Evaluation of the Economic Performance of Coastal Trawling off the Southern Coast of Sicily (Central Mediterranean Sea)
Abstract
:1. Introduction
2. Materials and Methods
2.1. Study Area
2.2. Data
2.3. Economics Performance: Revenues, Costs and Profits
- (1)
- Processing of landings data, combined with VMS data, to estimate the spatial/temporal productivity of each cell, in terms of aggregated landings per unit of effort (LPUE) by species, according to the method described and applied in Russo et al. [14];
- (2)
- Processing biological data to estimate LPUE by age and by species, for each cell/time;
- (3)
- Analysing VMS data to access the fishing effort by vessel/cell/time;
- (4)
- Combining LPUE by age with VMS data to model the landings by vessel/species/length class/time/cell;
- (5)
- Estimating the cost by vessel/time associated with a given effort pattern and the related revenues, as a function of the landings by vessel/species/length class/time (step 4);
- (6)
- Combining costs and revenues by vessel, at the early scale, to obtain the profit, which is the proxy of the vessel performance. Profit could be aggregated at the fleet level to estimate the overall performance;
- (7)
- Using estimated landings by species/age, together with survey data, to run a mouse model for the selected case of study in order to obtain a biological evaluation of the fisheries.
3. Results
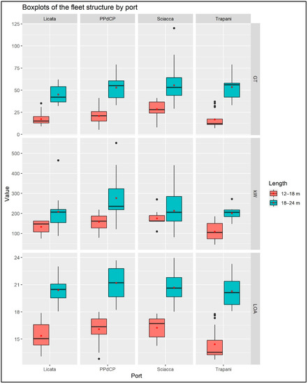
3.1. Structure and Fleet Capacity of the Marine Fisheries in the SoS
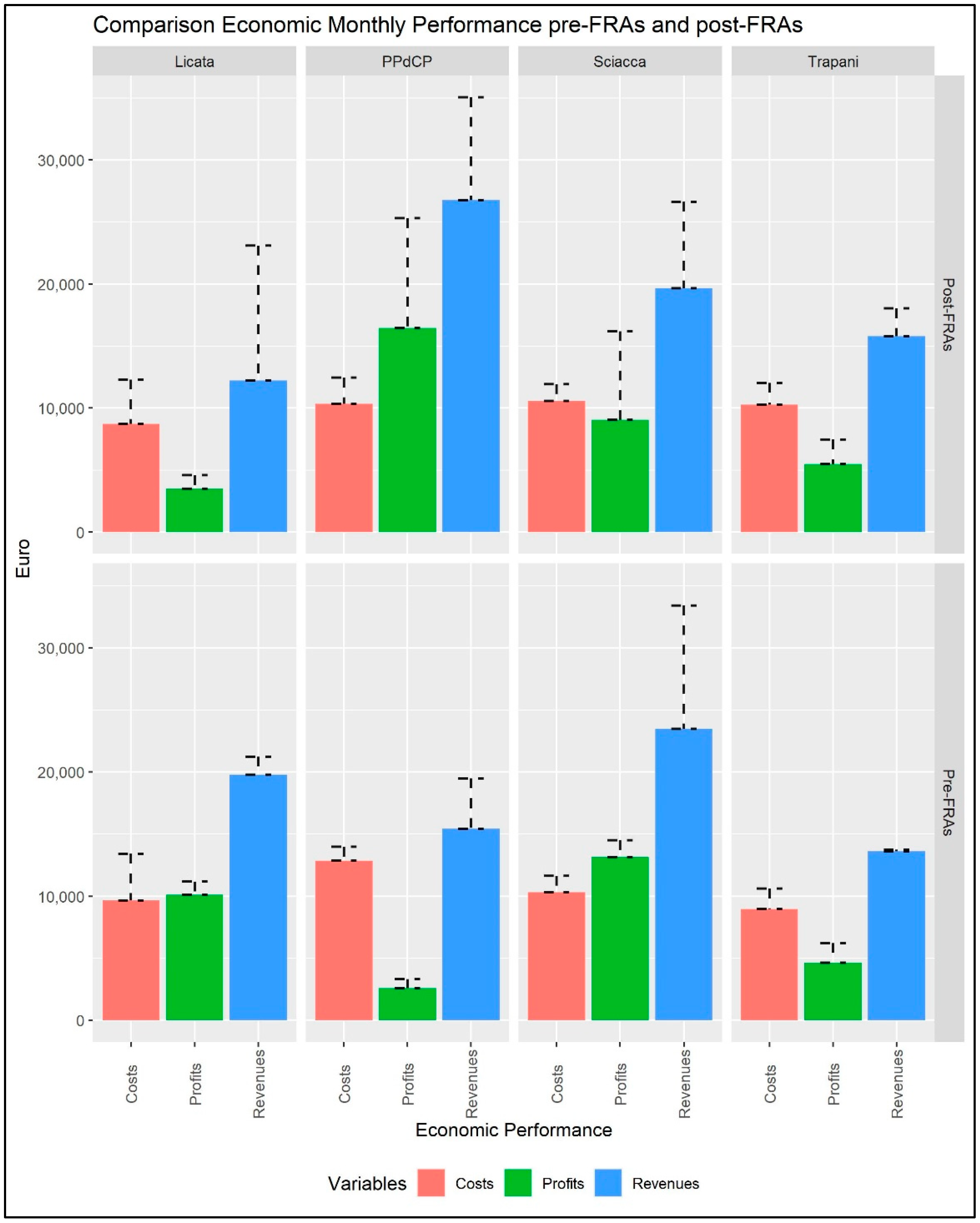
3.2. Catch Composition and Economic Performance
4. Discussion
Author Contributions
Funding
Institutional Review Board Statement
Informed Consent Statement
Data Availability Statement
Acknowledgments
Conflicts of Interest
References
- Jennings, S.; Kaiser, M.; Reynolds, J.D. Marine Fisheries Ecology; John Wiley & Sons: Hoboken, NJ, USA, 2009; p. 432. [Google Scholar]
- Hák, T.; Janoušková, S.; Moldan, B. Sustainable Development Goals: A need for relevant indicators. Ecol. Indic. 2016, 60, 565–573. [Google Scholar] [CrossRef]
