Optimisation of Anaerobic Digestate and Chemical Fertiliser Application to Enhance Rice Yield—A Machine-Learning Approach
Abstract
:1. Introduction
2. Materials and Methods
2.1. Preparation of Biofertiliser
2.1.1. Experimental Setup
2.1.2. Experimental Design and Treatment
2.1.3. Study on Plant Growth and Yield Parameters
2.2. Statistical Analysis of the Derived Data
2.2.1. Modelling
- (i)
- Number of trees: 100;
- (ii)
- Learning rate: 0.60, using reproducible training;
- (iii)
- Growth control:
- a.
- Limit of depth of individual trees: 3;
- b.
- Subset splitting threshold: 2;
- (iv)
- Subsampling (fraction of training instances): 1.00.
2.2.2. Optimisation
2.2.3. Principal Component Analysis
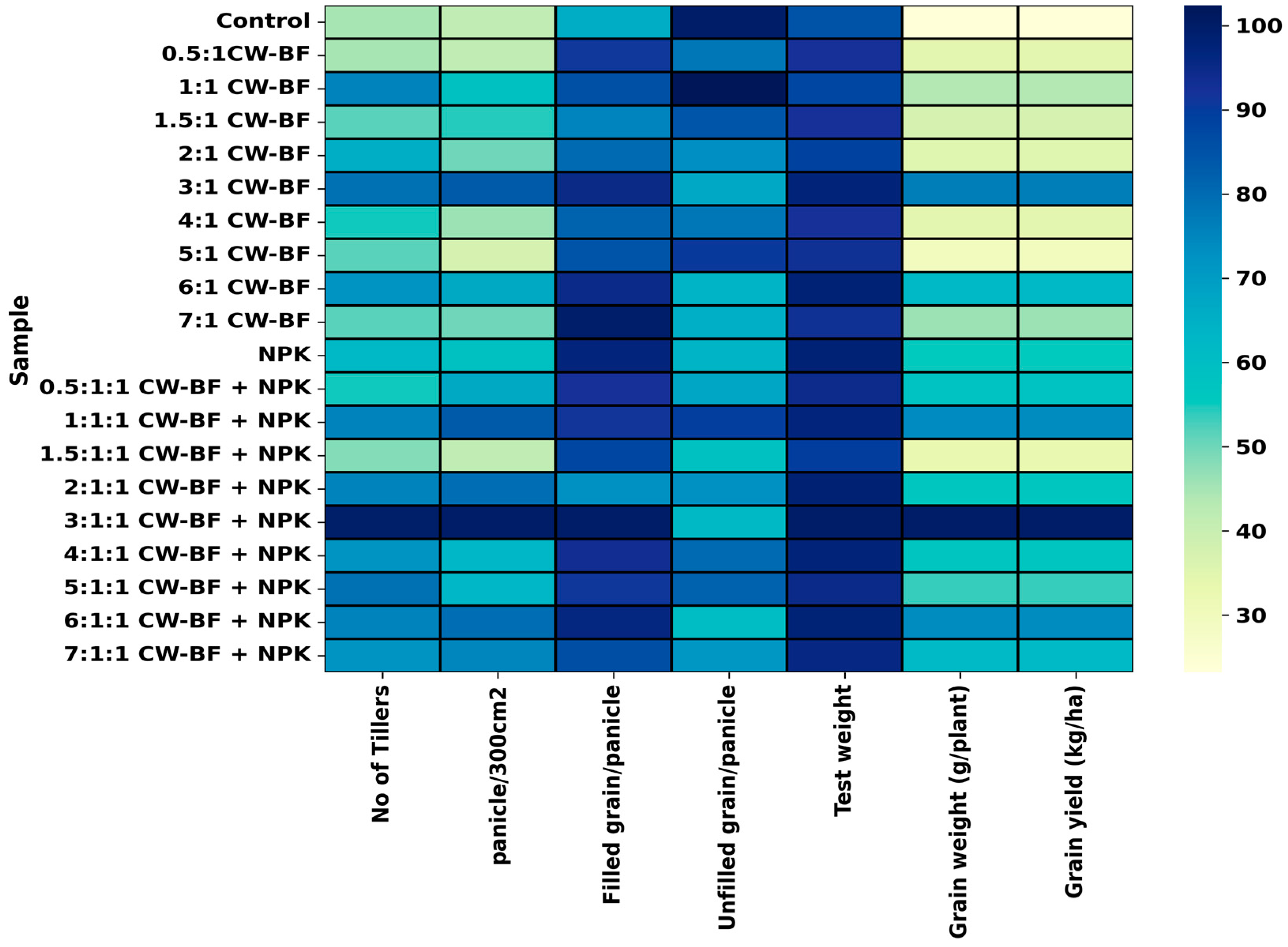
3. Results and Discussion
3.1. Optimisation of Biofertiliser
3.2. Simple Regression Analysis between Grain Yield and Yield Attributes of Rice
3.3. Modelling
3.4. Principal Component Analysis
4. Limitations
5. Conclusions
Author Contributions
Funding
Institutional Review Board Statement
Informed Consent Statement
Data Availability Statement
Acknowledgments
Conflicts of Interest
References
- Mäder, P.; Fliessbach, A.; Dubois, D.; Gunst, L.; Fried, P.; Niggli, U. Soil fertility and biodiversity in organic farming. Science 2002, 296, 1694–1697. [Google Scholar] [CrossRef] [PubMed]
- Ghosh, M.; Devi, A. Assessment of crop growth, soil properties and crop yield in an upland acidic soil with inorganic fertiliser blended with organic amendments in summer rice cropping seasons. Int. J. Recycl. Org. Waste Agric. 2019, 8, 1–9. [Google Scholar] [CrossRef]
- Naher, U.A.; Biswas, J.C.; Maniruzzaman, M.; Khan, F.H.; Sarkar, M.I.U.; Jahan, A.; Hera, M.H.R.; Hossain, M.B.; Islam, A.; Islam, M.R.; et al. Bio-organic fertiliser: A green technology to reduce synthetic N and Pfertiliser for rice production. Front. Plant Sci. 2021, 12, 602052. [Google Scholar] [CrossRef] [PubMed]
- Singh, B.; Singh, V.K. Fertilizer management in rice. In Rice Production Worldwide, 1st ed.; Chauhan, B.S., Jabran, K., Mahajan, G., Eds.; Springer: Cham, Switzerland, 2017; pp. 217–253. [Google Scholar]
- Jagtap, D.N.; Pawar, P.B.; Sutar, M.W.; Jadhav, M.S.; Pinjari, S.S. Response of rice to different fertiliser sources: A mini review. Farming Manag. 2018, 3, 146–152. [Google Scholar]
- Kandpal, G. Review on impact of chemical fertilisers on environment. Int. J. Mod. Agric. 2021, 10, 758–763. [Google Scholar]
- Singh, B. Are nitrogen fertilisers deleterious to soil health? Agronomy 2018, 8, 48. [Google Scholar] [CrossRef]
- Sharma, B.; Vaish, B.; Singh, U.K.; Singh, P.; Singh, R.P. Recycling of organic wastes in agriculture: An environmental perspective. Int. J. Environ. Res. 2019, 13, 409–429. [Google Scholar] [CrossRef]
- El-Ghamry, A.; Mosa, A.A.; Alshaal, T.; El-Ramady, H. Nanofertilizers vs. biofertilisers: New insights. Environ. Biodivers. Soil Secur. 2018, 2, 51–72. [Google Scholar]
