Green Hydrogen and Social Sciences: Issues, Problems, and Future Challenges
Abstract
1. Introduction
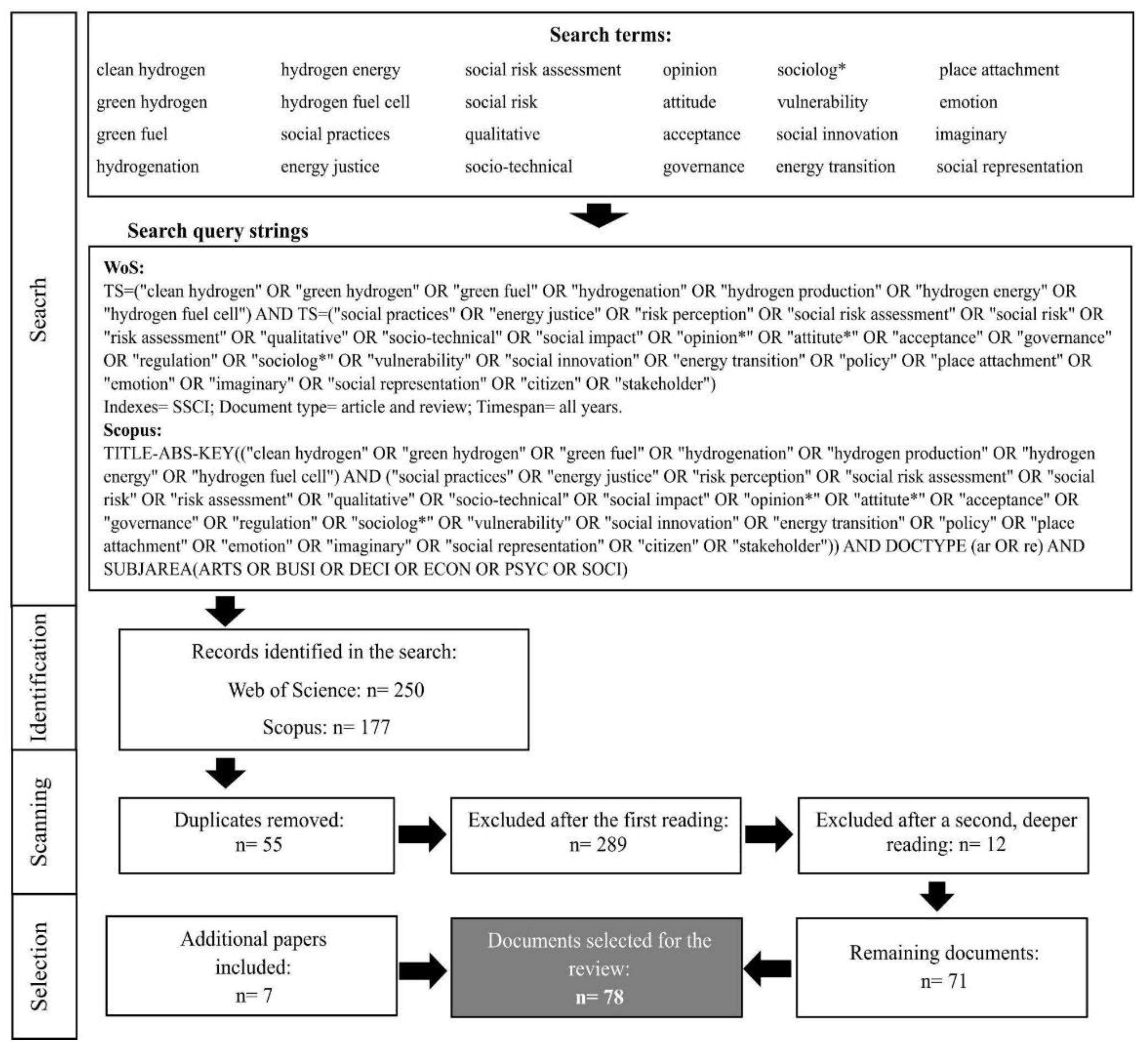
2. Materials and Methods
3. Results
3.1. Descriptive Analysis
3.2. General Findings
3.3. Risks, Socio-Environmental Impacts, and Public Perception
3.4. Public Policies and Regulation
3.5. Social Acceptance and Willingness to Use Associated Technologies
4. Conclusions and Challenges for the Social Sciences
Author Contributions
Funding
Institutional Review Board Statement
Informed Consent Statement
Data Availability Statement
Acknowledgments
Conflicts of Interest
References
- Rand, J.; Hoen, B. Thirty years of North American wind energy acceptance research: What have we learned? Energy Res. Soc. Sci. 2017, 29, 135–148. [Google Scholar] [CrossRef]
- Sovacool, B.K.; Hess, D.J.; Cantoni, R.; Lee, D.; Claire Brisbois, M.; Jakob Walnum, H.; Freng Dale, R.; Johnsen Rygg, B.; Korsnes, M.; Goswami, A.; et al. Conflicted transitions: Exploring the actors, tactics, and outcomes of social opposition against energy infrastructure. Glob. Environ. Chang. 2022, 73, 102473. [Google Scholar] [CrossRef]
- Capurso, T.; Stefanizzi, M.; Torresi, M.; Camporeale, S.M. Perspective of the role of hydrogen in the 21st century energy transition. Energy Convers. Manag. 2022, 251, 114898. [Google Scholar] [CrossRef]
- Hanusch, F.; Schad, M. Hydrogen research: Technology first, society second? GAIA-Ecol. Perspect. Sci. Soc. 2021, 30, 82. [Google Scholar] [CrossRef]
- Delpierre, M.; Quist, J.; Mertens, J.; Prieur-Vernat, A.; Cucurachi, S. Assessing the environmental impacts of wind-based hydrogen production in the Netherlands using ex-ante LCA and scenarios analysis. J. Clean. Prod. 2021, 299, 126866. [Google Scholar] [CrossRef]
