Abstract
In Mobility as a Service (MaaS), walking plays a crucial role in connecting various modes of transportation. In order to provide more accurate predictions of walking travel time, a comprehensive and in-depth study is required to examine the factors that influence walking speed. Many existing studies focus on exploring various factors affecting walking speed, but there is limited research on further investigating the magnitude of their impact and the reasons for differences among different pedestrians. This study examines the relationship between personal characteristics and the degree of influence of environmental factors on walking speed. We recruited 31 volunteers and investigated their traveler characteristics such as height, weight, and age, as well as environmental factors such as weather conditions, ground conditions, and sidewalk Level of Service (LOS). Descriptive statistics were performed on walking speed, revealing the influence of these factors. For example, the speed of females is 89% of that of males. When in a hurry, the speed increases by 17%, while on uneven roads, the speed decreases by 11%. We then proposed the influence coefficient to represent the degree of influence and analyzed its correlation with personal characteristics. We discovered some strong correlations. For instance, the greater the body weight, the more significant the reduction in walking speed due to precipitous weather or uneven roads. Similarly, the taller the person, the greater the increase in walking speed under the influence of a rushed situation. Finally, we constructed a series of regression models for “f” and a speed estimation model. Our findings provide support for predicting personalized speeds in various scenarios, based solely on the traveler’s personal characteristics and speeds in controlled group scenarios in the travel service system, and contribute to the study and development of MaaS in terms of travel time prediction, travel route planning, and personalized services.
1. Introduction
Given the current prevalence of the Mobility as a Service (MaaS) concept, people are seeking high-quality, information-based intelligent travel services. One of the core features of MaaS is the integration of transport modes, and every quality travel service considers multiple modes for travelers, with walking often playing a crucial role in the beginning, end, and interconnections between other modes. Therefore, accurate prediction of walking speed becomes significantly important [1,2]. A comprehensive analysis of factors influencing walking speed provides the theoretical basis for predicting walking speed, and many previous studies have been conducted on this topic.
The factors influencing walking speed can be categorized into two types based on their sources: traveler attribute factors and environmental factors. They can also be further classified into fixed factors and variable factors based on their variability. Fixed traveler attribute factors primarily refer to the personal characteristics of the traveler, including age, gender, height, weight, etc. Variable traveler attribute factors include travel purpose, level of urgency, carrying luggage, traveling with companions, walking aids, jaywalking behavior, etc. [3,4,5,6,7,8,9]. Research by Bosina, E. and Weidmann, U. indicates that the average walking speed of females is 92% of that of males [3]. Studies by A. Banerjee and A. K. Maurya reveal that the average walking speed is 1.15 m/s for children, 1.23 m/s for adults, and 1.09 m/s for the elderly [10]. The 2005 TCRP-NCHRP study also found that the 15th percentile walking speed for young pedestrians is 1.15 m/s, while for elderly pedestrians, it is 0.92 m/s [11]. Ye, J., Chen, X., and Jian, N. found that carrying small luggage decreases walking speed by 2–3% compared to not carrying any luggage, while carrying medium-sized suitcases, large suitcases, or trolley cases can decrease walking speed by 3–14% [12].
Shifting our focus to the environment, fixed environmental factors include road smoothness, sidewalk occupancy, etc., while variable environmental factors include pedestrian density, weather conditions, road surface conditions, wind effects, soundscape components, etc. [13,14,15,16,17,18,19,20]. In the study by Fossum and Ryeng, E. O., during winter when the temperature is below 0 degrees Celsius, walking speed decreases by 0.01 m/s for every 1-degree Celsius increase in temperature. Furthermore, compared to dry asphalt surfaces, walking speed decreases by 8.0% on snowy surfaces and by 13.4% on icy surfaces [13]. Liang, S., Leng, H., and others also found that under cold conditions, higher temperatures are associated with slower walking speeds [14]. Yi, S., Li, H., and Wang, X. discovered a strong positive correlation between walking time and the number of other pedestrians on the path, indicating that walking speed significantly decreases due to obstruction or interference from other pedestrians [15]. The studies by Talamini, G., Shao, D., and others also demonstrate that pedestrian guardrails can influence pedestrian behavior [16]. In a study by N. Gore, S. Dave, and colleagues, it was observed that when sidewalks are occupied by parked cars, pedestrian walking speed decreases by 27–32%, and during peak morning hours, walking on the roadway is 13–44% slower than walking on the sidewalk [17]. Additionally, research by Franek, M., Penickova, S., and others demonstrated that walking on routes with greenery is slower compared to routes without greenery [18].
The previous studies on walking speed analyzed the differences in pedestrian walking speed under various conditions of influencing factors. However, what they overlooked is that even under the same environmental and variable factors, there still exist differences in pedestrian walking speeds, and these differences can actually be explained—they are related to the personal characteristics of the pedestrians. In other words, the extent to which these influencing factors affect walking speed varies with changes in the personal characteristics of the pedestrians. Although Aghabayk, K., Parishad, N., and Shiwakoti, N. mentioned in their study that as BMI (Body Mass Index) increases, the decline in running speed among pedestrians is faster than the decline in normal walking speed [21], this topic has received relatively less consideration in existing research.