- Sinha, D.; Banerjee, S.; Mandal, S.; Basu, A.; Banerjee, A.; Balachandran, S.; Mandal, N.C.; Chaudhury, S. Enhanced biogas production from Lantana camara via bioaugmentation of cellulolytic bacteria. Bioresour. Technol. 2021, 340, 125652. [Google Scholar] [CrossRef]
- Banerjee, A.; Show, B.K.; Chaudhury, S.; Balachandran, S. Biological pretreatment for enhancement of biogas production. In Cost Effective Technologies for Solid Waste and Wastewater Treatment; Elsevier: Amsterdam, The Netherlands, 2022; pp. 101–114. [Google Scholar]
- Show, B.K.; Banerjee, S.; Banerjee, A.; GhoshThakur, R.; Hazra, A.K.; Mandal, N.C.; Ross, A.B.; Balachandran, S.; Chaudhury, S. Insect gut bacteria: A promising tool for enhanced biogas production. Rev. Environ. Sci. Biotechnol. 2022, 21, 1–25. [Google Scholar] [CrossRef]
- Koley, A.; Bray, D.; Banerjee, S.; Sarhar, S.; Thahur, R.G.; Hazra, A.K.; Mandal, N.C.; Chaudhury, S.; Ross, A.B.; CamargoValero, M.A.; et al. Water Hyacinth (Eichhornia crassipes) A Sustainable Strategy for Heavy Metals Removal from Contaminated Waterbodies. In Bioremediation of Toxic Metal (Loid)s, 1st ed.; CRC Press: Boca Raton, FL, USA, 2022; pp. 95–114. [Google Scholar]
- Kainthola, J.; Kalamdhad, A.S.; Goud, V.V. A review on enhanced biogas production from anaerobic digestion of lignocellulosic biomass by different enhancement techniques. Process Biochem. 2019, 84, 81–90. [Google Scholar] [CrossRef]
- Coelho, J.J.; Hennessy, A.; Casey, I.; Bragança, C.R.S.; Woodcock, T.; Kennedy, N. Biofertilisation with anaerobic digestates: A field study of effects on soil microbial abundance and diversity. Appl. Soil Ecol. 2020, 147, 103403. [Google Scholar] [CrossRef]
- Bonetta, S.; Bonetta, S.; Ferretti, E.; Fezia, G.; Gilli, G.; Carraro, E. Agricultural reuse of the digestate from anaerobic co-digestion of organic waste: Microbiological contamination, metal hazards and fertilising performance. Water Air Soil Pollut. 2014, 225, 2046. [Google Scholar] [CrossRef]
- Sürmen, M.; Kara, E. High-Quality Fertilizers from Biogas Digestate. Environ. Clim.-Smart Food Prod. 2022, 319–347. [Google Scholar] [CrossRef]
- Abubaker, J.; Cederlund, H.; Arthurson, V.; Pell, M. Bacterial community structure and microbial activity in different soils amended with biogas residues and cattle slurry. Appl. Soil Ecol. 2013, 72, 171–180. [Google Scholar] [CrossRef]
- Alburquerque, J.A.; de la Fuente, C.; Ferrer-Costa, A.; Carrasco, L.; Cegarra, J.; Abad, M.; Bernal, M.P. Assessment of the fertiliser potential of digestates from farm and agroindustrial residues. Biomass Bioener. 2012, 40, 181–189. [Google Scholar] [CrossRef]
- Yan, L.; Liu, C.; Zhang, Y.; Liu, S.; Zhang, Y. Effects of C/N ratio variation in swine biogas slurry on soil dissolved organic matter: Content and fluorescence characteristics. Ecotoxicol. Environ. Saf. 2021, 209, 111804. [Google Scholar] [CrossRef] [PubMed]
