Electric Field Distribution on Zinc Oxide Pills in Gapless Surge Arresters Using Finite Element Method and Evolutionary Optimization Algorithms in HVAC Systems
Abstract
1. Introduction
2. Proposing Objective Function and Constraints of Problem
2.1. Objective Function of Problem
2.2. Constraints of Problem
3. Program Description and Model Evaluation
3.1. Electric Field Calculation
- (1)
- The maximum mesh size and curvature mesh size;
- (2)
- The growth rate for the mesh size (away from small details);
- (3)
- The resolution of narrow regions;
- (4)
- Geometry scaling before meshing;
- (5)
- The distribution of mesh elements on selected edges;
- (6)
- Determination of which domains of the geometry to mesh;
- (7)
- Mesh element type for each domain (available only for subdomains in 2D).
3.2. Optimization Algorithms
3.2.1. Differential Evolution Algorithm
- (a)
- Initial population generation
- (b)
- Mutation
- (c)
- Crossover
- (d)
- Selection
- (e)
- Stop conditions
3.2.2. Particle Swarm Algorithm
3.3. Problem Steps
| P1 | P2 | P3 | P4 | P5 |
3.4. Constraint Handling
4. Numerical Results
4.1. The Studied System
- Based on 40% tolerance of the true values;
- No overlap in the control area with surrounding areas.
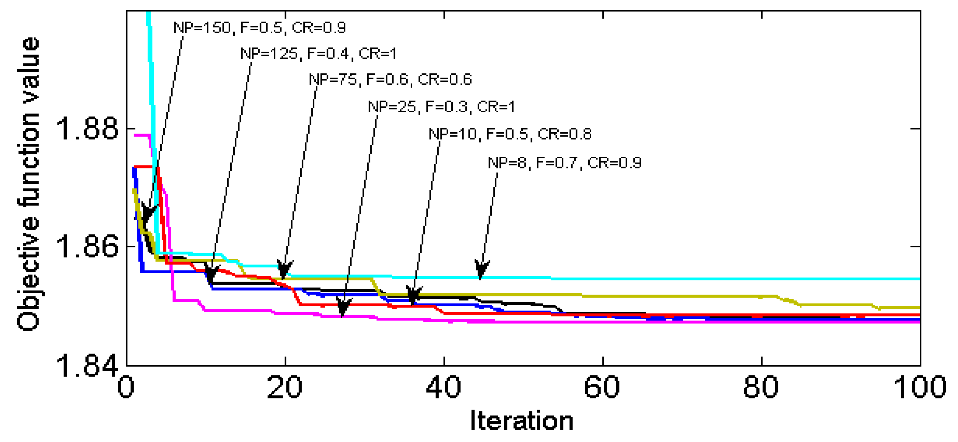
4.2. Sensitivity Analysis
5. Conclusions
Author Contributions
Funding
Institutional Review Board Statement
Informed Consent Statement
Data Availability Statement
Acknowledgments
Conflicts of Interest
References
- CIGRE Working Group. Use of Surge Arresters for Lightning Protection of Transmission Lines; Technical Brochure 440; CIGRE: Paris, France, 2010. [Google Scholar]
- Topcagic, Z.; Tsovilis, T.E. Varistor electrical properties: Microstructural effects. In Encyclopedia of Materials: Technical Ceramics Glasses; Pomeroy, M., Ed.; Elsevier: Amsterdam, The Netherlands, 2021; Volume 3, pp. 254–271. [Google Scholar]
- Alti, N.; Bayadi, A.; Belhouchet, K. Grading ring parameters optimization for 220 kV metal-oxide arrester using 3D-FEM method and bat algorithm. IET Sci. Meas. Technol. 2021, 15, 14–24. [Google Scholar] [CrossRef]
- Miguel, P.M. Comparison of surge arrester models. IEEE Trans. Power Deliv. 2013, 29, 21–28. [Google Scholar] [CrossRef]
- Vita, V.; Christodoulou, C.A. Comparison of ANN and finite element analysis simulation software for the calculation of the electric field around metal oxide surge arresters. Electr. Power Syst. Res. 2016, 133, 87–92. [Google Scholar] [CrossRef]
- Illias, H.A.; Abd Halim, S.; Abu Bakar, A.H.; Mokhlis, H. Determination of surge arrester discharge energy using finite element analysis method. IET Sci. Meas. Technol. 2015, 9, 693–701. [Google Scholar] [CrossRef]
- Brito, V.S.; Lira, G.R.; Costa, E.G.; Maia, M.J. A wide-range model for metal-oxide surge arrester. IEEE Trans. Power Deliv. 2017, 33, 102–109. [Google Scholar] [CrossRef]
- ELT_294_2; MO Surge Arresters-Metal Oxide Resistors and Surge Arresters for Emerging System Conditions. CIGRE: Paris, France, 2017.