- Pauly, D.; Christensen, V.; Guenette, S.; Pitcher, T.J.; Sumaila, U.R.; Walters, C.J.; Watson, R.; Zeller, D. Towards sustainability in world fisheries. Nature 2002, 418, 689–695. [Google Scholar] [CrossRef] [PubMed]
- Branch, T.A.; Jensen, O.P.; Ricard, D.; Ye, Y.; Hilborn, R. Contrasting global trends in marine fishery status obtained from catches and stock assessments. Conserv. Biol. 2011, 25, 777–786. [Google Scholar] [CrossRef] [PubMed]
- Gascuel, D.; Merino, G.; Döring, R.; Druon, J.N.; Goti, L.; Guénette, S.; Macher, C.; Soma, K.; Travers-Trolet, M.; Mackinson, S. Towards the implementation of an integrated ecosystem fleet-based management of European fisheries. Mar. Policy 2012, 36, 1022–1032. [Google Scholar] [CrossRef] [Green Version]
- Prellezo, R.; Accadia, P.; Andersen, J.L.; Andersen, B.S.; Buisman, E.; Little, A.; Nielsen, J.R.; Poos, J.J.; Powell, J.; Röckman, C. A review of EU bio-economic models for fisheries: The value of a diversity of models. Mar. Policy 2012, 36, 423–431. [Google Scholar] [CrossRef]
- Hilborn, R.; Amoroso, R.O.; Anderson, C.M.; Baum, J.K.; Branch, T.A.; Costello, C.; Ye, Y. Effective fisheries management instrumental in improving fish stock status. Proc. Natl. Acad. Sci. USA 2020, 117, 2218–2224. [Google Scholar] [CrossRef] [Green Version]
- Garcia, S.M.; Ye, Y.; Rice, J.; Charles, A. Rebuilding of Marine Fisheries Part 1: Global Review; FAO Fisheries and Aquaculture Technical Paper No. 630/1; FAO: Rome, Italy, 2018; p. 294. [Google Scholar]
- Pinello, D.; Dimech, M. Socio-economic analysis of the Lebanese fishing fleet. In FAO EastMed Technical Documents; FAO: Athens, Greece, 2013; p. 81. [Google Scholar]
- Sreekanth, G.B.; Lekshmi, M.N.; Singh, N.P.; Chakraborty, S.K.; Reddy, V. Evaluation of economic performance of small scale fisheries in a tropical coastal ecosystem in southwest coast of India. Indian J. Geo-Mar. Sci. 2017, 46, 485–492. [Google Scholar]
- Gristina, M.; Bahri, T.; Fiorentino, F.; Garofalo, G. Comparison of demersal fish assemblages in three areas of the Strait of Sicily under different trawling pressure. Fish. Res. 2006, 81, 60–71. [Google Scholar] [CrossRef]
