Abstract
Low-temperature laundry washing prompted the formulation of a new biobased detergent that meets sustainability criteria. A soapnut extract conferred good cleaning performance on the standard soiling agents EMPA 101 and EMPA 114 but showed rather weak performance on EMPA 116 and EMPA 160. The results indicated the good disinfection properties of the soapnut extract–Carvacrol emulsion (>6 log CFU/carriers), whereas the commercial detergent and sole soapnut extract were less effective. Comparable results were observed for cross-contamination assessment and wash water, whereas total elimination was achieved only for the soapnut extract–Carvacrol emulsion. We demonstrated significantly decreased water surface tension for all three compounds. The microorganism cell membrane integrity assessment showed the highest number of dead cells on cotton carriers washed with the soapnut extract–Carvacrol emulsion. All this indicated that the newly formulated biobased laundry detergent made of soapnut extract and Carvacrol could effectively remove standard soiling agents and ensure good disinfection.
1. Introduction
The consequences of global climate change and significant pressure on the environment caused by both the developed and developing worlds require urgent action [1]. Numerous initiatives warn that the per capita environmental impact must be reduced by substantially changing people’s behaviour [2]. Among different sectors, the textile industry causes approximately 40% of greenhouse gas emissions, taking into account the entire life cycle of textiles, from raw material and production to washing, ironing, and, finally, textile disposal [3]. Laundry care can be especially burdensome, with momentous pressure on the aquatic environment and enormous energy consumption, waste disposal, and air pollution [4,5]. Therefore, to prevent these hazards to the environment and people, advances are being made in green chemistry, by which the attributes of biological-inspired cleaning products are developed. An advantage of this approach is that cleaning products are developed with elevated safety profiles, e.g., lower toxicity, increased biodegradability, and decreased bioaccumulation, while maintaining functional effectiveness [6]. In recent years, trends in the field of laundry washing have been focused on reducing washing temperature to <40 °C [7]. This approach can substantially reduce energy consumption but negatively impacts washing quality [8,9,10]. Studies show that the removal of soiling agents from textiles is temperature dependent [11,12], and low temperatures cannot assure a proper reduction in microorganisms [12,13]. For example, Bockmühl and colleagues [14] tested the hygiene of domestic laundry and found that higher concentrations of laundry detergent are required to inactivate fungi and Gram-negative bacteria. Furthermore, Monleón-Getino and colleagues [10] demonstrated that low-temperature laundry washing can meet 5 log CFU reduction only if perborate is added to the detergent. Thus, researchers are urged to find laundry detergents that have the lowest possible impacts on the environment while sustaining good hygiene practices. One possible response to that can be a formulation of saponins from plants. For example, soapnut (Sapindus mukorossi) is the fruit of the soapnut tree grown in Asia, America, and Europe [15]. The pericarp is rich in saponins, both triterpenoids and steroid glycosides [16]. As many as 103 different compounds have been isolated from the fruit, and many are bioactive components [17]. They can potentially decrease water surface tension sufficiently and emulsify fats, two of the most important cleaning properties [18]. The chemical composition of the soapnut was assessed in a study by Chaudhary and colleagues [19], showing 95.16% dry matter, 7.49% total ash, 5.01% crude protein, 2.21% crude fibre, 1.78% ether extract, 0.41% phosphorous, and 0.24% calcium. Furthermore, the presence of various functional groups forming the hydrophilic and hydrophobic parts of soapnuts was confirmed by Pradhan and colleagues via FTIR (Fourier transform infrared) analysis [20]. They found that the soapnut consists mainly of hydroxyl groups as well as acids and carbohydrates. Similarly, Sohacki and Vogt [21] reported that soapnut plants contain compounds like alkaloids, flavonoids, and phenols, whereas the pericarps are especially rich in saponin. The most common saponins that occur in the pericarp are three types: oleanane, dammarane, and tirucallane-type saponins. Panda and colleagues [22] tested a soapnut extract, synthetic sodium dodecyl sulphate, and Tween80® and found a better cleaning ability for soapnut extract. Soapnut can be a good candidate for replacing synthetic scouring products due to reduced shrinkage, fibre loss, dye fastness, scouring, and water absorption [23]. Furthermore, natural plant saponins are environmentally friendly, sustainable, and less toxic than synthetic surfactants [24]. Du and colleagues [25] tested the toxicity of soapnut on rats and found a lethal dose to be (LD50) > 5000 mg/kg; dermal irritation tests on rabbits were considered negative. Adding soapnut pericarp to poultry feed provides better immunity and is used for antibiotic-free chickens [26]. Due to its good emulsification capacity, soapnut extract can be combined with natural essential oils to form emulsions and strengthen antimicrobial properties. For example, Sedaghat Doost and colleagues [27] found that a saponin–oregano essential oil emulsion has great antimicrobial potential. Similar results were found by Ahmadi and colleagues [28] testing a saponin–thyme essential oil formulation against S. aureus. Due to this encapsulation, the essential oil becomes physically and chemically stable in the aqueous medium; therefore, fine droplets can be efficiently absorbed through bacterial cell walls, resulting in cell lysis [29].
Accordingly, this study aimed to systematically assess the efficacy of a natural-based soapnut extract–Carvacrol emulsion for laundry washing for the first time. Additionally, it details the efficacy of standard soiling agent removal, its possible redeposition, microorganism disinfection, cross-contamination, water surface tension assessment, and cell membrane integrity.
2. Materials and Methods
2.1. Commercial Laundry Detergent, Soapnut Extract, and Soapnut Extract with Carvacrol
A commercial laundry detergent containing 5–15% anionic surface-active components, <5% non-ionic active components, phosphonates, soap, enzymes, benzothiazolinone, alpha iso-methyl ionone, citronellol, geraniol, and linalool was purchased at a grocery store. The washing experiment was carried out according to the producer’s instructions at 40 °C in a concentration of detergent in wash water at 4 g/L. Soapnuts (Sapindus mukorossi) were obtained from Greenwill (Greer, SC, USA). Plant material was identified through a series of comparative macroscopic and organoleptic analyses. Voucher No. 116/19 ULZF was deposited at the Faculty of Health Science, University of Ljubljana. The plant material was stored in a dry location in the absence of light at room temperature before the analysis. The soapnut pericarp was dried at 60 °C for 24 h and crushed in powder. The extraction of saponins from soapnut powder was provided according to the work of Chen and colleagues [30]. Briefly, 100 g of dried soapnut powder was dissolved in 600 g of 60% ethanol and stirred on a magnetic stirrer at 200 rpm for 24 h. After that, the liquid was filtered through Whatman filter No. 41, and all the liquid was evaporated by constantly stirring the samples at 60 °C for 24 h. The yield of soapnut extract was 43%. For the washing experiment, 10 g/L of soapnut extract was used. Carvacrol (Sigma Aldrich, St. Louis, MO, USA) in the concentration of 1 g/L was added to 10 g/L of soapnut extract. The suspension was sonicated for 5 min at 37 kHz to achieve emulsion.
