Next Article in Journal
Sustainable Exploitation of Greek Rosmarinus officinalis L. Populations for Ornamental Use through Propagation by Shoot Cuttings and In Vitro Cultures
Previous Article in Journal
“Cognition, Intelligence and Movement”: Extracurricular Physical Activity as a Promoter of Intelligence in Schoolchildren
Previous Article in Special Issue
Assessing Urban Vulnerability to Flooding: A Framework to Measure Resilience Using Remote Sensing Approaches
 
 
Font Type:
Arial Georgia Verdana
Font Size:
Aa Aa Aa
Line Spacing:
Column Width:
Background:
Article

Are Global Environmental Uncertainties Inevitable? Measuring Desertification for the SDGs

School of Geography, University of Leeds, Leeds LS2 9JT, UK
Sustainability 2022, 14(7), 4063; https://doi.org/10.3390/su14074063
Submission received: 17 December 2021 / Revised: 18 February 2022 / Accepted: 24 February 2022 / Published: 29 March 2022

Abstract

:
Continuing uncertainty about the present magnitudes of global environmental change phenomena limits scientific understanding of human impacts on Planet Earth, and the quality of scientific advice to policy makers on how to tackle these phenomena. Yet why global environmental uncertainties are so great, why they persist, how their magnitudes differ from one phenomenon to another, and whether they can be reduced is poorly understood. To address these questions, a new tool, the Uncertainty Assessment Framework (UAF), is proposed that builds on previous research by dividing sources of environmental uncertainty into categories linked to features inherent in phenomena, and insufficient capacity to conceptualize and measure phenomena. Applying the UAF shows that, based on its scale, complexity, areal variability and turnover time, desertification is one of the most inherently uncertain global environmental change phenomena. Present uncertainty about desertification is also very high and persistent: the Uncertainty Score of a time series of five estimates of the global extent of desertification shows limited change and has a mean of 6.8, on a scale from 0 to 8, based on the presence of four conceptualization uncertainties (terminological difficulties, underspecification, understructuralization and using proxies) and four measurement uncertainties (random errors, systemic errors, scalar deficiencies and using subjective judgment). This suggests that realization of the Land Degradation Neutrality (LDN) Target 15.3 of the UN Sustainable Development Goal (SDG) 15 (“Life on Land”) will be difficult to monitor in dry areas. None of the estimates in the time series has an Uncertainty Score of 2 when, according to the UAF, evaluation by statistical methods alone would be appropriate. This supports claims that statistical methods have limitations for evaluating very uncertain phenomena. Global environmental uncertainties could be reduced by devising better rules for constructing global environmental information which integrate conceptualization and measurement. A set of seven rules derived from the UAF is applied here to show how to measure desertification, demonstrating that uncertainty about it is not inevitable. Recent review articles have advocated using ‘big data’ to fill national data gaps in monitoring LDN and other SDG 15 targets, but an evaluation of a sample of three exemplar studies using the UAF still gives a mean Uncertainty Score of 4.7, so this approach will not be straightforward.

1. Introduction

The present magnitudes of major global environmental change phenomena, such as forest area change, biodiversity loss and desertification, have been very uncertain for decades. Judged purely by the number of available estimates, one of the most uncertain of these phenomena is desertification, which is land degradation in dry areas. The annual rate of desertification has only been estimated once, for the 1970s [1], and estimates of the global extent of desertification show it contracting, not expanding: an estimate of the area of at least moderately desertified land in the 1970s [2] is over six times an estimate for the 1980s made by the World Atlas of Desertification [3,4]. That estimate has not been updated by the recently published Third Edition of the Atlas, since its authors claim that desertification cannot be mapped satisfactorily [5]. This is an important statement, for while the first two editions of the Atlas were produced by the United Nations Environment Programme, the third comes from the European Commission Joint Research Centre (JRC), a leading centre for global environmental monitoring using remote sensing data. In 2011, a report from a group of remote sensing scientists, coordinated by JRC, recommended that a Global Drylands Observing System be established to monitor desertification [6], but such a system is still awaited.
Continuing uncertainty about the extent and rate of change of desertification makes it difficult to assess the effectiveness of the United Nations Convention to Combat Desertification (UNCCD). Moreover, since drylands account for half of the Earth’s land surface area [3], without accurate estimates of the extent and rate of change of their degradation, it will be impossible to reliably monitor whether the world offsets the rate of land degradation by the rate of restoration of degraded land by 2030, and so achieves Land Degradation Neutrality (LDN), which is Target 15.3 in the UN Sustainable Development Goal 15: “Life on Land” [7,8]. The other eight targets cover two other key global environmental change phenomena: forest area change (15.2) and biodiversity loss (15.1 and 15.4–15.9). According to Allen et al., the 17 Sustainable Development Goals (SDGs) “suffer from a lack of national data needed for effective monitoring and implementation. Almost half of the SDG indicators are not regularly produced and available datasets are often out of date” [9]. They, like Hassani et al. [10], identify satellite data and other sets of “big data” as a potential solution to this problem, but conclude that using these data will not be straightforward. Indeed, in the journal papers on using big data for monitoring SDGs which they review, SDG 15 accounts for the largest share of all papers but one of the smallest shares with global datasets cited in them [9]. This paper addresses these data deficiencies for land degradation in dry areas, but its analysis of global environmental uncertainties is also relevant to other targets in SDG 15.
Does the persistence of global environmental uncertainties mean that they are inevitable? At the other extreme of spatial scales, in 1927, Heisenberg deduced from the new theory of quantum mechanics an inequality which showed that for electrons and other sub-atomic particles, “the exact knowledge of one variable can exclude the exact knowledge of another” [11,12], since the disturbance involved in measuring the position of a particle, for example, affects the measurement of its momentum. Yet while Heisenberg’s Uncertainty Principle was just a theoretical prediction in 1927, there is ample empirical evidence, for desertification and other phenomena, to show the persistence of global environmental uncertainties, despite all the planetary data collected in the 50 years since the first Landsat satellite was launched in 1972. Although sub-atomic physics may seem to have little in common with global change science, they both involve measuring phenomena with scientific instruments, and this paper is not the first to discuss potential parallels between Heisenberg Uncertainty and environmental uncertainties [13].
Are global environmental change phenomena equally uncertain? Global environmental uncertainties continue to inhibit governments from committing sufficient resources to tackling humanity’s global impacts on the planet. So if science can differentiate between the uncertainties associated with different phenomena, this could lead to greater incentives to tackle them.
Surprisingly little research has been undertaken into global environmental uncertainties, despite their scientific and political importance. This may be because environmental uncertainties generally are too easily taken for granted: Brown even stated in 2010 that “there is no common understanding or consistent definition of uncertainty in environmental research” [14]. Neglect of uncertainty about the natural environment is apparent when Google Scholar searches for journal papers whose titles contain “environmental uncertainty” or “environmental uncertainties” generate results dominated by studies of organization theory [15] and control systems [16], which focus on the business environment, not the natural environment.
This paper aims to inspire fresh interest in environmental uncertainties by: (a) proposing an Uncertainty Assessment Framework (UAF) that can tackle the above questions about the inevitability and relative sizes of global environmental uncertainties, and indicate how they can be reduced by planetary measurement; and (b) applying the UAF to desertification and SDG Target 15.3. The UAF focuses on uncertainty about the magnitudes of environmental phenomena, rather than all knowledge about the latter. Instead of starting from a blank slate, it restructures sources of environmental uncertainty in two existing taxonomies [13,17] using an original conceptualization, dividing these sources into three categories linked to: (a) the features inherent in phenomena; (b) insufficient capacity to conceptualize phenomena; and (c) insufficient capacity to measure phenomena. It deals with present uncertainties, not future uncertainties and risk [18], uncertainties in modelling [19], or links between uncertainty and decision making [20].
This paper has four main sections. The first reviews previous research into environmental uncertainty. The second outlines the UAF, and the data and methods employed in the paper. The third applies the UAF to desertification, finding that it has a high inherent uncertainty and a persistently high present uncertainty. The fourth suggests how to reduce present uncertainty about desertification by planetary measurement, using an initial set of rules derived from the UAF for constructing reliable global environmental information, and shows that uncertainty about desertification is not inevitable. It also examines whether these rules are followed by a sample of papers, identified in recent reviews [9,10], which discuss using big data to monitor SDG Target 15.3.

2. Literature Review

2.1. Defining Uncertainty

Uncertainty is defined as “incomplete knowledge” by Böschen et al. [21], but is a contested term. For example, for Smithson, uncertainty is a type of error [22]; for Roth, it describes constraints on reproducing experimental procedures [23]; and for Brown, it is “a state of confidence” varying between certainty and irrelevance [14].
The relationship between uncertainty and risk is contentious too. Knight divided ignorance into risk, which can be assessed by probabilities, and uncertainty, which cannot [24]. Probabilities remain central to analysing future risk today [25], though Beck argued that prediction “is not reducible to… probability” [18].
Wynne distinguishes between uncertainty and risk when classifying “kinds of uncertainty” and proposes two more categories: ignorance, in which “we don’t know what we don’t know”; and indeterminacy, which is an inability to classify “things… as the same or different, [based on] specific properties or criteria” [26]. This views indeterminacy as a conceptualization limitation. Yet physicists treat it more explicitly as a measurement limitation, so parameters are known but cannot be properly measured [27]. Such different views illustrate the contributions made to uncertainty by conceptualization and measurement, and synergies between them.