- IPCC. IPCC, 2018: Global Warming of 1.5°C. An IPCC Special Report on the Impacts of Global Warming of 1.5°C above Pre-Industrial Levels and Related Global Greenhouse Gas Emission Pathways, in the Context of Strengthening the Global Response to the Threat of Climate Change, Sustainable Development, and Efforts to Eradicate Poverty; Masson-Delmotte, V., Zhai, P., Pörtner, H.-O., Roberts, D., Skea, J., Shukla, P.R., Pirani, A., Moufouma-Okia, W., Péan, C., Pidcock, R., et al., Eds.; Cambridge University Press: Cambridge, UK, 2018; 616p. [Google Scholar] [CrossRef]
- REN21. Renewables 2021. Global Status Report; REN21: Paris, France, 2021. [Google Scholar]
- Warren, C.R.; Cowell, R.; Ellis, G.; Strachan, P.A.; Szarka, J. Wind Power: Towards a Sustainable Energy Future? In Learning from Wind Power: Governance, Societal and Policy Perspectives on Sustainable Energy; Szarka, J., Cowell, R., Ellis, G., Strachan, P.A., Warren, C., Eds.; Palgrave Macmillan: New York, NY, USA, 2012; pp. 1–14. [Google Scholar]
- Msigwa, G.; Ighalo, J.O.; Yap, P.S. Considerations on environmental, economic, and energy impacts of wind energy generation: Projections towards sustainability initiatives. Sci. Total Environ. 2022, 849, 157755. [Google Scholar] [CrossRef] [PubMed]
- Oladosu, G.A.; Werble, J.; Tingen, W.; Witt, A.; Mobley, M.; O’Connor, P. Costs of mitigating the environmental impacts of hydropower projects in the United States. Renew. Sustain. Energy Rev. 2021, 135, 110121. [Google Scholar] [CrossRef]
- Tawalbeh, M.; Al-Othman, A.; Kafiah, F.; Abdelsalam, E.; Almomani, F.; Alkasrawi, M. Environmental impacts of solar photovoltaic systems: A critical review of recent progress and future outlook. Sci. Total Environ. 2021, 759, 143528. [Google Scholar] [CrossRef]
- Bessette, D.; Crawford, J. All’s fair in love and WAR: The conduct of wind acceptance research (WAR) in the United States and Canada. Energy Res. Soc. Sci. 2022, 88, 102514. [Google Scholar] [CrossRef]
- Linnerud, K.; Aakre, S.; Leiren, M.D. Deliverable 2.2: Conceptual Framework for Analysing Social Acceptance Barriers and Drivers. 2018. Available online: https://winwind-project.eu/fileadmin/user_upload/Resources/Deliverables/WinWind_Deliverable_2.2_Conceptual_framework_final.pdf (accessed on 5 December 2019).