This paper aims to study the extent to which environmental factors influence walking speed. It proposes an influence coefficient “f” and analyzes its correlation with the personal characteristics of pedestrians. A series of regression models for “f” and a speed estimation model are established to enable personalized speed prediction even when only the personal characteristics of the traveler and walking speed in controlled group scenarios are known. This reduces the pressure of acquiring, transmitting, and processing data when providing personalized walking speed and time predictions in travel service systems like customized public transit and intermodal travel, contributing to the research and development of MaaS.
The process of this research is shown in Figure 1, and the remaining structure of the paper is as follows. Section 2 presents the design of the survey plan. Section 3 provides an overview of overall walking speed statistics, personalized walking speed statistics, an analysis of the relationship between the influence coefficient and personal characteristics, and methods for predicting speed based on these results. Section 4 further discusses the results of this study and Section 5 finally consolidates and summarizes the findings.
Figure 1.
The process of this research.
2. Methods
In order to provide data support for studying the relationship between the degree of influence and personal attributes, we recruited 31 volunteers who were required to submit their walking trip data multiple times during a one-month survey period. This survey method not only met the requirement of obtaining multiple data points from the same individual but also allowed us to collect certain data that cannot be obtained through roadside observations and recordings, such as accurate height, weight, age, and urgency level.
The survey took place on a university campus and in the surrounding area near the campus. While the specific routes taken by the volunteers were not fixed, they all remained within this designated region. Within this area, there are no signalized intersections, minimal motor vehicle traffic, and a speed limit of 30 km/h.
In the survey data, each walking trip served as a sample, which included the following data points:
- Average walking speed for the entire travel.
- Personal characteristics:
- Age
- Gender
- Height
- Weight
- Environmental and self-variable factors:
- Travel distance, volunteers can refer to navigation Apps.
- Road smoothness, determined subjectively by the volunteers as either “smooth” or “uneven”.
- Weather, obtained by volunteers through weather information apps or other means.
- Influence of wind, determined subjectively by the volunteers as one of the following: “no influence”, “low headwind effect”, “high headwind effect”, “low tailwind effect”, “high tailwind effect”, or “strong crosswind”.
- Road conditions, categorized as “dry”, “puddles”, “snow-covered”, “ice-water mixture”, or “icy”.
- LOS for pedestrian sidewalks, evaluated based on the average longitudinal distance between pedestrians. Categorized as level 1 for distances above 2.5 m, level 2 for distances between 1.8 and 2.5 m, level 3 for distances between 1.4 and 1.8 m, and level 4 for distances below 1.4 m.
- Rushed level, with options of “rushed” or “not rushed”.
- The number of intersections per 100 m, counted based on those with pedestrian crossing behavior, excluding those without any crossing behavior.
In the subsequent sections of this paper, certain symbols will be used to represent the variable names. Their descriptions are provided in Table 1.
Table 1.
Common symbols and their descriptions.
3. Analysis and Results
3.1. Walking Speed Descriptive Statistics
The histogram of average walking speeds obtained from the survey of 325 samples is shown in Figure 2. It is evident from the graph that despite using walking as their mode of transportation, there are clear differences in speed among these travelers.
Figure 2.
Histogram of average walking speeds for all samples.
Table 2 presents some descriptive statistics of the average walking speeds for the entire sample. The mean speed is 1.28 m/s, with the 15th, 50th, and 85th percentiles at 0.94 m/s, 1.27 m/s, and 1.58 m/s, respectively. The distribution ranges from a minimum of 0.43 m/s to a maximum of 2.52 m/s, indicating a wide variation. These speeds are influenced by a range of factors, as shown in Table 3. Table 3 displays the descriptive statistics of the sample speeds under various levels of ten influencing factors: gender, height, weight, rushed level, road smoothness, travel distance, sidewalk LOS, weather, road conditions, and influence of wind. The sample sizes, averages, and percentiles are weighted to fairly consider each volunteer. Since the survey was primarily conducted on a university campus, the volunteers’ ages were predominantly concentrated between 20 and 28 years old, resulting in a narrow age distribution. As a result, age was not taken into consideration as an influence factor in subsequent studies, and the study findings have the highest credibility among young individuals.
Table 2.
Statistics of all samples.
Table 3.
Statistics grouped by influencing factors.
In the collected walking data, there were limited sample sizes for some levels of influencing factors, particularly noticeable in the case of weather. Therefore, we merged the nine levels of weather into three categories. After the merging, the “Dry” weather category includes “Clear”, “Overcast”, “Partly Cloudy”, and “Haze”. The “Rain” weather category includes “Light Rain”, “Moderate Rain”, and “Showers”. The “Snow” weather category includes “Light Snow” and “Moderate Snow”.