- Kakar, K.; Nitta, Y.; Asagi, N.; Komatsuzaki, M.; Shiotsu, F.; Kokubo, T.; Xuan, T.D. Morphological analysis on comparison of organic and chemical fertilisers on grain quality of rice at different planting densities. Plant Prod. Sci. 2019, 22, 510–518. [Google Scholar] [CrossRef]
- Myint, A.K.; Yamakawa, T.; Zenmyo, T.; Thao, H.T.B.; Sarr, P.S. Effects of organic-manure application on growth, grain yield, and nitrogen, phosphorus, and potassium recoveries of rice variety Manawthuka in paddy soils of differing fertility. Commun. Soil Sci. Plant Anal. 2011, 42, 457–474. [Google Scholar] [CrossRef]
- Lipoth, S.L.; Schoenau, J.J. Copper, zinc, and cadmium accumulation in two prairie soils and crops as influenced by repeated applications of manure. J. Plant Nutr. Soil Sci. 2007, 170, 378–386. [Google Scholar] [CrossRef]
- Jenkins, S.N.; Waite, I.S.; Blackburn, A.; Husband, R.; Rushton, S.P.; Manning, D.C.; O’Donnell, A.G. Actinobacterial community dynamics in long term managed grasslands. Antonie Van Leeuwenhoek 2009, 95, 319–334. [Google Scholar] [CrossRef] [PubMed]
- Yang, Q.; Zhang, M. Effect of bio-organic fertilisers partially substituting chemical fertilisers on labile organic carbon and bacterial community of citrus orchard soils. Plant Soil 2023, 483, 255–272. [Google Scholar] [CrossRef]
- Ferdous, Z.; Ullah, H.; Datta, A.; Anwar, M.; Ali, A. Yield and profitability of tomato as influenced by integrated application of synthetic fertiliser and biogas slurry. Int. J. Veg. Sci. 2018, 24, 445–455. [Google Scholar] [CrossRef]
- Hernández, T.; Chocano, C.; Moreno, J.L.; García, C. Use of compost as an alternative to conventional inorganic fertilisers in intensive lettuce (Lactuca sativa L.) crops—Effects on soil and plant. Soil Tillage Res. 2016, 160, 14–22. [Google Scholar] [CrossRef]
- Ibukunoluwa Moyin-Jesu, E. Use of different organic fertilisers on soil fertility improvement, growth and head yield parameters of cabbage (Brassica oleraceae L). Int. J. Recycl. Org. Waste Agric. 2015, 4, 291–298. [Google Scholar] [CrossRef]
- Singh, R.J.; Ahlawat, I.P.S. Growth behaviour of transgenic cotton with peanut intercropping system using modified fertilisation technique. Proc. Natl. Acad. Sci. India Sect. B Biol. Sci. 2014, 84, 19–30. [Google Scholar] [CrossRef]
- Singh, R.J.; Ahlawat, I.P.S.; Kumar, K. Productivity and profitability of the transgenic cotton–wheat production system through peanut intercropping and FYM addition. Exp. Agric. 2013, 49, 321–335. [Google Scholar] [CrossRef]
- Moe, K.; Mg, K.W.; Win, K.K.; Yamakawa, T. Combined effect of organic manures and inorganic fertilisers on the growth and yield of hybrid rice (Palethwe-1). Am. J. Plant Sci. 2017, 8, 1022–1042. [Google Scholar] [CrossRef]