- Sonnberger, M.; Ruddat, M. Local and socio-political acceptance of wind farms in Germany. Technol. Soc. 2017, 51, 56–65. [Google Scholar] [CrossRef]
- Linnerud, K.; Aakre, S.; Leiren, M.D. Deliverable 2.1: Technical and Socio-Economic Conditions a Literature Review of Social Acceptance of Wind Energy Development, and an Overview of the Technical, Socioeconomic and Regulatory Starting Conditions in the Wind Energy Scarce Target Regions. 2018. Available online: https://winwind-project.eu/fileadmin/user_upload/Resources/Deliverables/Del2.1_final.pdf (accessed on 29 January 2020).
- Öhman, A.; Karakaya, E.; Urban, F. Enabling the transition to a fossil-free steel sector: The conditions for technology transfer for hydrogen-based steelmaking in Europe. Energy Res. Soc. Sci. 2022, 84, 102384. [Google Scholar] [CrossRef]
- Rahman, M.N.; Wahid, M.A. Renewable-based zero-carbon fuels for the use of power generation: A case study in Malaysia supported by updated developments worldwide. Energy Rep. 2021, 7, 1986–2020. [Google Scholar] [CrossRef]
- Rissman, J.; Bataille, C.; Masanet, E.; Aden, N.; Morrow, W.R.; Zhou, N.; Elliott, N.; Dell, R.; Heeren, N.; Huckestein, B.; et al. Technologies and policies to decarbonize global industry: Review and assessment of mitigation drivers through 2070. Appl. Energy 2020, 266, 114848. [Google Scholar] [CrossRef]
- Griffiths, S.; Sovacool, B.K.; Kim, J.; Bazilian, M.; Uratani, J.M. Industrial decarbonization via hydrogen: A critical and systematic review of developments, socio-technical systems and policy options. Energy Res. Soc. Sci. 2021, 80, 102208. [Google Scholar] [CrossRef]
- Imasiku, K.; Farirai, F.; Olwoch, J.; Agbo, S.N. A policy review of green hydrogen economy in Southern Africa. Sustainability 2021, 13, 13240. [Google Scholar] [CrossRef]
- Van Renssen, S. The hydrogen solution? Nat. Clim. Chang. 2020, 10, 799–801. [Google Scholar] [CrossRef]
- Royston, S.; Foulds, C. The making of energy evidence: How exclusions of Social Sciences and Humanities are reproduced (and what researchers can do about it). Energy Res. Soc. Sci. 2021, 77, 102084. [Google Scholar] [CrossRef]
- Emodi, N.V.; Lovell, H.; Levitt, C.; Franklin, E. A systematic literature review of societal acceptance and stakeholders’ perception of hydrogen technologies. Int. J. Hydrogen Energy 2021, 46, 30669–30697. [Google Scholar] [CrossRef]
- Aghaei Chadegani, A.; Salehi, H.; Md Yunus, M.M.; Farhadi, H.; Fooladi, M.; Farhadi, M.; Ale Ebrahim, N. A comparison between two main academic literature collections: Web of science and scopus databases. Asian Soc. Sci. 2013, 9, 18–26. [Google Scholar] [CrossRef]
- Ricci, M.; Bellaby, P.; Flynn, R. What do we know about public perceptions and acceptance of hydrogen? A critical review and new case study evidence. Int. J. Hydrogen Energy 2008, 33, 5868–5880. [Google Scholar] [CrossRef]
- Sgarbossa, F.; Arena, S.; Tang, O.; Peron, M. Renewable hydrogen supply chains: A planning matrix and an agenda for future research. Int. J. Prod. Econ. 2023, 255, 108674. [Google Scholar] [CrossRef]
- Cherryman, S.J.; King, S.; Hawkes, F.R.; Dinsdale, R.; Hawkes, D.L. An exploratory study of public opinions on the use of hydrogen energy in Wales. Public Underst. Sci. 2008, 17, 397–410. [Google Scholar] [CrossRef]