2.2. The Sociology of Knowledge Accumulation

Uncertainty about any phenomenon is usually reduced as science systematically accumulates knowledge about it through observation, experiment and explanation. Isolated facts, or data, are collected and then processed within a conceptual framework into meaningful information [28]. After being verified and reported, information is synthesized into even more usable knowledge.
Science, however, is a social activity in which continuous development is punctuated by discontinuities as scientific communities switch from one dominant theoretical paradigm to another [29]. It also differentiates into an increasing number of subject-specific disciplines, each with its own language and rules [30] and authority and monopoly claims [31].
Planetary measurement uses instruments on satellites to collect global data, and then, with appropriate support from ground data, converts these data into global information. It is difficult to explain on purely technological grounds the limited amount of planetary measurement since the first Landsat satellite was launched in 1972, but much easier when allowing for the sociology of science, since different approaches are taken towards data collection and information production by remote sensing scientists, on the one hand, and scientists in other disciplines which study land cover change, on the other [32]. Ecologists, for example, have traditionally preferred to collect data by intensive measurements in small sample plots, and have been slow to make full use of remote sensing data [33]. Remote sensing scientists are skilled in processing the latter data but have taken time to convert them into global information. For example, the first global forest area map based on “wall-to-wall” Landsat data was not published until 2012 [34]; and of a sample of 96 papers published before this advance in the International Journal of Remote Sensing in 2009, only one focused on mapping at global scale (Supplementary Table S1).
Knowledge about global environmental change is gained not only by scientific processes, but also by intergovernmental political processes in which UN and other international organizations conceptualize phenomena and estimate their magnitudes. One example is the UN Commission for Sustainable Development process which led to the Sustainable Development Goals [8]. Intergovernmental processes often characterize global phenomena by indicators—measurable quantities that represent specific attributes of a given system [35]. If indicators are to generate meaningful information, they should ideally be chosen using coherent conceptual frameworks [36]; yet, in practice, these processes tend to rely on long lists of indicators with limited coherency [37]. Interactions between scientific processes and political processes vary in intensity [38].

2.3. Existing Approaches to Evaluating Very Uncertain Environmental Phenomena

The conventional quantitative approach taken by many peer-reviewed studies to evaluate uncertainty about environmental phenomena uses statistical methods to estimate errors. Yet it is claimed that this approach is less meaningful in cases of severe uncertainty [39,40], when “unquantifiable uncertainties… dominate the quantifiable ones” [41]. Estimates of global environmental change phenomena are particularly prone to this, because many estimates are still not wholly based on measurements of the kind that scientists working at lower spatial scales take for granted, but often rely heavily on national statistics whose links to measurements are less robust [32].
One alternative to purely quantitative analysis of uncertainty is to combine it with qualitative evaluation. The Numerical Unit Spread Assessment Pedigree (NUSAP) system divides uncertainty into three “sorts”: “technical”, or random error; “methodological”, or unreliable measurement; and “epistemological”, or how well scientific theories fit the real world [42]. The first two sorts represent measurement and the third conceptualization. Van der Sluijs has added a “societal” category in which society influences scientific activity [41]. NUSAP identifies for any number its random error (Spread); reliability, linked to systematic errors (Assessment); and how the number is produced (Pedigree). Although NUSAP has been applied to various environmental phenomena, Spread seems less relevant to highly uncertain phenomena; and Pedigree indicators may change from one phenomenon to another, and give measurement uncertainties priority over conceptualization uncertainties.
Another approach is to only evaluate sources of environmental uncertainty qualitatively. Regan et al. distinguish between “linguistic sources”, which limit conceptualization, and “epistemic sources”, which include natural variability and measurement sources [13] (Table 1). Van Asselt and Rotmans separate “variability” in phenomena from “limited knowledge” (or measurement) sources, but exclude conceptualization sources (except “value diversity”) [17] (Table 1). Both taxonomies neglect economic factors, which limit the size, frequency and resolution of large scale surveys [43]. They are also rather arbitrary and inconsistent in categorizing sources, and in sequencing them in each category (Tables S2 and S3). Yet their similarities suggest that, suitably modified, they could form the basis for a more coherent taxonomy which distinguishes more clearly between inherent, conceptualization and measurement sources, and this has inspired the approach taken here.

3. Methodology, Materials and Methods

3.1. Overview

Böschen et al.’s definition of uncertainty as “incomplete knowledge” [21] suggests that to conceptualize the origins of environmental uncertainty, it is necessary to first identify what determines complete knowledge of an environmental phenomenon (Kc), and then explain how the gap between this and present knowledge at any time t (Kt) is linked to restrictions on capacity to construct knowledge.
The Uncertainty Assessment Framework (UAF) proposed here therefore divides sources of uncertainty about any environmental phenomenon into three interacting categories (Figure 1) which are linked to:
(1)
The features inherent in the phenomenon.
(2)
Insufficient capacity to conceptualize the phenomenon.
(3)
Insufficient capacity to measure the phenomenon.
The features of a phenomenon determine what must be understood to have complete knowledge about it, and contribute to its inherent uncertainty. They include its: (a) spatial extent; (b) biophysical complexity, which depends on the minimum number of attributes needed to characterize its spatial distribution—attributes correspond to the different information layers which must be combined to map the phenomenon (see below); (c) spatio-temporal randomness, resulting from natural factors; and (d) human-environment complexity, which exacerbates biophysical complexity and natural randomness. The larger each feature is, the more knowledge is needed to understand the phenomenon, and the greater its inherent uncertainty.
The two capacities describe how improving technology, financial resources and people’s skills (or ‘Human Capital’) can reduce uncertainty by constructing present knowledge about the phenomenon. The smaller the two capacities are, the larger the associated difficulties in conceptualization and measurement are likely to be.
If the difference between complete and present knowledge is represented by the sum of present conceptualization uncertainties (Uct) and measurement uncertainties (Umt) resulting from the associated capacity limitations at time t then:
Kc = Kt + Uct + Umt
Following Van der Sluijs [41], all three categories of sources are subject to societal constraints, which include political, economic and other social factors (Figure 1).
The UAF builds on previous research by restructuring the individual sources listed by Regan et al. [13] and Van Asselt and Rotmans [17], using the phenomenal features and measurement categories prominent in both taxonomies and the conceptualization category highlighted by Regan et al. [13] (Table 2).

3.2. Phenomenal Uncertainties

It is proposed that uncertainty inherent in an environmental phenomenon is associated with four of its features:
(1)
Spatial extent (S). The greater the area of a phenomenon, the more difficult it is to measure, and the more spatially diverse its distribution is likely to be.
(2)
Biophysical complexity (B), potentially involving many environmental attributes—each of which may be represented by at least one variable—and processes linking these attributes. For example, forest area change involves change in just one forest attribute: area. In contrast, forest carbon change involves changes in at least two attributes: area and carbon density, each of which needs to be mapped. Biodiversity involves changes in at least three attributes: ecosystem diversity, species diversity and genetic diversity [44] (Table 3). In the two latter cases the number of attributes could be expanded to include intermediate ones, e.g., biomass density in the case of forest carbon change [32], but for simplicity, the minimum number of attributes is used here. Desertification is an even more complex phenomenon, with at least seven attributes, as discussed in Section 4.1.3.
(3)
Randomness in spatial and temporal distributions (R), resulting from natural factors.
(4)
Human-environment complexity (H), evident in multidirectional, multitemporal and multiscalar interactions between human systems and environmental systems. Often involving changeable, conflicting and inconsistent human behaviour in causing or responding to phenomena, these interactions can exacerbate biophysical complexity and natural randomness and shift the characteristics of phenomena outside previously recorded ranges.
The last three features encompass but expand the scope of the “epistemic” sources 3 and 4 of Regan et al. [13] and the “variability” sources 1, 3, 4 and 5 of Van Asselt and Rotmans [17] (Table 2). Neither study recognizes the first feature, spatial extent, even though it is far more difficult to measure environmental change at global scale than at national and local scales [32].
The relationship between inherent uncertainty (U) and the four features of an environmental phenomenon listed above can be expressed algebraically by an inherent uncertainty function:
U = f (S, B, R, H)
If S is represented by the total area of the phenomenon (Ai), B is related to the minimum number of attributes required to characterize it (bi), and R and H are jointly represented on the ground by the inverses of the smallest area (ai) (areal variability) and shortest time period (ti) (turnover time) over which the phenomenon varies, then U can also be expressed as:
U = g (Ai, bi, 1/ai, 1/ti)
Ideally, there would be a close fit between these variables and the properties of the remote sensing system chosen to measure the phenomenon. Thus, Ai would be linked to the maximum area which a remote sensing system can measure in practice; ai and ti to the spatial and temporal resolutions of the system, respectively; and bi to the minimum number of attributes which can be measured remotely and/or in situ.

3.3. Knowledge Construction Mechanisms

Identifying the social mechanisms which limit the conceptualization and measurement capacities of scientific groups and intergovernmental and other organizations, and lead to conceptualization and measurement uncertainties, can show how to restructure the sources listed in Table 1 to construct the more coherent taxonomy proposed in Table 2. The UAF assumes that conceptualization and measurement capacities can be linked to two characteristics of a group:
(1)
Its world view, or discourse, which frames conceptualization. Hajer [45] defines a discourse as “a specific ensemble of ideas, concepts, and categorizations that are produced, reproduced and transformed in a particular set of practices and through which meaning is given to physical and social realities.” Ideas, concepts, and categorizations are ideally expressed in an internally consistent language which, starting with the smallest unit, or term, is used to construct increasingly complex narratives: sets of statements that give a meaningful totality of events [46].
(2)
Its set of repeated practices, or institutions, which comprise the methods used for measurement and constructing knowledge generally. Institutions are “enduring regularities of human action in situations structured by rules, norms and shared strategies, as well as by the physical world” [47]. They occur in ‘organizations’ but are not equivalent to them. Ostrom proposed that any social setting has multiple levels of institutions: “operational institutions”, which may be varied easily, are embedded in the “collective choice institutions” of a particular group that change more slowly, and are framed by “constitutional choice institutions”, consistent with national and international laws, that change even more slowly, and are nested in “metaconstitutional institutions”, such as social norms, that rarely change [48].
Each scientific discipline has a set of common formal collective choice institutions for conceptualization and measurement that influence the operational institutions used by its members. All scientists can devise new conceptualizations and institutions. When new informal institutions are widely adopted by other members of a discipline, they may become formal institutions, and widespread adoption of a new conceptualization may change the dominant paradigm of a discipline [29].
Hajer’s definition of “discourse”, which is generic but was devised for environmental research, implies that reproducing discourse in conceptualization is inseparable from reproducing institutions in measurement [45]. Synergistic interactions between conceptualization and measurement are quite common in science: new theories are tested by comparing their predictions with empirical data, but new data may raise questions about existing theories and lead to better ones, and to more measurements to test these theories. Such interactions are not deterministic or predictable, and may have positive and negative effects on uncertainty.

