Abstract
For extracting the equivalent circuit parameters of solar photovoltaic (PV) panels, a unique bio-inspired swarm intelligence optimisation algorithm (OA) called the dandelion optimisation algorithm (DOA) is proposed in this study. The suggested approach has been used to analyse well-known single-diode (SD) and double-diode (DD) PV models for several PV module types, including monocrystalline SF430M, polycrystalline SG350P, and thin-film Shell ST40. The DOA is adopted by minimizing the sum of the squares of the errors at three locations (short-circuit, open-circuit, and maximum power points). Different runs are conducted to analyse the nature of the extracted parameters and the V–I characteristics of the PV panels under consideration. Obtained results show that for Mono SF430M, the error in the SD model is 2.5118e-19, and the error in the DD model is 2.0463e-22; for Poly SG350P, the error in the SD model is 9.4824e-21, and the error in the DD model is 2.1134e-20; for thin-film Shell ST40, the error in the SD model is 1.7621e-20, and the error in DD model is 7.9361e-22. The parameters produced from the suggested method yield the least amount of error across several executions, which suggests its better implementation in the current situation. Furthermore, statistical analysis of the SD and DD models using DOA is also carried out and compared with two hybrid OAs in the literature. Statistical results show that the standard deviation, sum, mean, and variance of various PV panels using DOA are lower compared to those of the other two hybrid OAs.
1. Introduction
Various aspects of human existence are becoming progressively dominated by renewable energy as a viable replacement for fossil fuels [1,2,3]. Researchers have been inspired by solar energy since it is renewable, accessible, ecologically benign, and simple to install and maintain [4,5,6]. To be more specific, PV cells significantly contribute to the conversion of solar radiation into electrical energy. A suitable mathematical model that mimics the behaviour of the PV cell and precisely determines its parameter’s optimal values is necessary for PV cells to operate well. These parameters are useful for assessing the consistency and accuracy of the models. The imbalanced operating scenarios, including malfunctions and ageing, make parameter evaluation difficult. The SD and DD mathematical models are the most popular and commonly used [5,6,7]. The SD model is used in the majority of situations due to its simplicity and acceptability.
Evaluating the PV parameters is a nonlinear, multidimensional problem that can be thought of as an optimisation problem. For extracting parameters from solar PV systems, stochastic methods called metaheuristics, which are inspired by nature, have proven to be an excellent replacement for traditional optimisation algorithms. A guided random search method deemed metaheuristic exploits and explores the entire search space. However, the solution is imperfect and could become stuck at a local optimum point. In the metaheuristic procedures, the quality of the solution and the time required to find it must typically be traded off. The quality of the solution must occasionally be compromised in order to reach a conclusion promptly [8,9,10].
A variety of techniques were developed and investigated to obtain more exact and precise parameters from nonlinear implicit equations with high precision. There are two primary types of algorithms listed in Table 1: metaheuristic and analytical. The hybrid chimp–sine cosine algorithm (HCSCA) [5], “enhanced hybrid grey wolf optimiser-sine cosine algorithm (EHGWOSCA)” [6], genetic algorithm [11], particle swarm optimisation [12], jellyfish search [13], hybrid differential evolution [14], cuckoo search with biogeography-based optimisation [15], pattern search [16], tunicate swarm [17], differential evolution [18], harmony search [19], tabu search [20], sooty tern [21], cat swarm [22], crow search [23], grey wolf optimiser [24], firefly algorithm [25], artificial bee colony [26], equilibrium optimiser [27], social spider algorithm [28], whale optimiser [29], humming bird optimiser [30], and bonobo optimiser [31] are examples of the metaheuristic algorithms. Analytical algorithms include “Lambert W-functions” [32], the conductivity method [33], least squares [34], the analytical mathematical method [35] and iterative method [36]. Analytical algorithms have limited applications due to the objective functions’ persistence, uniqueness, and roundness. These algorithms are often sensitive to the initial solution and find local optima. Bio-related algorithms are more realistic and reliable optimisation approaches for simplifying complicated fundamental equations since they do not require challenging mathematics.
Table 1.
A summary of metaheuristic and analytical techniques employed in the literature.
Gong et al. [37] recently presented the dandelion algorithm in the framework of effective metaheuristic approaches. Based on it, two more dandelion algorithms were proposed, the variant dandelion algorithm [38] and DOA [39], to overcome the drawbacks of premature convergence and local optimisation.
In terms of high optimisation accuracy and effectiveness, DOA can replace the prior bio-inspired swarm intelligence OAs and produce superior convergence accuracy with less progressions. The main purposes of this study are as follows:
- In order to estimate the parameters of the PV modules, this work seeks to propose the novel bio-inspired swarm intelligence OA called the DOA for the first time.
- SD and DD approaches are used to mathematically model monocrystalline SF430M, polycrystalline SG350P, and thin-film Shell ST40 PV panels.
- The values of the practical dataset are taken into account while generating the error values and the objective function that would be used to reduce the error at various operational points.
- Utilizing the details from the datasheet on the three key components of a PV cell’s characteristic, an error function is suggested.
- All PV cell characteristics are optimised for SD and DD models without assuming any cell parameters.
2. PV Models
The output properties of the PV model may be correctly represented using a mathematical model. This will illustrate the biological functions that take place in the module’s cell. The SD and DD models are the most commonly used ones. By assuming that the cells are equivalent and operate under comparable conditions, the parameters of the PV cell are extracted. This criterion is employed to create the objective functions for the model’s description.
2.1. SD Model
Ideal PV and practical PV cells of SD model are shown in Figure 1. By using Kirchhoff’s current law (KCL), the output current () is expressed in terms of the photocurrent (), diode current (), and shunt resistor current ():
Figure 1.
SD model of (a) ideal PV, and (b) practical PV cell.
The and equations are represented by
By using Equations (2) and (3), Equation (1) is modified to
where and are the series and shunt resistances, is the saturation current, is the diode quality factor, is the output voltage, stands for the p-n junction’s temperature (in Kelvin), q stands for the electron charge, represents the number of solar cells in series, and stands for the Boltzmann constant.
Equation (4) shows that the SD model contains five parameters that must be extracted: .
Equation (4) is modified under open-circuit (OC) conditions ( to
Under short-circuit (SC) conditions (, Equation (4) is modified to
is expressed by using Equations (5) and (6) as
Equation (4) is expressed at maximum power point (MPP) ( as
2.2. DD Model
The DD model with a second diode linked in parallel to the first is shown in Figure 2.
Figure 2.
DD model of the PV cell.
By using KCL, the output current () is expressed as
where and are the diode currents and they are represented in terms of saturation currents and and diode quality factors and by
By using Equations (3), (10) and (11), Equation (9) is modified to
Equation (12) shows that the DD model contains seven parameters that must be extracted: .
