Abstract
In this study, to explore the co-opetition (competition–cooperation) relationship between urban subway lines, we constructed three directed weighted subway models of a competition network, cooperation network, and co-opetition network based on the Space R model of a complex network. Taking Wuhan, China, as the research area, we established a Wuhan subway co-opetition network and analyzed the network’s complex characteristics. Through the analysis, we found that the competition network, cooperation network, and co-opetition network are all scale-free networks that present the characteristics of a high-clustering and short-distance small-world network. The co-opetition relationship between subway lines was mostly of a conventional type (55.56%) and unrelated type (41.67%), with only cooperative-dominant types found among the conventional types. The co-opetition effect between lines in the long-term network increased from 7.616 to 15.17, and the relationship strength of the competition and cooperation between lines increased significantly. The competition effect deflection angle of all subway lines in the network was found to be smaller than the cooperation effect declination angle. Additionally, all lines had a significant role in cooperation within the network, and cooperation played a dominant role in the co-opetition relationship.
1. Introduction
Green commuting refers to a relatively environmentally friendly method of travel centered on carbon emission reductions and carbon neutrality that achieves a sustainable use of environmental resources and sustainable development of transportation. The development of the automobile industry has created convenience for human beings but has also led to energy consumption and air pollution. Urban rail transit is recognized as “green transportation” with low energy consumption and less pollution. This form of transit is a golden key to solve the “urban disease” and is of great significance for the sustainable development of cities. The subway plays an important role in urban rail transit. As a comfortable, healthy, and convenient mode of transportation for passengers that achieves efficient, fast, and safe transportation, urban rail transit has gradually become the backbone of the city. This type of transit also has the inherent advantages of minimal environmental pollution, no fear of congestion, and weather tolerance. This type of transit has also become the first choice of travel for many citizens.
Wuhan is located in Hubei Province, China, with a total area of 8569.15 square kilometers and a permanent population of 136.489 million. Wuhan Metro’s first line, Line 1, opened on 28 July 2004, making Wuhan become the first city in central and western China to open rail transit. As of December 2021, there were 11 operating lines of Wuhan Metro, including Line 1, Line 2, Line 3, Line 4, Line 5, Line 6, Line 7, Line 8, Line 11, Line 16, and Yangluo Line, with a total of 282 stations and operating mileage of 435 km. As of 8 April 2019, the average daily passenger volume of Wuhan rail transit exceeded 3 million, the highest daily passenger volume reached 4.4562 million, and the passenger flow intensity was 15,000–18,000 passengers/km, accounting for the proportion of the city’s public transport passenger volume. Additionally, the sharing rate of cross-river passenger flow exceeded 40%. By the end of 2019, Wuhan’s rail transit passenger volume was 1229.03 million, a year-on-year growth of 17.7%, accounting for 46.2% of public transport passenger volume.
Each line has a limited service area and transportation capacity, and cooperation between lines can meet the travel needs of residents as much as possible. At the same time, when the travel demand of urban residents is certain, there is inevitable competition between routes. Current studies of urban subway lines ignore the cooperative and competitive relationships between lines. Firstly, the overlap between the lines is too high, although to a certain extent to improve the convenience of travel, excessive competition has also caused a waste of resources. Secondly, certain regional lines are sparse, with insufficient cooperation between lines and inconvenient interchanges for passengers. Therefore, the modeling of urban subway lines based on co-opetition and the study of complex characteristics are of great significance in terms of theory and application. Firstly, mastering the mechanism of competition among subway lines can provide a scientific reference basis for reasonable subway line layout and operation management. Secondly, cooperation among subway lines is conducive to passenger interchange, and appropriate competition among lines is conducive to improving the service quality of subway lines. Finally, there are co-opetition relationships among various modes of transportation in urban public transportation, and the study of co-opetition relationships among subway lines can provide reference for the study of co-opetition relationships among these modes of transportation, which is conducive to the systematic planning of various modes of public transportation and promotes the development of integrated urban public transportation.
Competition and cooperation are common phenomena in social economic activities. Cooperation is an activity in which different objects work together and cooperate to achieve the same goal [1]. Competition refers to the contest between different objects for limited resources in order to maximize their own interests [2]. Transferring between different bus lines, subway lines, and subway and bus lines to achieve the goal of reaching a destination represents a typical cooperation process between public transportation lines. The presence of bus lines with identical or similar directions and competition for limited passenger flow between rail transit and conventional buses to maximize the revenue of their own line operations [3] represents a typical process of competition between lines.
Subway stations are the nodes where travelers enter the subway network. Here, the interweaving of subway station service areas, the fit between line alignment, and traveler OD are the bases for co-opetition between lines. The subway network is the backbone of the urban public transportation network, with the advantages of high capacity, speed, and reliability. The construction of subways has a long lead time and high cost and relatively little room for rerouting and adjustment after the line is completed. Therefore, the planning of subway lines needs to be coordinated between lines to reduce vicious competition between subway lines and avoid wasting transportation resources.