3.4. Societal Constraints

The concepts of discourse and institutions can also explain societal constraints on groups that construct knowledge [41] (Figure 1), e.g., governments and intergovernmental organizations can impose their discourses and/or institutions on scientists working for them [49]. Science is also restricted by the operation of markets, but since governments frame the latter, by establishing and sustaining suitable constitutional choice institutions, they can also modify this restriction for social ends.

3.5. Conceptualization Uncertainties

Estimating the magnitude of an environmental phenomenon is constrained by insufficient capacity to conceptualize it, resulting in four main sources of conceptualization uncertainty that limit the clarity and coverage of statements about it (Table 2). If insufficient conceptualization capacity is linked to limitations in discourse and language, as proposed in Section 3.3, then these sources can be listed in order of the increasing linguistic complexity of the statements to which they refer:
(1)
Terminological difficulties, in which using unclear, poorly defined or group-specific terms, e.g., A and B, to name and represent a phenomenon or its attributes can create confusion or ambiguity. Every scientific discipline has a different dominant discourse, so the same term may mean different things to different disciplines [50], or to scientists and lay people.
(2)
Underspecification, which involves lack of completeness in statements that combine various terms, e.g., “A + B”, to describe the multiple attributes of a phenomenon. Every discipline at any time only has sufficient common formal rules, and corresponding institutions, to combine some of the terms in its current discourse and theories into statements that describe a phenomenon at particular spatial scales. Statements made by different disciplines may be mutually inconsistent.
(3)
Understructuralization, in which the actual spatial distributions of the characteristics of a complex phenomenon are not fully represented by the disaggregation of combinations of terms and statements about relationships between multiple attributes, or states and flows related to these. Such combinations may include groups of symbolic statements (equations), e.g., “aA + bB = C1, and dA + eB = C2”, and nested hierarchical taxonomies of attributes and states that structure multiscalar knowledge. Structural classifications of phenomena are called “ontologies” in geographical information science [51]. So two conceptualizations of a phenomenon may differ structurally (ontologically) as well as terminologically (semantically).
(4)
Using proxies, in which attributes are represented by indicators loosely linked to the ideal variables for measuring these attributes, or phenomena are represented by models constructed with easily quantified variables. This happens when it is difficult to: (a) identify more appropriate variables by conceptualization, or (b) collect empirical data for such variables even if they are known.
Conceptualization uncertainties impose very real constraints on the accuracy of estimates, as the analysis of desertification below will show. Our first three sources are included in Regan et al.’s “linguistic” sources of uncertainty [13] (Table 2) but are structured more coherently here. Terminological difficulties can influence other sources. Proxies are used in reaction to the first three sources, and can involve synergies between conceptualization and measurement. They are mentioned in NUSAP [42] but not by Regan et al. [13] or Van Asselt and Rotmans [17]. Limitations on conceptualization capacity are also analysed in other literatures, such as that on “vagueness” [52].
If conceptualization uncertainty (Uc in Equation (1)) is the sum of uncertainties resulting from terminological difficulties (Ucte), underspecificity (Ucusp), understructuralization (Ucust) and using proxies (Ucpr) then:
Uc = Ucte + Ucusp + Ucust + Ucpr
Societal constraints on scientific conceptualization can exacerbate these uncertainties by: (a) territorialization, in which a scientific community is divided into ‘insiders’ and ‘outsiders’ when policy makers appoint ‘expert’ advisors who are unaccountable to other scientists, contrary to norms for good communication [53]; and (b) scope shaping, in which policy makers influence the scope of knowledge that these experts supply by imposing discourses and institutions on them [49].

3.6. Measurement Uncertainties

Estimating the magnitude of an environmental phenomenon is also restricted by insufficient capacity to measure it, leading to four main sources of measurement uncertainty which inhibit construction of quantitative statements. If insufficient measurement capacity is linked to institutional limitations, as proposed in Section 3.3, then these sources can be listed in order of increasing institutional nesting:
(1)
Random errors in measured data, resulting from deficient equipment and human error.
(2)
Systematic errors in measured data, which are linked immediately to technical constraints, and through these to formal and informal institutions. For example, measurements of environmental phenomena may be biased by informal adoption of repeated practices which use: (a) equipment with insufficient resolution to observe a phenomenon reliably; and (b) inadequate sampling designs.
(3)
Scalar deficiencies in measurement, which are linked more directly to institutional constraints. If the formal measurement institutions of a discipline do not specify all the scalar contexts that characterize an environmental phenomenon [54], then scientists may create ad hoc informal institutions for collecting and processing data. This can lead to errors in estimates that evade scrutiny in peer review.
(4)
Using subjective judgment in making estimates, when data are lacking.
These measurement uncertainties combine in a more coherent way the “epistemic” sources 1, 2 and 6, and “linguistic” source 2 of Regan et al. [13]; and the “limited knowledge” sources 1, 2, 4 and 5 of Van Asselt and Rotmans [17] (Table 2). Subjective judgment is used in reaction to the other three uncertainties, and can involve synergies between conceptualization and measurement.
If measurement uncertainty (Um in Equation (1)) is the sum of uncertainties resulting from random errors (Umr), systematic errors (Umsy), scalar deficiencies (Umsc) and using subjective judgment (Umsu) then:
Um = Umr + Umsy + Umsc + Umsu
Societal constraints complicate measurement uncertainties when, for example: (a) scientists use global compilations of national statistics in the absence of planetary measurement, as when basing estimates of forest carbon change on national forest area statistics [55]; (b) governments ask scientific “experts” to use subjective judgment in making estimates for them, as in estimates of desertification evaluated below [49]; and (c) economic factors limit the size, frequency and resolution of surveys and hence the accuracy of estimates of phenomena characterized by the variables Ai, ai, and ti in Equation (3)—for example, market forces inhibited planetary measurement at appropriate spatial resolutions until the US government modified its institutions and made medium resolution Landsat images freely available in 2008.

3.7. Constructing the Uncertainty Fingerprint of an Estimate

The Uncertainty Fingerprint of an estimate combines its conceptual and measurement uncertainties in a row of a matrix, and is constructed by:
(1)
Identifying which of the eight sources of conceptual and measurement uncertainties (Table 2) are associated with the estimate.
(2)
Coding the uncertainties as follows:
  • Conceptualization uncertainties: terminological difficulties (te); underspecification (usp); understructuralization (ust); and using proxies (pr).
  • Measurement uncertainties: random errors (r); systematic errors (sy); scalar deficiencies (sc); and using subjective judgment (su).
(3)
Calculating the total number of uncertainties in the fingerprint to give its Uncertainty Score (US), on a scale from 0 to 8.

3.8. Trends in Uncertainty over Time

Stacking the Uncertainty Fingerprints of successive estimates of an environmental phenomenon on top of each other in multiple rows in a matrix shows how the composition of its uncertainties changes over time. Among conceptualization uncertainties, ideally the use of proxies should end first (as estimates are increasingly based on appropriate measurements), followed by terminological difficulties, understructuralization and underspecification in a related manner. Among measurement uncertainties, reliance on subjective judgment should ideally end first, for the same reason as for proxies. Scalar deficiencies will decline as common rules for planetary measurement are devised, agreed and widely adopted, enabling reductions in random errors and systematic errors.
Assembling the trend in the Uncertainty Scores of successive estimates of a phenomenon in a stack gives its Uncertainty Profile, which can show if present uncertainty is persistent or not. If the Uncertainty Score falls to the statistical threshold value of US = 2, then ideally uncertainty should be dominated by two measurement uncertainties—random errors (Umr) and systematic errors (Umsy)—that can be evaluated by standard statistical methods alone, thereby showing continuity between the latter and the UAF (see also Supplementary Information). The Uncertainty Profiles of different phenomena can be used to compare trends in their present uncertainties.
The UAF only applies to information on the magnitudes of environmental phenomena. So gaining an accurate estimate of a phenomenon does not end the accumulation of knowledge about it. It is merely a precondition for allowing scientists to develop increasingly reliable explanations of the processes that cause and control it.

3.9. Rules for Constructing Reliable Global Environmental Information

The conceptualization uncertainties and measurement uncertainties listed in Table 2 and the inherent uncertainty function (Equation (3)) lead to seven rules for constructing reliable global environmental information by planetary measurement:
(1)
Define a phenomenon clearly and appropriately.
(2)
Specify the minimum number of attributes to measure, to completely characterize a phenomenon.
(3)
Disaggregate measurement of a phenomenon, to represent the full diversity of its spatial distribution.
(4)
Minimize spatial systematic errors, by using sensors whose spatial resolution matches the areal variability of a phenomenon and whose spectral resolution matches its most distinctive property.
(5)
Minimize temporal systematic errors, by choosing a monitoring frequency consistent with the turnover time of a phenomenon.
(6)
Minimize the systematic and random errors associated with the method used to classify satellite images, e.g., supervised classification, unsupervised classification, crowd classification etc., supported by ground data.
(7)
Minimize the systematic and random errors associated with the algorithm used to combine estimates of the various attributes of a phenomenon.
The first three rules will avoid terminological difficulties (1), underspecification (2), understructuralization (3), and using proxies. Rules 4–7 will avoid using subjective judgment, and reduce random and systematic errors and scalar deficiencies.

3.10. Methods

The inherent uncertainty of desertification was assessed using the components of the inherent uncertainty function (see Equations (2) and (3)).
Individual estimates of the extent of desertification were evaluated to identify the presence of conceptualization and measurement uncertainties, produce their Uncertainty Fingerprints, and calculate their Uncertainty Scores (US). The US values of five global estimates were combined to give the Uncertainty Profile of desertification. Underlying mechanisms which limit conceptualization and measurement capacities and generate uncertainties were also identified.
The rules proposed here for constructing global environmental information were applied to suggest how to reduce uncertainty about desertification by planetary measurement, and to inform the Uncertainty Fingerprinting of methods proposed to use ‘big data’ to monitor SDG Target 15.3.