Equation (12) is modified under OC conditions ( to
Under SC conditions (, Equation (12) is modified to
Equation (12) is expressed at the MPP ( as
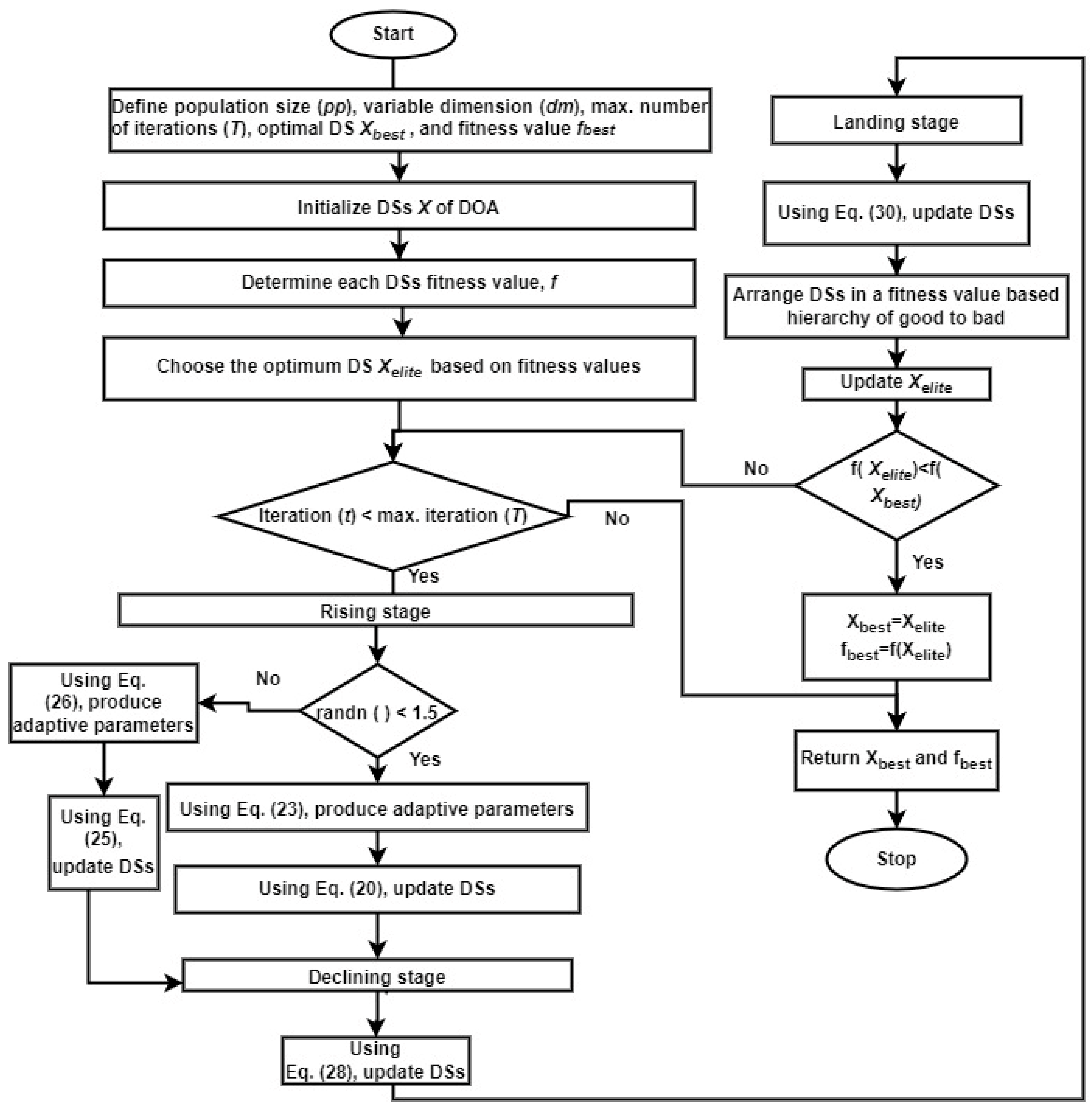
3. Dandelion Optimisation Algorithm
Recently, Zhao et al. [39] proposed a new bio-inspired swarm intelligence OA based on the flight modes of dandelion seeds (DSs) called the DOA. Dandelion is one of the plants that uses wind to spread its seeds. The two main parameters that influence the dispersal of dandelion seeds are wind velocity and climate. A seed’s ability to fly long or short distances depends on the wind speed. The ability of DSs to fly and the likelihood that they will spread to neighbouring or distant areas are both influenced by the weather. The three phases that DSs go through are listed below.
- When a DS is in the rising stage, a vortex is created above it, and it rises due to a pulling force under windy and bright conditions. In contrast, when it is raining, no eddies are above the seeds. In this situation, only local searches are possible.
- In the landing stage, DSs finally randomly settle in one location under the influence of wind and weather to create new dandelions.
- In the descending stage, once seeds soar up to a given height, they drop continuously.
Dandelions evolve their population by dispersing their seeds to the next generation in three stages.
3.1. Mathematical Formulation of the DOA
This part discusses the mathematical formulas for the DOA. The mathematical formulas for the rising stage with the two types of weather circumstances are presented first, and then the descending stage and landing stage mathematical formulas are examined [39].
3.1.1. Rising Stage
In the DOA, the assumption is made that each DS corresponds to a potential solution and its population is given by
where is the size of the population, and is the variable dimension.
The individual position is defined as
where ; r1 is the arbitrary number between 0 and 1; UPB is the upper bound; LOB is the lower bound of the given problem and is represented as
At the time of initialisation, the DOA considers the individual with the highest fitness value to be the first elite, which is roughly regarded as the best situation for the DS to grow. By using the minimum value as an illustration, the equation of the first elite, , is given by
where find( ) refers to two equal-value indices.
DSs in the rising stage must reach a particular height so that they can float apart from their mother plant. DSs rise to various heights depending on the wind velocity, air moisture, etc.
Here, two types if weather circumstances are considered.
Case 1. Wind velocities on a sunny day may be thought of as having a lognormal distribution, . In this case, DSs are dispersed arbitrarily by the wind in the search space. The wind speed affects how high a DS will rise. The higher the dandelion flies and the further the seeds are dispersed, the stronger the wind is. The wind speed changes the vortexes above the DSs, causing them to ascend in a spiral shape.
In this instance, the relevant mathematical expression is
where denotes the position of DS when iteration begins. The location in the search space that is arbitrarily chosen during iteration is represented by . The formula for the location that is created arbitrarily is given by
The mathematical expression for the lognormal distribution , where and , is
where y stands for the standard normal distribution, , and stands for the adaptive parameter used to modify the search step length, and its expression is
The lift component factors of a dandelion caused by the separated eddy action are represented by and . To determine the force acting on the variable dimension, use Equation (24) as a guide.
where is the arbitrary number between .