2. Research Status
2.1. Co-Opetition Relationship of Urban Traffic
The concept of co-opetition was first proposed by Nalebuff et al. [4], who noted that firms showed a cooperative relationship when building a market together and a competitive relationship in the allocation of market resources, which marks the beginning of co-opetition theory. This relationship of both cooperation and competition among enterprises is called co-opetition. Subsequently, many scholars have conducted significant research on the causes of co-opetition relationships, the laws of co-opetition evolution, co-opetition types, and co-opetition results, making the co-opetition theory widely used [5].
In a study on the co-opetition relationship in a transportation network, Miller et al. [6] established a travel mode choice model with the objective function of maximizing travel benefits, obtaining a linear competition relationship. Buliung et al. [7] modeled the interrelationships between multiple trips in a single day, providing a theoretical basis for the co-opetition relationships of travel modes. With the popularity of in-vehicle GPS devices and the emergence of public transportation smart cards, Wang et al. [8] used taxi trajectories and subway swipe data to conduct an in-depth analysis of the relationship between taxis and subways. The authors constructed a relationship model between subways and taxis and divided the relationship into three categories: competition, extension, and supplementation. Inspired by Wang, Ye et al. [9] applied this relationship model to Shanghai and calculated the tendencies of passengers at several subway stations who favored taxis or subways. Ye found that rental trips on commercial land increased during peak hours but decreased during off-peak hours. Jiang et al. [10] made some improvements based on the relationship model of Wang using the negative binomial regression model to analyze the specific factors that lead to relationship changes between taxis and subways. However, the quality of subway service was not considered at this time.
In research on co-opetition relationship modeling, Wang [11] used the cross-elastic demand theory to establish a competition model between rail transit and conventional bus. Based on the perspective of cooperation, the author proposed an algorithm for capacity matching and related optimization measures. Situ et al. [12] divided the associated routes in a bus network into cooperative routes and competing routes, thus establishing a competing route departure time optimization model with the objective of maximizing the total vehicle non-synchronous arrival time. To explore the changes in public transportation travel distance before and after the bike-sharing boom and to identify the co-opetition impact of bike-sharing on public transportation, Jin et al. [13] established a model of the impact of bike-sharing on public transportation services based on the histogram movement method from the perspective of travel distance. Taking Harbin, China, as an example, Song et al. [14] used MNL modeling to describe the choices of residents’ public transport modes and established a utility function by using generalized travel costs and subjective feelings to establish a co-opetition model between various bus modes. Song also designed a simulation experiment for the model.
2.2. Research on Complex Characteristics
In the 18th century, the mathematician Euler’s study of the “Seven Bridges of Königsberg Problem” pioneered the discipline of complex networks. Since the 20th century, many scholars have launched tentative explorations of complex network theory and its applications. Zhang et al. [15] used complex networks to model and analyze the subway networks in Beijing, Shanghai, and other cities. It was found that the clustering coefficient of the subway network was basically zero and that the average path length was large. The cascading failure model was used to simulate the fault propagation characteristics of a subway network. Geng et al. [16] constructed a complex network of a subway in Shenzhen, China. After analyzing the network structure, they found that the Shenzhen subway network has scale-free and small-world properties; however, its robustness needs to be improved compared to the Tokyo subway network. Both competition and cooperation are common among network nodes, and the use of complex networks can accurately describe co-opetition relationships in the network. Inoue et al. [17], Chmiel et al. [18], and Ferber et al. [19] described the characteristics of a Japanese patent network, Polish company network, urban bus network, etc., by using this dichotomy. There are more studies on bus network cooperation, mainly using the bipartite graph method to construct the Space P [19] and Space R [20] of the bus network, where Space R defines bus lines as network nodes. If two lines have overlapping stations, an edge is connected, which reflects the cooperative relationship between the lines. Hu et al. [21,22,23] conducted a large amount of research on the complex network of an urban bus. Using the complex network theory, he constructed a directed Space P representation model of the bus network and analyzed the co-opetition situation and network characteristics of the conventional bus network in Harbin through simulation experiments.
For the study of complex characteristics, Luo et al. [24] used the Space L and Space P methods to construct a Beijing bus–subway composite network and its sub-network. Luo empirically studied the basic topological properties of the bus–subway network and compared the network characteristics of the composite network and its sub-networks. From an overall perspective, he analyzed the characteristics and transfer status of an urban public transportation network. Li et al. [25] took the New York rail transit network as the research object, adopted the complex network theory and Space L method, considered the possible existence of multiple lines between two stations, constructed a weighted network model of New York rail transit, and analyzed the characteristics of the New York rail transit network using the relevant characteristic indexes of a complex network. Based on the perspective of a complex network, Ye et al. [26] constructed a Chinese high-speed railway geographic network and traffic network. By analyzing the complex characteristics of this network, the author found that the distribution of a high-speed railway geographic network obeys the power-law distribution and shows scale-free network characteristics. Taking the expressway network of Hubei Province in China as the research object, Zheng et al. [27] selected the Space P method to establish the network topology model. The author analyzed the static characteristics, centrality, and robustness of the highway network, and the results showed that the network structure of the Hubei province highway has obvious small-world network characteristics.