- Hippler, C.; Leu, C. ISH2015_583; Analysis of Power Dissipation by Variation of Frequency on High Voltage Metal Oxide Arrester Block. CIGRE: Paris, France, 2015.
- Aghaebrahimi, M.R.; Ghayedi, M.; Shariatinasab, R.; Gholami, R. A more uniform electric field distribution on surge arresters through the optimal design of spacer and fiber glass layer. Res. J. Appl. Sci. Eng. Technol. 2013, 5, 3604–3609. [Google Scholar] [CrossRef]
- Aghaebrahimi, M.R.; Shariatinasab, R.; Ghayedi, M. Optimal design of grading ring of surge arresters due to electric field distribution. In Proceedings of the 2012 16th IEEE Mediterranean Electrotechnical Conference, Yasmine Hammamet, Tunisia, 25–28 March 2012; pp. 548–550. [Google Scholar]
- Farin, G. Curves and Surfaces for Computer-Aided Geometric Design: A Practical Guide; Elsevier: Amsterdam, The Netherlands, 2014. [Google Scholar]
- Srikant, A.; Pradhan, S.C. Simulation of air breakdown mechanism using different electrodes. Doctoral Dissertation, National Institute of Technology, Rourkela, India, 2011. [Google Scholar]
- Valavala, M. Measurement of air breakdown voltage using standard sphere gap method. J. Electr. Eng. 2013, 13, 6. [Google Scholar]
- The COMSOL Group. Available online: https://www.comsol.com (accessed on 22 June 2019).
- Volat, C. Comparison between the use of surface and volume conductivity to compute potential distribution along an insulator in presence of a thin conductive layer. In Proceedings of the Electrical Insulation Conference (EIC), Ottawa, ON, Canada, 2–5 June 2013. [Google Scholar]
- Ramkumar, A.; Rajesh, K. Generation expansion planning with wind power plant using DE algorithm. Mater. Today Proc. 2021, 80, 2109–2114. [Google Scholar] [CrossRef]
- Kumari, B.A.; Vaisakh, K. Integration of solar and flexible resources into expected security cost with dynamic optimal power flow problem using a Novel DE algorithm. Renew. Energy Focus 2022, 42, 48–69. [Google Scholar] [CrossRef]
- Kumari, B.A.; Vaisakh, K. Ensuring expected security cost with flexible resources using modified DE algorithm based dynamic optimal power flow. Appl. Soft Comput. 2022, 124, 108991. [Google Scholar] [CrossRef]
- Gao, S.; Wang, K.; Tao, S.; Jin, T.; Dai, H.; Cheng, J. A state-of-the-art differential evolution algorithm for parameter estimation of solar photovoltaic models. Energy Convers. Manag. 2021, 230, 113784. [Google Scholar] [CrossRef]
- Thanh, P.N.; Cho, M.Y.; Da, T.N. Insulator leakage current prediction using surface spark discharge data and particle swarm optimization based neural network. Electr. Power Syst. Res. 2021, 191, 106888. [Google Scholar] [CrossRef]
- Fahimi, N.; Sezavar, H.R.; Akmal, A.A.S. Dynamic modeling of flashover of polymer insulators under polluted conditions based on HGA-PSO algorithm. Electr. Power Syst. Res. 2022, 205, 107728. [Google Scholar] [CrossRef]
- Storn, R.; Price, K. Differential Evolution—A Simple and Efficient Adaptive Scheme for Global Optimization over Continuous Spaces; International Computer Science Institute: Berkeley, CA, USA, 1995. [Google Scholar]
- Coelho, L.S.; Mariani, V.C. Combining of chaotic differential evolution and quadratic programming for economic dispatch optimization with valve-point effect. IEEE Trans. Power Syst. 2006, 21, 989–996. [Google Scholar] [CrossRef]
- Chiou, J.P. A variable scaling hybrid differential evolution for solving large-scale power dispatch problems. IET Gener. Transm. Distrib. 2009, 3, 154–163. [Google Scholar] [CrossRef]
- Bhattacharya, A.; Chattopadhyay, P.K. Hybrid differential evolution with biogeography-based optimization for solution of economic load dispatch. IEEE Trans. Power Syst. 2010, 25, 1955–1964. [Google Scholar] [CrossRef]