- Flynn, R.; Ricci, M.; Bellaby, P. Deliberation over new hydrogen energy technologies: Evidence from two Citizens Panels in the UK. J. Risk Res. 2013, 16, 379–391. [Google Scholar] [CrossRef]
- Martin, A.; Agnoletti, M.F.; Brangier, E. Users in the design of Hydrogen Energy Systems: A systematic review. Int. J. Hydrogen Energy 2020, 45, 11889–11900. [Google Scholar] [CrossRef]
- Oltra, C.; Dütschke, E.; Sala, R.; Schneider, U.; Upham, P. The public acceptance of hydrogen fuel cell applications in Europe. Rev. Int. Sociol. 2017, 75, 1–15. [Google Scholar] [CrossRef]
- Ingaldi, M.; Klimecka-Tatar, D. People’s attitude to energy from hydrogen: From the point of view of modern energy technologies and social responsabilities. Energies 2020, 13, 6495. [Google Scholar] [CrossRef]
- Martin, E.; Shaheen, S.A.; Lipman, T.E.; Lidicker, J.R. Behavioral response to hydrogen fuel cell vehicles and refueling: Results of California drive clinics. Int. J. Hydrogen Energy 2009, 34, 8670–8680. [Google Scholar] [CrossRef]
- Flynn, R.; Bellaby, P.; Ricci, M. Environmental citizenship and public attitudes to hydrogen energy technologies. Env. Polit. 2008, 17, 766–783. [Google Scholar] [CrossRef]
- Flynn, R.; Ricci, M.; Bellaby, P. Ambiguity, complexity and uncertainty surrounding the hazards of hydrogen and public views of emergent risks. J. Risk Res. 2012, 15, 373–387. [Google Scholar] [CrossRef]
- Sherry-Brennan, F.; Devine-Wright, H.; Devine-Wright, P. Public understanding of hydrogen energy: A theoretical approach. Energy Policy 2010, 38, 5311–5319. [Google Scholar] [CrossRef]
- Ricci, M.; Bellaby, P.; Flynn, R. Engaging the public on paths to sustainable energy: Who has to trust whom? Energy Policy 2010, 38, 2633–2640. [Google Scholar] [CrossRef]
- Fan, J.L.; Wang, Q.; Yang, L.; Zhang, H.; Zhang, X. Determinant changes of consumer preference for NEVs in China: A comparison between 2012 and 2017. Int. J. Hydrogen Energy 2020, 45, 23557–23575. [Google Scholar] [CrossRef]
- Upham, P.; Bögel, P.; Dütschke, E.; Burghard, U.; Oltra, C.; Sala, R.; Lores, M.; Brinkmann, J. The revolution is conditional? The conditionality of hydrogen fuel cell expectations in five European countries. Energy Res. Soc. Sci. 2020, 70, 101722. [Google Scholar] [CrossRef]
- Ono, K.; Tsunemi, K. Identification of public acceptance factors with risk perception scales on hydrogen fueling stations in Japan. Int. J. Hydrogen Energy 2017, 42, 10697–10707. [Google Scholar] [CrossRef]
- Ono, K.; Kato, E.; Tsunemi, K. Does risk information change the acceptance of hydrogen refueling stations in the general Japanese population? Int. J. Hydrogen Energy 2019, 44, 16038–16047. [Google Scholar] [CrossRef]
- Glanz, S.; Schönauer, A.L. Towards a low-carbon society via hydrogen and carbon capture and storage: Social acceptance from a stakeholder perspective. J. Sustain. Dev. Energy Water Environ. Syst. 2021, 9, 1–18. [Google Scholar] [CrossRef]
- Chen, T.Y.; Huang, D.R.; Huang, A.Y.J. An empirical study on the public perception and acceptance of hydrogen energy in Taiwan. Int. J. Green Energy 2016, 13, 1579–1584. [Google Scholar] [CrossRef]
- Achterberg, P. The changing face of public support for hydrogen technology explaining declining support among the Dutch (2008–2013). Int. J. Hydrogen Energy 2014, 39, 18711–18717. [Google Scholar] [CrossRef]
