Experimental Investigation of Water-Retaining and Unsaturated Infiltration Characteristics of Loess Soils Imbued with Microplastics
Abstract
1. Introduction
2. Materials and Test Methods
2.1. Materials
2.2. Test Scheme and Experiment Procedure
- (1)
- Prepare the device and fill the column with loess.
- (2)
- Ensure the rain interval ratio and adjust the rainfall system and the rainfall control system.
- (3)
- Strat the experiment until soil enters the saturated infiltration stage.
- (4)
- Collect data and undertake analysis.
2.3. Device Preparation
3. Results and Discussions
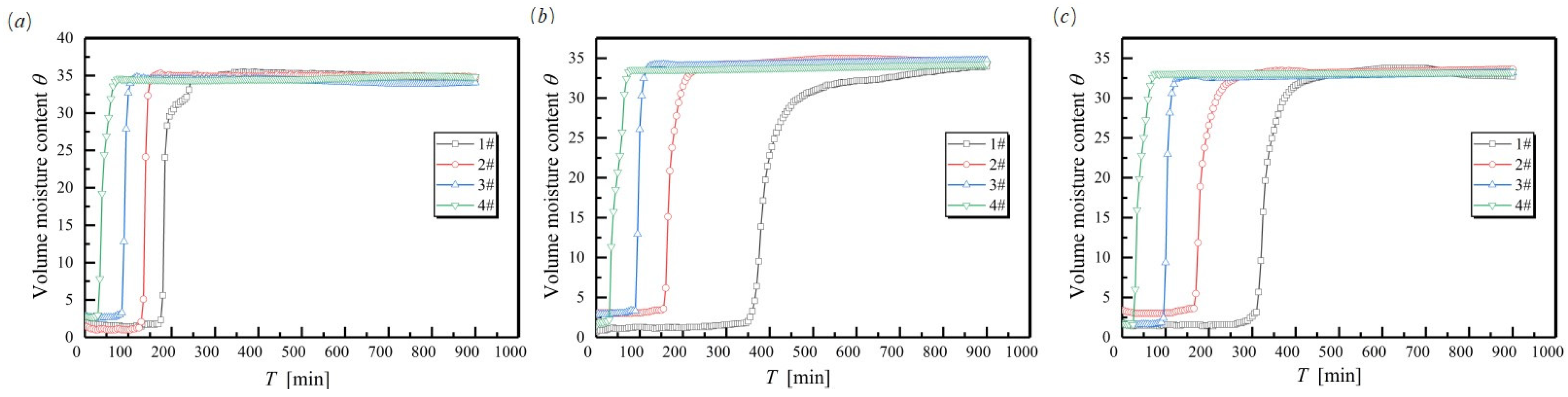
3.1. Effect of Microplastic Contents q on Moisture Transportation
3.2. Effect of Microplastic Particle Size p on Moisture Transportation
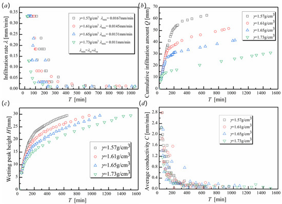
3.3. Effect of Soil Bulk Density γ on Moisture Transportation
3.4. Effect of Rain Interval Ratio i on Moisture Transportation
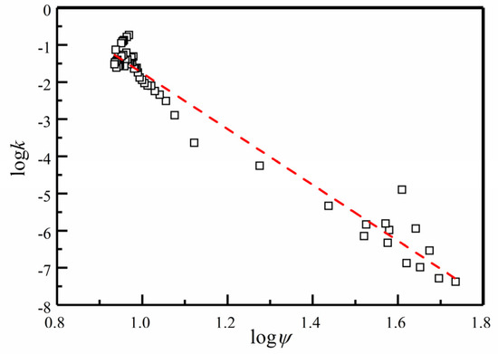
4. Coefficient of Permeability
4.1. Formula Derivation
4.2. Calculation Example
5. Conclusions
Author Contributions
Funding
Institutional Review Board Statement
Informed Consent Statement
Data Availability Statement
Acknowledgments
Conflicts of Interest
Appendix A



References
- Peeken, I.; Primpke, S.; Beyer, B.; Gütermann, J.; Katlein, G.; Krumpen, T.; Bergmann, M.; Hehemann, L.; Gerdts, G. Arctic sea ice is an important temporal sink and means of transport for microplastic. Nat. Commun. 2018, 9, 1505. [Google Scholar] [CrossRef] [PubMed]
- Li, J.; Song, Y.; Cai, Y. Focus topics on microplastics in soil: Analytical methods, occurrence, transport, and ecological risks. Environ. Pollut. 2019, 257, 113570. [Google Scholar] [CrossRef] [PubMed]
- Nizzetto, L.; Futter, M.; Langaas, S. Are Agricultural Soils Dumps for Microplastics of Urban Origin? Environ. Sci. Technol. 2016, 50, 10777–10779. [Google Scholar] [CrossRef]
- Machado, S.A.; Lau, W.C.; Till, J.; Kloas, W.; Lehmann, A. Impacts of microplastics on the soil biophysical environment. Environ. Sci. Technol. 2018, 52, 9656–9665. [Google Scholar] [CrossRef] [PubMed]
- Horton, A.A.; Walton, A.; Spurgeon, D.J.; Lahive, E.; Svendsen, C. Microplastics in freshwater and terrestrial environments: Evaluating the current understanding to identify the knowledge gaps and future research priorities. Sci. Total Environ. 2017, 586, 127–141. [Google Scholar] [CrossRef] [PubMed]
- Zhao, J.M.; Ran, W.; Teng, J.; Liu, Y.L.; Liu, H.; Yin, X.N.; Cao, R.W.; Wang, Q. Microplastic pollution in sediments from the Bohai sea and the Yellow sea, China. Sci. Total Environ. 2018, 640–641, 637–645. [Google Scholar] [CrossRef] [PubMed]
- Peng, G.Y.; Bellerby, R.; Zhang, F.; Sun, X.R.; Li, D.J. The ocean’s ultimate trashcan: Hadal trenches as major depositories for plastic pollution. Water Res. 2020, 168, 115121.1–115121.8. [Google Scholar] [CrossRef]
- Ramos, L.; Berenstein, G.; Hughes, E.A.; Zalts, A.; Montserrat, J.M. Polyethylene film incorporation into the horticultural soil of small periurban production units in Argentina. Sci. Total Environ. 2015, 523, 74–81. [Google Scholar] [CrossRef]