2.2. Standard Strains of Microorganisms
Standard strains of microorganisms Pseudomonas aeruginosa ATCC 15442, Escherichia coli ATCC 10536, Staphylococcus aureus ATCC 6538, Enterococcus hirae ATCC 105041, and Candida albicans ATCC 10231 were obtained from laboratory collection. The bacteria from the collection were transferred to nutrient agar (Biolife, Milan, Italy) and incubated at 37 °C for 24 h.
2.3. Fourier Transform Infrared Spectroscopy (FTIR)
The soapnut extract was analysed by identification of the presence of characteristic functional groups. For this purpose, Attenuated Total Reflection integrated Fourier transform infrared (ATR-FTIR) spectra of the soapnut extract and standard saponin powder (Sigma Aldrich, St. Louis, MO, USA) were collected using a Spectrum 3 FT-IR spectrometer (PerkinElmer, Inc., Shelton, CN, USA) equipped with a diamond crystal (n = 2.0). The spectra were recorded over the range of 4000–600 cm−1 with a resolution of 4 cm−1 and an average of 16 spectra per sample, according to the work of Almutairi and Ali [31].
2.4. Quantification of Saponins in Soapnut Extract
The quantification of total saponins in soapnut extract was determined via vanillin-sulphuric acid colourimetry, according to Li and colleagues [32]. This method allowed measuring the absorbance of the purple complex because of the reaction of oxidized triterpene saponins with vanillin. Briefly, 0.5 mL of sample was mixed with 0.5 mL 4% (w/v) vanillin (Sigma-Aldrich, St. Louis, MO, USA) in a 50% water–ethanol solution, and 2.5 mL of 72% sulphuric acid was added. The suspension was heated to 60 °C for 15 min. The absorbance was measured at 527 nm using an Ultraviolet-Visible spectrophotometer. The standard curve was prepared with oleanolic acid (Sigma Aldrich, St. Louis, MO, USA). As oleanolic acid is pentacyclic triterpenoid saponin, it was the appropriate standard for total saponin quantification [33]. The results of the soapnut extract were compared to a standard curve of oleanolic acid and expressed as an oleanolic acid equivalent. The experiment was carried out with three parallels and three repetitions.
2.5. Laundry Detergent’s Characteristics
The emulsification index (E-24) enabled assessing the potential of fat emulsification and, therefore, cleaning ability. The E-24 was determined according to the work of Bezzerraa and colleagues [34]. The 2 mL of paraffin liquid in the tube (Sigma-Aldrich, St. Louis, MO, USA) was mixed (2 min, 1500 rpm) with a 2 mL of commercial laundry detergent, soapnut extract, and soapnut extract with carvacrol in the concentration range from a 0.02% to 10% solution. The resulting mixture stood for 24 h and was allowed to separate into an emulsified layer and the remaining aqueous layer. The emulsification index was measured as the ratio of the height of the thickness of the emulsified layer to the total height of the solution.
To determine the critical micelle concentration (CMC), the surface tension of all three substances was measured using a tensiometric method (Leconde Du Nouy Tensiometer) according to the work of Basu and colleagues [18]. The CMC was defined as a concentration of surfactants above which micelles formed, and all additional surfactants added to the system formed micelles. The CMC was determined by plotting surface tension as s function of surfactant concentration since the slope abruptly changed at the CMC [35]. All selected substances’ E-24 and surface tension values were measured for all ten concentrations and three repetitions.
2.6. Standard Soil Removal
Washing efficiency was tested according to the standard method Textiles—Tests for colour fastness—Part C06: Colour fastness to domestic and commercial laundering (ISO 105-C06) using four different EMPA (Swiss Federal Laboratories for Materials Science and Technology) standard soiled fabrics, i.e., EMPA 101—100% cotton soiled with carbon black/olive oil, EMPA 114—100% cotton soiled with red wine, EMPA 116—100% cotton soiled with blood/milk/ink and EMPA 160—100% cotton soiled with chocolate (Materials Research Products, UK). The dimension of each studied soiled fabric was 100 mm × 40 mm, whereas 100% bleached plain weave cotton fabric of the same dimension was used as an adjacent sample to study the soiling agent re-deposition. The samples of the standard soiled fabrics with adjacent white cotton were washed in a Girowash machine (James Heal, Halifax, UK) at 40 °C for 45 min. After washing, the samples were rinsed in distilled water at 40 °C for 1 min, followed by rinsing in tap water, and then air dried at room temperature.
To determine the washing effect, colour measurements were made in the International Commission on Illumination (CIE) Lab colour space for unwashed and washed samples of the standard soiling agents and adjacent cotton samples. For this purpose, a Datacolour Spectraflesh 600 spectrophotometer PLUS-CT controlled with Datacolour Datamaster software (Colortools 1.X) was used. The following settings were used in the measurements: Illuminance D65, small area view, specular light excluded, ultraviolet included, and standard observation angle of 10°. The soiling agent removal efficiency was determined by the difference in CIE L (International Commission on Illumination Lightness) value, ΔL (difference in lightness), between washed and unwashed standard soiling agents or adjacent cotton samples were calculated as follows:
where and represent the CIE L value of the washed and unwashed standard soiling agent samples or adjacent cotton samples, respectively. Five measurements were performed per sample.