- Fiorentino, F.; Ben Hadj Hamida, O.; Ben Meriem, S.; Gaamour, A.; Gristina, M.; Jarboui, O.; Knittweis, L.; Rjeibi, O.; Ceriola, L. Synthesis of information on some demersal crustaceans relevant for fisheries target species in the south-central Mediterranean Sea. In GCP/RER/010/ITA/MSM-TD-32 MedSudMed Technical Documents; FAO: Rome, Italy, 2013; p. 120. [Google Scholar]
- Di Lorenzo, M.; Sinerchia, M.; Colloca, F. The North sector of the Strait of Sicily: A priority area for conservation in the Mediterranean Sea. Hydrobiologia 2017, 821, 235–253. [Google Scholar] [CrossRef]
- Russo, T.; D’Andrea, L.; Franceschini, S.; Accadia, P.; Cucco, A.; Garofalo, G.; Gristina, M.; Parisi, A.; Quattrocchi, G.; Sabatella, R.F.; et al. Simulating the effects of alternative management measures of trawl fisheries in the central Mediterranean Sea: Application of a multi-species bio-economic modeling approach. Front. Mar. Sci. 2019, 6, 542. [Google Scholar] [CrossRef]
- Geraci, M.L.; Colloca, F.; Di Maio, F.; Falsone, F.; Fiorentino, F.; Sardo, G.; Scannella, D.; Gancitano, V.; Vitale, S. How is artificial lighting affecting the catches in deep water rose shrimp trawl fishery of the Central Mediterranean Sea? Ocean Coast. Manag. 2021, 215, 105970. [Google Scholar] [CrossRef]
- Maiorano, P.; Sabatella, R.F.; Marzocchi, B.M. Annuario sullo stato delle risorse e sulle strutture produttive dei mari italiani. Biol. Mar. Mediterr. 2019, 22 (Suppl. S1), 432. (In Italian) [Google Scholar]
- General Fisheries Commission for the Mediterranean. Report of the meeting “Working Group on Stock Assessment of Demersal Species (WGMPA)”. In Proceedings of the Working Group on Stock Assessment of Demersal Species (WGMPA), Rome, Italy, 9–14 December 2019; FAO: Rome, Italy. [Google Scholar]
- Food and Agriculture Organization of the United Nations. Report of the Fortieth Session of the General Fisheries Commission for the Mediterranean (GFCM). In Proceedings of the Fortieth Session of the General Fisheries Commission for the Mediterranean (GFCM), St. Julian’s, Malta, 30 May–3 June 2016; GFCM Report No 40. FAO: Rome, Italy. [Google Scholar]
- Food and Agriculture Organization of the United Nations. Available online: http://www.fao.org/gfcm/data/maps/fras (accessed on 25 October 2021).