- Bläsing, M.; Amelung, W. Plastics in soil: Analytical methods and possible sources. Sci. Total Environ. 2018, 612, 422–435. [Google Scholar] [CrossRef]
- He, D.F.; Luo, Y.M.; Lu, S.B.; Liu, M.T.; Song, Y.; Lei, L.L. Microplastics in soils: Analytical methods, pollution characteristics and ecological risks. TrAC Trends Anal. Chem. 2018, 109, 163–172. [Google Scholar] [CrossRef]
- Li, L.Z.; Luo, Y.M.; Li, R.J.; Zhou, Q.; Peijnenburg, W.J.G.M.; Yin, N.; Yang, J.; Tu, C.; Zhang, Y.C. Effective uptake of submicrometre plastics by crop plants via a crack-entry mode. Nat. Sustain. 2020, 3, 929–937. [Google Scholar] [CrossRef]
- Ng, E.L.; Lwanga, E.H.; Eldridge, S.M.; Johnston, P.; Hu, H.W.; Geissen, V.; Chen, D. An overview of microplastic and nanoplastic pollution in agroecosystems. Sci. Total Environ. 2018, 627, 1377–1388. [Google Scholar] [CrossRef] [PubMed]
- Rillig, M.C.; Lehmann, A. Microplastics in terestrial ecosystems. Science 2020, 368, 1430–1431. [Google Scholar] [CrossRef] [PubMed]
- Auta, H.S.; Emenike, C.U.; Fauziah, S.H. Distribution and importance of microplastics in the marine environment: A review of the sources, fate, effects, and potential solutions. Environ. Int. 2017, 102, 165–176. [Google Scholar] [CrossRef] [PubMed]
- Mahon, A.M.; Connell, B.O.; Healy, M.G.; Connor, I.O.; Nash, R.; Morrison, L. Microplastics in Sewage Sludge: Effects of Treatment. Environ. Sci. Technol. 2017, 51, 810–818. [Google Scholar] [CrossRef] [PubMed]
- Zhou, Y.F.; Liu, X.N.; Wang, J. Characterization of microplastics and the association of heavy metals with microplastics in suburban soil of central China. Sci. Total Environ. 2019, 694, 133798.1–133798.10. [Google Scholar] [CrossRef]
- Georgia, G.; Arvaniti, O.S.; Stasinakis, A.S. Review on the occurrence and fate of microplastics in sewage treatment plants. J. Hazard. Mater. 2019, 367, 504–512. [Google Scholar]
- Galloway, T.S.; Cole, M.; Lewis, C. Interactions of microplastic debris throughout the marine ecosystem. Nat. Ecol. Evol. 2017, 1, 116. [Google Scholar] [CrossRef]
- Akdoan, Z.; Guven, B. Microplastics in the environment: A critical review of current understanding and identification of future research needs. Environ. Pollut. 2019, 254, 113011. [Google Scholar] [CrossRef]
- Kane, I.A.; Clare, M.A. Dispersion, accumulation and the ultimate fate of microplastics in deep-marine environments: A review and future directions. Front. Earth Sci. 2019, 7, 1–27. [Google Scholar] [CrossRef]
- Chrysikopoulos, C.V.; Syngouna, V.I. Effect of gravity on colloid transport through water-saturated columns packed with glass beads: Modeling and experiments. Environ. Sci. Technol. 2014, 48, 6805–6813. [Google Scholar] [CrossRef] [PubMed]
- Syngouna, V.I.; Chrysikopoulos, C.V. Cotransport of clay colloids and viruses through water-saturated vertically oriented columns packed with glass beads: Gravity effects. Sci. Total Environ. 2016, 545, 210–218. [Google Scholar] [CrossRef] [PubMed]
- Beckwith, V.K.; Fuentes, M.M.P.B. Microplastic at nesting grounds used by the northern Gulf of Mexico loggerhead recovery unit. Mar. Pollut. Bull. 2018, 131, 32–37. [Google Scholar] [CrossRef] [PubMed]