2.7. Laundry Disinfection
The disinfection potential of all three substances was tested according to the standard Chemical disinfectants and antiseptics—Chemical textile disinfection for the domestic area SIST EN 17658:2021 [36], as follows. The bacteria working cultures were prepared by streaking them onto Tryptic Soy agar and incubating them at 37 °C for 24 h. C. albicans was prepared by streaking it on Malt Extract agar. The microorganism was transferred from solid media to 0.9% NaCl, and the concentration was adjusted using a spectrophotometer at 620 nm. In the next step, the solution was centrifuged for 5 min at 4700 g, the supernatant was removed, and the pellet was resuspended in a 0.3% Bovine serum albumin (BSA) solution. The sterilized cotton samples (160 g/m2) 1 × 1 cm were inoculated with 30 μL of bacterial solution in BSA and dyed in a flow cabinet. The samples were washed in a Girowash machine (James Heal, Halifax, UK). Each experiment included 5 samples of contaminated carriers for each microorganism, 4 non-contaminated carriers for cross-contamination, and 5 contaminated carriers that were not treated and served as control. A metal canister of 500 mL with 50 g of ballast (65% polyester/35% cotton) and 4 steel beads were autoclaved. The interfering substance Soil ballast systems (SBL No. 2004) 1.75 g were added to the canister. The tested detergents were diluted to desired concentration in standard hard water to obtain wash water (500 mL). The washing time was 45 min, and the washing temperature was 40 °C. No rinsing was performed. Immediately after the washing cycle, the cotton samples were transferred to 2 mL microtubes containing neutralizer (lecithin 3 g/L; polysorbate 80 30 g/L; sodium thiosulphate 5 g/L; saponin 30 g/L in PBS—Phosphate buffer solution). The 20 mL of wash water was aspirated with a syringe and neutralized with 20 mL of neutralizer double concentration. The tubes were mixed at 18 °C at 1000 rpm using a Plateshaker LLG (Lab Logistic Group, Meckenheim, Germany) device. In the next step, the samples were serial diluted, and 0.4 mL of each dilution was inoculated using the pour plate technique. The bacteria were incubated at 37 °C for 24 h, whereas C. albicans was at 30 °C for the same time. After that, the number of colonies was counted. The control represented cotton carriers with selected strains without washing. The microorganisms on the control carriers were treated the same as the samples. The initial load for bacteria on the cotton carriers was >6.6 log CFU (Colony Forming Units)/carrier and > 5.6 CFU/carrier for C. albicans. The reduction was calculated (log CFU/carrier) regarding control.
2.8. Microorganisms’ Membrane Integrity Assessment
The non-exposed and washed cotton samples were exposed to 30 μL of BacLight® fluorescence stain, containing Syto9 and propidium iodide DNA stain, for 15 min in the dark. After that, the samples were washed with 1 mL of PBS and observed under an inverted fluorescence Motic AE31 microscope Elite (Motic, Richmond, BC, Canada) at 40× magnification with TRIC and MB filters.
2.9. Statistical Analysis
Statistical analysis was provided using R software version 4.1.1. (R Core Team, Vienna, Austria). Normality was checked using the Shapiro–Wilk test (p > 0.05). One-way analysis of variance (ANOVA), and the Duncan test was used to determine the significant differences at a significance level of p < 0.05.
3. Results
The results of the quantification of saponins in the soapnut extract showed that the extract contained, on average, 21 wt% ± 0.5 wt% of total saponins expressed as oleanolic acid equivalents (Figure S1). The chemical composition of soapnut extract was determined in greater detail via FTIR analysis, and the corresponding IR spectrum was compared with the IR spectrum of the standard saponin powder (Figure 1a). The two IR spectra are shown in Figure 1a. The absorption band at 3307 cm−1 corresponded to the -OH vibration originating from the hydroxyl groups on the surface, whereas the absorption band at 2932 cm−1 related to the aliphatic C-H groups. The presence of the absorption bands at 1724 cm−1 and 1600 cm−1 related to the vibrations of the C=O functional group of the esters and the C=C bonds of the saponin moiety, respectively. The absorption bands in the spectral region 1450–1200 cm−1 corresponded to the bending vibrations of the −CH3 and −CH2 groups, whereas the absorption bands in the spectral region 1200–950 cm−1 were ascribed to the C-O vibrations of carbonyl groups within the structures of the saponins, and the absorption band at 1038 cm−1 confirmed the presence of the O-glycosidic bond (C-O-C) that linked the two structural parts of the saponins, i.e., the hydrophobic skeleton known as the aglycone and the hydrophilic saccharide known as glycone. Furthermore, the results of EI24 for the commercial detergent, soapnut extract, and soapnut extract with Carvacrol showed that increasing the product concentration resulted in higher EI24 values (Figure 1b). More specifically, the lowest EI24 was observed for commercial laundry detergent, followed by soapnut extract with Carvacrol, whereas the most efficient in the standard fat emulsification was the soapnut extract (Figure 1c). Microscope images of the foam structures showed the sizes and distributions of bubbles with quite equal distributions and ticker lamellae (Figure 1d).
Figure 1.
Commercial laundry detergent, soapnut extract, and soapnut extract with carvacrol. (a) ATR-FTIR, (b) emulsification index—EI24, (c) critical micelle concentration—CMC, and (d) microscope foam structure.
The results of the cleaning efficacies of the studied commercial detergent and the soapnut extracts without and with Carvacrol are shown in Figure 2. As expected, the commercial detergent showed the best removal of the standard soiling agents tested due to its complex structure designed to remove soiling agents of different types. The higher the ΔL value, the brighter the standard soiling agent samples studied and the better the cleaning efficiency (Figure 2a,c; Table S2). The soapnut extract showed excellent removal of the soiling agents EMPA 101 and EMPA 114, which was comparable to that of a commercial laundry detergent, whereas the removal of the soiling agents EMPA 116 and EMPA 160 was the poorest. The ΔL results showed that the addition of Carvacrol had no significant effect on the effectiveness of the soapnut extract in soiling agent removal. In addition to soiling agent removal, the commercial laundry detergent proved to be the best at preventing soiling agent redeposition from the wash bath to the fibres. In this case, positive ΔL values indicated improved lightness/brightness of the adjacent cotton sample after washing and thus the effective dispersion and suspension of the soiling agent in the wash bath, whereas negative ΔL values indicated greying and/or yellowing of the adjacent cotton sample after washing and thus the re-deposition of the soiling agent from the wash bath on the fibres. In contrast to the efficiency of soiling agent removal, the addition of Carvacrol to the soapnut extract greatly prevented the redeposition of the EMPA 114 and 116 standard soiling agents, whereas no significant differences were observed for the EMPA 101 and 160 standard soiling agents (Figure 2b, Table S2).