- General Fisheries Commission for the Mediterranean. On the Establishment of Geographical Sub-Areas in the GFCM Area. 2007. Available online: http://151.1.154.86/GfcmWebSite/docs/decisions/GFCM-Decision–RESGFCM_33_2009_2-en.pdf (accessed on 21 November 2021).
- Garofalo, G.; Fiorentino, F. In Proceedings of the Expert Meeting on Fisheries-Related Other Effective Area-Based Conservation Measures (OECMs) in the Mediterranean Sea, Rome, Italy, 16–17 February 2022.
- Béranger, K.; Mortier, L.; Gasparini, G.P.; Gervasio, L.; Astraldi, M.; Crépon, M. The dynamics of the Sicily Strait: A comprehensive study from observations and models. Deep-Sea Res. II Top. Stud. Oceanogr. 2004, 51, 411–440. [Google Scholar] [CrossRef]
- Pinello, D.; Gee, J.; Accadia, P.; Sabatella, E.C.; Vitale, S.; Polymeros, K.; Fiorentino, F. Efficiency of shallow-and deep-water trawling in the Mediterranean and its implications for discard reduction. Sci. Mar. 2018, 82, 97–106. [Google Scholar] [CrossRef] [Green Version]
- Falsone, F.; Scannella, D.; Geraci, M.L.; Vitale, S.; Colloca, F.; Di Maio, F.; Milisenda, G.; Gancitano, V.; Bono, G.; Fiorentino, F. Identification and characterization of trammel net métiers: A case study from the southwestern Sicily (Central Mediterranean). Reg. Stud. Mar. Sci. 2020, 39, 101419. [Google Scholar] [CrossRef]
- De Angelis, P.; D’Andrea, L.; Franceschini, S.; Cataudella, S.; Russo, T. Strategies and trends of bottom trawl fisheries in the Mediterranean Sea. Mar. Policy 2020, 118, 104016. [Google Scholar] [CrossRef]
- Council Regulation (EC) N° 199/2008 of February 2008 Concerning the Establishment of a Community Framework for the Collection, Management and Use of Data in the Fisheries Sector and Support for Scientific Advice Regarding the Common Fisheries Policy. Available online: https://eur-lex.europa.eu/legal-content/EN/TXT/?uri=CELEX:32008R0199 (accessed on 12 August 2021).
- Russo, T.; Parisi, A.; Garofalo, G.; Gristina, M.; Cataudella, S.; Fiorentino, F. SMART: A spatially explicit bio-economic model for assessing and managing demersal fisheries, with an application to italian trawlers in the strait of Sicily. PLoS ONE 2014, 9, e86222. [Google Scholar] [CrossRef]
- D’Andrea, L.; Parisi, A.; Fiorentino, F.; Garofalo, G.; Gristina, M.; Cataudella, S.; Russo, T. smartR: An R package for spatial modelling of fisheries and scenario simulation of management strategies. Methods Ecol. Evol. 2020, 11, 859–868. [Google Scholar] [CrossRef] [Green Version]
- Tietze, U.; Lash, R.; Thomsen, B.; Rihan, D. Economic Performance and Fishing Efficiency of Marine Capture Fisheries; FAO Fisheries Technical Paper; FAO: Rome, Italy, 2005; p. 482. [Google Scholar]
- Effiong, J.A.L.; Aligbe, J.O.; Uzoho, B.U.; Eze, E.U. Cost structure of trawl fisheries in Nigeria. Int. J. Adv. Acad. Res. 2016, 2, 2–4. [Google Scholar]
- Carvalho, N.; Keatinge, M.; Guillen, G. Scientific, Technical and Economic Committee for Fisheries (STECF): The 2019 Annual Economic Report on the EU Fishing Fleet (STECF 19–06). Available online: https://stecf.jrc.ec.europa.eu/documents/43805/2483556/STECF%2019-06%20-%20AER%20-%202019.pdf (accessed on 11 July 2021).