3.11. Data

A time series of five estimates of the global extent of desertification, estimated by scientists working within the framework of intergovernmental (UN) institutions [1,2,3,56,57], was analysed using the UAF, together with methods proposed by scientific groups to use big data to monitor SDG Target 15.3 in seven papers identified in two recent reviews [9,10]. A sample of 96 papers in the International Journal of Remote Sensing in 2009 was examined to identify topics given priority in remote sensing science (see Supplementary Table S1). Another 50 papers on assessing dryland degradation, published in Land Degradation and Development from 2006 to 2010, were analysed to identify the scalar preferences, and diversity of discourses and institutions, of dryland scientists (see Tables S4, S5, S8 and S9). To avoid bias, both samples precede the start of global forest measurement using Landsat satellite data [34], and exclude special issues.

4. Results

To illustrate how the Uncertainty Assessment Framework (UAF) can be used in practice this section applies it to desertification. After examining the inherent uncertainty of desertification it identifies present conceptualization and measurement uncertainties in a time series of five estimates of the global extent of desertification, and then assembles the Uncertainty Fingerprints of these estimates and the overall Uncertainty Profile of desertification.

4.1. The Inherent Uncertainty of Desertification

4.1.1. Definition

Desertification is defined in the United Nations Convention to Combat Desertification (UNCCD) as “land degradation in arid, semi-arid and dry sub-humid areas resulting from various factors, including climatic variations and human activities” [58]. Countering it by the restoration of degraded land is necessary to achieve the Land Degradation Neutrality Target 15.3 of UN Sustainable Development Goal 15 [7,8] in dry areas.

4.1.2. Spatial Extent

Desertification affects the drylands, which, according to the UN Environment Programme World Atlas of Desertification [3], cover 6147 million hectares (Mha) in the hyper-arid, arid, semi-arid and dry sub-humid zones. All of this area except for 978 Mha of hyper-arid land (natural desert) is vulnerable to desertification [59] and so 5169 Mha should be measured to determine its extent.

4.1.3. Biophysical Complexity

Desertification is a complex phenomenon in which the degradation (or reduction in quality) of vegetation and soil, and the corresponding decline in their collective ecological functions, is influenced by variation in climate [2]. Long-term human degradation of land can accelerate when drought reduces land productivity and human impacts intensify. It involves continuous transitions between different degrees of degradation, and is usually reversible by restoration up to a threshold degree of degradation [59].
Desertification has multiple attributes. Thus, each type of dryland ecosystem has a particular area, within which its multiple layers of grasses, shrubs and trees grow at varying densities. Degradation through overuse causes each of these types of plants and their species (including crops) to decline in density, which makes soil more vulnerable to degradation by: (a) water erosion; (b) wind erosion; (c) compaction by animals and machinery; and (d) salinization, alkalinization and waterlogging—three related forms of degradation to which irrigated cropland is especially susceptible. Desertification therefore has at least six terrestrial attributes plus rainfall variation, for which vegetation maps must be corrected to avoid misleading inferences about vegetation change [60] (Table 3).

4.1.4. Spatio-Temporal Randomness

Desertification is highly dispersed and spatially variable, owing to variation in soil erosivity [61], and how the irregular timing and location of rainfall influence vegetation growth in dry areas and human responses to it.

4.1.5. Human-Environment Complexity

Biophysical complexity and natural randomness are exacerbated by how complex underlying social, economic and political driving and controlling forces [62,63] can lead to cross-scalar relationships [64] and coupled relationships with multiple feedback loops [65].
Consequently, areal variability (Equation (3)) may be as little as 0.1 ha, since tree density is low in dry open woodlands, and gullies caused by soil erosion may only be a few metres wide, even in advanced stages of erosion [66]. A turnover time of 2 years fits the great fluctuation in rainfall and short-term vegetation and human responses to this [67] within long-term cycles.

4.1.6. The Relative Inherent Uncertainty of Desertification

Desertification is one of the most inherently uncertain of all global environmental change phenomena. For example, in terms of the components of the inherent uncertainty function (Equation (3)), it has seven times as many attributes as forest area change (Table 3), and the area potentially affected is three times the area of forest in the tropics (Table 4), where forest area is currently changing most rapidly. An areal variability of as little as 0.1 ha is just a fifth of that of tropical forest area change (0.5 ha): the smallest agricultural clearances in tropical moist forest are usually of the order of 1 ha, but this overall tropical mean allows for the greater spatial complexity of tropical dry forest change. The turnover time of desertification (2 years) is slightly less than that of the 3 years for tropical forest area change (Table 4).

4.2. Conceptualization Uncertainties of Estimates of Desertification

This assessment of present uncertainty about desertification begins by checking to see if the four sources of present conceptualization uncertainty in Table 2—terminological difficulties, underspecification, understructuralization and using proxies—occur in the time series of five estimates of the global extent of desertification in Table 5.

4.2.1. Terminological Difficulties

Terminological difficulties lead to uncertainty about what a number refers to, and to inconsistency between estimates of what may appear to be the same variable.
The first four estimates of the extent of at least moderately desertified land were prepared for the United Nations Environment Programme (UNEP), which convened the UN Conference on Desertification (UNCOD) in 1977 and coordinated implementation of the Plan of Action to Combat Desertification agreed there [68]. The estimates vary greatly, from 4002 Mha [2] to 3272 Mha [1] and 3475 Mha [56] in the 1970s to 608 Mha [3,4] in the 1980s (Table 5). Counter-intuitively, they appear to show desertified land contracting, not expanding, over time. The rate of desertification has only been estimated once, for the 1970s (20 Mha.a−1) [1].
These estimates have no terminological difficulties as they all assume that desertification includes a range of soil and vegetation degradation, much of it dispersed and reversible, with only the most severe degradation leading to new desert. This is consistent with how UNCOD defined the term as: “an aspect of the widespread deterioration of ecosystems under the combined pressure of adverse and fluctuating climate and excessive exploitation…[involving] the diminution or destruction of the biological potential of land, and can lead ultimately to desert-like conditions” [59]. The fourth estimate was reported in the UNEP World Atlas of Desertification [3] and included in its Second Edition too [4], though this used instead the more compact definition in the UN Convention to Combat Desertification [58] (see Section 4.1.1).
Table 5. Estimates of the global extent of desertification (Mha).
Table 5. Estimates of the global extent of desertification (Mha).
EstimatePrimary VariablePeriodMagnitude (Mha)Notes
Dregne (1977) [2]Area of at least moderately desertified land1970s4002
Dregne (1983) [1]Area of at least moderately desertified land1970s3272
Mabbutt (1984) [56] *Area of at least moderately desertified land1970s3475
Middleton and Thomas (1992, 1997) [3,4]Area of at least moderately desertified land1980s608UNEP World Atlas of Desertification
LADA (2008) [57]Degrading area1981–2003771From Bai et al. [69]
* This paper also included an estimate of 1942 Mha that omitted unused rangelands.
The fifth estimate in Table 5, 771 Mha, does have terminological difficulties. It comes from a “preliminary [global] map of land degradation” published by the Land Degradation Assessment in Drylands (LADA) project of another UN agency, the Food and Agriculture Organization [57]. It refers not, as FAO states, to the area of “degraded land”, but to a proxy variable of “degrading area” [69]. The estimate is based on a drop in biomass growth from 1981 to 2003 estimated from satellite data. So here conceptualization is affected by the practicalities of measurement.
Table 5 contains no estimate for the Third Edition of the World Atlas of Desertification, published in 2018 not by UNEP, but by the Joint Research Centre of the European Commission (JRC). JRC is a leading centre for planetary measurement, and a new map of desertification based on remote sensing data could have provided a more robust estimate than those in earlier editions, which relied on subjective judgment. Yet the Atlas states that: “‘desertification’ or ‘land degradation’ cannot be captured in global maps in a way that satisfies all stakeholders. Instead, [the Atlas] illustrates the geographic distribution of coincident patterns of issues that may indicate potential land degradation” [5].
Difficulties in “satisf[ying] stakeholders” in the new Atlas reflect the different perceptions of the governments of developing countries, who are concerned about the impacts of drought (a natural hazard) on economic development, and those of developed countries, who are more concerned about land degradation (a human-made hazard) [49]. The term “desertification” is also contested by scientists, as its original meaning of frontier-like desert expansion [70] is not how UNCOD understood desertification [71]. UNEP ‘territorialized’ the drylands science community (see Section 3.5) into ‘insiders’, who advised it for UNCOD [59] and later initiatives and accepted its discourse, and ‘outsiders’ (other scientists), many of whom did not. Thus, in our sample of 50 papers that assess dryland degradation, only 36% mention the term “desertification” in the text and just 4% include it in their titles (Table S4). The focus of the new Atlas on “potential land degradation” is consistent with a scientific discourse within which maps of potential desertification hazard are generated by biophysical models [72,73]. A “World Map of Desertification” was the most widely publicized of four maps presented to UNCOD, though it only showed potential land degradation hazard, not the actual current status of desertification [74].

4.2.2. Underspecification

Underspecification limits the completeness of estimates in covering all attributes of a phenomenon.
All the estimates of the extent of desertification in Table 5 are underspecified. In 1977, Dregne was the first to specify desertification as a combination of vegetation degradation and soil degradation [2], and used this approach to produce for UNCOD the first world map of current desertification status (Figure 2) [75]. This subjective estimate divides soil degradation into wind erosion, water erosion and salinization, but omits soil compaction (Figure 3a). Two later estimates by Dregne in 1983 [1] and Mabbutt in 1984 [56] are even less complete, as they only refer to total soil erosion (Figure 3b).
The UNEP World Atlas of Desertification estimate is underspecified too, since it treats soil degradation as a proxy for all desertification (Figure 3c). The estimate is well specified in soil degradation, covering all soil attributes, but it omits vegetation degradation. The Atlas acknowledges this limitation, and includes a map combining soil and vegetation degradation, but no estimate based on this map [3]. This conceptualization was influenced by measurement practicalities, since UNEP used the dryland component of an existing soil degradation map based on subjective estimates by a large team of scientists [76], instead of commissioning a special survey of desertification.
In contrast, the LADA estimate is underspecified because it omits soil degradation and uses a decline in vegetation productivity as a proxy for all land degradation [57] (Figure 3d). Yet vegetation productivity corresponds to just one of 11 indicators (“vegetation activity”) in LADA’s own comprehensive taxonomy of land degradation indicators, the other ten covering climate, soil and water [77] (Table S6). This proxy also involves a synergy between conceptualization and measurement since LADA used an existing map of vegetation change originally produced for another purpose [69]. Underspecification in the LADA and UNEP World Atlas of Desertification estimates contributes to their values being lower than the earlier estimates, since both omit a major group of attributes.