Case 2. DSs struggle to rise properly with the wind on rainy days due to air resistance, humidity, and other reasons. Since DSs are being used in this situation in the local community, the relevant mathematical equation is
where k controls the dandelion’s local search domain and the domain’s size is determined using Equation (26)
Finally, the mathematical representation of DSs in rising stage is
where is the maximum number of iterations and is the arbitrary value that follows the standard normal distribution.
3.1.2. Descending Stage
The DOA likewise places a strong emphasis on exploration at this step. DSs rise up to a given distance and then slowly begin to drop. Brownian motion is used in the DOA to mimic the path of a dandelion as it moves. In the process of iterative updating, it is simple for the individual to go through additional search communities since Brownian motion follows a normal distribution with each update. The average position data after the rising stage are used to indicate the steadiness of the dandelion’s fall. This encourages the population’s overall growth toward promising conditions.
The mathematical representation of DSs in the descending stage is
where is the Brownian motion and it is an arbitrary number from the standard normal distribution, and is population’s average position in the th iteration; its equation is
3.1.3. Landing Stage
The DOA concentrates on exploitation in this section. The DS chooses where to fall at random based on the previous two steps. Hopefully, the algorithm reaches the global optimal solution as the iterations advance gradually. The optimal option is the approximate location where dandelion seeds would survive most easily. Search agents use the expert knowledge of the current elite to their advantage in their local communities in order to precisely converge to the global optimum. Eventually, population evolution leads to the discovery of the global optimal solution. The mathematical representation of DSs in the landing stage is
where denotes the DSs’ optimal placement in the th iteration, , and is the function of Levy flight; its expression is
where , , and are the arbitrary numbers between , and .
Table 2.
Pseudo code of DOA.
Figure 3.
Flow chart representation of DOA algorithm.
4. Formulation of the Optimisation Problem
The objective of PV module parameter estimation is the accurate estimation of the characteristics. The majority of publications just aim for MPP accuracy. SC, OC, and MPP are the three points that this paper mainly concentrates on. It is important to reduce errors at these three locations. The total of the squares of the three errors is the net error and the proposed optimisation algorithm is designed to reduce this error [18,23,24,27].
In the case of the SD model, the error at the OC point is
The error at the SC point is
The error at the MPP is
The net error is
In the case of the DD model, the error at the OC point is
The error at the h point is
The error at the MPP is
The net error is
5. Procedural Steps for PV Module Parameter Estimation
The following are the steps that describe how to calculate solar PV module parameters using the applied algorithm:
- Step 1:
- Step 2:
- Verify the maximum iteration count before moving on to the next stages. If not, go to step 7.
- Step 3:
- Utilizing Equations (1)–(15), take into account the SD and DD models for the solar PV module under consideration.
- Step 4:
- Use Equations (16)–(31) to implement the suggested DOA for the research subject under consideration.
- Step 5:
- Reduce the net error given by Equations (35) and (39) for steps 3 and 4 for each iteration.
- Step 6:
- Count up the iterations and go on to step 2.
- Step 7:
- Completely analyse various solar PV modules and determine the best values for equivalent circuit parameters.
6. Results and Analysis
Using SD and DD models, the current magnitudes under various operating situations have been mathematically modelled. The producers of the PV modules offer the actual data for these values for each PV model variant. To illustrate the effectiveness of the suggested DOA, monocrystalline SF430M, polycrystalline SG350P, and thin-film Shell ST40 panels are taken into consideration. By comparing the values of the mathematical model and the data set, the error magnitude is determined. The DOA is used in this paper to reduce the overall error. The DOA evaluates 30 search agents across 500 iterations using a MATLAB environment. The following SD and DD models are used to illustrate the effectiveness of the entire system. Datasheet parameters of various PV panels are given by Table 3 and parameter constraints of SD and DD models are given by Table 4.
Table 3.
Datasheet parameters of various PV panels.
Table 3.
Datasheet parameters of various PV panels.
| Monocrystalline SF430M [40] | Polycrystalline SG350P [41] | Thin Film Shell ST40 [42] | |
|---|---|---|---|
| 41.2 V | 38.7 V | 16.60 V | |
| 10.44 A | 9.05 A | 2.41 A | |
| 49.4 V | 47.22 V | 23.30 V | |
| 11.06 A | 9.68 A | 2.68 A | |
| Temperature coefficient of | −0.37%/°C | −0.39%/°C | −0.6%/°C |
| Temperature coefficient of | −0.28%/°C | −0.28%/°C | −0.1%/°C |
| Temperature coefficient of | 0.042%/°C | 0.042%/°C | 0.00035%/°C |
| 72 | 72 | 36 |
Table 4.
Parameter constraints of SD and DD models.
Table 4.
Parameter constraints of SD and DD models.
| SD Model | DD Model | UPB | LOB |
|---|---|---|---|
| 2 | 0.5 | ||
| 1 | 0.001 | ||
| 200 | 50 | ||
| - | 10−12 | ||
6.1. Parameter Estimation for SD Model of Various PV Panels
Monocrystalline SF430M, polycrystalline SG350P and thin-film Shell ST40 PV panels are used for parameter estimation. Table 5, Table 6 and Table 7 list the SD model’s optimal parameters throughout 30 runs, and Figure 4, Figure 5 and Figure 6 display the simulation’s findings. Out of five parameters in the SD model, three are optimised using the DOA, whereas the other two are derived using the resulting analytical equations.
Table 5.
SD model of monocrystalline SF430M PV panel’s optimal estimated parameters using DOA and analytical method.
Table 6.
SD model of polycrystalline SG350P PV panel’s optimal estimated parameters using DOA and analytical method.
Table 7.
SD model of thin-film Shell ST40 PV panel’s optimal estimated parameters using DOA and analytical method.