There are many empirical studies on co-opetition networks in various fields; such studies mainly focus on the competition of passenger flow resources and the transfer between lines. Studies on transportation networks (public transportation networks and railway transportation networks) are usually limited to an analysis of cooperation characteristics based on transfer hub nodes and a qualitative description of the mechanism of co-opetition in the network. Current research ignores the integrity and systemic nature of the network, which is not sufficient to reflect the complex co-opetition relationship in the subway network. Today, research on the co-opetition and complex characteristics of bus networks is relatively complete. However, the characteristics of the co-opetition relationship in subway networks need to be studied empirically, and further research is needed to quantify such co-opetition.
The present article aimed to study the co-opetition relationship between lines by analyzing the layout between lines. Based on the complex network theory, we established a directionally weighted urban subway co-opetition network and analyzed its complex characteristics. The research will provide guidance for the planning and construction of subway networks and guide travelers to transition towards public transportation.
3. Co-Opetition Relationship Analysis of Conventional Public Transport Networks
3.1. Type Division of Co-Opetition Relationship
The layouts of subway stations determine the route alignment. The coincidence of the station service areas and the line direction determine the co-opetition relationship between the lines. In Figure 1, subway Line 1 connects via stations A, B, and C, while Line 2 connects via stations F, D, and E. The service areas of C and E do not overlap, so C and E are called a non-overlapping station pair. The service areas of B and D are partially overlapped, so B and D are called a partially overlapped station pair. A and F have the same service area, so A and F are called an overlapping station pair.
Figure 1.
Subway station pair classification.
The passenger flow of the overlapping area between the station service areas of A/F and B/D will be influenced by the personal desires of the travelers and the level of service of the route. When making a choice, a competitive state between Line 1 and Line 2 is created. Assuming that other conditions are the same, the competition intensity of the above three pairs of stations is (C E) < (B D) < (A F). If the passenger flow in the station C service area reaches the station E service area, it will transfer between the A/F station pair or B/D station pair, which will make the two lines cooperate.
Diversification of the station pair service area overlap makes for a diverse co-opetition relationship between subway lines. Figure 2 shows the layout pattern of different competing relationships between lines. In Figure 2a, Line 1 passes through stations A, B, and C, and Line 2 passes through stations D, E, and F. Here, the station service areas are completely coincident, and there is a complete competitive relationship between the lines. The two routes in Figure 2b are the same as those in Figure 2a, but the service areas of the station pair do not overlap, and there is no co-opetition relationship between the two routes. In Figure 2c, there is a station pair with a single service area overlap between the two lines: Line 1 passes through stations A, B, and C, and Line 2 passes through stations D, B, and F. Taking the passenger flow from station A to station F as an example, the travelers need to transfer from Line 1 to Line 2 at station B, so there is direct cooperation between the lines. In Figure 2d (Line 1 through stations A, B, and C and Line 2 through stations D, E, and F), there are two station pairs with overlapping service areas. These two lines compete for passenger flow from B to C (E to F), while travelers from A to D need to transfer at the B/E point to complete their travel, so there is a relationship of co-opetition between the two lines.
Figure 2.
Layout patterns of different co-opetition routes.
3.2. Measurement of Co-Opetition Intensity
If there is a direct cooperation relationship between the lines, there is at least a pair of partially or completely coincident station pairs between the two lines. If there is a competitive relationship between the lines, there are at least two pairs of partially coincident station pairs or completely coincident station pairs or a partially coincident station pair and a completely coincident station pair between the two lines. This article introduces the line competition index, cooperation index, and co-opetition index to measure the co-opetition relationship intensity between lines.
3.2.1. Competition Index
Figure 3 shows Line 1 via A, B, C, and D; Line 2 via H, E, F, and G; Line 3 via K, I, and L; Line 4 via K, J, and L; Line 5 via L and M, where B/E and D/G/I/J are completely overlapping station pairs, and C/F is a partially overlapping station pair. Taking Line 1 and Line 2 as an example, these two lines compete for passenger flow from B/E to C/F, C/F to D/G/I/J, and B/E to D/G/I/J.
Figure 3.
Schematic diagram of lines’ co-opetition.
Before introducing the concept of the competition index, we first introduce the concepts of “competition intensity” and “competition potential degree”. The competition intensity between lines is affected by the overlapping area between overlapping station pairs. We established a measurement model of “competition intensity” in Formula (1). “Competition potential degree” is the maximum “competition intensity” of the two lines. When the stations of two lines coincide completely, the two subway lines are in a state of complete passenger flow competition. The measurement model of “competition potential degree” is shown in Formula (2). The competition index is the ratio of “competition intensity” to “competition potential degree”, and the calculation formula is shown in Formula (3).
where is the competition intensity of line i and line j; x and y are the number of overlapping station pairs between line i and line j, respectively; is the set of overlapping station pairs; , , and , respectively, represent the overlapping area of overlapping station pairs x and y and the service area of the station. The service radius of the subway station in this area is 1 km [24]:
where is the competition potential degree of line i and line j, and u and v are the number of stations of the two subway lines. When the two lines are completely overlapped, the competition intensity between the lines is the largest, which is the competition potential degree:
where is the competition index of line i and line j, and the other parameters are the same as above.
