrid alternative 6 in the 25 years of planning.
Sustainability 15 14449 g007
Figure 8. Operational scheme and number of generation units of microgrid alternative 19 in the 25-year planning period.
Figure 8. Operational scheme and number of generation units of microgrid alternative 19 in the 25-year planning period.
Sustainability 15 14449 g008
Figure 9. Operational scheme and number of generation units of the microgrid 20 alternative in the 25 years of planning.
Figure 9. Operational scheme and number of generation units of the microgrid 20 alternative in the 25 years of planning.
Sustainability 15 14449 g009
Figure 10. Values of the performance criteria for each of the alternatives in the technical dimension.
Figure 10. Values of the performance criteria for each of the alternatives in the technical dimension.
Sustainability 15 14449 g010
Figure 11. Performance criteria values for each of the alternatives in the economic dimension.
Figure 11. Performance criteria values for each of the alternatives in the economic dimension.
Sustainability 15 14449 g011
Figure 12. Values of the performance criteria of each alternative in the environmental dimension.
Figure 12. Values of the performance criteria of each alternative in the environmental dimension.
Sustainability 15 14449 g012
Figure 13. Performance criteria values for each of the alternatives in the social dimension.
Figure 13. Performance criteria values for each of the alternatives in the social dimension.
Sustainability 15 14449 g013
Table 1. Characteristics of the Municipality of Taraira, Colombia.
Table 1. Characteristics of the Municipality of Taraira, Colombia.
LocationVaupés, Colombia (−0.5644, −69.6341)
Urban area58,671 m2
PopulationTotal: 1015 inhabitants
Urban area: 500 Inhabitants
Economic activityArtisanal mining
Effective electricity generation68 kW
Customers with electricity supply111
Table 2. Technical and economic parameters of generation technologies.
Table 2. Technical and economic parameters of generation technologies.
TechnologyParameterValueUnit
Photovoltaic panel P r , p v 0.40 k W
η p v 0.23-
a r e a p v 1.87 m 2
T r 25
β t 0.005 % /
c p v a d q 252.90 U S   $
c p v m a i n 4 U S   $ / y e a r
L p v 25 y e a r s
Wind turbine v c i 2 m / s
v r 11 m / s
v c o 25 m / s
P r , w t 3 k W
a r e a w t 11.34 m 2
c w t a d q 3600 U S   $
c w t m a i n 60 U S   $ / y e a r
L w t 25 y e a r s
Diesel generator P r , d s l 80 k W
α d s l 0.0815 l / k W h
β d s l 0.2461 l / k W h
F s t a r t 0.0081 l / k W h
c d s l a d q 24,000 U S   $
c d s l m a i n 125 U S   $ / y e a r
c d s l f u e l 0.595 U S   $ / l
f C O 2 , d s l 2.63 k g C O 2 / l
Batteries S O C m i n 20%
S O C m a x 100%
η b a t 0.8—In charged state-
1—In discharged state-
σ 3 % / m o n t h
C b a t ,   m a x 1.6 k W h
a r e a b a t 0.14 m 2
c b a t a d q 400 U S   $
c b a t m a i n 4 U S   $ / y e a r
L b a t 10 y e a r s
Inverter η i n v 0.95-
P i n v , m a x 1.75 k W
L i n v 15 y e a r s
c i n v a d q 525 U S   $
Table 3. Microgrid configuration alternatives for Taraira.
Table 3. Microgrid configuration alternatives for Taraira.
Alternatives N p v N w t N d s l N b a t
Sustainability 15 14449 i001Sustainability 15 14449 i002Sustainability 15 14449 i003Sustainability 15 14449 i004
A12260135
A225401100
A32180233
A42570270
A526741100
A62230132
A72190233
A826781100
A919826166
A10244142100
A1125411100
A1226771100
A142530296
A15245132100
A1626591100
A1720919272
A1821424285
A1923023174
A2021427185
Disclaimer/Publisher’s Note: The statements, opinions and data contained in all publications are solely those of the individual author(s) and contributor(s) and not of MDPI and/or the editor(s). MDPI and/or the editor(s) disclaim responsibility for any injury to people or property resulting from any ideas, methods, instructions or products referred to in the content.

Share and Cite

MDPI and ACS Style

Zuñiga-Cortes, F.; Caicedo-Bravo, E.; Garcia-Racines, J.D. Reference Framework Based on a Two-Stage Strategy for Sizing and Operational Management in Electrical Microgrid Planning. Sustainability 2023, 15, 14449. https://doi.org/10.3390/su151914449

AMA Style

Zuñiga-Cortes F, Caicedo-Bravo E, Garcia-Racines JD. Reference Framework Based on a Two-Stage Strategy for Sizing and Operational Management in Electrical Microgrid Planning. Sustainability. 2023; 15(19):14449. https://doi.org/10.3390/su151914449

Chicago/Turabian Style

Zuñiga-Cortes, Fabian, Eduardo Caicedo-Bravo, and Juan D. Garcia-Racines. 2023. "Reference Framework Based on a Two-Stage Strategy for Sizing and Operational Management in Electrical Microgrid Planning" Sustainability 15, no. 19: 14449. https://doi.org/10.3390/su151914449

APA Style

Zuñiga-Cortes, F., Caicedo-Bravo, E., & Garcia-Racines, J. D. (2023). Reference Framework Based on a Two-Stage Strategy for Sizing and Operational Management in Electrical Microgrid Planning. Sustainability, 15(19), 14449. https://doi.org/10.3390/su151914449

Note that from the first issue of 2016, this journal uses article numbers instead of page numbers. See further details here.

Article Metrics

Back to TopTop