Figure 2.
Cleaning efficiency (a) and soiling agent redeposition (b) of the studied commercial laundry detergent, soapnut extract, and soapnut extract + Carvacrol, and images of the standard soiling agented samples before and after washing (c).
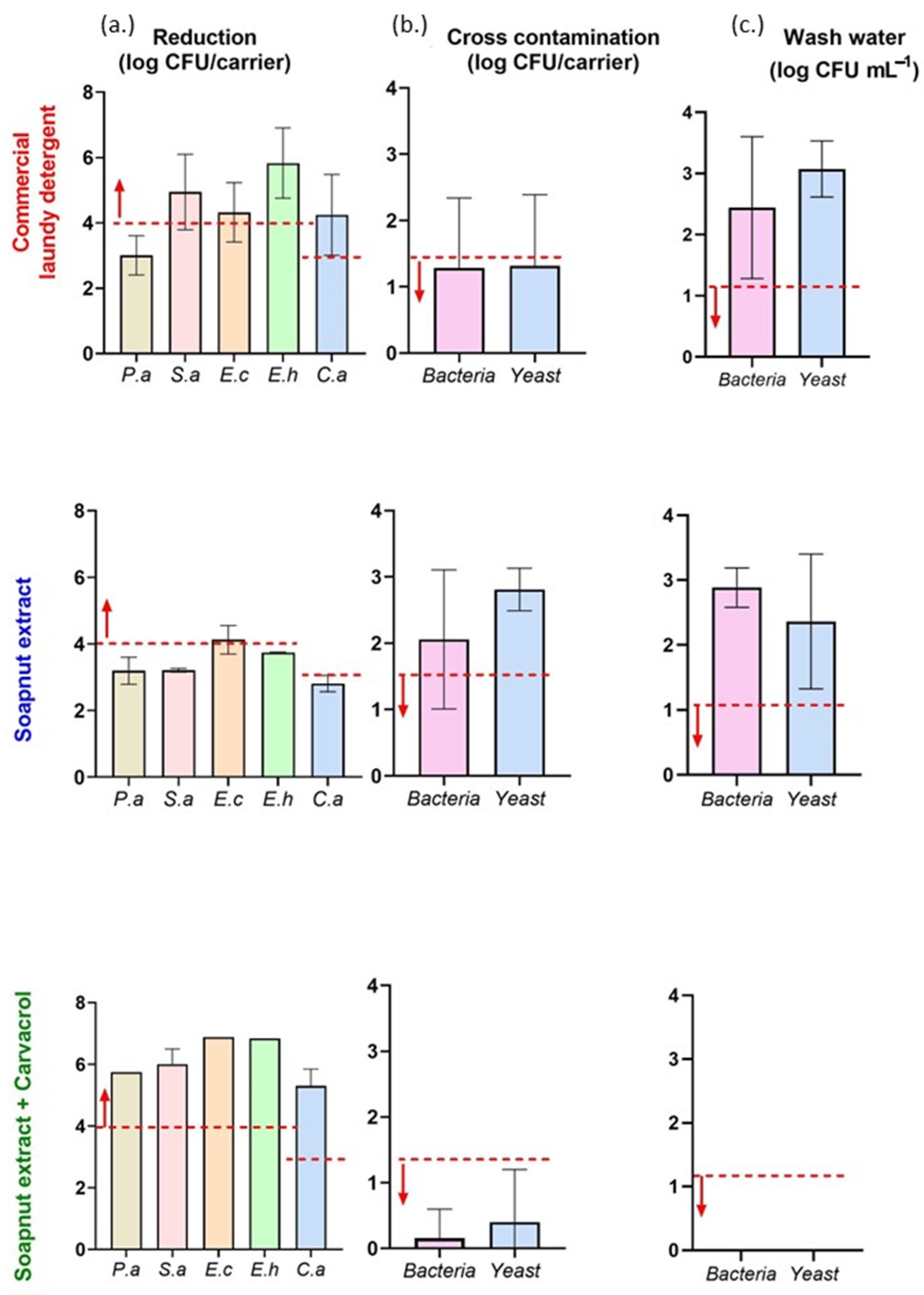
The results of the laundry washing microbial management showed that, in general, soapnut extract was the least effective in microorganism reduction, followed by commercial detergent, whereas soapnut extract with Carvacrol was the most powerful (Figure 3a). Soapnut extract could reduce up to log 4 CFU/carrier; in particular, the reduction in E. coli was the most successful, followed by E. hirae, S. aureus, and C. albicans. Furthermore, commercial laundry detergent was the most effective against E. hirae (up to 6 CFU/carrier), followed by S. aureus, E. coli, and C. albicans, whereas it was less effective against P. aeruginosa. The soapnut extract with Carvacrol was the most effective for all tested microorganisms. Reduction > 6 logs CFU/carrier was achieved for E. coli, S. aureus, and E. hirae, whereas it was >5 logs CFU/carrier for P. aeruginosa and C. albicans. Regarding cross-contamination, the highest transfer of bacteria and yeast from contaminated carriers to sterile ones during washing was observed for the soapnut extract, followed by the commercial laundry detergent and the soapnut extract with Carvacrol (Figure 3b). Similar results could also be observed for wash water, for which the highest number of bacteria were found in the case of soapnut extract, followed by commercial laundry detergent and total elimination in the case of soapnut with Carvacrol (Figure 3c).
Figure 3.
P. aeruginosa, S. aureus, E. coli, E. hirae, C. albicans reduction in cotton (a), cross-contamination (b), and wash water (c) for commercial laundry detergent, soapnut extract, and soapnut extract with Carvacrol. Red dashed lines with arrows represent criteria according to the standard SIS EN 17658:2021.
The results of the microorganisms’ membrane integrities on the non-washed and washed cotton carriers showed that the observations were in line with the reduction assessment. The soapnut extract slightly reduced the number of live (green) cells relative to the control, followed by the commercial laundry detergent, where the areas with more dead (red) cells were present, and most cells showed compromised membranes with the soapnut extract with Carvacrol (Figure 4).