The linear correlation analysis between the numeric and ordinal influencing factors and walking speed is presented in Table 4. Travel distance, height, and sidewalk LOS are all significantly correlated with walking speed. Sidewalk LOS has a moderate correlation, while the others have weak correlations. We also conducted Welch’s test to explore the significant effects of these influencing factors on walking speed, and the results are shown in Table 5. The results indicate that all influencing factors, except for weather and wind, have a significant impact on speed, indicating significant differences in speed across different levels of these factors.
Table 4.
Results of bivariate linear correlation tests between the numeric and ordinal influencing factors and walking speed.
Table 5.
Results of Welch’s test exploring the significant effects of the influencing factors on walking speed.
Furthermore, we created cumulative frequency curves, as shown in Figure 2, for each influencing factor to visually demonstrate the above differences.
In Figure 3a,d,e,f, the curves corresponding to each level of influencing factors are widely separated, with almost no crossovers or overlaps. This indicates that walking speed is significantly influenced by travelers’ gender, urgency, road smoothness, and travel distance. Male travelers have higher speeds compared to females, speeds are higher when travelers are rushed compared to non-rushed individuals, speeds are higher on smooth roads compared to uneven roads, and as travel distance increases, speed also increases.

Figure 3.
Average speed CDF graph under different levels of influencing factors. (a) Average speed CDF by gender. (b) Average speed CDF by height. (c) Average speed CDF by weight. (d) Average speed CDF by rushed level. (e) Average speed CDF by road smoothness. (f) Average speed CDF by travel distance. (g) Average speed CDF by sidewalk LOS. (h) Average speed CDF by weather. (i) Average speed CDF by road condition. (j) Average speed CDF by influence of wind. (k) Average speed CDF by intersections per 100 m.
In Figure 3b,c,g,k,h, the CDF curves show more noticeable overlaps and crossovers compared to Figure 3a,d,e,f. This suggests that their influence on walking speed is slightly weaker. The position of the curves also indicates an increasing trend in walking speed with an increase in pedestrian height and weight, a decrease in the number of intersections per 100 m, and an improvement in sidewalk LOS, with the exception when the number of intersections is zero. At the same time, the walking speed is fastest during dry weather, followed by rainy weather and snowy weather. Figure 3i shows that the fastest road surface condition for walking speed is dry, while the slowest is icy. However, the curves corresponding to snow-covered, puddles, and ice–water mixture surfaces overlap slightly, indicating that their walking speeds are relatively close. Figure 2j indicates that compared to the no-influence condition, walking speed is noticeably lower under the high headwind condition, while in other situations, walking speeds are relatively similar and higher than the no-influence condition.
Unlike common walking speed surveys, our investigation collected multiple speed samples from the same traveler under various levels of influencing factors. These samples can be used to analyze the individual’s speed variations under different levels of factors, thereby reflecting the concept of personalization.
In each bar chart of Figure 4, each color represents a traveler, and the vertical axis represents the extent of influence on their walking speed by a specific environmental or variable factor, expressed as an influence coefficient .
Figure 4.
Influence coefficient of speed impact for different individuals under different factors. (a) The influence of travel distance on walking speed. (b) The influence of sidewalk LOS on walking speed. (c) The influence of weather on walking speed. (d) The influence of road condition on walking speed. (e) The influence of wind on walking speed. (f) The influence of intersections per 100 m on walking speed.
In Equation (1), is the mean walking speed at the level of the influencing factor , and is the mean walking speed at the control group level of the influencing factor . For example, assume a traveler has an average speed of 1.2 m/s at LOS level 1 and an average speed of 0.9 m/s at LOS level 4, where LOS level 1 is the control group. In this case, the coefficient of the effect of LOS level 4 on the walking speed, which represents the degree of influence, is . The control group levels for each influencing factor are listed in Table 6.
Table 6.
Control group levels for each influencing factor.
Because rushed level and road smoothness only have two levels, there are no additional levels beyond the control group to compare. Therefore, they are not displayed in Figure 4. Additionally, considering that the sample size of most travelers is relatively small, it is often insufficient to cover all levels of a factor. Therefore, only data from a subset of travelers covering a larger range of factor levels are shown.
As shown in Figure 4, even for the same factor at the same level, there are significant differences in the influence on the walking speed of different travelers. For example, in the presented data, under the factor of road conditions, the walking speed of the individual most influenced by puddles decreased by 45%, while the least influenced individual only decreased by 2%. Similarly, regarding the influence of wind, when walking with a tailwind, some individuals experienced a 57% increase in walking speed, while others only experienced a 32% increase. The causes of these differences will be further explored in Section 3.2.