- The Community Fishing Fleet Register. Available online: https://data.europa.eu/euodp/it/data/dataset/the-community-fishing-fleet-register (accessed on 17 July 2021).
- Whitmarsh, D.; James, C.; Pickering, H.; Neiland, A. The profitability of marine commercial fisheries: A review of economic information needs with particular reference to the UK. Mar. Policy 2000, 24, 257–263. [Google Scholar] [CrossRef]
- Pascoe, S.; Kahui, V.; Hutton, T.; Dichmont, C. Experiences with the use of bioeconomic models in the management of Australian and New Zealand fisheries. Fish. Res. 2016, 183, 539–548. [Google Scholar] [CrossRef]
- Knittweis, L.; Arneri, E.; Ben Meriem, S.; Dimech, M.; Fiorentino, F.; Gancitano, V.; Jarboui, O.; Mbarek, K.B.; Ceriola, L. Stock Status and Potential Yield of Deep Water Rose Shrimp (Parapenaeus longirostris, Lucas 1846) in the South-Central Mediterranean SEA; MedSudMed Technical Documents No 28; FAO: Rome, Italy, 2013; p. 15. [Google Scholar]
- Fiorentino, F.; Garofalo, G.; De Santi, A.; Bono, G.; Giusto, G.; Norrito, G. Spatio-temporal distribution of recruits (0 group) of Merluccius merluccius and Phycis blennoides (Pisces, Gadiformes) in the Strait of Sicily (Central Mediterranean). Hydrobiology 2003, 503, 223–236. [Google Scholar] [CrossRef]
- Levi, D.; Andreoli, M.G.; Bonanno, A.; Fiorentino, F.; Garofalo, G.; Mazzola, S.; Norrito, G.; Patti, B.; Pernice, G.; Ragonese, S.; et al. Embedding sea surface temperature anomalies into the stock recruitment relationship of red mullet (Mullus barbatus L. 1758) in the Strait of Sicily. Sci. Mar. 2003, 67, 259–268. [Google Scholar] [CrossRef]
- Fortibuoni, T.; Bahri, T.; Camilleri, M.; Garofalo, G.; Gristina, M.; Fiorentino, F. Nursery and spawning areas of deep-water rose shrimp, Parapenaeus longirostris (Decapoda: Penaeidae), in the Strait of Sicily (Central Mediterranean Sea). J. Crust. Biol. 2010, 30, 167–174. [Google Scholar] [CrossRef]
- de Juan, S.; Lleonart, J. A conceptual framework for the protection of vulnerable habitats impacted by fishing activities in the Mediterranean high seas. Ocean Coast. Manag. 2010, 53, 717–723. [Google Scholar] [CrossRef]
- Falsone, F.; Scannella, D.; Geraci, M.L.; Gancitano, V.; Vitale, S.; Fiorentino, F. How Fishery Collapses: The Case of Lepidopus caudatus (Pisces: Trichiuridae) in the Strait of Sicily (Central Mediterranean). Front. Mar. Sci. 2021, 7, 1188. [Google Scholar] [CrossRef]
- Petza, D.; Maina, I.; Koukourouvli, N.; Dimarchopoulou, D.; Akrivos, D.; Kavadas, S.; Tsikliras, A.C.; Karachle, P.K.; Katsanevakis, S. Where not to fish—Reviewing and mapping fisheries restricted areas in the Aegean Sea. Mediterr. Mar. Sci. 2017, 18, 310–323. [Google Scholar] [CrossRef] [Green Version]
- Dimarchopoulou, D.; Dogrammatzi, A.; Karachle, P.K.; Tsikliras, A.C. Spatial fishing restrictions benefit demersal stocks in the north-eastern Mediterranean Sea. Sci. Rep. 2018, 8, 5967. [Google Scholar] [CrossRef] [Green Version]