4.2.3. Understructuralization

Understructuralization limits the extent to which an estimate is disaggregated to represent the actual distribution of a phenomenon.
Estimates of the extent of desertification would ideally be disaggregated by types of land use, aridity and degradation of irrigated cropland. Only the Dregne (1977) and LADA estimates in Table 5 are understructuralized by land use type [2,57]. The Dregne (1983) and Mabbutt (1984) estimates divide areas of land by degree of desertification, e.g., slight, moderate, severe and very severe, for the three main uses of drylands: rainfed cropping, livestock raising and irrigated cropping (Figure 3b) [2,56]. The UNEP World Atlas of Desertification estimate takes a different approach, by focusing on the causes of desertification, but it identifies areas in which soil is degraded by “overgrazing” and “agricultural activities”. The latter include both rainfed cropping and irrigated cropping, whose degraded area is listed separately (Figure 3c) [3].
Only the UNEP World Atlas of Desertification [3] and LADA [57] estimates are disaggregated between the aridity zones within which desertification can occur according to the UN [58,59], though the LADA estimate combines the arid and hyper-arid zones (Table S7). The other estimates are understructuralized and this limits their spatial resolution.
The UNEP World Atlas of Desertification estimate is also fully disaggregated between the different types of degradation of irrigated cropland: salinization, alkalinization and waterlogging [3] (Figure 3c). The other estimates are understructuralized since they merely list the area of all degraded irrigated cropland under the heading of “salinization or waterlogging”, as with the estimates by Dregne [1] and Mabbutt [56], or aggregate degraded irrigated cropland with other degraded land, as with the estimates by Dregne [2] and LADA [57].

4.2.4. Using Proxies

All estimates of the extent of desertification in Table 5 use proxies, indicating their tenuous foundation on measured variables and/or data. Dregne only uses one proxy in his two estimates–an economic indicator (crop yield) to represent salinization of irrigated cropland [1,2] though his second estimate does include electrical conductivity equivalents [1]); but Mabbutt [56] relies on economic proxy indicators (crop and livestock yields) for all three of his attributes (Table S6).
The UNEP World Atlas of Desertification uses soil degradation as a proxy for desertification. It assesses different types of soil degradation using quantifiable indicators, and then converts these into the extent of desertification by using four additional proxy indicators: “changes in agricultural suitability”, “decline in agricultural productivity”, the quality of the terrain, and intactness of “biotic functions” and the ease of restoring these [3] (Table S6). The LADA map uses “degrading area” as a proxy for “degraded land” [57], though the map’s original authors [78], and later LADA itself [79], recognized that this did not properly represent land degradation observable on the ground.

4.3. Measurement Uncertainties of Estimates of Desertification

This section reports the presence in the time series of estimates of the four sources of measurement uncertainty listed in Table 2: random errors, systematic errors, scalar deficiencies and using subjective judgment.

4.3.1. Random and systematic errors

Systematic errors can be evaluated in relation to areal variability and turnover time in the inherent uncertainty function (Equation (3)). They are analysed here with random errors since both are high in all the estimates of desertification in Table 5. Systematic errors are difficult to assess for the first four estimates, owing to the limited empirical data on which these are based, but are more easily traced in LADA’s map of lands, where, according to the Normalized Difference Vegetation Index calculated from satellite data, biomass growth fell from 1981 to 2003 [57]. Drylands only account for 22% of the global total of this “degrading area” (Table S7), and since in Africa the latter is concentrated below the Equator, the estimate is biased as it excludes degradation of drylands immediately to the south of the Sahara. Desertification, by definition, can lead to “the diminution or destruction of the biological potential of land….” [59], but it is not equivalent to a reduction in net primary productivity, as this can also occur because of lack of rainfall [80]. Systematic errors also result from the gap between the 8 km resolution of satellite data used for this map and the much higher resolutions needed to monitor the areal variabilities of the different attributes of desertification reliably (see Section 4.1.4) [81].

4.3.2. Scalar Deficiencies

All estimates of desertification in Table 5 have scalar deficiencies owing to limitations of the informal institutions devised to produce them. ‘Insider’ scientists who worked within UN institutions to make subjective global estimates of the extent of desertification for UNEP devised informal institutions to do this, since few local ground data were available [49]. Studies by autonomous scientists have scalar deficiencies too, e.g., LADA’s global map of “degrading area” relies on another ad hoc set of institutions [57]. None of our sample of 50 papers on assessing dryland degradation shows evidence for the use of conceptual frameworks and formal measurement institutions suited to global and regional scales. Only 4% of papers even produce national information using national conceptual frameworks (Table S8).

4.3.3. Using Subjective Judgment

It is difficult to evaluate properly the reliability of subjective estimates by referring to the methods and/or data on which they are based. Only the LADA estimate does not rely on subjective judgment [57].

4.4. Fingerprinting the Sources of Uncertainty about Desertification

The Uncertainty Fingerprints of the estimates of the extent of desertification by Dregne (1983) [1] and Mabbutt (1984) [56] show that the estimates are limited by underspecification, understructuralization by irrigated cropland and climate, random errors, systematic errors, scalar deficiencies and using proxies and subjective judgment (Figure 4). The Dregne (1977) estimate is also understructuralized by land use type [2]. The least uncertain estimate, by the UNEP World Atlas of Desertification [3], lacks understructuralization, but resembles the preceding three estimates in being underspecified, relying on proxies and subjective judgment, and having no terminological difficulties. The LADA estimate is not based on subjective judgment but does have terminological difficulties [57].
Measurement uncertainties exceed conceptualization uncertainties in the first four estimates in Table 5, yet conceptualization uncertainties still account for over 40% of all sources of uncertainty (Figure 5). This supports claims by Van der Sluijs [41] and others that statistical methods alone have limitations for evaluating very uncertain phenomena.
Stacking the fingerprints on top of each other to give the Uncertainty Profile of desertification shows that uncertainty about it is high and persistent. The first three estimates, by Dregne [1,2] and Mabbutt [56], all have Uncertainty Scores of 7 on a scale from 0 to 8. This drops to 6 for the UNEP World Atlas of Desertification estimate [3], but returns to 7 for the LADA estimate [57] (Figure 6). The mean score of 6.8 is far above the statistical threshold of 2, when only random and systematic errors are expected and statistical evaluation alone is appropriate, according to the UAF, so this also supports the claim of Van der Sluijs [41].

4.5. The Underlying Mechanisms of Global Environmental Uncertainties

The UAF can explain why uncertainties about estimates persist, by linking trends in uncertainties, as in the Uncertainty Profile in Figure 6, to underlying discursive and institutional constraints on conceptualization and measurement capacities in the monitoring systems that produce the estimates (see Section 3.3).
Intergovernmental discourses responding to societal influences have framed conceptualization in all estimates of desertification evaluated here, allowing the use of proxies (Table 6).
Uncertainty is also influenced by the institutions of intergovernmental and governmental organizations, and by scientific institutions. Formal intergovernmental institutions are linked here to large uncertainties in monitoring desertification, but they have allowed scientists to devise informal institutions to make estimates (Table 6).
Negative synergies between conceptualization and measurement can promote uncertainty too (Table 6), as when ease of access to existing maps of soil degradation and vegetation change led to underspecification in the UNEP World Atlas of Desertification estimate [3] and LADA estimate [57], respectively. So while in Heisenberg Uncertainty, one measurement disturbs another [11], in environmental uncertainty it seems that how a phenomenon is ‘measured’ can disturb how it is conceptualized.

5. Measuring Desertification

The results presented in the previous section, which show that uncertainty about desertification has been persistently high for decades, imply that global environmental uncertainties are indeed inevitable, and so support the statement in the Third Edition of the World Atlas of Desertification that the global extent of desertification cannot be mapped satisfactorily [5]. However, this evidence is not conclusive. This section applies the seven rules for constructing reliable global environmental information through planetary measurement, derived from the UAF in Section 3.9 (Table 7), to examine if it is technically feasible to measure desertification reliably at global and national scales, for example, to quantify the indicator for Target 15.3 of the Sustainable Development Goals: “proportion of land that is degraded over total land area” [8]. It then examines if these requirements are met by a sample of seven papers, identified in recent reviews [9,10], which propose using “big data” to monitor SDG Target 15.3.

5.1. Conceptualizing Desertification

Conceptualization frames the design of data collection, the analysis of data, and presentation of the resulting information, and is the subject of the first three rules in Table 7.

5.1.1. Define a Phenomenon Clearly and Appropriately

If desertification is defined as in either the UNCOD or UNCCD definitions (see Section 4.1.1 and Section 4.2.1) then this should avoid terminological difficulties.

5.1.2. Specify the Minimum Number of Attributes to Measure

An estimate of the extent of desertification will be fully specified if all six attributes of vegetation degradation and soil degradation in Table 3 are measured, and their estimates are adjusted to remove misleading signals caused by rainfall variation.

5.1.3. Disaggregate Measurement of a Phenomenon

To avoid understructuralization, any measurement of desertification should be disaggregated to represent the actual diversity of its spatial distribution by estimating the degree of degradation for all types of land use, aridity and degradation of irrigated cropland. Past experience, reviewed in Section 4.2.3, shows how to do this. Disaggregating by aridity requires that a digital map of climatic zones is overlaid on a map of desertification. As changes in global climate will shift climatic zones [82], existing maps of the latter should be revised using ground-based climate measurements. To disaggregate by land use, it is necessary to map land use before measuring degradation, so that measurements can incorporate criteria appropriate to each land use [1]. Mapping land use is also a prerequisite for mapping degradation of irrigated cropland, as specific measurement methods, discussed below, are required for this too.

5.1.4. Avoiding Other Types of Conceptualization Uncertainties

Using remote sensing data, supported by ground data, does not prevent the use of proxies (see Section 4.2.4), but proxy uncertainty should be absent if planetary measurement is properly conceptualized and carried out at appropriate spatial and temporal resolutions.