- Tong, M.; He, L.; Rong, H.; Li, M.; Kim, H. Transport behaviors of plastic particles in saturated quartz sand without and with biochar/Fe3O4-biochar amendment. Water Res. 2020, 169, 115284. [Google Scholar] [CrossRef]
- Alimi, O.S.; Farner, J.M.; Tufenkji, N. Exposure of nanoplastics to freeze-thaw leads to aggregation and reduced transport in model groundwater environments. Water Res. 2021, 189, 116533. [Google Scholar] [CrossRef]
- Bakir, A.; Rowland, S.J.; Thompson, R.C. Transport of persistent organic pollutants by microplastics in estuarine conditions. Estuar. Coast. Shelf Sci. 2014, 140, 14–21. [Google Scholar] [CrossRef]
- Gong, J.; Xie, P. Research progress in sources, analytical methods, eco-environmental effects, and control measures of microplastics. Chemosphere 2020, 254, 126790. [Google Scholar] [CrossRef]
- Wu, M.; Tang, W.; Wu, S.; Liu, H.; Yang, C. Fate and effects of microplastics in wastewater treatment processes. Sci. Total Environ. 2020, 757, 143902. [Google Scholar] [CrossRef]
- Edo, C.; González-Pleiter, M.; Leganés, F.; Fernández-Piñas, F.; Rosal, R. Fate of microplastics in wastewater treatment plants and their environmental dispersion with effluent and sludge. Environ. Pollut. 2020, 259, 113837. [Google Scholar] [CrossRef]
- Scircle, A.; Cizdziel, J.V.; Tisinger, L.; Anumol, T.; Robey, D. Occurrence of Microplastic Pollution at Oyster Reefs and Other Coastal Sites in the Mississippi Sound, USA: Impacts of Freshwater Inflows from Flooding. Toxics 2020, 8, 35. [Google Scholar] [CrossRef]
- Wolff, S.; Weber, F.; Kerpen, J.; Winklhofer, M.; Engelhart, M.; Backman, L. Elimination of Microplastics by Downstream Sand Filters in Wastewater Treatment. Water 2021, 13, 33. [Google Scholar] [CrossRef]
- Lapointe, M.; Farner, J.M.; Hernandez, L.M.; Tufenkji, N. Understanding and Improving Microplastic Removal during Water Treatment: Impact of Coagulation and Flocculation. Environ. Sci. Technol. 2020, 54, 8719–8727. [Google Scholar] [CrossRef] [PubMed]
- Wang, X.Z.; Wang, X.; Hu, M.J.; Zhu, C.Q.; Meng, Q.S.; Wang, R. Study of permeability of calcareous silty layer of foundation at an artificial reclamation island. Rock Soil Mech. 2017, 38, 3127–3135. [Google Scholar]
- Wang, X.Z.; Wang, X.; Chen, J.W.; Wang, R.; Hu, M.J.; Meng, Q.S. Experimental study on permeability characteristics of calcareous soil. Bull. Eng. Geol. Environ. 2018, 77, 1753–1762. [Google Scholar] [CrossRef]
- Lin, S.J.; Jian, W.B.; Dou, H.Q.; Chen, R.M.; Chen, R.M.; Nie, W. Rainfall Infiltration Mechanisms of Soil Columns Under Conductivity. J. Eng. Geol. 2022, 30, 394–406. [Google Scholar]
- Wei, L.; Yang, M.Y.; Li, Z.; Shao, J.L.; Li, L.Q.; Chen, P.; Li, S.; Zhao, R.B. Experimental Investigation of Relationship between Infiltration Rate and Soil Moisture under Rainfall Conditions. Water 2022, 14, 1347. [Google Scholar] [CrossRef]
- Yang, S.; Gong, A.M.; Wu, J.H.; Lu, T.H. Effect of contact angle on matric suction of unsaturated soil. Rock Soil Mech. 2015, 36, 674–678. [Google Scholar]