3.2. Establishment of Influence Coefficient Model
In Section 3.1, we discovered variations in the influence coefficients among different travelers, which are likely related to their personal attributes. We established a series of regression models for “f” to capture this relationship, denoted as
Based on this relationship, we can predict a traveler’s personalized walking speed at other levels of these influencing factors based solely on their walking speed at a partial level of these factors, particularly the control group level.
Let the walking speed of a traveler when all environmental factors and variables are at the control level be represented by . Now, if we know the height of the traveler, , and their weight, , we can determine the coefficients corresponding to the environmental factors or variables as . By setting the coefficients at the control level, , to zero, we can obtain a personalized speed estimation model as follows:
In the equation, represent the first, second, …, -th influencing factors considered in this travel, and represent the levels of the first, second, …, -th influencing factors in this travel. As each corresponds to a pair of and , when multiple are involved in the calculation, subscripts are used to indicate the indices of the influencing factors and levels, while represents the total number of influencing factors and levels.
In order to truly utilize the method described above, it is necessary to uncover the essence of the relationship represented by . According to Figure 3 in Section 3.1, we described the significance of various factors involved in the survey on the influence on walking speed. In some cases, the speed differences between different levels of certain factors are not very significant. Therefore, it is necessary to adjust the categorization of levels for some influencing factors based on the analysis results of Section 3.1, combining levels where the speed differences are not significant. After the adjustment, weather is divided into dry weather and precipitous weather, road condition is divided into icy, dry, and other conditions, and the influence of wind is divided into no influence, headwind high influence, and others. The modified coefficients are then recalculated according to Equation (1).