3.2.2. Cooperation Index
In Figure 3, when a traveler reaches station M from station A, one of the accessible paths is to take Line 1 and transfer to Line 3 at station D. After reaching station L, the passenger can transfer to Line 5 to reach station M. There is no overlapping station pair between Line 1 and Line 5, but there is a cooperative relationship that is indirect and represents a potential cooperative relationship in the network. This article, however, only studies a direct cooperation relationship. Similar to the above, before introducing the concept of the cooperation index, the concepts of “cooperation intensity” and “cooperation potential degree” are first introduced. The cooperation intensity between two subway lines is related to the number and overlapping area of station pairs. The greater the number of overlapping station pairs, the more places that can used for transferring by non-overlapping station pairs of the two lines. At the same time, the larger the overlapping area of overlapping station pairs, the stronger the convenience of transfer. The measurement model of “cooperation intensity” is shown in Formula (4). “Cooperation potential degree” is the maximum “cooperation intensity” that the two lines can reach. When the overlapping station pairs of the two subway lines are completely overlapping station pairs, the cooperation intensity is only related to the number of overlapping station pairs. At this time, the cooperation intensity is a function of the number of overlapping stations, as shown in Formula (5). “Cooperation potential degree” is the maximum value of . In this article, the maximum point is called the optimal cooperation overlap station logarithm , and the formula of cooperation potential is shown in Formula (6). The cooperation index is the ratio of “cooperation intensity” to “cooperation potential degree”, as shown in Formula (7):
where is the cooperation intensity of line i and line j; x is the number of overlapping station pairs between two lines; is the set of overlapping station pairs; and respectively represent the overlapping area of overlapping station pairs x and the service area of the station; u, v, and n are the number of stations on the two subway lines and the number of overlapping stations, respectively; is the cooperation index of line i and line j.
3.2.3. Co-Opetition Index
The co-opetition index is the comprehensive effect value of co-opetition intensity between lines. Figure 4 is a two-dimensional structure diagram of the co-opetition relationship of the lines. The transformation relationship between the co-opetition index , cooperation index , and competition index is shown in Formulas (8) and (9):
where α is the deflection angle of lines for the competitive relationship between line i and line j. Here, the larger the value of α, the stronger the competitive relationship between the two lines. β is the deflection angle of lines for the cooperative relationship between line i and line j. Here, the larger the value of β, the stronger the cooperative relationship between the two lines.
Figure 4.
Two-dimensional structure diagram of subway line co-opetition.
Figure 5 is a two-dimensional structural diagram of the co-opetition relationship effect of the subway line. The co-opetition effect index is a comprehensive effect value of the competition and cooperation intensity of a subway line i in the network. The transformation relationship among node cooperation index intensity , node competition index intensity , and co-opetition effect index is shown in Formulas (10)–(11). Here, γ is the competition effect deflection angle of line i in the network. When the co-opetition effect index is constant, the larger λ is, the stronger the competition effect of the line will be. Further, ω is the cooperation effect declination angle of line i in the network. When the co-opetition effect index is constant, the larger ω is, and the stronger the cooperation effect of the line will be. When γ = 0, the line only plays a cooperative effect in the network; when ω = 0, the line only plays a competitive effect in the network:
Figure 5.
Two-dimensional structure diagram of subway line co-opetition effect.
4. Modeling of Urban Subway Co-Opetition Network
4.1. Conventional Subway Co-Opetition Network Based on Space R
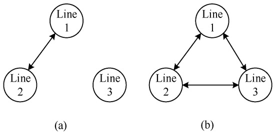
A Space R network is a common complex network model, also known as a Space C network, which can be used to describe the transfer relationship between lines [21]. For the subway network layout shown in Figure 6 (Line 1 via C, A, and D; Line 2 via C, B, and D; Line 3 via E and M), the network structure based on Space R is shown in Figure 7a, where the node representing Line 3 is isolated. The network structure of Space R when considering the walkable transfer between D and E is shown in Figure 7b, indicating that all the nodes of the three lines are connected.
Figure 6.
Geometric layout of the subway line.
Figure 7.
Space R network. (a) The network structure based on Space R; (b) The network structure of Space R when considering the walkable transfer between D and E.
In this article, graph theory [28] is used to describe the urban subway co-opetition network as Gcom = <V,Ecom> and Gcoo = <V,Ecoo>, where Gcom is the competition network, Gcoo is the cooperation network, V = {L1、L2…LN} is the line set, N is the number of lines, Ecom = {、…} is the edge weight of the competition network, and Ecoo = {、…} is the edge weight of the cooperation network. The urban subway co-opetition network is a directed weighted network.