- Khan, A.A.; Bibi, H.H.; Ali, Z.; Sharif, M.; Shah, S.A.; Ibadullah, H.; Khan, K.; Azeem, I.; Ali, S. Effect of compost and inorganic fertilisers on yield and quality of tomato. Acad. J. Agric. Res. 2017, 5, 287–293. [Google Scholar]
- Scarlat, N.; Fahl, F.; Dallemand, J.F.; Monforti, F.; Motola, V. A spatial analysis of biogas potential from manure in Europe. Renew. Sustain. Energy Rev. 2018, 94, 915–930. [Google Scholar] [CrossRef]
- Yan, S.; Guo, J.Y. Water Hyacinth: Environmental Challenges, Management and Utilisation; CRC Press: Boca Raton, FL, USA, 2017. [Google Scholar]
- Van Klompenburg, T.; Kassahun, A.; Catal, C. Crop yield prediction using machine learning: A systematic literature review. Comput. Electron. Agric. 2020, 177, 105709. [Google Scholar] [CrossRef]
- Lingwal, S.; Bhatia, K.K.; Tomer, M.S. Image-based wheat grain classification using convolutional neural network. Multimed. Tools Appl. 2021, 80, 35441–35465. [Google Scholar] [CrossRef]
- Ghazvini, M.; Dehghani Madvar, M.; Ahmadi, M.H.; Rezaei, M.H.; El Haj Assad, M.; Nabipour, N.; Kumar, R. Technological assessment and modeling of energy-related CO2 emissions for the G8 countries by using hybrid IWO algorithm based on SVM. Energy Sci. Eng. 2020, 8, 1285–1308. [Google Scholar] [CrossRef]
- Ahmadi, M.H.; Ahmadi, M.A.; Nazari, M.A.; Mahian, O.; Ghasempour, R. A proposed model to predict thermal conductivity ratio of Al2O3/EG nanofluid by applying least squares support vector machine (LSSVM) and genetic algorithm as a connectionist approach. J. Therm. Anal. Calorim. 2019, 135, 271–281. [Google Scholar] [CrossRef]
- Pant, J.; Pant, R.P.; Singh, M.K.; Singh, D.P.; Pant, H. Analysis of agricultural crop yield prediction using statistical techniques of machine learning. Mater. Today Proc. 2021, 46, 10922–10926. [Google Scholar] [CrossRef]
- Peralta, N.R.; Assefa, Y.; Du, J.; Barden, C.J.; Ciampitti, I.A. Mid-season high-resolution satellite imagery for forecasting site-specific corn yield. Remote Sens. 2016, 8, 848. [Google Scholar] [CrossRef]
- Liu, B.; Asseng, S.; Müller, C.; Ewert, F.; Elliott, J.; Lobell, D.B.; Martre, P.; Ruane, A.C.; Wallach, D.; Jones, J.W.; et al. Similar estimates of temperature impacts on global wheat yield by three independent methods. Nat. Clim. Change 2016, 6, 1130–1136. [Google Scholar] [CrossRef]
- Safa, M.; Samarasinghe, S. Determination and modelling of energy consumption in wheat production using neural networks: “A case study in Canterbury province, New Zealand”. Energy 2011, 36, 5140–5147. [Google Scholar] [CrossRef]
- Pahlavan, R.; Omid, M.; Akram, A. Energy input–output analysis and application of artificial neural networks for predicting greenhouse basil production. Energy 2012, 37, 171–176. [Google Scholar] [CrossRef]
- Hoque, T.S.; Jahan, I.; Islam, M.R.; Ahmed, M. Performance of different organic fertilisers in improving growth and yield of boro rice. SAARC J. Agric. 2018, 16, 153–166. [Google Scholar] [CrossRef]