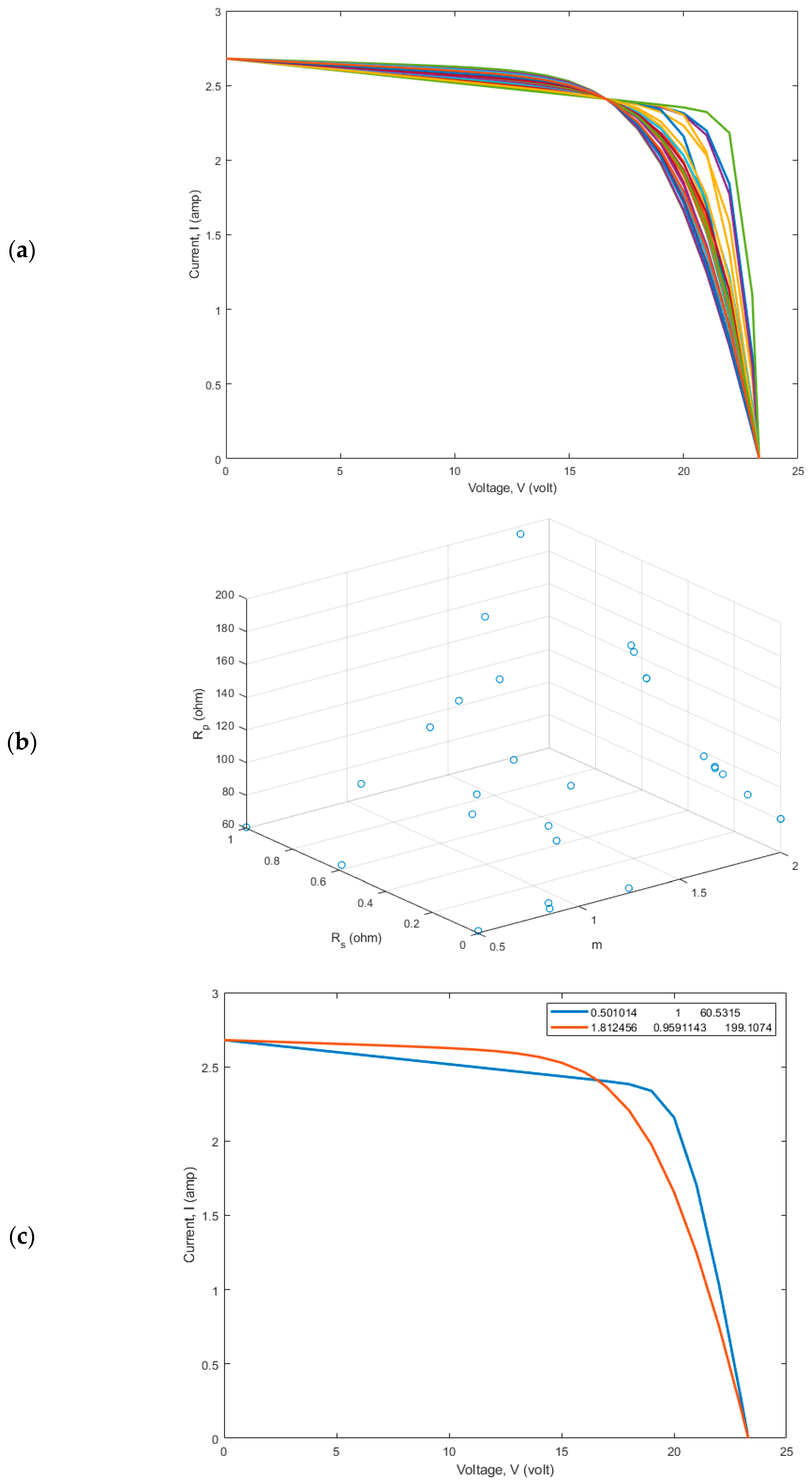
Monocrystalline SF430M
Figure 4.
Simulation findings of parameter extraction of SD with monocrystalline SF430M PV panel’s (a) characteristics, (b) optimal solution set, and (c) characteristics with maximum and .
Figure 4.
Simulation findings of parameter extraction of SD with monocrystalline SF430M PV panel’s (a) characteristics, (b) optimal solution set, and (c) characteristics with maximum and .

Polycrystalline SG350P
Figure 5.
Simulation findings of parameter extraction of SD with Polycrystalline SG350P PV panel’s (a) characteristics, (b) optimal solution set, and (c) characteristics with maximum and .
Figure 5.
Simulation findings of parameter extraction of SD with Polycrystalline SG350P PV panel’s (a) characteristics, (b) optimal solution set, and (c) characteristics with maximum and .

Thin film Shell ST40 PV
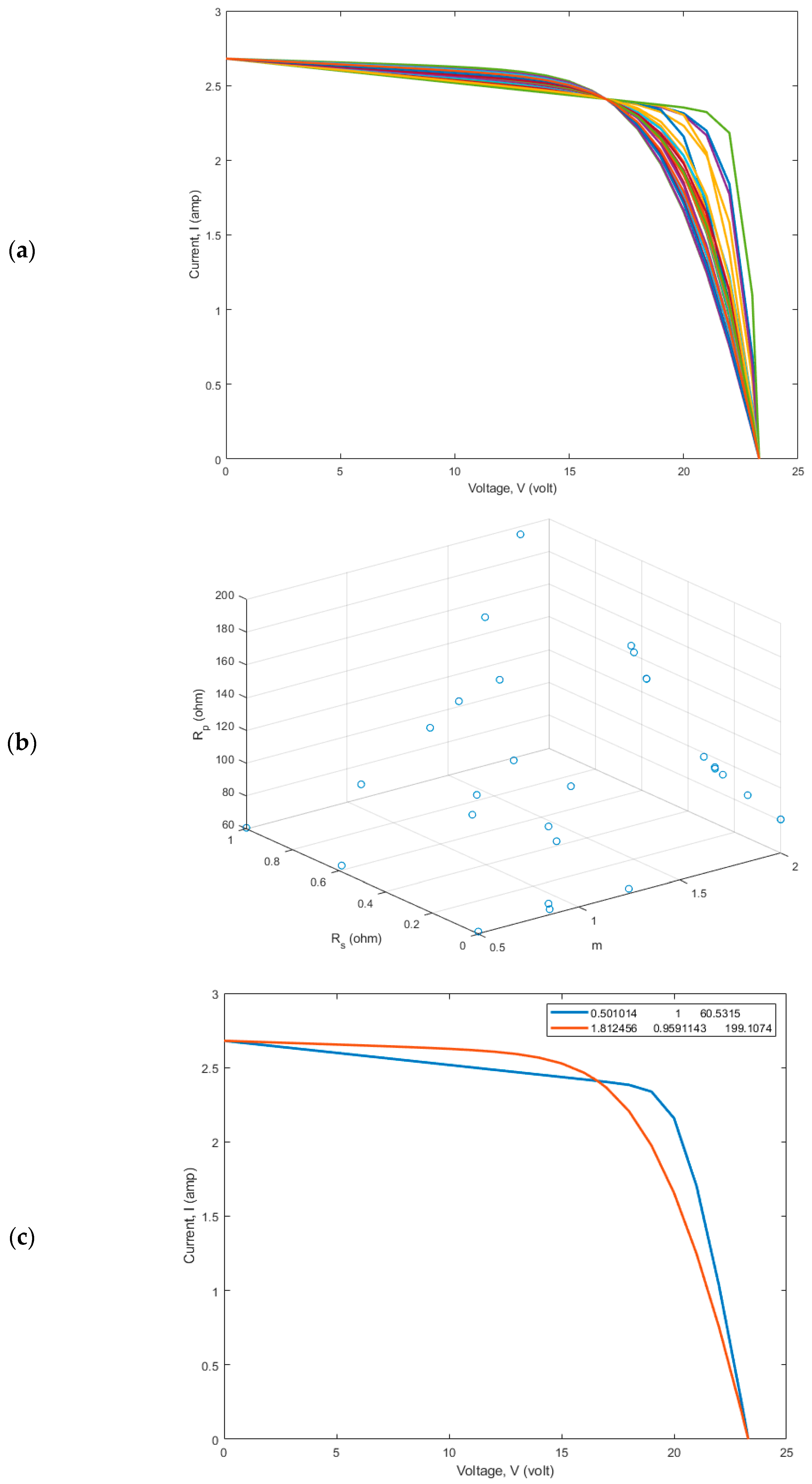
Figure 6.