- Damman, S.; Sandberg, E.; Rosenberg, E.; Pisciella, P.; Graabak, I. A hybrid perspective on energy transition pathways: Is hydrogen the key for Norway? Energy Res. Soc. Sci. 2021, 78, 102116. [Google Scholar] [CrossRef]
- Park, S. Iceland’s hydrogen energy policy development (1998–2007) from a sociotechnical experiment viewpoint. Int. J. Hydrogen Energy 2011, 36, 10443–10454. [Google Scholar] [CrossRef]
- Trattner, A.; Klell, M.; Radner, F. Sustainable hydrogen society–Vision, findings and development of a hydrogen economy using the example of Austria. Int. J. Hydrogen Energy 2022, 47, 2059–2079. [Google Scholar] [CrossRef]
- Saccani, C.; Pellegrini, M.; Guzzini, A. Analysis of the existing barriers for the market development of power to hydrogen (P2H) in Italy. Energies 2020, 13, 4835. [Google Scholar] [CrossRef]
- Fernández-González, R.; Puime-Guillén, F.; Panait, M. Multilevel governance, PV solar energy, and entrepreneurship: The generation of green hydrogen as a fuel of renewable origin. Util. Policy 2022, 79, 101438. [Google Scholar] [CrossRef]
- Wolf, A.; Zander, N. Green Hydrogen in Europe: Do Strategies Meet Expectations? Intereconomics 2021, 56, 316–323. [Google Scholar] [CrossRef]
- Houghton, T.; Cruden, A. Exploring future hydrogen development and the impact of policy: A novel investment-led approach. Energy Policy 2011, 39, 1318–1329. [Google Scholar] [CrossRef]
- Solomon, B.D.; Banerjee, A. A global survey of hydrogen energy research, development and policy. Energy Policy 2006, 34, 781–792. [Google Scholar] [CrossRef]
- Ajanovic, A.; Haas, R. Economic prospects and policy framework for hydrogen as fuel in the transport sector. Energy Policy 2018, 123, 280–288. [Google Scholar] [CrossRef]
- Hansson, J.; Månsson, S.; Brynolf, S.; Grahn, M. Alternative marine fuels: Prospects based on multi-criteria decision analysis involving Swedish stakeholders. Biomass Bioenergy 2019, 126, 159–173. [Google Scholar] [CrossRef]
- Simoes, S.G.; Catarino, J.; Picado, A.; Lopes, T.F.; di Berardino, S.; Amorim, F.; Gírio, F.; Rangel, C.M.; Ponce de Leão, T. Water availability and water usage solutions for electrolysis in hydrogen production. J. Clean. Prod. 2021, 315, 128124. [Google Scholar] [CrossRef]
- Wu, Y.; Deng, Z.; Tao, Y.; Wang, L.; Liu, F.; Zhou, J. Site selection decision framework for photovoltaic hydrogen production project using BWM-CRITIC-MABAC: A case study in Zhangjiakou. J. Clean. Prod. 2021, 324, 129233. [Google Scholar] [CrossRef]
- Vom Scheidt, F.; Qu, J.; Staudt, P.; Mallapragada, D.S.; Weinhardt, C. Integrating hydrogen in single-price electricity systems: The effects of spatial economic signals. Energy Policy 2022, 161, 112727. [Google Scholar] [CrossRef]
- Sadik-Zada, E.R. Political economy of green hydrogen rollout: A global perspective. Sustainability 2021, 13, 13464. [Google Scholar] [CrossRef]
- Rezaei, M.; Salimi, M.; Momeni, M.; Mostafaeipour, A. Investigation of the socio-economic feasibility of installing wind turbines to produce hydrogen: Case study. Int. J. Hydrogen Energy 2018, 43, 23135–23147. [Google Scholar] [CrossRef]
- Medisetty, V.M.; Kumar, R.; Ahmadi, M.H.; Vo, D.V.N.; Ochoa, A.A.V.; Solanki, R. Overview on the Current Status of Hydrogen Energy Research and Development in India. Chem. Eng. Technol. 2020, 43, 613–624. [Google Scholar] [CrossRef]
- Lebelhuber, C.; Steinmüller, H. How and to which extent can the gas sector contribute to a climate-neutral European energy system? A qualitative approach. Energy. Sustain. Soc. 2019, 9, 1–23. [Google Scholar] [CrossRef]