5.2. Measuring Desertification

Measurement involves collecting data and converting them into meaningful information. It is the subject of the last four rules in Table 7.

5.2.1. Minimize Spatial Systematic Errors

Matching the spatial resolution of a sensor to the areal variability (smallest area of variation) of each attribute of a phenomenon, and the sensor’s spectral resolution to the most distinctive property of each attribute, will minimize spatial systematic errors. Desertification has at least six terrestrial attributes plus rainfall variation. Each is now discussed in turn.
(1)
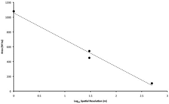
Vegetation area. Mapping vegetation cover in dry areas is challenging since dryland ecosystems commonly involve trees scattered at low density over grasslands. This is difficult to measure with the medium (20–100 m) resolution optical satellite sensors used to map changes in the area of the much denser forests in humid areas with reasonable accuracy [83]. The first global map of tree cover in drylands based on very high (≤ 1 m) resolution satellite images was not published until 2017, and led to a much higher estimate of dry forest area than earlier estimates using lower resolution images [84]. The correlation which that study found between dry forest area and the spatial resolution of sensors (Figure 7) supports the relationship between spatial resolution and areal variability (ai) in the inherent uncertainty function (Equation (3)).
(2)
Vegetation density. Measuring vegetation degradation in dry areas, e.g., by a decline in tree and grass density, is even more challenging than measuring vegetation cover [83]. Very high resolution satellite images are suitable for this too, but measurement is complicated by: (a) the maintenance of vegetation cover when invasive species proliferate on degraded land; (b) the lack of an absolute benchmark for ‘non-degraded’ ecosystems in the drylands [85]; and (c) the temporal dimension, e.g., tree and grass density vary with rainfall, and so apparent trends should be corrected for this (see below).
(3)
Water erosion. Medium resolution (Landsat) images have been used to measure trends in areas suffering from water erosion based on their spectral properties [86]. They can also identify large- and medium-sized gullies but cannot track their development over time [66]. Very high resolution satellite images are therefore needed for comprehensive measurements of the features of water erosion. Research has found that as spatial resolution rises, so too does the number of gullies identified. For example, 9, 15 and 30 gullies were mapped in an area in Tunisia by automated classification of images from SPOT multispectral (10 m resolution), SPOT panchromatic (5 m resolution) and Quickbird (0.6 m resolution) sensors, respectively [87]. This also supports the relationship between the spatial resolution of sensors and areal variability (ai) in the inherent uncertainty function (Equation (3)).
Radar sensors and light detection and ranging (LiDAR) sensors can be used to measure water erosion too, e.g., gullies below forest canopies have been mapped by an airborne LIDAR sensor [91].
(4)
Wind erosion. The spatial distribution of wind erosion has not yet been directly measured using satellite images, possibly because of the absence of the same large physical artefacts seen in water erosion. One way to overcome this problem, discussed in Section 5.2.2, currently suffers from temporal resolution issues. Most estimates of the rate of wind erosion are currently made using mathematical models that incorporate meteorological factors, such as wind speed, and the susceptibility of soil to erosion, with the use of satellite images confined to mapping land use and land cover and how these change over time [92].
Landsat images, on the other hand, can measure trends in sandy areas, showing that while in some parts of northern China, for example, sandy areas are contracting, elsewhere they are expanding [93,94,95].
(5)
Soil compaction. A literature search using Google Scholar found no studies which measured soil compaction using optical satellite sensors. LIDAR and radar sensors might be suitable for this purpose, however.
(6)
Salinization, alkalinization and waterlogging of irrigated cropland. The spectral signatures of salinized and waterlogged areas differ sufficiently from those of non-affected areas for them to be separated by medium resolution optical satellite images [96], but best results are obtained by using ground and laboratory data too [97]. Areas affected by salinization and alkalinization can also be distinguished using medium resolution images [98]. Measuring the degree of salinization using satellite sensors was previously thought to be too difficult, owing to sensor limitations and variable spectral responses [99,100,101]. Yet recent research in Morocco and Turkey shows that the degree of salinization can be measured by soil salinity indices constructed using reflectance characteristics in the visible and near infrared bands of Landsat images [102] and high (10 m) resolution Sentinel 2 images [103]. So desertification maps based on satellite images can be disaggregated by the type and degree of degradation of irrigated cropland.
(7)
Rainfall variation. The role of rainfall variation is discussed in (2) above and in the next section.

5.2.2. Minimize Temporal Systematic Errors

Ensuring that monitoring frequency is consistent with the shortest time period over which a phenomenon varies (turnover time) will minimize temporal systematic errors. The temporal resolution at which desertification generally is measured should ideally match its turnover time, set above at 2 years, while allowing correction of misleading signals due to the seventh attribute, rainfall variation, over longer periods.
Without appropriate correction, cyclical rainfall patterns make it difficult to determine if a reduction in vegetation cover is caused by land degradation or declining rainfall, or if a greater profusion of vegetation is the result of land restoration, the spread of invasive species, or simply a rise in rainfall [104,105]. Confusion over this issue has previously led to incorrect estimates of the rate of desertification and, in turn, to scepticism about whether desertification actually exists [71]. For example, in 1977 UNEP reported that comparing aerial survey observations with an 18-year-old map of the Sahara Desert’s southern border implied that the desert was moving south at over 5 km per annum [106]. Scientific scepticism about the existence of desertification grew in the late 1980s [71], after analysis of low spatial resolution satellite images showed that while the boundary between the Sahara Desert and the Sahelian region shifted south in 1981, it moved north in 1985 when rainfall returned [60,107,108]. So rainfall measurements at long-term monitoring stations are indispensable for correcting for the variation of vegetation growth with rainfall, and for future changes in climatic zone boundaries resulting from global climate change [82].
Annual rainfall variation is used here as the climate attribute because it is important for analysing satellite data on land cover. Other climatic variables contribute to understanding desertification but in different ways, and so are not listed here for measuring actual desertification status. For example, prolonged droughts have a causative role in accelerating actual desertification [59], and so would be independent variables in future models in which the measured extent of desertification is the dependent variable. Mean dry season length and the mean annual number of extreme precipitation events could be used in a similar way.
Research suggests that measuring wind erosion by combining satellite data and ground data will be challenging for temporal reasons. The origins and paths of dust storms can in principle be measured using optical satellite images, but dust storms are often not detected from space due to high cloud cover, and even on cloudless days the temporal resolution of satellite sensors may not match the relevant turnover time (ti in Equation (3)). For example, using ground-based cameras to collect images in the Mojave Desert every 15 min over six years recorded major dust events on 68 days each year, on average. Yet none of these events was identified in images from the low (250 m) spatial resolution MODIS sensor, despite its high temporal resolution (daily image collection), as the timing of dust storms did not coincide with when cloud-free images were collected [109]. National ground-based networks are vital for measuring airborne dust transport but are still few in number, and even the US network has only 13 measurement sites [110]. Furthermore, according to Webb et al., such networks generally “do not address which areas are eroding, and why, with enough accuracy to inform management” [111].

5.2.3. Minimize Errors Associated with the Method Used to Classify Satellite Images

It is also important to minimize the systematic and random errors associated with the method used to classify satellite images, supported by ground data, since planetary measurement methods are still embryonic. Thus, the first global “wall-to-wall” map of forest area based on Landsat images, published only in 2012, relied on a major innovation in semi-automated supervised classification software [34]. The first global wall-to-wall map of forest area change based on Landsat images followed a year afterwards and appeared to use automated classification [112].
Since these innovations for classifying medium resolution satellite images are so recent, corresponding innovations for the reliable automated or semi-automated supervised large-area classification of very high resolution satellite images will take time to emerge. This is why the first very high resolution map of tree cover in the drylands used crowd-based visual classification [84], and why the same method is likely to be used to measure desertification at very high resolution for the first time.

5.2.4. Minimize Errors Associated with the Algorithm Used to Combine Estimates of the Various Attributes of a Phenomenon

When the multiple attributes of desertification have been measured, it is necessary to use an algorithm to combine the resulting estimates to map spatial variation in the overall degree of desertification. The choice of algorithm may lead to systematic and random errors and limit comparability between different estimates.
In the early estimates evaluated in Section 4, algorithms are only employed to allow for the contextuality of desertification [61], so it may occur in some parts of an area but not in others [113,114]. Thus, the UNEP World Atlas of Desertification first assesses the degree of desertification from Light to Extreme, and then uses an algorithm to designate the severity of desertification in areas on another four-point scale from Low to Very High, according to the percentage incidence of Light, Moderate, Strong and Extreme desertification in that area [3].

5.2.5. Avoiding Other Types of Measurement Uncertainties

Planetary measurement of desertification should prevent uncertainty due to the use of subjective judgment. Scalar deficiencies will be minimized if a robust set of planetary measurement rules, such as those proposed here, are employed. Gaining a consensus in the global change science community for a common set of rules will take time. However, the seven rules in Table 7 could provide a foundation on which initial theoretical discussions can build, so that the variety of informal planetary measurement institutions now in use can become increasingly consistent.

5.3. The Prospects for Reducing Uncertainty about Desertification

This section has presented an optimistic view of the technical feasibility of using planetary measurement to reduce uncertainty about desertification, but has also indicated that current state-of-the-art remote sensing methods still impose limits on the extent of this reduction. For instance, the Uncertainty Score for estimates is unlikely to fall below 3 soon, because of continuing underspecification owing to the lack of measurement of wind erosion and soil compaction.
Measuring the extent of desertification at global scale must be organizationally feasible as well as technically feasible. Thus, measuring global forest area using a wall-to-wall survey of Landsat images was, arguably, technically feasible in the 1970s but it did not become organizationally feasible until 2012 [34]. A similar organizational advance is needed to reduce uncertainty about desertification. For a Global Drylands Observing System, which was advocated in various studies in the late 2000s, Verstraete et al. proposed a nested hierarchy of monitoring centres covering all scales from global to local [6]. Bastin et al. later found that tree cover in drylands could be measured at global scale by crowd-based classification of very high resolution satellite images in regional centres [84]. This could provide the basis for planetary measurement of desertification, though this section has shown that ground-based measurements, especially of wind erosion, soil compaction and rainfall, may also be needed for the foreseeable future.