After excluding outliers and high-influence points from the data, the paper conducted bivariate linear correlation tests between the influence coefficients under different conditions of each volunteer and their personal characteristics. Since the age distribution range was too narrow, only the attributes of height and weight were considered. The results of the correlation tests are shown in Table 7. In presenting these results, the coefficients were numbered from 1 to 13, and they were used for a visual comparison of the correlations in Figure 5. The significant correlations are indicated by being enclosed in a black box in Figure 5.
Table 7.
Results of bivariate linear correlation tests between the influence coefficients and travelers’ characteristics.
Figure 5.
Visual comparison of the correlations.
Among the combinations of these coefficients and personal characteristics, significant positive correlations are observed for , , and . Significant negative correlations are observed for , , and . Among the combinations with significant correlations, the highest positive correlation is observed for , which is 0.734. This indicates that the increase in walking speed during a rush period is highly influenced by height. The highest negative correlation is observed for , which is −0.849. This suggests that the decrease in walking speed during precipitous weather is highly influenced by weight.
In addition to the combinations that showed significant correlation in the test results, some other combinations also demonstrated correlation trends in scatter plots: showed a negative correlation with height, while , , and showed a positive correlation with height. Furthermore, , , and showed a positive correlation with weight.
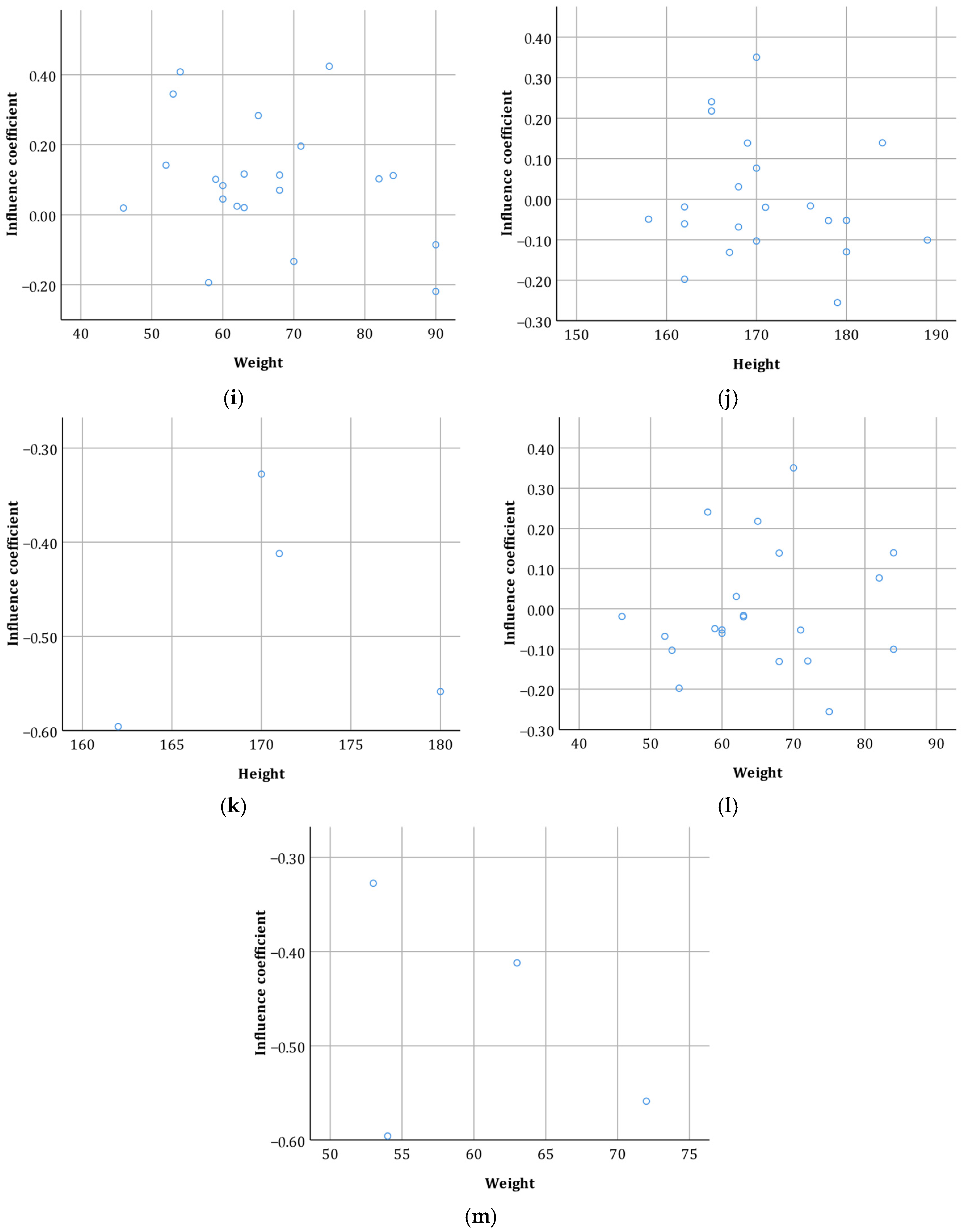
For the combinations of the above-mentioned coefficients and their respective attributes that neither exhibited significant correlation nor showed correlation trends in the scatter plots, the scatter plots are shown in Figure 6.


Figure 6.
Scatter plots of unrelated combinations. (a) and . (b) and (c) and (d) and . (e) and . (f) and . (g) and . (h) and . (i) and . (j) and . (k) and . (l) and . (m) and .
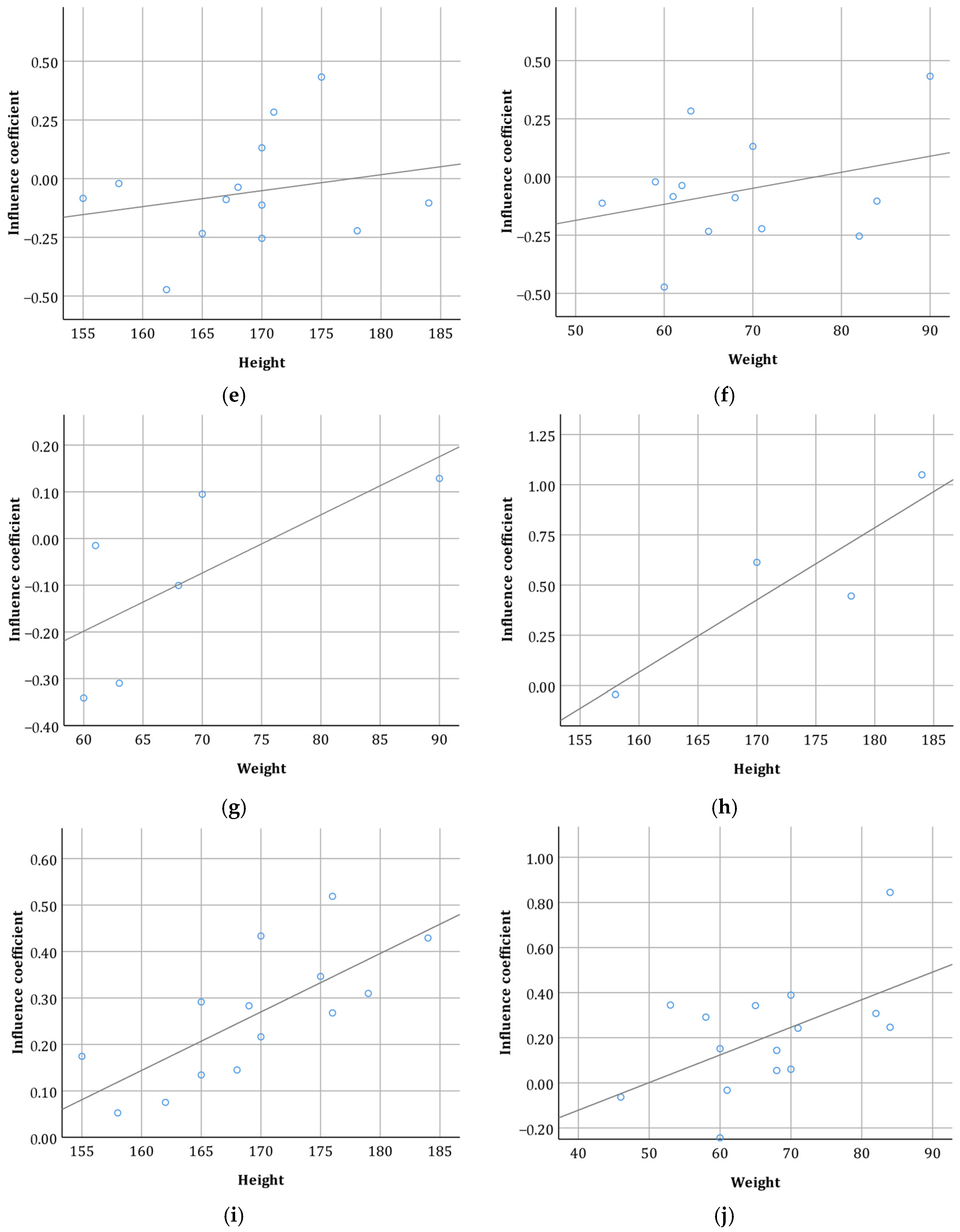
In order to obtain a series of regression models for , we performed regression analysis on the combinations that showed significant correlation in the test results or exhibited correlation trends in the scatter plots. First, we conducted simple linear regression and simple nonlinear regression, where four combinations had an adjusted exceeding 0.6. Their regression equations are shown in Table 8, and scatter plots with the line or curve of best fit are illustrated in Figure 7.