- Panja, S.; Biswas, R.; Kar, R.K.; Dey, P.C.; Dey, N. Morpho-molecular characterisation of ethnic Bora rice for conservation and breeding. Genet. Resour. Crop Evol. 2023, 70, 1853–1866. [Google Scholar] [CrossRef]
- Bonaccorso, G. Machine Learning Algorithms: Popular Algorithms for Data Science and Machine Learning, 2nd ed.; Packt Publishing Ltd.: Birmingham, UK, 2018. [Google Scholar]
- Bisong, E. More Supervised Machine Learning Techniques with Scikit-Learn; Apress: Berkeley, CA, USA, 2019; pp. 287–308. [Google Scholar]
- Alocilja, E.C.; Ritchie, J.T. The application of SIMOPT2: RICE to evaluate profit and yield-risk in upland-rice production. Agric. Syst. 1990, 33, 315–326. [Google Scholar] [CrossRef]
- Ferdous, Z.; Ullah, H.; Datta, A.; Attia, A.; Rakshit, A.; Molla, S.H. Application of biogas slurry in combination with chemical fertiliser enhances grain yield and profitability of maize (Zea mays L.). Commun. Soil Sci. Plant Anal. 2020, 51, 2501–2510. [Google Scholar] [CrossRef]
- Noraida, M.R.; Hisyamuddin, M.R.A. The Effect of Different Rate of Biofertilizer on the Growth Performance and Yield of Rice. In Proceedings of the International Conference on Sustainable Agriculture and Biosystem, West Sumatra, Indonesia, 25 November 2020; IOP Publishing: Bristol, UK, 2021; Volume 757, p. 012050. [Google Scholar]
- Hindersah, R.; Kalay, A.M.; Talahaturuson, A. Rice yield grown in different fertilizer combination and planting methods: Case study in Buru Island, Indonesia. Open Agric. 2022, 7, 871–881. [Google Scholar] [CrossRef]
- Chivenge, P.; Sharma, S.; Bunquin, M.A.; Hellin, J. Improving nitrogen use efficiency—A key for sustainable rice production systems. Front. Sustain. Food Syst. 2021, 5, 737412. [Google Scholar] [CrossRef]
- Qiu, H.; Yang, S.; Jiang, Z.; Xu, Y.; Jiao, X. Effect of irrigation and fertilizer management on rice yield and nitrogen loss: A meta-analysis. Plants 2022, 11, 1690. [Google Scholar] [CrossRef] [PubMed]
- Njogu, P.; Kinyua, R.; Muthoni, P.; Nemoto, Y. Biogas production using water hyacinth (Eicchornia crassipes) for electricity generation in Kenya. Energy Power Eng. 2015, 7, 209–216. [Google Scholar] [CrossRef]
- Bhui, I.; Mathew, A.K.; Chaudhury, S.; Balachandran, S. Influence of volatile fatty acids in different inoculum to substrate ratio and enhancement of biogas production using water hyacinth and salvinia. Bioresour. Technol. 2018, 270, 409–415. [Google Scholar] [CrossRef]
- Ferdous, Z.; Datta, A.; Anwar, M. Synthetic pheromone lure and apical clipping affects productivity and profitability of eggplant and cucumber. Int. J. Veg. Sci. 2018, 24, 180–192. [Google Scholar] [CrossRef]
- Lal, R. Restoring soil quality to mitigate soil degradation. Sustainability 2015, 7, 5875–5895. [Google Scholar] [CrossRef]
- Yoshida, S. Fundamental of Rice Crop Science, 1st ed.; International Rice Research Institute: Los Baños, Laguna, Philippines, 1981; p. 269. [Google Scholar]