5.4. Recent Proposals to Use “Big Data” to Monitor SDG Target 15.3

The measurement approach proposed here can be used to quantify the indicator for SDG Target 15.3 listed in the Sustainable Development Goals: “proportion of land that is degraded over total land area” [8]. In the absence of sufficient national data to allow countries to monitor progress in meeting the SDGs, two recent reviews have advocated using global sets of “big data” (including satellite data) instead [9,10]. Yet since analysis earlier in this paper has shown that existing global information on desertification is inadequate, this section uses the UAF to evaluate the reliability of the methods proposed to monitor Target 15.3 in a sample of seven of the papers that are cited as exemplars of the big data approach in these two review studies.
Only one of the seven papers, by Christian et al. [115], specifically aims to measure the actual status of desertification, in a 144,368 ha area of Rajasthan State in India. While it has no terminological difficulties, it is understructuralized since it is only disaggregated by land use types and climatic zones (even though salinization is a major problem in Rajasthan [116]), and is also underspecified since it merely maps a 25 year (1991–2016) trend in vegetation degradation and water erosion, with vegetation degradation only being assessed on land with natural ecosystems. Random and systematic errors are relatively high, because 30 m resolution satellite data are employed as standard, with 5.8 m resolution data only used for 2016, and temporal resolution (≥9 years) is also rather low. A second paper, by Wang et al. [117], measures the status of “land degradation” in the whole of Mongolia, but since this is in a dry area it is equivalent to desertification. The method has no terminological difficulties and corrects informally for rainfall variation, but it is underspecified as it effectively uses vegetation degradation (between non-degraded land, desert steppe, sand, desert and barren land) as a proxy for land degradation as a whole, and does not measure soil degradation as such. It is also understructuralized by aridity zones, land use types and degradation of irrigated cropland. Spatial systematic errors are relatively high, because 30 m resolution satellite data are used as standard, though temporal systematic errors are relatively low since the highest temporal resolution is 5 years.
Two more papers merely use models to predict the potential hazard of desertification [118,119], following the approach of the UNCOD “World Map of Desertification” [74] described in Section 4.2.1, so they are not evaluated here. Nor is another modelling study which predicts soil organic carbon content and other soil properties at global scale, using a network of sample plots and low (250 m) resolution optical satellite data on land cover and other land properties [120].
In the two remaining papers, a global study by Giuliani et al. [121] discusses how to assess land degradation in a range of climatic zones while Mitri et al. focus on a 140,800 ha area in Lebanon [122]. Both studies are framed by three UNCCD desertification indicators—land cover, land productivity, and soil organic carbon stocks—that have been proposed to substitute for the single SDG indicator [123], since the UNCCD is coordinating implementation of the LDN target. As discussed in Section 4.3.1, land cover change is an inadequate proxy for vegetation degradation. Satellite-based measurement of change in the net primary productivity of areas stratified by land cover type may be used to estimate vegetation degradation, but it is an inadequate proxy for land degradation as a whole. The same is true for estimates of changes in soil organic carbon content, which should be derived from direct measurements of soil carbon density and the different types of soil degradation (Table 3), and not used as a substitute for them. A full critique of the UNCCD indicators requires a separate study [124], but they and other indicators have been critically evaluated by a group of experts appointed by the UNCCD [125]. As Giuliani et al. only aim to provide a “proof of concept” of accessing different data sources, their global study lacks sufficient methodological detail to be evaluated here, though it does recognize the need to use high spatial and temporal resolution data, and appreciates the limitations of the soil organic carbon indicator [121]. The Lebanon study is disaggregated by climatic zones and land use/land cover types, but not by degradation of irrigated cropland. It is underspecified, as it uses vegetation degradation (estimated using the change in net primary productivity for forest, grassland and cropland) as a proxy for all land degradation, and land use and land cover change to predict changes in soil organic carbon content, rather than measuring soil degradation directly. Temporal systematic errors are high, as the measurement period is 13 years. Spatial systematic errors are substantial, owing to the use of data from satellite sensors with resolutions ranging from 5 m to 1000 m. Despite being framed by the UNCCD indicators, it uses an original algorithm to estimate the degree of overall land degradation by a weighted sum of the magnitudes of land cover change, land productivity trend, change in net primary productivity, soil organic carbon content, erosion risk, soil fertility and rainfall [122]. Yet since these parameters and their weights are not justified in the study, this incurs further systematic errors (Table 7).
This evaluation of three of the seven exemplar big data studies complements the evaluation of the five global UN studies in Section 4 by showing how the UAF can be used to assess uncertainties in studies by scientific groups, and how ranking random and systematic errors in Uncertainty Fingerprints can be informed by the last four rules for constructing reliable global environmental information in Table 7. While the Uncertainty Scores of the five UN estimates vary between 6 and 7 (Figure 4) and have a mean of 6.8, these three studies have a lower mean of 4.7: the studies of Lebanon [122] and Mongolia [117] have scores of 5 while that of India [115] has a score of 4 (Figure 8). None of the three studies has terminological difficulties or uses subjective judgment. Only the Lebanon study by Mitri et al. uses an algorithm to provide an overall estimate of the degree of land degradation [122], and this has systematic errors associated with it. However, it is important to note that all three studies lack scalar deficiencies since they are limited in spatial scope.
So while there is clearly potential to use big data to substitute for inadequate national data when monitoring SDG Target 15.3, such measurements require a more careful selection of methods than those used in the three recent studies assessed in Figure 8 if Uncertainty Scores are to decline substantially. Two of the other four studies [118,119] illustrate the continuing popularity among scientific groups of estimating potential desertification hazard, rather than actual desertification status. Allen et al. are therefore justified in arguing that substituting big global datasets for national data will face challenges.

6. Conclusions

Fifty years after the first remote sensing satellite was launched to collect global data, estimates of the magnitudes of global environmental change phenomena remain very uncertain, since global data collected by these satellites have not been fully converted into global information. This paper has built on two previous taxonomies of the sources of environmental uncertainty [13,17] to propose an Uncertainty Assessment Framework (UAF) for evaluating very uncertain environmental phenomena, and has applied it to study the magnitude and persistence of global uncertainty about desertification and suggest how this may be reduced.
This paper has demonstrated, using the UAF, that desertification is one of the most uncertain of all global environmental change phenomena. Based purely on their relative complexities, estimated using the number of attributes needed to measure them, the inherent uncertainty of desertification, which has at least seven attributes, is much greater than that of forest area change, which has just one attribute. Present uncertainty about desertification is high too: the five available global estimates have a mean Uncertainty Score of 6.8 out of a maximum score of 8, corresponding to four conceptualization uncertainties and four measurement uncertainties.
Another finding is that uncertainty about desertification is persistent. The Uncertainty Score (US) is a more objective measure of the persistence of uncertainty than the mere frequency of estimates mentioned in Section 1, and using the UAF to evaluate the five available global estimates of desertification shows that the US has remained at 7 since the 1970s, except for a dip to 6 in the 1980s.
In none of the estimates of desertification evaluated here has the Uncertainty Score therefore fallen to the threshold of 2 when, according to the UAF, statistical evaluation of uncertainties alone is appropriate. This, and the finding that conceptualization uncertainties account for over 40% of all sources of uncertainty about desertification, support claims that standard statistical methods are inadequate for evaluating very uncertain phenomena [39,40,41].
While global environmental uncertainties are persistent, they are not inevitable like Heisenberg Uncertainty [11]. This paper has also shown how the UAF can be used to devise an initial set of seven rules for constructing reliable global environmental information. Contrary to a statement in the Third Edition of the World Atlas of Desertification [5], applying these UAF rules shows that even the large uncertainty about the extent of desertification could be substantially reduced if surveys are properly conceptualized, and involve measurements using sensors with appropriate spatial, temporal and spectral resolutions. Yet while it is technically feasible to measure most attributes of desertification at global scale using currently available remote sensing methods, this does not mean that uncertainty about it will diminish quickly. Translating the technical potential of Earth observation into practice is often hindered by organizational constraints [126], and until remote sensing methods become available to monitor two particularly challenging attributes of desertification—wind erosion and soil compaction—estimates are likely to remain underspecified, ensuring that the US value does not fall below 3.
These findings have two implications for measuring compliance at national scale in dry areas with the Land Degradation Neutrality Target 15.3 of the UN Sustainable Development Goal 15 “Land and Life”. First, within the limits of underspecification mentioned in the last paragraph, it is technically feasible to monitor national progress in complying with the official indicator of “proportion of land that is degraded over total land area” listed in the Sustainable Development Goals [8], provided that measurements are properly conceptualized and use both medium and very high resolution satellite images, supported by ground data. While very high resolution satellite images are still not yet widely used in national environmental monitoring, FAO has made the Collect Earth software it used to map dry forests [84] freely available, and government use of this software is increasing. Second, however, Allen et al. are right to caution that using “big data” to fill gaps in national data to monitor SDG Target 15.3 will not be straightforward [9]: (a) the five existing UN global estimates of desertification are out of date and our analysis has shown that they were very uncertain when they were made; and (b) although the uncertainty associated with the methods used in three recent studies of the potential to use ‘big data’ for this purpose is, according to our analysis, lower (with a mean Uncertainty Score (US) of 4.7) than that of the five UN estimates (US = 6.8), it is still substantial, owing to limitations in conceptualization and measurement.
The UAF can differentiate between different degrees of high inherent and present uncertainty about different phenomena. It complements the use of statistical methods for uncertainty evaluation and is consistent with them at the limits of their reliability. This is because it identifies sources of uncertainty that are missed by statistical methods and which are particularly important for complex multiple attribute global environmental change phenomena, such as desertification. The UAF can also show how to reduce uncertainty to a level where it can be estimated by statistical methods alone. The UAF is consistent with, but more coherent than, previous taxonomies of sources of environmental uncertainty because it synthesizes the sources using a novel theoretical approach to linking conceptualization and measurement.
The simplicity of the UAF is another of its advantages, but it also leads to disadvantages. For example, it is convenient to compare the uncertainty of different environmental phenomena, and different estimates of the same phenomenon, using the Uncertainty Score (US) on a common scale from 0 to 8, but the presence of different degrees of individual conceptualization uncertainties in different estimates may not be reflected in the corresponding US values. Thus, an estimate of desertification is ranked: (a) as understructuralized if it has one form of understructuralization or all three; and (b) as using proxies whether this occurs for just one attribute or all of them. One way to tackle this is to extend the scale when comparing the uncertainties of multiple estimates of the same phenomenon. Wider application of the UAF will lead to further critical evaluation of its advantages and disadvantages, and to refinements to counter the latter.
While the Earth is a “small planet” [127], it is worrying that current estimates of the magnitudes of global environmental change phenomena continue to be so uncertain. This is of particular concern now that human impacts on the planet have reached global proportions [82] and the world’s governments have agreed on ambitious Sustainable Development Goals which include a considerable environmental component [8]. To address this shortcoming, it is vital to give greater priority to fundamental research into the origins of global environmental uncertainties and how to evaluate them. Using the UAF more extensively to evaluate present uncertainty about other global environmental change phenomena, e.g., forest area change, forest carbon change, and biodiversity loss, will enable their US values to be compared with the mean of 6.8 reported here for desertification and inform the monitoring of other targets in SDG 15. Another priority is to devise new rules for constructing reliable global environmental information, so disparities between different planetary measurements using different methods can be reduced. The initial set of seven rules derived from the UAF that are proposed in this paper could provide a starting point for this work.
More research of this kind will benefit global environmental governance, and humanity’s capacity to tackle its global impacts. Politicians often wrongly assume that scientists provide them with ‘certain’ knowledge. Countering this assumption remains a challenge, but scientists could also do more to evaluate the uncertainty of information about global environmental changes which they communicate to politicians, and to reduce this uncertainty by realizing the full potential of planetary measurement.