Figure 4.
P. aeruginosa, S. aureus, E. coli, E. hirae, C. albicans cell membrane integrity assessments on cotton before and after washing with commercial laundry detergent, soapnut extract, and soapnut extract with Carvacrol.
4. Discussion
Green chemistry enables natural-origin chemicals to be as efficient as synthetic ones while reducing environmental pressure. This is especially important, as the global population is rising, and the impact on nature per capita is increasing [37]. Biosurfactants are characterized by higher biodegradability, lower toxicity, and eco-friendliness; therefore, they can be substitutes for synthetic surfactants [38]. The results of our study show that extracts from soapnut are rich in saponins (21 wt%). These results corroborate the findings of many previous studies. For example, Kose and Bayraktar [16] analysed saponin extraction protocols from soapnut and found that extraction yield significantly varied among solvents. They found water to be the least effective solvent, ranging from 10 to 12 wt%, whereas ethanol–water was the most effective, yielding 19–30 wt%. Similar results were reported by Lu and colleagues [38], demonstrating 7–27 wt% total saponin extraction from soapnut. The results of the ATR-FTIR analysis showed the presence of an O-glycosidic bond C-O-C that formed saponin by binding the hydrophobic aglycone and hydrophilic saccharide containing glycone, whereas the C=C bond corresponded to saponin moiety-oleanane-type triterpenoid saponins. Similar results were reported by Almutairi and Ali [31] and Yekeen [39], who found that C-O-C and C=C typically bonded for triterpenoid saponins. Furthermore, a good cleaning product should substantially decrease water tension, allowing water to spread out and wet the surface. The results showed that commercial laundry detergent substantially decreased the water’s surface tension. However, for the soapnut extract, the minimum surface tension was observed at 49 mN/m. These results reflected those of Wojtoń and colleagues [40], who found the lowest surface tension for soapnut to be 47 mN/m. Yekeen and colleagues [39] extracted the saponins from soapnut and found the CMC to be 0.2%, which corresponded to our study results of 0.26% CMC for the soapnut extract. In contrast, Ghagi and co-workers [41] found the CMC to be a lower concentration (0.13%), but they extracted the saponins from soapnut solely for three hours.
Another characteristic of a good cleaning product is the capability to emulsify fats. Our study showed that the soapnut extract could emulsify up to 55% of fat, which was even better than commercial laundry detergent (52%). Moreover, Basu and colleagues [18] tested saponins from soapnut and found that a 20 wt% saponin yield could emulsify up to 59% of paraffin, which was consistent with the finding of our study. Tmáková and colleagues [42] tested saponins from different plants and found an emulsification capacity between 30% and 60%; they concluded that the natural saponin emulsification index exceeded the index for standard Tween 80® and sodium dodecyl sulphate.
Laundry cleaning is a complex process influenced by many factors, of which the type of soiling agent and the composition of the detergent play an important role. The cleaning efficiency results indicated different washing performances regarding the type of soiling. Both the saponin-rich soapnut extract and the soapnut extract with Carvacrol showed comparable soiling agent removal performances of EMPA 101 to the commercial laundry detergent. EMPA 101 indicated the general performance of the detergent, as it was, above all, a surfactant-related soiling agent. Other studies [43,44] found lower oil removal performances by soapnuts, but these studies only used nutshells during the washing process. As mentioned earlier, water was the least effective solvent for the extraction of saponins. As the main washing phase in these studies did not exceed 45 minutes, the concentrations of extracted saponins may have been too low to ensure the adequate removal of oily stains. Removal of the standard EMPA 114 soiling agent by the soapnut extract and the soapnut extract with Carvacrol was also comparable to that of the commercial laundry detergent, as neither contained a bleaching agent in their compositions. A red wine stain is oxidizable and thus bleachable [45]. Therefore, it is important to note that liquid detergent was used in this study, which did not contain a bleaching agent, as it was not stable in liquid formulations. In contrast, the low effectiveness of the removal of EMPA 116 and 160 standard soiling agents by soapnut extract was understandable and expected, ascribed to the absence of enzymes in the soapnut extract, whereas four to five types of enzymes were present in commercial detergents for the effective removals of protein-, starch-, and fat-related soiling [45].
Aside from soiling agent removal, the secondary effects of laundry cleaning, such as greying/yellowing of white or light-coloured laundry, are also important and reflect the ability of a detergent to effectively dissolve, emulsify, and/or disperse soil particles in a wash bath to prevent their redepositions on fibres. For this purpose, various polymers and optical brighteners are added to commercial detergents. The soiling agent deposition results clearly showed that the soapnut extract could not prevent the redeposition of the standard soiling agents tested, with the EMPA 116 standard soiling agents performing the worst, consistent with the lowest cleaning performance of this standard soiling agent. Therefore, for efficient removal of proteinaceous soiling agents, a stain removal agent is recommended for adequate cleaning performance. However, in the case of the standard soiling agents EMPA 101, EMPA 114, and EMPA 160, the much lower ΔL values of the adjacent cotton fabric washed with the soapnut extract and Carvacrol compared to the soapnut extract alone undoubtedly demonstrated the benefits of the Carvacrol addition in efficiently dispersing and/or suspending these types of soiling agents, thereby improving the overall cleaning performance of the soapnut extract. The results of the laundry disinfection showed that the commercial laundry detergent sufficiently reduced most of the bacteria on the cotton carriers (>4 logs CFU/car; only the reduction in P. aeruginosa did not meet the standard criteria. Also, C. albicans was sufficiently reduced (>3 log CFU/carrier). Similarly, Monleón-Getino and Cavalleri [10] tested a normal laundry detergent with a perborate and found a reduction for P. aeruginosa, E. coli, S. aureus, E. hirae, and C. albicans ranging from 2.97 to 5.51, which was similar to our commercial laundry detergent. Furthermore, we demonstrated that washing solely with soapnut extract could not meet the SIST EN 17658:2021 standard criteria. For most model organisms, the reduction in cotton carriers was <log 4 CFU. Only the E. coli reduction met the standard criteria. Kose and Bayraktar [16] analysed the antibacterial potential of soapnut extract and found that E. coli was the most susceptible, followed by S. aureus and C. albicans, which was consistent with our findings. To enhance the disinfection potential, Carvacrol in a concentration of 1 g/L was added to the soapnut extract. Interestingly, the addition of Carvacrol caused a total reduction in microorganisms (>log 6 CFU/carrier; >log 5 carriers). Ryu and colleagues [46] tested the Tween80®–Carvacrol complex and found a significantly higher antibacterial potential for the complex than for a single component. They concluded that saponins allowed the transport of Carvacrol from one hydrophobic phase to another and mimicked the transport from oil droplets to bacterial cell membranes. Similarly, Felici and colleagues [47] tested saponins, Thymol, and Carvacrol and reported that saponins alone did not have strong antibacterial activities but acted synergistically with both Thymol and Carvacrol. Similar results could be observed in our study, where the solely soapnut extract did not significantly impact microorganism reduction, whereas the addition of Carvacrol busted the efficacy. Cross-contamination is a relevant parameter of laundry washing efficiency when assessing the risk of infection and bad odours in textiles [48]. While the commercial laundry detergent, on average, represents low cross-contamination potential for both bacteria and yeast, the soapnut extract did not meet the standard requirements. Furthermore, the addition of Carvacrol substantially reduced the cross-contamination, even lower than commercial laundry detergent. Schages and colleagues [13] tested the efficacy of laundry washing on a laboratory scale and found that only the higher temperatures or the addition of activated oxygen bleach could prevent cross-contamination. Moreover, testing wash water also showed a similar trend. Soapnut extract alone could not sufficiently reduce the number of microorganisms in wash water; consequently, cross-contamination appeared. Adding the Carvacrol to the soapnut extract caused the elimination of both the bacteria and yeast in the wash water.