- Yang, S.; Wu, J.H. Evaporation characteristics of liquid drops on silt soil surface and the influences on soil-water characteristic curve. Rock Soil Mech. 2020, S, 1–9. [Google Scholar]
- You, Y.; Xiao, H.L.; Tan, Y. Experimental research on permeability of hydrophobic material modified clay. J. China Three Gorges Univ. 2022, 44, 14–19. [Google Scholar]
- Keatts, M.I.; Daniels, J.L.; Langley, W.G.; Pando, M.A.; Ogunro, V.O. Apparent contact angle and water entry head measurements for organo-silane modified sand and coal fly ash. J. Geotech. Geoenviron. Eng. 2018, 144, 04018030. [Google Scholar] [CrossRef]











| No | Rain Interval Ratio | Soil Bulk Density | Microplastic Content | Microplastic Particle Size |
|---|---|---|---|---|
| i | γ (g/cm3) | q (%) | p (μm) | |
| 1 | \ | 1.57 | 0.00 | 5 |
| 2 | \ | 1.57 | 0.05 | 5 |
| 3 | \ | 1.57 | 0.10 | 5 |
| 4 | \ | 1.57 | 0.25 | 5 |
| 5 | \ | 1.57 | 0.50 | 5 |
| 6 | \ | 1.57 | 0.25 | 3 |
| 7 | \ | 1.57 | 0.25 | 8 |
| 8 | \ | 1.61 | 0.25 | 5 |
| 9 | \ | 1.65 | 0.25 | 5 |
| 10 | \ | 1.73 | 0.25 | 5 |
| 11 | 1:2 | 1.57 | 0.25 | 5 |
| 12 | 1:1 | 1.57 | 0.25 | 5 |
| 13 | 2:1 | 1.57 | 0.25 | 5 |
| Microplastic Content q/% | Accumulation Points T1/min | Saturation Points T2/min | Time Difference (T2 − T1)/min |
|---|---|---|---|
| 0.00 | 150 | 305 | 155 |
| 0.05 | 192 | —— | —— |
| 0.10 | 140 | 290 | 150 |
| 0.25 | 136 | 280 | 144 |
| 0.50 | 91 | 220 | 129 |
Disclaimer/Publisher’s Note: The statements, opinions and data contained in all publications are solely those of the individual author(s) and contributor(s) and not of MDPI and/or the editor(s). MDPI and/or the editor(s) disclaim responsibility for any injury to people or property resulting from any ideas, methods, instructions or products referred to in the content. |
© 2022 by the authors. Licensee MDPI, Basel, Switzerland. This article is an open access article distributed under the terms and conditions of the Creative Commons Attribution (CC BY) license (https://creativecommons.org/licenses/by/4.0/).
Share and Cite
Gu, J.; Chen, L.; Wan, Y.; Teng, Y.; Yan, S.; Hu, L. Experimental Investigation of Water-Retaining and Unsaturated Infiltration Characteristics of Loess Soils Imbued with Microplastics. Sustainability 2023, 15, 62. https://doi.org/10.3390/su15010062
Gu J, Chen L, Wan Y, Teng Y, Yan S, Hu L. Experimental Investigation of Water-Retaining and Unsaturated Infiltration Characteristics of Loess Soils Imbued with Microplastics. Sustainability. 2023; 15(1):62. https://doi.org/10.3390/su15010062
Chicago/Turabian StyleGu, Jiahui, Liang Chen, Yu Wan, Yaozong Teng, Shufa Yan, and Liang Hu. 2023. "Experimental Investigation of Water-Retaining and Unsaturated Infiltration Characteristics of Loess Soils Imbued with Microplastics" Sustainability 15, no. 1: 62. https://doi.org/10.3390/su15010062
APA StyleGu, J., Chen, L., Wan, Y., Teng, Y., Yan, S., & Hu, L. (2023). Experimental Investigation of Water-Retaining and Unsaturated Infiltration Characteristics of Loess Soils Imbued with Microplastics. Sustainability, 15(1), 62. https://doi.org/10.3390/su15010062