- Tholen, L.; Leipprand, A.; Kiyar, D.; Maier, S.; Küper, M.; Adisorn, T.; Fischer, A. The green hydrogen puzzle: Towards a german policy framework for industry. Sustainability 2021, 13, 12626. [Google Scholar] [CrossRef]
- Velazquez Abad, A.; Dodds, P.E. Green hydrogen characterisation initiatives: Definitions, standards, guarantees of origin, and challenges. Energy Policy 2020, 138, 111300. [Google Scholar] [CrossRef]
- Fleming, R. Clean or renewable–hydrogen and power-to-gas in EU energy law. J. Energy Nat. Resour. Law 2021, 39, 43–63. [Google Scholar] [CrossRef]
- Westrom, M. Winds of change: Legitimacy, withdrawal, and interdependency from a decentralized wind-to-hydrogen regime in Orkney, Scotland. Energy Res. Soc. Sci. 2020, 60, 101332. [Google Scholar] [CrossRef]
- Parra, D.; Swierczynski, M.; Stroe, D.I.; Norman, S.A.; Abdon, A.; Worlitschek, J.; O’Doherty, T.; Rodrigues, L.; Gillott, M.; Zhang, X.; et al. An interdisciplinary review of energy storage for communities: Challenges and perspectives. Renew. Sustain. Energy Rev. 2017, 79, 730–749. [Google Scholar] [CrossRef]
- Shaw, S.; Mazzucchelli, P. Evaluating the perspectives for hydrogen energy uptake in communities: Success criteria and their application. Energy Policy 2010, 38, 5359–5371. [Google Scholar] [CrossRef]
- Ueckerdt, F.; Bauer, C.; Dirnaichner, A.; Everall, J.; Sacchi, R.; Luderer, G. Potential and risks of hydrogen-based e-fuels in climate change mitigation. Nat. Clim. Chang. 2021, 11, 384–393. [Google Scholar] [CrossRef]
- Tarigan, A.K.M.; Bayer, S.B.; Langhelle, O.; Thesen, G. Estimating determinants of public acceptance of hydrogen vehicles and refuelling stations in greater Stavanger. Int. J. Hydrogen Energy 2012, 37, 6063–6073. [Google Scholar] [CrossRef]
- Schmidt, A.; Donsbach, W. Acceptance factors of hydrogen and their use by relevant stakeholders and the media. Int. J. Hydrogen Energy 2016, 41, 4509–4520. [Google Scholar] [CrossRef]
- Al-Amin, A.Q.; Doberstein, B. Introduction of hydrogen fuel cell vehicles: Prospects and challenges for Malaysia’s transition to a low-carbon economy. Environ. Sci. Pollut. Res. 2019, 26, 31062–31076. [Google Scholar] [CrossRef]
- Mahmoudzadeh Andwari, A.; Pesiridis, A.; Rajoo, S.; Martinez-Botas, R.; Esfahanian, V. A review of Battery Electric Vehicle technology and readiness levels. Renew. Sustain. Energy Rev. 2017, 78, 414–430. [Google Scholar] [CrossRef]
- Xu, C.; Wu, Y.; Dai, S. What are the critical barriers to the development of hydrogen refueling stations in China? A modified fuzzy DEMATEL approach. Energy Policy 2020, 142, 111495. [Google Scholar] [CrossRef]
- Zhou, Y.; Li, R.; Lv, Z.; Liu, J.; Zhou, H.; Xu, C. Green hydrogen: A promising way to the carbon-free society. Chin. J. Chem. Eng. 2022, 43, 2–13. [Google Scholar] [CrossRef]
- Park, S.; Nam, S.; Oh, M.; Choi, I.J.; Shin, J. Preference structure on the design of hydrogen refueling stations to activate energy transition. Energies 2020, 13, 3959. [Google Scholar] [CrossRef]
- Noussan, M.; Raimondi, P.P.; Scita, R.; Hafner, M. The role of green and blue hydrogen in the energy transition—A technological and geopolitical perspective. Sustainability 2021, 13, 298. [Google Scholar] [CrossRef]