5. Conclusions
Reducing the impact of laundry washing on the environment requires lowering energy consumption. However, a lower washing temperature can be justified solely when maintaining the same level of washing quality. Our study demonstrated that our soapnut extract was rich in saponin, which could substantially reduce water surface tension and increase fat emulsification. The latter was even better than in the case of commercial detergent. Accordingly, our soapnut extract showed comparable cleaning performance for greasy–oily stains, as well as oxidizable stains, to a commercial laundry detergent, whereas the removal of proteinaceous stains was the poorest since the latter were enzyme related. Except for the proteinaceous stains, the soapnut extract also showed satisfactory secondary washing performance, determined by the prevention of greying/yellowing of the laundry due to the redeposition of the soiling agent. In this case, the addition of Carvacrol to the soapnut extract proved beneficial. The soapnut extract showed promising results in both bactericidal and pesticidal criteria. In contrast, we found a high number of cells for cross-contamination assessment tests and the presences of both bacteria and yeast in the wash water. Therefore, Carvacrol was added to the soapnut extract to boost the antimicrobial effects. The emulsion showed great results in cotton disinfection properties (>6 logs CFU/ carrier), low cross-contamination potential, and total reduction in the wash water. All this indicated that the formulated soapnut extract with Carvacrol met all the standard SIS EN 17658:2021 criteria and even exceeded the commercial synthetic laundry detergent. Undoubtedly, a cooperative effect of Carvacrol on soapnut extract was obtained, as the presence of Carvacrol influenced and improved the cleaning performance and hygienic effect of the laundry.
Supplementary Materials
The following supporting information can be downloaded at: https://www.mdpi.com/article/10.3390/su151411029/s1, Figure S1: Standard curve of absorbance for oleanolic acid by vanillin sulphuric acid assay; Table S1: ANOVA and Duncan test for disinfection P. aeruginosa, S. aureus E. coli, E. hirae, C. albicans; Table S2: ANOVA and Duncan test for soiling agent removal as cleaning efficiency and soiling agent redeposition of EMPA 101, EMPA 114, EMPA 116, EMPA 160.
Author Contributions
Conceptualization, M.L., B.T. and R.F.; methodology, B.T. and R.F.; formal analysis, M.L., B.T. and R.F.; investigation, M.L., B.T. and R.F.; writing—original draft preparation, M.L., B.T. and R.F.; writing—review and editing, M.L., B.T. and R.F.; visualization, M.L., B.T. and R.F.; supervision, B.T. and R.F. All authors have read and agreed to the published version of the manuscript.
Funding
This work was supported by the Slovenian Research Agency: Program P2-0213, Infrastructural Centre RIC UL-NTF and project BI-US/22-24-075: Post COVID-19 bacterial resistance crisis. Lessons to mitigate future pandemics.
Informed Consent Statement
Not applicable.
Data Availability Statement
The datasets used and analysed during this study are available from the corresponding author upon reasonable request.
Conflicts of Interest
The authors declare no conflict of interest. The funders had no role in the design of the study; in the collection, analyses, or interpretation of data; in the writing of the manuscript; or in the decision to publish the results.