- Li, R.; Li, M.; Ashraf, U.; Liu, S.; Zhang, J. Exploring the relationships between yield and yield-related traits for rice varieties released in China from 1978 to 2017. Front. Plant Sci. 2019, 10, 543. [Google Scholar] [CrossRef] [PubMed]
- Kumar, A.; Taparia, M.; Madapu, A.; Rajalakshmi, P.; Marathi, B.; Desai, U.B. Discrimination of filled and unfilled grains of rice panicles using thermal and RGB images. J. Cereal Sci. 2020, 95, 103037. [Google Scholar] [CrossRef]
- Okamura, M.; Arai-Sanoh, Y.; Yoshida, H.; Mukouyama, T.; Adachi, S.; Yabe, S.; Nakagawa, H.; Tsutsumi, K.; Taniguchi, Y.; Kobayashi, N.; et al. Characterization of high-yielding rice cultivars with different grain-filling properties to clarify limiting factors for improving grain yield. Field Crops Res. 2018, 219, 139–147. [Google Scholar] [CrossRef]
- Sun, Y.; Wu, Y.; Sun, Y.; Luo, Y.; Guo, C.; Li, B.; Li, F.; Xing, M.; Yang, Z.; Ma, J. Effects of water and nitrogen on grain filling characteristics, canopy microclimate with chalkiness of directly seeded rice. Agriculture 2022, 12, 122. [Google Scholar] [CrossRef]
- Fu, P.; Wang, J.; Zhang, T.; Huang, J.; Peng, S. High nitrogen input causes poor grain filling of spikelets at the panicle base of super hybrid rice. Field Crops Res. 2019, 244, 107635. [Google Scholar] [CrossRef]
- Zhao, C.; Liu, G.; Chen, Y.; Jiang, Y.; Shi, Y.; Zhao, L.; Liao, P.; Wang, W.; Xu, K.; Dai, Q.; et al. Excessive nitrogen application leads to lower rice yield and grain quality by inhibiting the grain filling of inferior grains. Agriculture 2022, 12, 962. [Google Scholar] [CrossRef]
- Fentie, D.B.; Abera, B.B.; Ali, H.M. Association of agronomic traits with grain yield of lowland rice (Oryza sativa L.) genotypes. Int. J. Agric. Sci. 2021, 8, 161–175. [Google Scholar]
- Mohanty, N.; Sekhar, M.R.; Reddy, D.M.; Sudhakar, P. Genetic variability and character association of agro-morphological and quality characters in rice. ORYZA-Int. J. Rice 2021, 49, 88–92. [Google Scholar]
- Chandra, B.S.; Reddy, T.D.; Ansari, N.A.; Kumar, S.S. Correlation and path analysis for yield and yield components in rice (Oryza sativa L.). Agric. Sci. Dig. 2009, 29, 45–47. [Google Scholar]
- Nayak, A.R.; Chaudhury, D.; Reddy, J.N. Correlation and path analysis in scented rice (Oryza satna L.). Indian. J. Agric. Res. 2001, 35, 186–189. [Google Scholar]
- Madhavilatha, L. Studies on Genetic Divergence and Isozyme Analysis on Rice (Oryza sativa L). M. Sc. (Ag.). Master’s Thesis, Acharya NG Ranga Agricultural University, Hyderabad, India, 2002. [Google Scholar]
- GhoshThakur, R.; Basu, A.; Haque, Z.; Bhattacharya, B.; GonChaudhuri, S.; Balachandran, S. Performance prediction of the Micro Solar Dome in different climatic regions of India from pilot-scale by Random Forest algorithm. Sustain. Energy Technol. Assess. 2022, 52, 102163. [Google Scholar] [CrossRef]