- Robles, J.O.; Azzaro-Pantel, C.; Garcia, G.M.; Lasserre, A.A. Social cost-benefit assessment as a post-optimal analysis for hydrogen supply chain design and deployment: Application to Occitania (France). Sustain. Prod. Consum. 2020, 24, 105–120. [Google Scholar] [CrossRef]
- Adamson, K.A. Hydrogen from renewable resources-the hundred year commitment. Energy Policy 2004, 32, 1231–1242. [Google Scholar] [CrossRef]
- Hwang, H.; Lee, Y.; Seo, I.; Chung, Y. Successful pathway for locally driven fuel cell electric vehicle adoption: Early evidence from South Korea. Int. J. Hydrogen Energy 2021, 46, 21764–21776. [Google Scholar] [CrossRef]
- Lopez Jaramillo, O.; Rinebold, J.; Kuby, M.; Kelley, S.; Ruddell, D.; Stotts, R.; Krafft, A.; Wentz, E. Hydrogen station location planning via geodesign in connecticut: Comparing optimization models and structured stakeholder collaboration. Energies 2021, 14, 7747. [Google Scholar] [CrossRef]
- Delucchi, M.A.; Yang, C.; Burke, A.F.; Ogden, J.M.; Kurani, K.; Kessler, J.; Sperling, D. An assessment of electric vehicles: Technology, infrastructure requirements, greenhouse-gas emissions, petroleum use, material use, lifetime cost, consumer acceptance and policy initiatives. Philos. Trans. R. Soc. A Math. Phys. Eng. Sci. 2014, 372, 20120325. [Google Scholar] [CrossRef]
- Tarigan, A.K.M.; Bayer, S.B. Temporal change analysis of public attitude, knowledge and acceptance of hydrogen vehicles in Greater Stavanger, 2006–2009. Renew. Sustain. Energy Rev. 2012, 16, 5535–5544. [Google Scholar] [CrossRef]
- Hienuki, S.; Hirayama, Y.; Shibutani, T.; Sakamoto, J.; Nakayama, J.; Miyake, A. How knowledge about or experience with hydrogen fueling stations improves their public acceptance. Sustainability 2019, 11, 6339. [Google Scholar] [CrossRef]
- Dahncke, H. Combining environmental education with experience of industry in teacher education. Eur. J. Teach. Educ. 1997, 20, 151–159. [Google Scholar] [CrossRef]
- Glover, K.; Rudd, J.A.; Jones, D.R.; Forde, E.; Warwick, M.E.A.; Gannon, W.J.F.; Dunnill, C.W. The Hydrogen Bike: Communicating the Production and Safety of Green Hydrogen. Front. Commun. 2020, 5, 1–10. [Google Scholar] [CrossRef]
- Lozanovski, A.; Whitehouse, N.; Ko, N.; Whitehouse, S. Sustainability assessment of fuel cell buses in public transport. Sustainability 2018, 10, 1480. [Google Scholar] [CrossRef]
- Lee, Y.; Kim, Y.J.; Lee, M.C. Improving public acceptance of H2 stations: SWOT-AHP analysis of South Korea. Int. J. Hydrogen Energy 2021, 46, 17597–17607. [Google Scholar] [CrossRef]
- Upham, P.; Dütschke, E.; Schneider, U.; Oltra, C.; Sala, R.; Lores, M.; Klapper, R.; Bögel, P. Agency and structure in a sociotechnical transition: Hydrogen fuel cells, conjunctural knowledge and structuration in Europe. Energy Res. Soc. Sci. 2018, 37, 163–174. [Google Scholar] [CrossRef]
- Apostolou, D.; Welcher, S.N. Prospects of the hydrogen-based mobility in the private vehicle market. A social perspective in Denmark. Int. J. Hydrogen Energy 2021, 46, 6885–6900. [Google Scholar] [CrossRef]
- Kang, M.J.; Park, H. Impact of experience on government policy toward acceptance of hydrogen fuel cell vehicles in Korea. Energy Policy 2011, 39, 3465–3475. [Google Scholar] [CrossRef]
- Khan, U.; Yamamoto, T.; Sato, H. Understanding attitudes of hydrogen fuel-cell vehicle adopters in Japan. Int. J. Hydrogen Energy 2021, 46, 30698–30717. [Google Scholar] [CrossRef]