Simulation findings of parameter extraction of SD with thin-film Shell ST40PV panel’s (a) characteristics, (b) optimal solution set, and (c) characteristics with maximum and .
Figure 6.
Simulation findings of parameter extraction of SD with thin-film Shell ST40PV panel’s (a) characteristics, (b) optimal solution set, and (c) characteristics with maximum and .

6.2. Parameter Estimation for DD Model of Various PV Panels
For parameter estimation of the DD model, monocrystalline SF430M, polycrystalline SG350P, and thin film Shell ST40 PV panels are taken into consideration. Table 8, Table 9 and Table 10 list the various PV module parameters for the DD model that were taken from 30 runs, and Figure 7, Figure 8 and Figure 9 show the simulation results. Two parameters are determined analytically and five parameters are optimised using the DOA method in the DD model of the monocrystalline SF430M, polycrystalline SG350P and thin-film Shell ST40 PV panels.
Table 8.
DD model of monocrystalline SF430M PV panel’s optimal estimated parameters using DOA and analytical method.
Table 9.
DD model of polycrystalline SG350P PV panel’s optimal estimated parameters using DOA and analytical method.
Table 10.
DD model of thin-film Shell ST40 PV panel’s optimal estimated parameters using DOA and analytical method.
Monocrystalline SF430M
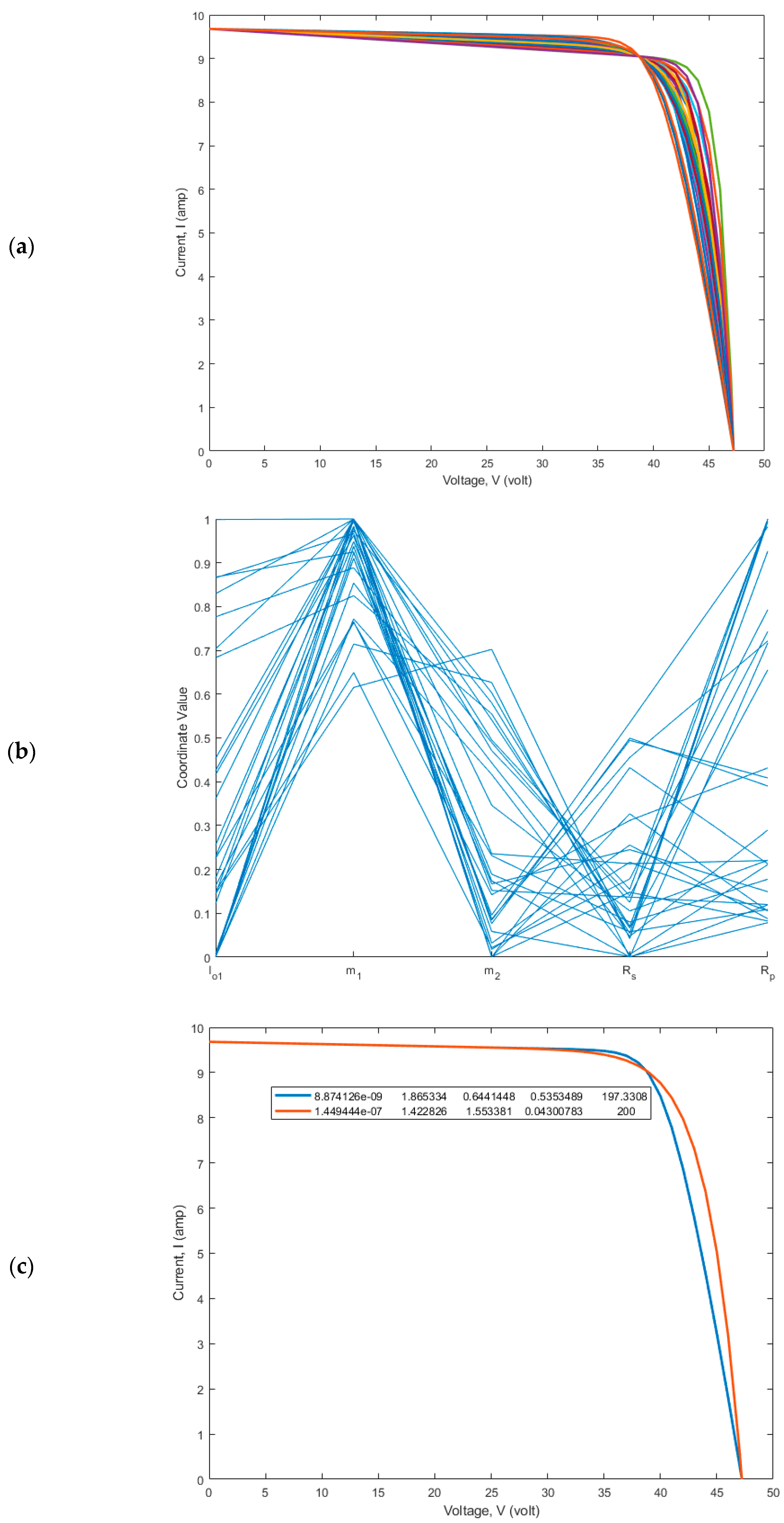
Figure 7.
Simulation findings of parameter extraction of DD with monocrystalline SF430M PV panel: (a) characteristics, (b) scatter plot, and (c) characteristics with maximum and .
Figure 7.
Simulation findings of parameter extraction of DD with monocrystalline SF430M PV panel: (a) characteristics, (b) scatter plot, and (c) characteristics with maximum and .

Polycrystalline SG350P
Figure 8.
Simulation findings of parameter extraction of DD with polycrystalline SG350P PV panel: (a) characteristics, (b) scatter plot, and (c) characteristics with maximum and .
Figure 8.