Table 8.
Regression equations of combinations.


Figure 7.
Scatter plot with line or curve of best fit for the combination of relevant variables. (a) and . (b) and . (c) and . (d) and . (e) and . (f) and . (g) and . (h) and . (i) and . (j) and . (k) and . (l) and . (m) and . (n) and .
From Figure 7, it is evident that even though the test results show a significant correlation between these coefficients and personal characteristics, they cannot be perfectly explained by a single line or curve. However, we cannot outrightly ignore the existing correlation between them.
When the coefficients are influenced by more than one personal characteristic, a multiple regression is necessary to describe the regression model of . The binary regression plane plots with better performance are shown in Figure 8. The regression equations corresponding to the two plots in Figure 8 are given in Equations (18) and (19).
Figure 8.
Binary regression plane plot with better performance. (a) , and . (b) , and .
Their adjusted values are 0.603 and 0.891, respectively.
4. Discussion
In Section 3.1, we present the results of descriptive statistics for walking speed under the influence of multiple factors. Under the influence of travelers’ personal factors, the average walking speed of females is 90% of that of males, which is consistent with previous studies [4]. Furthermore, this study found that walking speed increases with height and weight, which is not entirely consistent with existing research findings [4]. In their summary of the relationship between height, weight, and walking speed, they mentioned that while individual studies have shown an increase in walking speed with height, a comprehensive analysis of multiple previous studies indicates a decrease in walking speed with height, possibly due to limited reference data. However, in their study, the conclusion that walking speed decreases with increasing weight is considered more reliable. In our survey, the distribution of volunteer ages was highly concentrated, and their physical fitness was similar. Moreover, as shown in Figure 9, height and weight exhibit a strong positive correlation. Therefore, if height has a positive impact on speed, weight also demonstrates a positive influence on speed.
Figure 9.
The relationship between height and weight in the dataset.
Under the influence of environmental factors, we used pedestrian longitudinal spacing to evaluate sidewalk LOS, similar to pedestrian density, and ultimately concluded that as LOS levels decrease, walking speed also decreases. Road conditions also have a significant impact on walking speed: the highest walking speed is observed on dry surfaces, followed by snow-covered surfaces, puddles, and ice–water mixture, while the slowest walking speed is observed on icy surfaces, which is consistent with previous research [13,22].
In addition, the existing studies have rarely considered the influences of weather, rushed level, road smoothness, travel distance, and wind on walking speed, making the results of this study a valuable reference. Walking speeds are similar in rainy and snowy weather, with slightly faster speeds observed in dry weather. Walking speed increases by 13% during rushed situations compared to non-rushed situations. Walking speed decreases by 11% on uneven surfaces compared to smooth surfaces. Within the surveyed range of travel distances not exceeding 3000 m, walking speed increases as the travel distance becomes longer. Walking speed is fastest with tailwind, followed by no wind influence, strong crosswind, and slowest with headwind. Apart from the absence of intersections, the more intersections per hundred meters, the slower the walking speed.
In Section 3.2, we explored the influence of environmental factors and variable factors on walking speed, represented by the coefficient , and its relationship with the personal characteristics of travelers. This is what many existing studies have not taken into consideration. Under other influences of wind, LOS level 2, travel distances of over 1000 m, and rushed situations, is positively correlated with height. Under precipitous weather conditions, is negatively correlated with height. Under the conditions of headwind high influence, other influences of wind, LOS level 2, LOS level 3, travel distances of over 1000 m, and rushed situations, is positively correlated with weight. Under precipitous weather conditions and uneven road surfaces, is negatively correlated with weight.