- Duvvuru, N.; Swarup, K.S. A hybrid interior point assisted differential evolution algorithm for economic dispatch. IEEE Trans. Power Syst. 2011, 26, 541–549. [Google Scholar] [CrossRef]
- Bessedik, S.A.; Hadi, H. Prediction of flashover voltage of insulators using least squares support vector machine with particle swarm optimization. Elsevier Electr. Power Syst. Res. 2013, 104, 87–92. [Google Scholar] [CrossRef]
- Kahla, S.; Soufi, Y.; Sedraoui, M.; Bechouat, M. On-Off control based particle swarm optimization for maximum power point tracking of wind turbine equipped by DFIG connected to the grid with energy storage. Int. J. Hydrog. Energy 2015, 40, 13749–13758, in press, corrected proof. [Google Scholar] [CrossRef]
- Hinrichsen, V. Metal-Oxide Surge Arresters in High-Voltage Power Systems; Fundamentals; Siemens AG: Erlangen, Germany, 2012. [Google Scholar]
- Christodoulou, C.A.; Vita, V.; Mladenov, V.; Ekonomou, L. On the computation of the voltage distribution along the non-linear resistor of gapless metal oxide surge arresters. Energies 2018, 11, 3046. [Google Scholar] [CrossRef]








| Relative Permittivity | ZnO Pills | Porcelain Housing | Spacer | FRP | Electrode | Grading Ring |
|---|---|---|---|---|---|---|
| εr | 150 | 3.6 | 103 | 4.6 | 106 | 103 |
| Parameter | Min (mm) | Max (mm) | Init. (mm) | Optim. DE (mm) | Optim. PSO (mm) |
|---|---|---|---|---|---|
| P1 | 861 | 1539 | 900 | 1163.6 | 1351.6 |
| P2 | 861 | 1539 | 900 | 1228.1 | 1392.1 |
| P3 | 40 | 79 | 50 | 71.3 | 73.0 |
| P4 | 221 | 500 | 260 | 221.1 | 344.6 |
| P5 | 500 | 1539 | 830 | 1091.6 | 860.2 |
| NP | F | CR | Objective Function Value | Iteration |
|---|---|---|---|---|
| 150 | 0.5 | 0.9 | 1.8476 | 100 |
| 125 | 0.4 | 1 | 1.8476 | 100 |
| 75 | 0.6 | 0.6 | 1.8495 | 100 |
| 25 | 0.3 | 1 | 1.8472 | 100 |
| 10 | 0.5 | 0.8 | 1.8483 | 100 |
| 8 | 0.7 | 0.9 | 1.8543 | 100 |
| NP | F | CR | Objective Function Value | Iteration |
|---|---|---|---|---|
| 150 | 1 | 1 | 1.8477 | 100 |
| 135 | 0.8 | 1 | 1.8493 | 100 |
| 100 | 0.9 | 0.9 | 1.8476 | 100 |
| 95 | 0.9 | 0.7 | 1.8488 | 100 |
| 35 | 0.7 | 0.8 | 1.8520 | 100 |
| 9 | 1 | 0.9 | 1.8595 | 100 |
Disclaimer/Publisher’s Note: The statements, opinions and data contained in all publications are solely those of the individual author(s) and contributor(s) and not of MDPI and/or the editor(s). MDPI and/or the editor(s) disclaim responsibility for any injury to people or property resulting from any ideas, methods, instructions or products referred to in the content. |
© 2023 by the authors. Licensee MDPI, Basel, Switzerland. This article is an open access article distributed under the terms and conditions of the Creative Commons Attribution (CC BY) license (https://creativecommons.org/licenses/by/4.0/).
Share and Cite
Ghayedi, M.; Jasinski, M. Electric Field Distribution on Zinc Oxide Pills in Gapless Surge Arresters Using Finite Element Method and Evolutionary Optimization Algorithms in HVAC Systems. Sustainability 2023, 15, 7892. https://doi.org/10.3390/su15107892
Ghayedi M, Jasinski M. Electric Field Distribution on Zinc Oxide Pills in Gapless Surge Arresters Using Finite Element Method and Evolutionary Optimization Algorithms in HVAC Systems. Sustainability. 2023; 15(10):7892. https://doi.org/10.3390/su15107892
Chicago/Turabian StyleGhayedi, Morteza, and Michal Jasinski. 2023. "Electric Field Distribution on Zinc Oxide Pills in Gapless Surge Arresters Using Finite Element Method and Evolutionary Optimization Algorithms in HVAC Systems" Sustainability 15, no. 10: 7892. https://doi.org/10.3390/su15107892
APA StyleGhayedi, M., & Jasinski, M. (2023). Electric Field Distribution on Zinc Oxide Pills in Gapless Surge Arresters Using Finite Element Method and Evolutionary Optimization Algorithms in HVAC Systems. Sustainability, 15(10), 7892. https://doi.org/10.3390/su15107892