4.2. Complexity Metrics of the Co-Opetition Network
In this article, the complexity indexes of the co-opetition network are established as shown in Table 1, and the related parameter explanations are shown in Table 2.
Table 1.
Formulas for calculating static indexes.
Table 2.
Description of Formula parameters.
5. Case Study
For this study, we selected the subway network of Wuhan as the research object. The subway lines in this network include built lines, lines under construction, and planned lines. The data were obtained from the Gaode map API interface via Python crawling. Based on the above theory, an urban subway co-opetition network in the experimental area was established, and the complex characteristics of the co-opetition network were analyzed. Here, the built subway network is called a “current network”, whereas the network under construction and planning is called a “long-term network”.
5.1. Characteristic Analysis of Competitive Network and Cooperative Network
The intensity of the competition and cooperation network was counted, and the cooperation and competition intensity of each line was obtained. The double logarithmic function curve fitting is shown in Figure 8. The statistics of the complex network index parameters are shown in Table 3. The function model is shown in Formula (12). The goodness of fit R2 of the current network is about 0.98 and 0.88. The goodness of fit R2 of the long-term network is about 0.94 and 0.97. This result shows that the competition network and cooperation network of the Wuhan subway are scale-free networks. In Table 3, the diameter of the co-opetition network of the current network is shown to be two, and the clustering coefficients are 0.807 and 0.846. The diameter of the co-opetition network of the long-term network is two, and the clustering coefficients are 0.777 and 0.863, indicating high clustering with short-range small-world network characteristics.
Figure 8.
Cumulative distribution of cooperation and competition index intensity. (a) Node competition index intensity distribution; (b) node cooperation index intensity distribution.
Table 3.
Index parameter statistics of complex networks.
Figure 9 illustrates a matrix diagram of the competition and cooperation intensity between lines. Figure 9(a-1) is the current network competition intensity matrix diagram; Line 1 and Line 6, Line 6 and Line 7, Line 2 and Line 7, Line 4 and Line 8, and Line 6 and Line 8 are the five pairs of subway lines with the largest competition indexes. Figure 9(a-2) is the current network cooperation intensity matrix diagram; Line 2 and Line 8, Line 4 and Line 7, Line 3 and Line 21, Line 1 and Line 8, and Line 7 and Line 8 are the five pairs of subway lines with the largest cooperation indexes, among which the cooperation index of Line 2 and Line 8 is one. Figure 9(b-1) presents a long-term network competition intensity matrix diagram. Here, the competition relationship between the long-term network and the current network lines has changed. The competition intensity between Line 1 and Line 2 is the largest, followed by that of Line 2 and Line 6, Line 4 and Line 12, Line 4 and Line 1, and Line 3 and Line 6. Figure 9(b-2) presents a long-term network cooperation intensity matrix diagram. Here, the cooperation intensity between the lines of the long-term network changed greatly. A total of 15 pairs of lines were found to have a cooperation intensity of one: Line 2 with Line 19, Line 1 with Line 5 and Line 16, Line 7 with Line 10, Line 3 with Line 5 and Line 19, Line 6 with Line 5 and Line 8, Line 12 with Lines 16, 19 and 21, Line 8 with Line 11, Line 10 with Line 21, Line 5 with Line 11, and Line 11 with Line 16.
Figure 9.
Index intensity matrix of cooperation and competition between subway lines. (a-1) Inter-line competition index intensity matrix of the current network; (a-2) inter-line cooperation index intensity matrix of the current network; (b-1) inter-line competition index intensity matrix of the long-term network; (b-2) inter-line co-opetition index intensity matrix of the long-term network.
In the Space R network, the node cooperation index intensity and the node competition index intensity reflect a quantification of the subway line and the co-opetition relationship. Table 4 shows the co-opetition index intensity of the current network and the long-term network. In the current network, Line 3, Line 2, and Line 7 are the three subway lines with the highest cooperation intensity, while Line 6, Line 1, and Line 7 are the three lines with the highest competition intensity. Here, the long-term network presents obvious changes. Line 11, Line 12, and Line 5 are the three subway lines with the highest cooperation intensity, while Line 4, Line 2, and Line 1 are the three lines with the highest competition intensity. As shown in Figure 10, except for the long-term construction of Lines 5, 10, 11, 12, 16, and 19, the cooperation intensity of Line 6, Line 8, and Line 1 is significantly improved. The competition intensity of Line 4, Line 1, Line 2, and Line 3 is also obviously improved, while Line 8 has reduced competition intensity.
Table 4.
Statistics of the subway line cooperation and competition index intensity.
Figure 10.
Index changes of the long-term network.