Finally, the article established regression models of these influence coefficients with height or weight, representing a regression model of . Among them, the highest adjusted value, 0.933, was observed for the relationship between travel distance of over 1000 m and weight , indicating that for every 1 kg increase in weight, walking speed increases by 0.043 m/s compared to travel distances of less than 500 m. These regression models represent the underlying patterns between environmental factors, personal attribute factors, and walking speed.
Through a survey of existing literature, it was found that the regression models of and the patterns they represent have not been previously mentioned. By simultaneously considering the regression models of and the walking speed estimation model, it is possible to predict personalized walking speeds under various influencing factors, even with limited data for a particular traveler. For example, when a traveler uses both walking and shuttle bus or customized public transportation for commuting, the travel service system needs to predict the walking speed of the traveler to determine the time required to walk from the starting point to the bus stop, and subsequently assess if the passenger will arrive later than the bus. This information is crucial for planning the bus and subsequent passengers’ trips to ensure the quality of travel services [23]. However, for this traveler who has only used the travel service system a few times, there are no historical walking speed data available under the specific environmental conditions at the time of the new trip. Existing systems usually rely on general data references, resulting in poor accuracy. However, by utilizing the established regression models of and the walking speed estimation model, especially when the travelers are young individuals like the age range covered in our study, along with known personal attributes of the traveler, it becomes possible to predict personalized speeds in new scenarios.
5. Conclusions
In summary, this study first investigated the personal attributes and travel environment of travelers, then conducted descriptive statistics on walking speed to analyze the influences of various factors on walking speed. We found that among young individuals, walking speed is influenced to some extent by gender, height, weight, rushed level, road smoothness, travel distance, sidewalk LOS, weather conditions, road conditions, influence of wind, and the number of intersections per 100 m. The study further introduced the influence coefficient to represent the extent of influence and performed correlation analysis and regression between and personal characteristics, resulting in a series of regression models for . These models, together with the speed estimation model, can provide support for speed prediction in travel service systems or MaaS.
Further research can be conducted to categorize the rushed level and road conditions. For example, the “rushed” level can be divided into “mild” and “severe”, and the “icy” condition can be further classified as “partial ice” and “extensive ice”. The “snow” condition can be categorized as “dense snow” and “loose snow”. Additionally, more personal attributes of travelers can be considered, such as dimensions of individual body parts, body fat percentage, physical disabilities, and the presence of icy or snowy weather in their residential areas. By expanding the scope and scale of the survey, considering a wider age scope, it is possible to obtain more comprehensive and accurate results.
Author Contributions
Conceptualization, S.M., and T.L.; methodology, S.M., T.L., and B.T.; formal analysis, S.M., T.L., and Q.M.; investigation, S.M., and Q.M.; resources, L.Z.; data curation, S.M., T.L., and B.T.; writing—original draft preparation, S.M.; writing—review and editing, S.M. and L.Z.; visualization, S.M.; supervision, L.Z.; project administration, S.M. All authors have read and agreed to the published version of the manuscript.
Funding
This research received no external funding.
Institutional Review Board Statement
Not applicable.
Informed Consent Statement
Not applicable.
Data Availability Statement
The data are not publicly available due to privacy concerns.
Acknowledgments
We would like to express our gratitude to all the volunteers who participated in the walking speed survey.
Conflicts of Interest
The authors declare no conflict of interest.
References
- Jittrapirom, P.; Caiati, V.; Feneri, A.M.; Ebrahimigharehbaghi, S.; AlonsoGonzález, M.J.; Narayan, J. Mobility as a Service: A Critical Review of Definitions, Assessments of Schemes, and Key Challenges. Urban Plan. 2017, 2, 13–25. [Google Scholar] [CrossRef]