- Mariadass, D.A.; Moung, E.G.; Sufian, M.M.; Farzamnia, A. Extreme Gradient Boosting (XGBoost) Regressor and Shapley Additive Explanation for Crop Yield Prediction in Agriculture. In Proceedings of the 12th International Conference on Computer and Knowledge Engineering (ICCKE), Mashhad, Iran, 17–18 November 2022; pp. 219–224. [Google Scholar]
- Koduri, S.B.; Gunisetti, L.; Ramesh, C.R.; Mutyalu, K.V.; Ganesh, D. Prediction of crop production using adaboost regression method. J. Phys. Conf. Ser. 2019, 1228, 012005. [Google Scholar] [CrossRef]
- Zhang, Y.; Haghani, A. A gradient boosting method to improve travel time prediction. Transp. Res. Part. C Emerg. Technol. 2015, 58, 308–324. [Google Scholar] [CrossRef]
- Krauss, C.; Do, X.A.; Huck, N. Deep neural networks, gradient-boosted trees, random forests: Statistical arbitrage on the S&P 500. Eur. J. Oper. Res. 2017, 259, 689–702. [Google Scholar]
- Wang, S.R.; Sun, B. Experiment about various concentration methane pool liquid’ effect on off season yamazer’s quality and output. Kezaisheng Nengyuan (Renew. Energy Resour.) 2017, 25, 90–91. [Google Scholar]
- Xu, W.H.; Wang, Z.Y.; Quan, Y.M.; Ou, Y.J.; Chen, C.F. Effect of application of biogas slurry on nitrate content and nutrition quality of lettuce and romaine lettuce. Rural Eco-Environ. 2003, 19, 34–37. [Google Scholar]
- Zhou, J.L.; Wang, J.X.; Li, S.Z.; Zhang, X. Effects of anaerobic liquid manures on yield and quality of green pepper in organic media culture. Res. Agric. Mod. 2007, 28, 254–256. [Google Scholar]
- Liu, W.K.; Yang, Q.C.; Du, L. Soilless cultivation for high-quality vegetables with biogas manure in China: Feasibility and benefit analysis. Renew. Agric. Food Syst. 2009, 24, 300–307. [Google Scholar] [CrossRef]
- Jethva, J.M.; Gondaliya, N.; Shah, V. A review on data mining techniques for fertiliser recommendation. Int. J. Sci. Res. Comput. Sci. Eng. Inf. Technol. 2018, 3, 1386–1390. [Google Scholar]
- Bondre, D.A.; Mahagaonkar, S. Prediction of crop yield and fertiliser recommendation using machine learning algorithms. Int. J. Eng. Appl. Sci. Technol. 2019, 4, 371–376. [Google Scholar]
- Ledesma, R.D.; Valero-Mora, P.; Macbeth, G. The scree test and the number of factors: A dynamic graphics approach. Span. J. Psychol. 2015, 18, E11. [Google Scholar] [CrossRef]




| Ratio/Different Combinations of Ratios | Quantity of Biogas Slurry (g) | NPK (g) | |
|---|---|---|---|
| Inoculum | Substrate | ||
| Control | 0 | 0 | 0 |
| 0.5:1 CW–BF | 6.44 | 13.56 | 0 |
| 1:1 CW–BF | 9.74 | 10.26 | 0 |
| 1.5:1 CW–BF | 11.75 | 8.24 | 0 |
| 2:1 CW–BF | 13.1 | 6.89 | 0 |
| 3:1 CW–BF | 14.8 | 5.19 | 0 |
| 4:1 CW–BF | 15.83 | 4.17 | 0 |
| 5:1 CW–BF | 16.45 | 3.55 | 0 |
| 6:1 CW–BF | 17.01 | 2.99 | 0 |
| 7:1 CW–BF | 17.38 | 2.62 | 0 |
| NPK | 0 | 0 | 2 |
| 0.5:1:1 CW–BF + NPK | 3.22 | 6.78 | 1 |