5.2. Characteristic Analysis of the Co-Opetition Network
Next, the intensity of the co-opetition network was counted, and the co-opetition intensity of each line was obtained. The double logarithmic function curve fitting is shown in Figure 11, and the function model is shown in Formula (13). Here, the goodness of fit R2 of the current network co-opetition is about 0.88, and the goodness of fit R2 of the long-term network competition is about 0.97. This shows that the co-opetition network of the Wuhan subway is a scale-free network. The diameter of the co-opetition network is two, and the clustering coefficients are 0.846 and 0.863, indicating high clustering and short-range small-world network characteristics.
Figure 11.
Distribution of node the co-opetition index intensity.
Figure 12a presents a matrix diagram of the current network co-opetition index intensity. Line 2 and Line 8, Line 4 and Line 7, Line 3 and Line 21, Line 1 and Line 8, and Line 7 and Line 8 are the five pairs of subway lines with large co-opetition indexes, among which the co-opetition index of Line 2 and Line 8 is one. The cooperation index intensity of Line 2 and Line 8 is one, and the competition index intensity is zero.
Figure 12.
Index intensity matrix of co-opetition between subway lines. (a) Inter-line co-opetition index intensity matrix of the current network; (b) inter-line co-opetition index intensity matrix of the long-term network.
Figure 12b presents the long-term network co-opetition intensity matrix diagram. Here, the co-opetition intensity between the lines of the long-term network has changed greatly. Similar to the statistical results of the long-term cooperation network, a total of 15 pairs of lines had a cooperation intensity of one: Line 2 with Line 19; Line 1 with Line 5 and Line 16; Line 7 with Line 10; Line 3 with Line 5 and Line 19; Line 6 with Line 5 and Line 8; Line 12 with Lines 16, 19, and 21; Line 8 with Line 11; Line 10 with Line 21; Line 5 with Line 11; Line 11 with Line 16. The cooperation intensity index of the above line pairs is one, and the competition index intensity is zero.
In the Space R network, the node co-opetition index intensity is the quantification of subway co-opetition relationship. As shown in Table 5, in the current network, Line 3, Line 2, and Line 7 are the three subway lines with the highest co-opetition intensity, with intensity values of 10.223, 8.917, and 8.605 respectively. Here, the long-term network has obvious changes. Line 11, Line 12, and Line 5 are the three subway lines with the highest co-opetition intensities, with intensity values of 18.82, 18.813, and 18.711, respectively.
Table 5.
Statistics of subway line co-opetition index intensity.
The co-opetition index of the line is similar to the ranking of the cooperation index. In the subway network of Wuhan, cooperation plays the leading role in the co-opetition relationship, and the layout of the subway network is relatively reasonable. As shown in Figure 13 and Table 6, we divided the co-opetition relationship between lines into four categories: unrelated type, competitive type only, cooperative type only, and conventional type. The conventional type is divided into a competitive dominant type and cooperative dominant type. The majority of the current network is the conventional type (55.56%) and unrelated type (41.67%), with only 2.47% being cooperative. The majority of long-term networks are the conventional type (59.34%) and unrelated type (24.18%), with only 16.48% being cooperative. There is only a competitive-type relationship between the current network and the long-term network, and there is only a cooperative-dominant relationship in the conventional-type network.
Figure 13.
Scatter chart of competition and cooperation indexes between lines. (a) Scatter chart of competition and cooperation indexes between current network lines; (b) scatter chart of competition and cooperation indexes between long-term network lines.
Table 6.
Classification of co-opetition relationships between lines.
Table 7 shows the subway line statistics of the co-opetition effect index and competition and cooperation effect deflection angles. The competition effect deflection angles of all subway lines in the network are smaller than the cooperation effect deflection angles. Line 4, Line 8, and Line 21 are the subway networks with the largest cooperation deflection angles in the current network and have the strongest cooperation relationships with other networks. Line 8, Line 16, and Line 19 are the subway networks with the largest cooperative deflection angles in the long-term network and have the strongest cooperative relationships with other networks. After Lines 5, 10, 11, 12, 16, and 19 were put into use, the cooperation effect of Line 4 and Line 2 in the current network decreased, and the competition effect increased. The cooperation effect of Line 6 also increased. Overall, the cooperative effect deflection angle of the long-term network was 87.884°, which is slightly higher than the value of 87.325° in the current network. The co-opetition effect between lines increased from 7.616 to 15.17. Therefore, the intensity of co-opetition between the lines increased obviously.
Table 7.
Statistics of the subway line co-opetition effect.
6. Conclusions and Prospects
In this study, based on the complex network theory, we established an urban subway co-opetition network. We selected Wuhan as the experimental area and applied the model, analyzing the complex characteristics of the network and obtaining the following conclusions and prospects.
(1) The cumulative distribution of the competition index intensity of competition network nodes, the cooperation index intensity of cooperation network nodes, and the co-opetition index intensity of co-opetition network nodes in the current network and the long-term network conformed to the double logarithmic function. Moreover, the three networks were scale-free networks and exhibited high-clustering short-distance small-world network characteristics.
(2) Most relationships in the current network and long-term network are the conventional type and unrelated type. There is no solely competitive-type relationship between the current network and the long-term network, and there is only a cooperative-dominant-type relationship in the conventional-type network.