- Li, X.M.; Chen, J.F. Study of Trip Time Prediction Based on Urban Trip Information Service Platform. In Proceedings of the 2008 IEEE International Conference on Service Operations and Logistics, and Informatics, Beijing, China, 12–15 October 2008; Volumes 1–2, pp. 2790–2793. [Google Scholar]
- Rastogi, R.; Thaniarasu, I.; Chandra, S. Design Implications of Walking Speed for Pedestrian Facilities. J. Transp. Eng. 2011, 137, 687–696. [Google Scholar] [CrossRef]
- Bosina, E.; Weidmann, U. Estimating pedestrian speed using aggregated literature data. Phys. A Stat. Mech. Its Appl. 2017, 468, 1–29. [Google Scholar] [CrossRef]
- Arango, J.; Montufar, J. Walking Speed of Older Pedestrians who use Canes or Walkers for Mobility. Transp. Res. Rec. J. Transp. Res. Board 2008, 2073, 79–85. [Google Scholar] [CrossRef]
- Guo, Y.; Sayed, T.; Zaki, M.H. Automated analysis of pedestrian walking behaviour at a signalized intersection in China. IET Intell. Transp. Syst. 2017, 11, 28–36. [Google Scholar] [CrossRef]
- Forde, A.; Daniel, J. Pedestrian walking speed at un-signalized midblock crosswalk and its impact on urban street segment performance. J. Traffic Transp. Eng.-Engl. Ed. 2021, 8, 57–69. [Google Scholar] [CrossRef]
- Yao, Z.G.; Tan, Y. Characteristics of Pedestrian Walking Speeds in Sidewalk in Xi’an of China. Prog. Saf. Sci. Technol. 2010, 8, 1961–1966. [Google Scholar]
- Donoghue, O.A.; Dooley, C.; Kenny, R.A. Usual and Dual-Task Walking Speed: Implications for Pedestrians Crossing the Road. J. Aging Health 2016, 28, 850–862. [Google Scholar] [CrossRef] [PubMed]
- Banerjee, A.; Maurya, A.K. Comparative Study of Pedestrians’ Movement on Different Types of Pedestrian Sidewalks in Sikkim, Gangtok. Transp. Res. 2020, 45, 3–17. [Google Scholar]
- Fitzpatrick, K.; Brewer, M.; Turner, S. Another Look at Pedestrian Walking Speed. Transp. Res. Rec. J. Transp. Res. Board 2006, 1982, 21–29. [Google Scholar] [CrossRef]
- Ye, J.; Chen, X.; Jian, N. Impact analysis of human factors on pedestrian traffic characteristics. Fire Saf. J. 2012, 52, 46–54. [Google Scholar] [CrossRef]
- Fossum; Ryeng, E.O. The walking speed of pedestrians on various pavement surface conditions during winter. Transp. Res. Part D Transp. Environ. 2021, 97, 102934. [Google Scholar] [CrossRef]
- Liang, S.; Leng, H.; Yuan, Q.; Wang, B.W.; Yuan, C. How does weather and climate affect pedestrian walking speed during cool and cold seasons in severely cold areas. Build. Environ. 2020, 175, 106811. [Google Scholar] [CrossRef]
- Yi, S.; Li, H.; Wang, X. Pedestrian Travel Time Estimation in Crowded Scenes. In Proceedings of the 2015 IEEE International Conference on Computer Vision (ICCV), Santiago, Chile, 7–13 December 2015; pp. 3137–3145. [Google Scholar]
- Talamini, G.; Shao, D.; Chow, A.H.F.; Sun, G.B. The controversial impact of pedestrian guardrails on road crossing behaviours. Evidence from Hong Kong. Urban Des. Int. 2022, 27, 156–172. [Google Scholar] [CrossRef]
- Gore, N.; Dave, S.; Shah, J.; Jain, M.; Rathva, D.; Garg, V. Comparative Analysis of Pedestrian Walking Speed on Sidewalk and Carriageway. Transp. Res. 2020, 45, 65–76. [Google Scholar]
- Lee, Y.; Shin, S. Analysis of affecting factors to velocity changes of pedestrian. Korean Soc. Transp. 2018, 36, 360–370. [Google Scholar]
- Franek, M.; Penickova, S.; Ondracek, L.; Brandysky, P. Influence of urban vegetation on the walking speed of pedestrians. Ceskoslovenska Psychol. 2008, 52, 597–608. [Google Scholar]
- Berkouk, D.; Bouzir, T.A.K.; Maffei, L.; Masullo, M. Examining the Associations between Oases Soundscape Components and Walking Speed: Correlation or Causation? Sustainability 2020, 12, 4619. [Google Scholar] [CrossRef]
- Aghabayk, K.; Parishad, N.; Shiwakoti, N. Investigation on the impact of walkways slope and pedestrians physical characteristics on pedestrians normal walking and jogging speeds. Saf. Sci. 2021, 133, 105012. [Google Scholar] [CrossRef]
- Fujita, A.; Feliciani, C.; Yanagisawa, D.; Nishinari, K. Traffic flow in a crowd of pedestrians walking at different speeds. Phys. Rev. E 2019, 99, 062307. [Google Scholar] [CrossRef]
- Miao, S.; Zheng, L.; Li, T.; Tan, B.; Ma, Q.; Ding, T.; Li, Y. A Dynamic Waiting Time-Based Shuttle Service System and Method. Chinese Patent ZL202211653291.5, 28 April 2023. [Google Scholar]
Disclaimer/Publisher’s Note: The statements, opinions and data contained in all publications are solely those of the individual author(s) and contributor(s) and not of MDPI and/or the editor(s). MDPI and/or the editor(s) disclaim responsibility for any injury to people or property resulting from any ideas, methods, instructions or products referred to in the content. |
© 2023 by the authors. Licensee MDPI, Basel, Switzerland. This article is an open access article distributed under the terms and conditions of the Creative Commons Attribution (CC BY) license (https://creativecommons.org/licenses/by/4.0/).