- Rodríguez-Rodríguez, D.; Rodríguez, J.; Abdul Malak, D.; Nastasi, A.; Hernández, P. Marine protected areas and fisheries restricted areas in the Mediterranean: Assessing “actual” marine biodiversity protection coverage at multiple scales. Mar. Policy 2016, 64, 24–30. [Google Scholar] [CrossRef]
- Fraschetti, S.; Pipitone, C.; Mazaris, A.D.; Rilov, G.; Badalamenti, S.B.; Claudet, I.; Carić, H.; Dahl, K.; D’Anna, G.; Daunys, D.; et al. Light and shade in marine conservation across European and Contiguous Seas. Front. Mar. Sci. 2018, 5, 420. [Google Scholar] [CrossRef]
- Hiddink, J.G.; Hutton, T.; Jennings, S.; Kaiser, M.J. Predicting the effects of area closures and fishing effort restrictions on the production, biomass and species richness of benthic invertebrate communities. ICES J. Mar. Sci. 2006, 63, 822–830. [Google Scholar] [CrossRef]
- Dinmore, T.A.; Duplisea, D.E.; Rackham, B.D.; Maxwell, D.L.; Jennings, S. Impact of a large-scale area closure on patterns of fishing disturbance and the consequences for benthic communities. ICES J. Mar. Sci. 2003, 60, 371–380. [Google Scholar] [CrossRef] [Green Version]
- Bonzon, A. Development of economic and social indicators for the management of Mediterranean fisheries. Mar. Freshw. Res. 2000, 51, 493–500. [Google Scholar] [CrossRef]
- Moullec, F.; Barrier, N.; Drira, S.; Guilhaumon, F.; Marsaleix, P.; Somot, S.; Ulses, C.; Velez, L.; Shin, Y. An End-to-End Model Reveals Losers and Winners in a Warming Mediterranean Sea. Front. Mar. Sci. 2019, 6, 345. [Google Scholar] [CrossRef]
- Travers-Trolet, M.; Bourdaud, P.; Genu, M.; Velez, L.; Vermard, Y. The risky decrease of fishing reference points under climate change. Front. Mar. Sci. 2020, 7, 850. [Google Scholar] [CrossRef]
- Fiorentino, F.; Vitale, S. How Can We Reduce the Overexploitation of the Mediterranean Resources? Front. Mar. Sci. 2021, 8, 674633. [Google Scholar] [CrossRef]




| Port | Length Overall (m) | N° of Vessels |
|---|---|---|
| Licata | 12–18 | 5 |
| 18–24 | 0 | |
| Porto Palo di Capo Passero | 12–18 | 8 |
| 18–24 | 4 | |
| Sciacca | 12–18 | 4 |
| 18–24 | 13 | |
| Trapani | 12–18 | 0 |
| 18–24 | 3 | |
| Total | 12–24 | 37 |
| Port. | LOA (m) | No. of Vessels |
|---|---|---|
| Licata | 12–18 | 24 |
| 18–24 | 15 | |
| Porto Palo di Capo Passero | 12–18 | 21 |
| 18–24 | 19 | |
| Sciacca | 12–18 | 12 |
| 18–24 | 66 | |
| Trapani | 12–18 | 18 |
| 18–24 | 11 |
| Species | Taxonomic Group | Total Landings (Tons) | Percentage (%) | Cumulative Percentage (%) |
|---|---|---|---|---|
| Parapenaeus longirostris | Crustacea | 523.3 | 38.9 | 38.9 |
| Lepidopus caudatus | Osteichthyes | 175.1 | 13.0 | 51.9 |
| Merluccius merluccius | Osteichthyes | 127.6 | 9.5 | 61.4 |
| Eledone moschata | Cephalopoda | 62.1 | 4.6 | 66.0 |