(3) The competition effect deflection angle of all subway lines in the network is smaller than the cooperation effect deflection angle. Here, Line 4, Line 8, and Line 21 presented the largest cooperation deflection angle in the current network and the strongest cooperation relationship with other networks. Line 8, Line 16, and Line 19 had the largest cooperative deflection angle in the long-term network and the strongest cooperative relationship with other networks. The cooperative effect deflection angle of the long-term network was found to be 87.884°, which is slightly higher than 87.325° in the current network. The co-opetition effect between lines was found to increase from 7.616 to 15.17. Thus, the intensity of co-opetition between the lines increased obviously.
The intensity of competition or cooperation between the same subway lines was asymmetrical. Under the same conditions, travelers are more inclined to choose subway lines with a high accessibility, low vehicle loading rates, and high service levels to complete their travels. This result shows that there are two competitive subway lines, with competitive advantages and disadvantages, in a cooperative relationship.
Due to the complexity of passengers’ subway travel behavior and the limited data available, this paper still suffers from the following shortcomings. First of all, this paper only analyzes the co-opetition between subway lines from the level of subway line layout; however, the metrics of subway line operation stage also have an impact on the co-opetition between subway lines, so the co-opetition metric model needs to be further optimized. Secondly, the co-opetition between subway lines changes with time, and the evolutionary law of co-opetition between subway lines is not considered. The difference analysis of competition intensity and cooperation intensity between the two lines will be a focus of our future research. The co-opetition intensity between lines is related to the passenger flow size between competing and cooperating station pairs. With other factors unchanged, the greater the passenger flow, the greater the intensity of competition and cooperation between lines. Therefore, introducing passenger flow data for subway lines into the model will make this research more precise. Analyzing the co-opetition between rail transit, conventional buses, and other multi-modal public transportation modes will also be the focus of future research.
Author Contributions
Conceptualization, Y.P. and M.C.; methodology, Y.P. and M.C.; software, S.F. and D.H.; validation, Y.P. and S.F.; formal analysis, Y.P. and M.C.; investigation, S.F. and D.H.; resources, S.F. and Y.P.; data curation, Y.P., M.C. and S.F.; writing—original draft preparation, Y.P., M.C., S.F. and D.H.; writing—review and editing, Y.P., M.C., S.F. and D.H.; visualization, Y.P., S.F. and D.H.; supervision, Y.P., M.C. and D.H.; project administration, Y.P.; and funding acquisition, S.F. All authors have read and agreed to the published version of the manuscript.
Funding
This work was supported by the National Natural Science Foundation of China (grant no. 71771062).
Institutional Review Board Statement
Not applicable.
Informed Consent Statement
Not applicable.
Data Availability Statement
The data used in the study are available from the corresponding author upon request.
Conflicts of Interest
The authors declare that they have no conflict of interest.
References
- Hoffmann, W.; Lavie, D.; Reuer, J.J.; Shipilov, A. The Interplay of Competition and Cooperation. Strat. Mgmt. J. 2018, 39, 3033–3052. [Google Scholar] [CrossRef]
- Gnyawali, D.R.; Ryan Charleton, T. Nuances in the Interplay of Competition and Cooperation: Towards a Theory of Coopetition. J. Manag. 2018, 44, 2511–2534. [Google Scholar] [CrossRef]
- Wei, J.; Long, K.; Gu, J.; Ju, Q.; Zhu, P. Optimizing Bus Line based on Metro-Bus Integration. Sustainability 2020, 12, 1493. [Google Scholar] [CrossRef]
- Nalebuff, B.J.; Brandenburger, A.; Maulana, A. Co-Opetition; Harper Collins Business: New York, NY, USA, 1996; pp. 3–8. [Google Scholar]
- Liu, H.; Wang, L.W.; Li, Y. Exploring the Frontiers of Co-operation Theory Research. Foreign Econ. Manag. 2009, 31, 1–8+52. [Google Scholar]
- Miller, E.J.; Roorda, M.J.; Carrasco, J.A. A Tour-Based Model of Travel Mode Choice. Transportation 2005, 32, 399–422. [Google Scholar] [CrossRef]
- Buliung, R.N.; Kanaroglou, P.S. Activity–Travel Behaviour Research: Conceptual Issues, State of the Art, and Emerging Perspectives on Behavioural Analysis and Simulation Modelling. Transp. Rev. 2007, 27, 151–187. [Google Scholar] [CrossRef]