References
- Reinhart, V.; Fonte, C.C.; Hoffmann, P.; Bechtel, B.; Rechid, D.; Böhner, J. Comparison of ESA climate change initiative land cover to CORINE land cover over Eastern Europe and the Baltic States from a regional climate modeling perspective. Int. J. Appl. Earth Obs. Geoinf. 2021, 94, 102221. [Google Scholar] [CrossRef]
- Owen, G. What makes climate change adaptation effective? A systematic review of the literature. Glob. Environ. Chang. 2020, 62, 102071. [Google Scholar] [CrossRef]
- Sohn, J.; Nielsen, K.S.; Birkved, M.; Joanes, T.; Gwozdz, W. The environmental impacts of clothing: Evidence from United States and three European countries. Sustain. Prod. Consum. 2021, 27, 2153–2164. [Google Scholar] [CrossRef]
- Bajpai, D. Laundry detergents: An overview. J. Oleo Sci. 2007, 56, 327–340. [Google Scholar] [CrossRef]
- Shahmohammadi, S.; Steinmann, Z.; Clavreul, J.; Hendrickx, H.; King, H.; Huijbregts, M.A. Quantifying drivers of variability in life cycle greenhouse gas emissions of consumer products—A case study on laundry washing in Europe. Int. J. Life Cycle Assess. 2018, 23, 1940–1949. [Google Scholar] [CrossRef]
- DeLeo, P.C.; Ciarlo, M.; Pacelli, C.; Greggs, W.; Williams, E.S.; Scott, W.C.; Brooks, B.W. Cleaning product ingredient safety: What is the current state of availability of information regarding ingredients in products and their function? ACS Sustain. Chem. Eng. 2018, 6, 2094–2102. [Google Scholar] [CrossRef]
- Yates, L.; Evans, D. Dirtying Linen: Re-evaluating the sustainability of domestic laundry. Environ. Policy Gov. 2016, 26, 101–115. [Google Scholar] [CrossRef]
- Eberle, U.; Lange, A.; Dewaele, J.; Schowanek, D. LCA study and environmental benefits for low temperature disinfection process in commercial laundry (12 pp). Int. J. Life Cycle Assess. 2007, 12, 127–138. [Google Scholar] [CrossRef]
- Chen, F.; Ji, X.; Chu, J.; Xu, P.; Wang, L. A review: Life cycle assessment of cotton textiles. Ind. Textila 2021, 72, 19–29. [Google Scholar] [CrossRef]
- Monleón-Getino, T.; Cavalleri, M. International ring trial to validate a new method for testing the antimicrobial efficacy of domestic laundry products. PLoS ONE 2022, 17, e0269556. [Google Scholar] [CrossRef]
- Ferri, A.; Osset, M.; Abeliotis, K.; Amberg, C.; Candan, C.; Owens, J.; Stamminger, R. Laundry performance: Effect of detergent and additives on consumer satisfaction. Tenside Surfactants Deterg. 2016, 53, 375–386. [Google Scholar] [CrossRef]
- Honisch, M.; Brands, B.; Weide, M.; Speckmann, H.D.; Stamminger, R.; Bockmühl, D.P. Antimicrobial efficacy of laundry detergents with regard to time and temperature in domestic washing machines. Tenside Surfactants Deterg. 2016, 53, 547–552. [Google Scholar] [CrossRef]
- Schages, J.; Stamminger, R.; Bockmühl, D.P. A new method to evaluate the antimicrobial efficacy of domestic laundry detergents. J. Surfactants Deterg. 2020, 23, 629–639. [Google Scholar] [CrossRef]
- Bockmühl, D.P.; Schages, J.; Rehberg, L. Laundry and textile hygiene in healthcare and beyond. Microb. Cell 2019, 6, 299. [Google Scholar] [CrossRef]
- Chen, Y.-H.; Chiang, T.-H.; Chen, J.-H. Properties of soapnut (Sapindus mukorossi) oil biodiesel and its blends with diesel. Biomass Bioenergy 2013, 52, 15–21. [Google Scholar] [CrossRef]
- Kose, M.D.; Bayraktar, O. Extraction of Saponins from Soapnut (Sapindus mukorossi) and Their Antimicrobial Properties. World J. Res. Rev. 2016, 2, 262952. [Google Scholar]
- Waran, A.; Chandran, P. Cradle to grave: The multifaceted soapnut-an update on the applications of Sapindus spp. Sustain. Chem. Pharm. 2021, 24, 100557. [Google Scholar] [CrossRef]
- Basu, A.; Basu, S.; Bandyopadhyay, S.; Chowdhury, R. Optimization of evaporative extraction of natural emulsifier cum surfactant from Sapindus mukorossi—Characterization and cost analysis. Ind. Crops Prod. 2015, 77, 920–931. [Google Scholar] [CrossRef]
- Chaudhary, S.K.; Mandal, A.B.; Bhar, R.; Rokade, J.J.; Jadhav, S.E.; Kannan, A.; Gopi, M. Assessment of phytochemical constituents, fatty acids profile and in vitro antioxidant activity in soapnut shell powder. Indian J. Anim. Sci. 2018, 88, 700–705. [Google Scholar] [CrossRef]
- Pradhan, M.; Bhargava, P. Defect and microstructural evolution during drying of soapnut-based alumina foams. J. Eur. Ceram. Soc. 2018, 28, 3049–3057. [Google Scholar] [CrossRef]
- Sochacki, M.; Vogt, O. Triterpenoid Saponins from Washnut (Sapindus mukorossi Gaertn)—A Source of Natural Surfactants and Other Active Components. Plants 2022, 11, 2355. [Google Scholar] [CrossRef] [PubMed]
- Panda, A.; Kumar, A.; Mishra, S.; Mohapatra, S. Soapnut: A replacement of synthetic surfactant for cosmetic and biomedical applications. Sustain. Chem. Pharm. 2020, 17, 100297. [Google Scholar] [CrossRef]
- Hoque, M.S.; Chakraborty, S.; Hossain, M.F.; Alam, M.M. Knit fabric scouring with soapnut: A sustainable approach towards textile pre-treatment. Am. J. Environ. Prot. 2018, 7, 19–22. [Google Scholar]
- Rai, S.; Acharya-Siwakoti, E.; Kafle, A.; Devkota, H.P.; Bhattarai, A. Plant-derived saponins: A review of their surfactant properties and applications. Science 2021, 3, 44. [Google Scholar] [CrossRef]
- Du, M.; Huang, S.; Zhang, J.; Wang, J.; Hu, L.; Jiang, J. Toxicolological test of saponins from Sapindus mukorossi Gaerth. Open J. For. 2015, 5, 749. [Google Scholar]
- Bera, I.; Tyagi, P.K.; Mir, N.A.; Begum, J.; Dev, K.; Tyagi, P.K.; Biswas, A.; Sharma, D.; Mandal, A.B. Effect of dietary saponin rich soapnut (Sapindus mukorossi) shell powder on growth performance, immunity, serum biochemistry and gut health of broiler chickens. J. Anim. Physiol. Anim. Nutr. 2019, 103, 1800–1809. [Google Scholar] [CrossRef]