Simulation findings of parameter extraction of DD with polycrystalline SG350P PV panel: (a) characteristics, (b) scatter plot, and (c) characteristics with maximum and .

Thin-film Shell ST40 PV
Figure 9.
Simulation findings of parameter extraction of DD with thin-film Shell ST40PV panel: (a) characteristics, (b) scatter plot, and (c) characteristics with maximum and .
Figure 9.
Simulation findings of parameter extraction of DD with thin-film Shell ST40PV panel: (a) characteristics, (b) scatter plot, and (c) characteristics with maximum and .

From Figure 4a, Figure 5a, Figure 6a, Figure 7a, Figure 8a and Figure 9a of various PV panels, we can observe that all 30 characteristics pass through three locations, which is the primary factor taken into account while designing the objective function. The error at three locations is almost negligible (), but in most of the investigations, the error is only considered at the MPP. As a result, all 30 runs produce essentially identical characteristics with various conceivable parameter extractions. Figure 4b, Figure 5b, Figure 6b, Figure 7b, Figure 8b and Figure 9b of the various PV panels show the optimal solution set scatter plots. The optimal solutions, or curves, obtained in each run are owed to various optimised parameters in the specified search space boundaries since the suggested algorithm is metaheuristic. Figure 4c, Figure 5c, Figure 6c, Figure 7c, Figure 8c and Figure 9c of the various PV panels show the characteristics with the maximum and . The slope of the curve at the OC and SC points is constrained by the values derived for the and . It is clear from the data that the two curves that have the highest values of and meet the main requirements by passing through all three crucial points of the features.
It is clear from the simulation results of the SD and DD models of various PV panels that the parameters estimated using the suggested DOA method ensure the accuracy of the characteristics and that the three points acquired are in accordance with those in the datasheet.
Furthermore, Figure 10 displays the convergence curves of the SD and DD models of different PV panels, which are displayed using the optimal solution from 30 different studies conducted over 500 iterations. Clearly, the DOA achieved a quick convergence speed on each of the PV models.
Figure 10.
Convergence curves for SD and DD models of various PV panels.
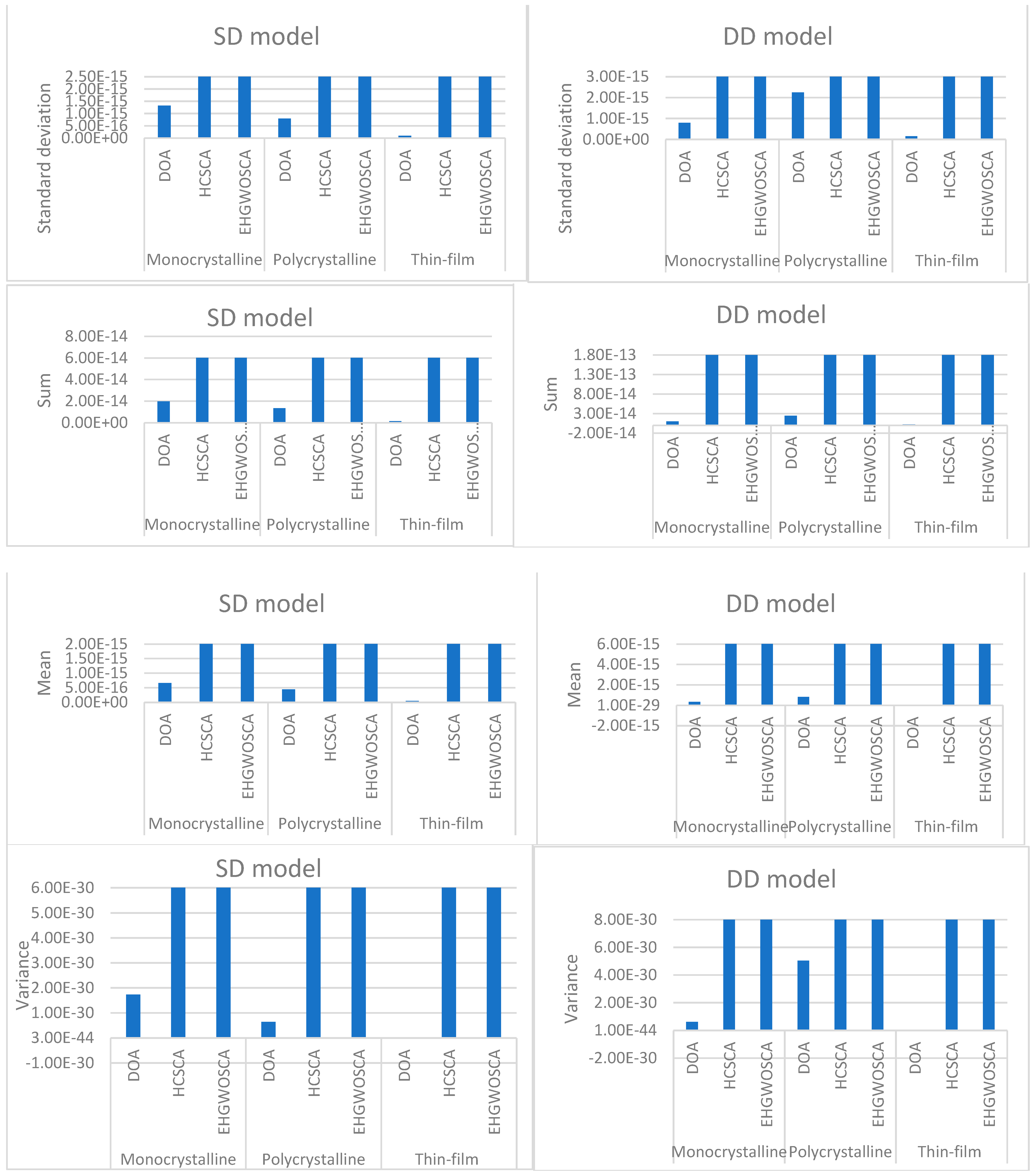
In addition, a statistical evaluation of SD and DD models using the DOA in terms of standard deviation, sum, mean, and variance is presented in Table 11 and Figure 11 and compared with the HCSCA [5] and EHGWOSCA [6] algorithms. From Table 11 and Figure 11, we can observe that the standard deviation, sum, mean, and variance of the various PV panels using the DOA are lower compared to those of the other two hybrid algorithms. Therefore, we can conclude that the solar parameters obtained using the DOA are more accurate compared with the those obtained using the other two algorithms.
Table 11.
Statistical evaluation of SD and DD models.
Figure 11.
Statistical analysis curves for SD and DD models of various PV panels.