- Lipman, T.E.; Elke, M.; Lidicker, J. Hydrogen fuel cell electric vehicle performance and user-response assessment: Results of an extended driver study. Int. J. Hydrogen Energy 2018, 43, 12442–12454. [Google Scholar] [CrossRef]
- Al-Amin, A.Q.; Ambrose, A.F.; Masud, M.M.; Azam, M.N. People purchase intention towards hydrogen fuel cell vehicles: An experiential enquiry in Malaysia. Int. J. Hydrogen Energy 2016, 41, 2117–2127. [Google Scholar] [CrossRef]
- O’Garra, T.; Mourato, S.; Garrity, L.; Schmidt, P.; Beerenwinkel, A.; Altmann, M.; Hart, D.; Graesel, C.; Whitehouse, S. Is the public willing to pay for hydrogen buses? A comparative study of preferences in four cities. Energy Policy 2007, 35, 3630–3642. [Google Scholar] [CrossRef]
- Offermann-van Heek, J.; Arning, K.; Sternberg, A.; Bardow, A.; Ziefle, M. Assessing public acceptance of the life cycle of CO2-based fuels: Does information make the difference? Energy Policy 2020, 143, 111586. [Google Scholar] [CrossRef]
- Scott, M.; Powells, G. Sensing hydrogen transitions in homes through social practices: Cooking, heating, and the decomposition of demand. Int. J. Hydrogen Energy 2020, 45, 3870–3882. [Google Scholar] [CrossRef]
- Scovell, M.D. Explaining hydrogen energy technology acceptance: A critical review. Int. J. Hydrogen Energy 2022, 47, 10441–10459. [Google Scholar] [CrossRef]
- Scott, M.; Powells, G. Towards a new social science research agenda for hydrogen transitions: Social practices, energy justice, and place attachment. Energy Res. Soc. Sci. 2020, 61, 101346. [Google Scholar] [CrossRef]








Disclaimer/Publisher’s Note: The statements, opinions and data contained in all publications are solely those of the individual author(s) and contributor(s) and not of MDPI and/or the editor(s). MDPI and/or the editor(s) disclaim responsibility for any injury to people or property resulting from any ideas, methods, instructions or products referred to in the content. |
© 2022 by the authors. Licensee MDPI, Basel, Switzerland. This article is an open access article distributed under the terms and conditions of the Creative Commons Attribution (CC BY) license (https://creativecommons.org/licenses/by/4.0/).
Share and Cite
Vallejos-Romero, A.; Cordoves-Sánchez, M.; Cisternas, C.; Sáez-Ardura, F.; Rodríguez, I.; Aledo, A.; Boso, Á.; Prades, J.; Álvarez, B. Green Hydrogen and Social Sciences: Issues, Problems, and Future Challenges. Sustainability 2023, 15, 303. https://doi.org/10.3390/su15010303
Vallejos-Romero A, Cordoves-Sánchez M, Cisternas C, Sáez-Ardura F, Rodríguez I, Aledo A, Boso Á, Prades J, Álvarez B. Green Hydrogen and Social Sciences: Issues, Problems, and Future Challenges. Sustainability. 2023; 15(1):303. https://doi.org/10.3390/su15010303
Chicago/Turabian StyleVallejos-Romero, Arturo, Minerva Cordoves-Sánchez, César Cisternas, Felipe Sáez-Ardura, Ignacio Rodríguez, Antonio Aledo, Álex Boso, Jordi Prades, and Boris Álvarez. 2023. "Green Hydrogen and Social Sciences: Issues, Problems, and Future Challenges" Sustainability 15, no. 1: 303. https://doi.org/10.3390/su15010303
APA StyleVallejos-Romero, A., Cordoves-Sánchez, M., Cisternas, C., Sáez-Ardura, F., Rodríguez, I., Aledo, A., Boso, Á., Prades, J., & Álvarez, B. (2023). Green Hydrogen and Social Sciences: Issues, Problems, and Future Challenges. Sustainability, 15(1), 303. https://doi.org/10.3390/su15010303