| Mullus surmuletus | Osteichthyes | 62.0 | 4.6 | 70.6 |
| Illex coindetii | Cephalopoda | 40.8 | 3.0 | 73.6 |
| Sepia officinalis | Cephalopoda | 32.6 | 2.4 | 76.0 |
| Trachurus trachurus | Osteichthyes | 25.1 | 1.9 | 77.9 |
| Loligo vulgaris | Cephalopoda | 23.7 | 1.8 | 79.7 |
| Octopus vulgaris | Cephalopoda | 23.6 | 1.8 | 81.5 |
| Other | Osteichthyes | 128.3 | 9.5 | 91.0 |
| Other | Crustacea | 55.2 | 4.1 | 95.1 |
| Other | Cephalopoda | 49.4 | 3.7 | 98.8 |
| Other | Chondrichthyes | 18.1 | 1.2 | 100 |
| Species | Taxonomic Group | Total Landings (Tons) | Percentage (%) | Cumulative Percentage (%) |
|---|---|---|---|---|
| Parapenaeus longirostris | Crustacea | 276.8 | 22.8 | 22.8 |
| Lepidopus caudatus | Osteichthyes | 266.7 | 22.0 | 44.8 |
| Merluccius merluccius | Osteichthyes | 91.5 | 7.5 | 52.3 |
| Eledone moschata | Cephalopoda | 48.9 | 4.0 | 56.3 |
| Mullus surmuletus | Osteichthyes | 48.3 | 4.0 | 60.3 |
| Illex coindetii | Cephalopoda | 35.8 | 3.0 | 63.3 |
| Sepia officinalis | Cephalopoda | 33.0 | 2.7 | 66.0 |
| Trachurus trachurus | Osteichthyes | 21.9 | 1.8 | 67.8 |
| Loligo vulgaris | Cephalopoda | 25.3 | 2.1 | 69.9 |
| Octopus vulgaris | Cephalopoda | 28.5 | 2.4 | 72.3 |
| Other | Osteichthyes | 128.6 | 10.6 | 82.9 |
| Other | Crustacea | 165.9 | 13.7 | 96.6 |
| Other | Cephalopoda | 29.8 | 2.5 | 99.1 |
| Other | Chondrichthyes | 11.2 | 0.9 | 100 |
Publisher’s Note: MDPI stays neutral with regard to jurisdictional claims in published maps and institutional affiliations. |
© 2022 by the authors. Licensee MDPI, Basel, Switzerland. This article is an open access article distributed under the terms and conditions of the Creative Commons Attribution (CC BY) license (https://creativecommons.org/licenses/by/4.0/).
Share and Cite
Di Maio, F.; Geraci, M.L.; Scannella, D.; Russo, T.; Fiorentino, F. Evaluation of the Economic Performance of Coastal Trawling off the Southern Coast of Sicily (Central Mediterranean Sea). Sustainability 2022, 14, 4743. https://doi.org/10.3390/su14084743
Di Maio F, Geraci ML, Scannella D, Russo T, Fiorentino F. Evaluation of the Economic Performance of Coastal Trawling off the Southern Coast of Sicily (Central Mediterranean Sea). Sustainability. 2022; 14(8):4743. https://doi.org/10.3390/su14084743
Chicago/Turabian StyleDi Maio, Federico, Michele Luca Geraci, Danilo Scannella, Tommaso Russo, and Fabio Fiorentino. 2022. "Evaluation of the Economic Performance of Coastal Trawling off the Southern Coast of Sicily (Central Mediterranean Sea)" Sustainability 14, no. 8: 4743. https://doi.org/10.3390/su14084743
APA StyleDi Maio, F., Geraci, M. L., Scannella, D., Russo, T., & Fiorentino, F. (2022). Evaluation of the Economic Performance of Coastal Trawling off the Southern Coast of Sicily (Central Mediterranean Sea). Sustainability, 14(8), 4743. https://doi.org/10.3390/su14084743