- Wang, F.; Ross, C.L. New Potential for Multimodal Connection: Exploring the Relationship between Taxi and Transit in New York City (NYC). Transportation 2019, 46, 1051–1072. [Google Scholar] [CrossRef]
- Ye, Y.; Sun, J.; Luo, J. Analyzing Spatio-Temporal Distribution Pattern and Correlation for Taxi and Metro Ridership in Shanghai. Science 2019, 24, 137–147. [Google Scholar] [CrossRef]
- Jiang, S.; Guan, W.; He, Z.; Yang, L. Exploring the Intermodal Relationship between Taxi and Subway in Beijing, China. J. Adv. Transp. 2018, 2018, 3981845. [Google Scholar] [CrossRef]
- Wang, Y.P. The Co-Operation Between Bus Transit and Rail Transit. Master’s Thesis, Chang’an University, Xi’an, China, 2004. [Google Scholar]
- Situ, B.Q.; Jin, W.Z. Research on Timetable Optimization Model for Transit Network in Cooperation and Competition. J. Highw. Transp. Res. Dev. 2010, 27, 121–126. [Google Scholar]
- Jin, H.; Jin, F.; Wang, J.; Sun, W.; Dong, L. Competition and Cooperation between Shared Bicycles and Public Transit: A Case Study of Beijing. Sustainability 2019, 11, 1323. [Google Scholar] [CrossRef]
- Song, C.J.; Zhao, Y.Y.; Zhang, P. Modeling and Simulation on the Co-operation Relationship of Various Public Transport Modes. Technol. Econ. Areas Commun. 2019, 21, 10–14. [Google Scholar]
- Zhang, T.Y.; Song, R.; Zheng, K. Analysis of Domestic Subway Network Characteristics based on Complex Network Theory. Traffic Inf. Saf. 2012, 30, 50–54. [Google Scholar]
- Geng, D.Y.; Guo, L.L.; Li, B. Comparative Analysis of Shenzhen and Tokyo Metro Systems based on Complex Network Theory. J. Highw. Transp. Res. Dev. 2015, 32, 126–132. [Google Scholar]
- Inoue, H.; Souma, W.; Tamada, S. Spatial Characteristics of Joint Application Networks in Japanese Patents. Phys. A Stat. Mech. Its Appl. 2007, 383, 152–157. [Google Scholar] [CrossRef]
- Chmiel, A.M.; Sienkiewicz, J.; Suchecki, K.; Hołyst, J.A. Networks of Companies and Branches in Poland. Phys. A Stat. Mech. Its Appl. 2007, 383, 134–138. [Google Scholar] [CrossRef][Green Version]
- Ferber, C.; Holovatch, T.; Holovatch, Y.; Palchykov, V. Network Harness: Metropolis Public Transport. Phys. A Stat. Mech. Its Appl. 2007, 380, 585–591. [Google Scholar] [CrossRef]
- Kurant, M.; Thiran, P. Extraction and Analysis of Traffic and Topologies of Transportation Networks. Phys. Rev. E 2006, 74, 36–40. [Google Scholar] [CrossRef]
- Hu, B.Y. Complexities and Co-Operation of Urban Bus Transport Networks. Ph.D. Thesis, Harbin Institute of Technology, Harbin, China, 2017. [Google Scholar]
- Feng, S.M.; Hu, B.Y.; Nie, C.; Shen, X.H.; Ci, Y.S. Empirical Investigation of Topological and Weighted Properties of a Bus Transport Network from China. Chin. Phys. B 2016, 25, 115–121. [Google Scholar] [CrossRef]
- Hu, B.; Feng, S.; Nie, C. Bus Transport Network of Shenyang Considering Competitive and Cooperative Relationship. Phys. A Stat. Mech. Its Appl. 2017, 466, 259–268. [Google Scholar] [CrossRef]
- Luo, Y.; Qian, D.L. Construction of Subway and Bus Transport Networks and Analysis of the Network Topology Characteristics. J. Transp. Syst. Eng. Inf. Technol. 2015, 15, 39–44. [Google Scholar]
- Li, W.D.; Xu, S.K.; Wang, Y.M. Analysis of New York Rail Transit Network Characteristics based on Complex Network. Comput. Mod. 2021, 94–99+116. [Google Scholar]
- Ye, K.H.; Yuan, X. Statistical Analysis of High Speed Railway Network based on Complex Network. Resour. Dev. Mark. 2018, 34, 59–63+98. [Google Scholar]
- Zheng, Y.B.; Cai, H.P.; Lai, W.W.; Liu, G.Y. Characteristics Analysis of Hubei Expressway Network based on Network. J. Chongqing Jiaotong Univ. (Nat. Sci.) 2021, 40, 31–37. [Google Scholar]
- Suo, Q.; Guo, J.L. The Structure and Dynamics of Hypernetworks. Syst. Eng.-Theory Pract. 2017, 37, 720–734. [Google Scholar]
Disclaimer/Publisher’s Note: The statements, opinions and data contained in all publications are solely those of the individual author(s) and contributor(s) and not of MDPI and/or the editor(s). MDPI and/or the editor(s) disclaim responsibility for any injury to people or property resulting from any ideas, methods, instructions or products referred to in the content. |
© 2023 by the authors. Licensee MDPI, Basel, Switzerland. This article is an open access article distributed under the terms and conditions of the Creative Commons Attribution (CC BY) license (https://creativecommons.org/licenses/by/4.0/).