7. Conclusions
A novel bio-inspired swarm-intelligence OA called the DOA has been proposed in this paper for extracting the parameters of SD and DD models of monocrystalline SF430M, polycrystalline SG350P, and thin-film Shell ST40 PV panels. In both SD and DD models, two parameters were calculated using an analytical approach, and the remaining parameters were obtained using the DOA. By reducing the objective function, the effectiveness of the suggested technique was assessed. The major findings of the proposed work are as follows:
- The DOA yields more accurate results in over 30 trials with the specified error function as the objective function.
- The simulation findings show that the parameters estimated provide curves that pass through all three important points with approximately a 10e-22 error.
- A statistical evaluation of SD and DD models using the DOA has been performed and they have been compared with two hybrid OAs. From the statistical analysis, we can observe that the standard deviation, sum, mean, and variance of various PV panels using the DOA are lower compared with those using the other two hybrid OAs.
- The results show that the suggested algorithm produced adequate performance characteristics and that its practical ie was recommended.
Therefore, finally we conclude that the DOA has demonstrated to be a successful method of parameter estimation. By enhancing the suggested algorithm’s performance with cutting-edge learning techniques, its application can also be expanded to the future parameter estimation of triple-diode PV panels.
Author Contributions
Conceptualisation, methodology, and software, T.C. and R.D.; formal analysis and investigation, R.I.V. and Ł.K.; writing—review and editing, T.C., K.S. and R.D.; funding acquisition, Ł.K. All authors have read and agreed to the published version of the manuscript.
Funding
This research was funded by the Polish Government, grant number 0212/SBAD/0594.
Institutional Review Board Statement
Not applicable.
Informed Consent Statement
Not applicable.
Data Availability Statement
Not applicable.
Conflicts of Interest
The authors declare no conflict of interest.
References
- Esmaeili Shayan, M.; Najafi, G.; Ghobadian, B.; Gorjian, S.; Mazlan, M. Sustainable Design of a Near-Zero-Emissions Building Assisted by a Smart Hybrid Renewable Microgrid. Int. J. Renew. Energy Dev. 2022, 11, 471–480. [Google Scholar] [CrossRef]
- Esmaeili Shayan, M.; Najafi, G.; Esmaeili Shayan, S. Microgrids Energy Management System Based on Renewable Energy. Amirkabir J. Mech. Eng. 2023, 55, 1–10. [Google Scholar]
- Esmaeili Shayan, M.; Najafi, G.; Ghobadian, B.; Gorjian, S.; Mamat, R.; Fairusham Ghazali, M. Multi-microgrid optimization and energy management under boost voltage converter with Markov prediction chain and dynamic decision algorithm. Renew. Energy 2022, 201, 179–189. [Google Scholar] [CrossRef]
- Esmaeili Shayan, M.; Najafi, G.; Ghobadian, B.; Gorjian, S.; Mazlan, M.; Samami, M.; Shabanzadeh, A. Flexible Photovoltaic System on Non-Conventional Surfaces: A Techno-Economic Analysis. Sustainability 2022, 14, 3566. [Google Scholar] [CrossRef]
- Vandrasi, R.K.; Kumar, B.S.; Devarapalli, R. Solar photo voltaic module parameter extraction using a novel Hybrid Chimp-Sine Cosine Algorithm. Energy Sources Part A Recovery Util. Environ. Eff. 2022, 1–20. [Google Scholar] [CrossRef]
- Devarapalli, R.; Bathina, V.R.; Al-Durra, A. Optimal parameter assessment of Solar Photovoltaic module equivalent circuit using a novel enhanced hybrid GWO-SCA algorithm. Energy Rep. 2022, 8, 12282–12301. [Google Scholar] [CrossRef]
- Jordehi, A.R. Parameter estimation of solar photovoltaic (PV) cells: A review. Renew. Sustain. Energy Rev. 2016, 61, 354–371. [Google Scholar] [CrossRef]
- Bathina, V.R.; Devarapalli, R.; Malik, H.; Bali, S.K.; García Márquez, F.P.; Chiranjeevi, T. Wind integrated power system to reduce emission: An application of bat algorithm. J. Intell. Fuzzy Syst. 2022, 42, 1041–1049. [Google Scholar] [CrossRef]
- Chiranjeevi, T.; Gupta, U.K. Ideal parameter distribution in renewable integrated rapid charging electric vehicle station. Energy Sources Part A Recovery Util. Environ. Eff. 2023, 45, 888–904. [Google Scholar] [CrossRef]
- Knypiński, Ł.; Kuroczycki, S.; Marquez, F.P.G. Minimization of Torque Ripple in the Brushless DC Motor Using Constrained Cuckoo Search Algorithm. Electronics 2021, 10, 2299. [Google Scholar] [CrossRef]
- Jervase, J.A.; Bourdoucen, H.; Al-Lawati, A. Solar cell parameter extraction using genetic algorithms. Meas. Sci. Technol. 2001, 12, 1922. [Google Scholar] [CrossRef]
- Ye, M.; Wang, X.; Xu, Y. Parameter extraction of solar cells using particle swarm optimization. J. Appl. Phys. 2009, 105, 094502. [Google Scholar] [CrossRef]
- Bisht, R.; Sikander, A. A novel way of parameter estimation of solar photovoltaic system. COMPEL—Int. J. Comput. Math. Electr. Electron. Eng. 2022, 41, 471–498. [Google Scholar] [CrossRef]
- Naraharisetti, J.N.L.; Devarapalli, R.; Bathina, V. Parameter extraction of solar photovoltaic module by using a novel hybrid marine predators—Success history based adaptive differential evolution algorithm. Energy Sources Part A Recovery Util. Environ. Eff. 2020, 1–23. [Google Scholar] [CrossRef]
- Chen, X.; Yu, K. Hybridizing cuckoo search algorithm with biogeography-based optimization for estimating photovoltaic model parameters. Sol. Energy 2019, 180, 192–206. [Google Scholar] [CrossRef]
- AlHajri, M.; El-Naggar, K.; AlRashidi, M.; Al-Othman, A. Optimal extraction of solar cell parameters using pattern search. Renew. Energy 2012, 44, 238–245. [Google Scholar] [CrossRef]
- Sharma, A.; Dasgotra, A.; Tiwari, S.K.; Sharma, A.; Jately, V.; Azzopardi, B. Parameter Extraction of Photovoltaic Module Using Tunicate Swarm Algorithm. Electronics 2021, 10, 878. [Google Scholar] [CrossRef]