| 1:1:1 CW–BF + NPK | 4.87 | 5.13 | 1 |
| 1.5:1:1 CW–BF + NPK | 5.875 | 4.12 | 1 |
| 2:1:1 CW–BF + NPK | 6.55 | 3.445 | 1 |
| 3:1:1 CW–BF + NPK | 7.4 | 2.595 | 1 |
| 4:1:1 CW–BF + NPK | 7.915 | 2.085 | 1 |
| 5:1:1 CW–BF + NPK | 8.225 | 1.775 | 1 |
| 6:1:1 CW–BF + NPK | 8.505 | 1.495 | 1 |
| 7:1:1 CW–BF + NPK | 8.69 | 1.31 | 1 |
| Model | MSE | RMSE | MAE | R2 |
|---|---|---|---|---|
| Gradient Boosting | 4.90 | 2.21 | 1.81 | 0.75 |
| Random Forest | 5.88 | 2.42 | 1.86 | 0.70 |
| AdaBoost | 5.90 | 2.43 | 1.99 | 0.70 |
| Tree | 5.99 | 2.45 | 1.83 | 0.69 |
| Principal Components | Eigenvectors and Loading Values of Dependent Variables | Variance | ||
|---|---|---|---|---|
| Substrate (g) | Inoculum (g) | NPK (g) | ||
| PC-1 | −0.0619 | −0.9955 | 0.0721 | 0.718 |
| PC-2 | 0.9956 | −0.0667 | −0.0652 | 0.278 |
| PC-3 | −0.0697 | −0.0677 | −0.9953 | 0.003 |
Disclaimer/Publisher’s Note: The statements, opinions and data contained in all publications are solely those of the individual author(s) and contributor(s) and not of MDPI and/or the editor(s). MDPI and/or the editor(s) disclaim responsibility for any injury to people or property resulting from any ideas, methods, instructions or products referred to in the content. |
© 2023 by the authors. Licensee MDPI, Basel, Switzerland. This article is an open access article distributed under the terms and conditions of the Creative Commons Attribution (CC BY) license (https://creativecommons.org/licenses/by/4.0/).
Share and Cite
Show, B.K.; Panja, S.; GhoshThakur, R.; Basu, A.; Koley, A.; Ghosh, A.; Pramanik, K.; Chaudhury, S.; Hazra, A.K.; Dey, N.; et al. Optimisation of Anaerobic Digestate and Chemical Fertiliser Application to Enhance Rice Yield—A Machine-Learning Approach. Sustainability 2023, 15, 13706. https://doi.org/10.3390/su151813706
Show BK, Panja S, GhoshThakur R, Basu A, Koley A, Ghosh A, Pramanik K, Chaudhury S, Hazra AK, Dey N, et al. Optimisation of Anaerobic Digestate and Chemical Fertiliser Application to Enhance Rice Yield—A Machine-Learning Approach. Sustainability. 2023; 15(18):13706. https://doi.org/10.3390/su151813706
Chicago/Turabian StyleShow, Binoy Kumar, Suraj Panja, Richik GhoshThakur, Aman Basu, Apurba Koley, Anudeb Ghosh, Kalipada Pramanik, Shibani Chaudhury, Amit Kumar Hazra, Narottam Dey, and et al. 2023. "Optimisation of Anaerobic Digestate and Chemical Fertiliser Application to Enhance Rice Yield—A Machine-Learning Approach" Sustainability 15, no. 18: 13706. https://doi.org/10.3390/su151813706
APA StyleShow, B. K., Panja, S., GhoshThakur, R., Basu, A., Koley, A., Ghosh, A., Pramanik, K., Chaudhury, S., Hazra, A. K., Dey, N., Ross, A. B., & Balachandran, S. (2023). Optimisation of Anaerobic Digestate and Chemical Fertiliser Application to Enhance Rice Yield—A Machine-Learning Approach. Sustainability, 15(18), 13706. https://doi.org/10.3390/su151813706