- Sedaghat Doost, A.; Devlieghere, F.; Dirckx, A.; Van der Meeren, P. Fabrication of Origanum compactum essential oil nanoemulsions stabilized using Quillaja Saponin biosurfactant. J. Food Process. Preserv. 2018, 42, e13668. [Google Scholar] [CrossRef]
- Ahmadi, O.; Jafarizadeh-Malmiri, H. Green approach in food nanotechnology based on subcritical water: Effects of thyme oil and saponin on characteristics of the prepared oil in water nanoemulsions. Food Sci. Biotechnol. 2020, 29, 783–792. [Google Scholar] [CrossRef]
- Kumari, S.; Kumaraswamy, R.; Choudhary, R.C.; Sharma, S.; Pal, A.; Raliya, R.; Biswas, P.; Saharan, V. Thymol nanoemulsion exhibits potential antibacterial activity against bacterial pustule disease and growth promotory effect on soybean. Sci. Rep. 2018, 8, 6650. [Google Scholar] [CrossRef]
- Chen, C.; Li, R.; Li, D.; Shen, F.; Xiao, G.; Zhou, J. Extraction and purification of saponins from Sapindus mukorossi. New J. Chem. 2021, 45, 952–960. [Google Scholar] [CrossRef]
- Almutairi, M.S.; Ali, M. Direct detection of saponins in crude extracts of soapnuts by FTIR. Nat. Prod. Res. 2015, 29, 1271–1275. [Google Scholar] [CrossRef]
- Li, R.; Wu, Z.L.; Wang, Y.J.; Li, L.L. Separation of total saponins from the pericarp of Sapindus mukorossi Gaerten. by foam fractionation. Ind. Crops Prod. 2013, 51, 163–170. [Google Scholar] [CrossRef]
- Cheok, C.Y.; Salman, H.A.K.; Sulaiman, R. Extraction and quantification of saponins: A review. Food Res. Int. 2014, 59, 16–40. [Google Scholar] [CrossRef]
- Bezerraa, K.; Durvala, I.; Silvab, I.A.; Fabiola, C. Emulsifying capacity of biosurfactants from Chenopodium quinoa and Pseudomonas aeruginosa UCP 0992 with focus of application in the cosmetic Industry. Chem. Eng. 2020, 79, 211–216. [Google Scholar]
- Kazemi, K.; Zhang, B.; Lye, L. Production of biosurfactant by Rhodococcus erythropolis sp. cultivated in a novel fish waste compost extract substrate. In Proceedings of the Conference CSCE Annual Conference, London, ON, Canada, 1–4 June 2016. [Google Scholar]
- SIST EN 17658:2021; Chemical Disinfectants and Antiseptics. Chemical Textile Disinfection for the Domestic Area. Test Method and Requirements (Phase 2, Step 2). Slovenski inštitut za Standardizacijo: Ljubljana, Slovenia, 2021; 44p.
- Zimmerman, J.B.; Anastas, P.T.; Erythropel, H.C.; Leitner, W. Designing for a green chemistry future. Science 2020, 367, 397–400. [Google Scholar] [CrossRef]
- Inès, M.; Mouna, B.; Marwa, E.; Dhouha, G. Biosurfactants as emerging substitutes of their synthetic counterpart in detergent formula: Efficiency and environmental friendly. J. Polym. Environ. 2023, 31, 2779–2791. [Google Scholar] [CrossRef]
- Lu, Z.; Lei, Z.; Zafar, M.N. Synthesis and performance characterization of an efficient environmental-friendly Sapindus mukorossi saponins based hybrid coal dust suppressant. J. Clean. Prod. 2021, 306, 127261. [Google Scholar] [CrossRef]
- Yekeen, N.; Malik, A.A.; Idris, A.K.; Reepei, N.I.; Ganie, K. Foaming properties, wettability alteration and interfacial tension reduction by saponin extracted from soapnut (Sapindus mukorossi) at room and reservoir conditions. J. Pet. Sci. Eng. 2020, 195, 107591. [Google Scholar] [CrossRef]
- Wojtoń, P.; Szaniawska, M.; Hołysz, L.; Miller, R.; Szcześ, A. Surface activity of natural surfactants extracted from Sapindus mukorossi and Sapindus trifoliatus soapnuts. Colloids Interfaces 2021, 5, 7. [Google Scholar] [CrossRef]
- Ghagi, R.; Satpute, S.K.; Chopade, B.A.; Banpurkar, A.G. Study of functional properties of Sapindus mukorossi as a potential bio-surfactant. Indian J. Sci. Technol. 2011, 4, 530–533. [Google Scholar] [CrossRef]
- Tmáková, L.; Sekretár, S.; Schmidt, Š. Plant-derived surfactants as an alternative to synthetic surfactants: Surface and antioxidant activities. Chem. Pap. 2016, 70, 188–196. [Google Scholar] [CrossRef]
- Laitala, K.; Jensen, H.M. Cleaning effect of household laundry detergents at low temperatures. Tenside Surfactants Deterg. 2010, 47, 413–420. [Google Scholar] [CrossRef]
- Kruschwitz, A.; Augsburg, A.; Stamminger, R. How effective are alternative ways of laundry washing? Tenside Surfactants Deterg. 2013, 50, 263–269. [Google Scholar] [CrossRef]
- Johansson, I.; Somasundaran, P. Handbook for Cleaning/Decontamination of Surfaces; Elsevier: Amsterdam, The Netherlands, 2007. [Google Scholar]
- Ryu, V.; McClements, D.J.; Corradini, M.G.; Yang, J.S.; McLandsborough, L. Natural antimicrobial delivery systems: Formulation, antimicrobial activity, and mechanism of action of quillaja saponin-stabilized carvacrol nanoemulsions. Food Hydrocoll. 2018, 82, 442–450. [Google Scholar] [CrossRef]
- Felici, M.; Tugnoli, B.; Ghiselli, F.; Massi, P.; Tosi, G.; Fiorentini, L.; Piva, A.; Grilli, E. In Vitro anticoccidial activity of thymol, carvacrol, and saponins. Poult. Sci. 2020, 99, 5350–5355. [Google Scholar] [CrossRef]
Disclaimer/Publisher’s Note: The statements, opinions and data contained in all publications are solely those of the individual author(s) and contributor(s) and not of MDPI and/or the editor(s). MDPI and/or the editor(s) disclaim responsibility for any injury to people or property resulting from any ideas, methods, instructions or products referred to in the content. |
© 2023 by the authors. Licensee MDPI, Basel, Switzerland. This article is an open access article distributed under the terms and conditions of the Creative Commons Attribution (CC BY) license (https://creativecommons.org/licenses/by/4.0/).