- Biswas, P.P.; Suganthan, P.N.; Wu, G.; Amaratunga, G.A.J. Parameter estimation of solar cells using datasheet information with the application of an adaptive differential evolution algorithm. Renew. Energy 2019, 132, 425–438. [Google Scholar] [CrossRef]
- Derick, M.; Rani, C.; Rajesh, M.; Farrag, M.; Wang, Y.; Busawon, K. An improved optimization technique for estimation of solar photovoltaic parameters. Sol. Energy 2017, 157, 116–124. [Google Scholar] [CrossRef]
- Repalle, N.B.; Sarala, P.; Mihet-Popa, L.; Kotha, S.R.; Rajeswaran, N. Implementation of a Novel Tabu Search Optimization Algorithm to Extract Parasitic Parameters of Solar Panel. Energies 2022, 15, 4515. [Google Scholar] [CrossRef]
- Singh, A.; Sharma, A.; Rajput, S.; Mondal, A.K.; Bose, A.; Ram, M. Parameter Extraction of Solar Module Using the Sooty Tern Optimization Algorithm. Electronics 2022, 11, 564. [Google Scholar] [CrossRef]
- Guo, L.; Meng, Z.; Sun, Y.; Wang, L. Parameter identification and sensitivity analysis of solar cell models with cat swarm optimization algorithm. Energy Convers. Manag. 2016, 108, 520–528. [Google Scholar] [CrossRef]
- Montoya, O.D.; Ramírez-Vanegas, C.A.; Grisales-Norena, L.F. Parametric estimation in photovoltaic modules using the crow search algorithm. Int. J. Electr. Comput. Eng. 2022, 12, 82–91. [Google Scholar] [CrossRef]
- Saxena, A.; Sharma, A.; Shekhawat, S. Parameter extraction of solar cell using intelligent grey wolf optimizer. Evol. Intell. 2022, 15, 167–183. [Google Scholar] [CrossRef]
- Louzazni, M.; Khouya, A.; Amechnoue, K.; Gandelli, A.; Mussetta, M.; Crăciunescu, A. Metaheuristic Algorithm for Photovoltaic Parameters: Comparative Study and Prediction with a Firefly Algorithm. Appl. Sci. 2018, 8, 339. [Google Scholar] [CrossRef]
- Oliva, D.; Cuevas, E.; Pajares, G. Parameter identification of solar cells using artificial bee colony optimization. Energy 2014, 72, 93–102. [Google Scholar] [CrossRef]
- Houssein, E.H.; Nageh, G.; Elaziz, M.A.; Younis, E. An efficient Equilibrium Optimizer for parameters identification of photovoltaic modules. PeerJ Comput. Sci. 2021, 7, e708. [Google Scholar] [CrossRef] [PubMed]
- Kashefi, H.; Sadegheih, A.; Mostafaeipour, A.; Mohammadpour Omran, M. Parameter identification of solar cells and fuel cell using improved social spider algorithm. COMPEL—Int. J. Comput. Math. Electr. Electron. Eng. 2021, 40, 142–172. [Google Scholar] [CrossRef]
- Abdel-Basset, M.; Mohamed, R.; El-Fergany, A.; Askar, S.S.; Abouhawwash, M. Efficient Ranking-Based Whale Optimizer for Parameter Extraction of Three-Diode Photovoltaic Model: Analysis and Validations. Energies 2021, 14, 3729. [Google Scholar] [CrossRef]
- Shaheen, A.; El-Sehiemy, R.; El-Fergany, A.; Ginidi, A. Representations of solar photovoltaic triple-diode models using artificial hummingbird optimizer. Energy Sources Part A Recovery Util. Environ. Eff. 2022, 44, 8787–8810. [Google Scholar] [CrossRef]
- Al-Shamma’a, A.A.; Omotoso, H.O.; Alturki, F.A.; Farh, H.M.H.; Alkuhayli, A.; Alsharabi, K.; Noman, A.M. Parameter Estimation of Photovoltaic Cell/Modules Using Bonobo Optimizer. Energies 2022, 15, 140. [Google Scholar] [CrossRef]
- Gao, X.; Cui, Y.; Hu, J.; Xu, G.; Yu, Y. Lambert W-function based exact representation for double diode model of solar cells: Comparison on fitness and parameter extraction. Energy Convers. Manag. 2016, 127, 443–460. [Google Scholar] [CrossRef]
- Chegaar, M.; Ouennoughi, Z.; Hoffmann, A. A new method for evaluating illuminated solar cell parameters. Solid-State Electron. 2001, 45, 293–296. [Google Scholar] [CrossRef]
- Reddy, S.S.; Yammani, C. Parameter extraction of single-diode photovoltaic module using experimental current–voltage data. Int. J. Circuit Theory Appl. 2021, 50, 753–771. [Google Scholar] [CrossRef]
- Louzazni, M.; Aroudam, E.H. An analytical mathematical modeling to extract the parameters of solar cell from implicit equation to explicit form. Appl. Sol. Energy 2015, 51, 165–171. [Google Scholar] [CrossRef]
- Muhammadsharif, F.F. A New Simplified Method for Efficient Extraction of Solar Cells and Modules Parameters from Datasheet Information. Silicon 2022, 14, 3059–3067. [Google Scholar] [CrossRef]
- Gong, C.; Han, S.; Li, X.; Zhao, L.; Liu, X. A new dandelion algorithm and optimization for extreme learning machine. J. Exp. Theor. Artif. Intell. 2018, 30, 39–52. [Google Scholar] [CrossRef]
- Li, X.; Han, S.; Zhao, L.; Gong, C.; Liu, X. New dandelion algorithm optimizes extreme learning machine for biomedical classification problems. Comput. Intell. Neurosci. 2017, 2017, 4523754. [Google Scholar] [CrossRef] [PubMed]
- Zhao, S.; Zhang, T.; Ma, S.; Chen, M. Dandelion Optimizer: A nature-inspired metaheuristic algorithm for engineering applications. Eng. Appl. Artif. Intell. 2022, 114, 105075. [Google Scholar] [CrossRef]
- SF430M Peimar Monocrystalline Solar Panels Datasheet. Available online: https://www.enfsolar.com/pv/panel-datasheet/crystalline/51664 (accessed on 1 July 2022).
- SG350P Peimar Polycrystalline Solar Panels Datasheet. Available online: https://www.enfsolar.com/pv/panel-datasheet/crystalline/51661 (accessed on 1 July 2022).
- Soon, J.J.; Low, K.S. Photovoltaic Model Identification Using Particle Swarm Optimization with Inverse Barrier Constraint. IEEE Trans. Power Electron. 2012, 27, 3975–3983. [Google Scholar] [CrossRef]
Disclaimer/Publisher’s Note: The statements, opinions and data contained in all publications are solely those of the individual author(s) and contributor(s) and not of MDPI and/or the editor(s). MDPI and/or the editor(s) disclaim responsibility for any injury to people or property resulting from any ideas, methods, instructions or products referred to in the content. |
© 2023 by the authors. Licensee MDPI, Basel, Switzerland. This article is an open access article distributed under the terms and conditions of the Creative Commons Attribution (CC BY) license (https://creativecommons.org/licenses/by/4.0/).