Supplementary Materials

The following supporting information can be downloaded at: https://www.mdpi.com/article/10.3390/su14074063/s1, Supplementary Information, Modelling the transition to quantifiable uncertainty; Figure S1, The gap between complete knowledge and present knowledge at limiting uncertainty; Table S1, Dominant topic areas of 96 papers in International Journal of Remote Sensing Volume 30, Issues 17–18 and 21–24 in 2009; Table S2, A taxonomy of sources of environmental uncertainty proposed by Regan et al. (2002) [13]; Table S3, A taxonomy of sources of environmental uncertainty proposed by Van Asselt and Rotmans (2002) [17]; Table S4, Key features of 50 papers published in Land Degradation and Development between 2006 and 2010; Table S5, Mapping, modelling and linguistic preferences in a sample of 50 papers in Land Degradation and Development between 2006 and 2010 on assessing land degradation; Table S6, Six sets of indicators used to specify desertification; Table S7, Sizes of “degrading area” in drylands by climatic zone in the original study [69] on which the Land Degradation Assessment in Drylands (LADA) “preliminary [global] map of land degradation” [57] is based; Table S8, Scalar foci of a sample of 50 papers published in Land Degradation and Development between 2006 and 2010; Table S9, Scalar preferences in a sample of 50 papers in Land Degradation and Development between 2006 and 2010 on assessing land degradation.

Funding

This research was supported by the Science and Technology Facilities Council under grant ST/K006738/1, and by the European Space Agency/National Remote Sensing Centre of China Dragon 5 Programme under grant 59313.

Conflicts of Interest

The author declares no conflict of interest.

References

  1. Dregne, H.E. Desertification of Arid Lands; Harwood Academic Publishers: London, UK, 1983. [Google Scholar]
  2. Dregne, H.E. Desertification of arid lands. Econ. Geogr. 1977, 53, 322–331. [Google Scholar] [CrossRef]
  3. Middleton, N.J.; Thomas, D.S.G. (Eds.) World Atlas of Desertification; Arnold: London, UK, 1992. [Google Scholar]
  4. Middleton, N.J.; Thomas, D.S.G. (Eds.) World Atlas of Desertification, 2nd ed.; Arnold: London, UK, 1997. [Google Scholar]
  5. Cherlet, M.; Hutchinson, C.; Reynolds, J.; Hill, J.; Sommer, S.; von Maltitz, G. (Eds.) World Atlas of Desertification, 3rd ed.; Publication Office of the European Union: Luxembourg, 2018. [Google Scholar]
  6. Verstraete, M.M.; Hutchinson, C.F.; Grainger, A.; Stafford Smith, M.; Scholes, R.J.; Barbosa, P.B.; Léon, A.; Mbow, C. Towards a Global Drylands Observing System, observational requirements and institutional solutions. Land Degrad. Dev. 2011, 22, 198–213. [Google Scholar] [CrossRef]
  7. Grainger, A. Is land degradation neutrality feasible in dry areas? J. Arid. Environ. 2015, 112, 14–24. [Google Scholar] [CrossRef]
  8. UN. Sustainable Development Goals; United Nations: New York, NY, USA, 2015. [Google Scholar]
  9. Allen, C.; Smith, M.; Rabiee, M.; Dahmm, H. A review of scientific advancements in data sets derived from big data for monitoring the Sustainable Development Goals. Sustain. Sci. 2021, 16, 1701–1716. [Google Scholar] [CrossRef]
  10. Hassani, H.; Huang, X.; MacFeely, S.; Entezarian, M.R. Big data and the United Nations Sustainable Development Goals (UN SDGs) at a glance. Big Data Cogn. Comput. 2021, 5, 28. [Google Scholar] [CrossRef]
  11. Heisenberg, W. Über den anschulichen Inhalt der quantentheoretischen Kinematik und Mechanik. Z. Phys. 1927, 43, 172–198. [Google Scholar] [CrossRef]
  12. Heisenberg, W. The Physics of the Atomic Nucleus; Taylor and Francis: London, UK, 1952. [Google Scholar]
  13. Regan, H.M.; Colyman, M.; Burgman, M.A. A taxonomy and treatment of uncertainty for ecology and conservation biology. Ecol. Appl. 2002, 12, 618–628. [Google Scholar] [CrossRef]
  14. Brown, J.D. Prospects for the open treatment of uncertainty in environmental research. Prog. Phys. Geogr. 2010, 34, 75–100. [Google Scholar] [CrossRef]
  15. Wong, C.Y.; Boon, S.; Wong, W.Y. The contingency effects of environmental uncertainty on the relationship between supply chain integration and operational performance. J. Oper. Manag. 2011, 29, 604–615. [Google Scholar] [CrossRef]
  16. Niksefat, N.; Sepehri, N. Designing robust force control of hydraulic actuators despite system and environmental uncertainties. IEEE Control Syst. Mag. 2001, 21, 66–77. [Google Scholar]
  17. Van Asselt, M.B.A.; Rotmans, J. Uncertainty in integrated assessment modelling. Clim. Change 2002, 54, 75–105. [Google Scholar] [CrossRef]
  18. Beck, U. Living in the world risk society. Econ. Soc. 2006, 35, 329–345. [Google Scholar] [CrossRef]
  19. Beven, K. A manifesto for the equifinality thesis. J. Hydrol. 2006, 320, 18–36. [Google Scholar] [CrossRef] [Green Version]
  20. Polasky, S.; Carpenter, S.R.; Folke, C.; Keeler, B. Decision-making under great uncertainty: Environmental management in an era of global change. Trends Ecol. Evol. 2011, 26, 398–404. [Google Scholar] [CrossRef]
  21. Böschen, S.; Kastenhofer, K.; Rust, I.; Soentgen, J.; Wehling, P. Scientific nonknowledge and its political dynamics. Sci. Technol. Hum. Values 2010, 35, 783–811. [Google Scholar] [CrossRef] [Green Version]
  22. Smithson, M. Ignorance and Uncertainty: Emerging Paradigms; Springer: Berlin/Heidelberg Germany, 1989. [Google Scholar]
  23. Roth, W.-M. Radical uncertainty in scientific discovery work. Sci. Technol. Hum. Values 2009, 34, 313–336. [Google Scholar] [CrossRef]
  24. Knight, F.H. Risk Uncertainty and Profit; Kelley: New York, NY, USA, 1921. [Google Scholar]
  25. Hermansson, H. Defending the conception of “objective risk”. Risk Anal. 2012, 32, 16–24. [Google Scholar] [CrossRef]
  26. Wynne, B. Uncertainty and environmental learning: Reconceiving science and policy in the preventive paradigm. Glob. Environ. Chang. 1992, 2, 111–127. [Google Scholar] [CrossRef]
  27. Eddington, A.S. The Nature of the Physical World; Cambridge University Press: Cambridge, UK, 1928. [Google Scholar]
  28. Aamodt, A.; Nygard, M. Different roles and mutual dependencies of data information and knowledge-an AI perspective on their integration. Data Knowl. Eng. 1995, 16, 191–222. [Google Scholar] [CrossRef]
  29. Kuhn, T. The Structure of Scientific Revolutions; University of Chicago Press: Chicago, IL, USA, 1962. [Google Scholar]
  30. Robertson, D.W.; Martin, D.K.; Singer, P.A. Interdisciplinary research. BMC Med. Res. Methodol. 2003, 3, 20–25. [Google Scholar] [CrossRef] [Green Version]
  31. Sillitoe, P. Interdisciplinary experiences: Working with indigenous knowledge in development. Interdiscip. Sci. Rev. 2004, 29, 6–23. [Google Scholar] [CrossRef]
  32. Grainger, A. Uncertainty in constructing global knowledge about tropical forests. Prog. Phys. Geogr. 2010, 34, 811–844. [Google Scholar] [CrossRef] [Green Version]
  33. Leimgruber, P.; Christen, C.A.; Laborderie, A. The impact of Landsat satellite monitoring on conservation biology. Environ. Monit. Assess. 2005, 106, 81–101. [Google Scholar] [CrossRef] [PubMed] [Green Version]
  34. Townshend, J.R.; Masek, J.G.; Huang, C.; Vermote, E.F.; Gao, F.; Channan, S.; Sexton, J.O.; Feng, M.; Narasimhan, R.; Kim, D.; et al. Global characterization and monitoring of forest cover using Landsat data: Opportunities and challenges. Int. J. Digit. Earth 2012, 5, 373–397. [Google Scholar] [CrossRef] [Green Version]
  35. Gallopin, G.C. Indicators and their use: Information for decision-making. In Sustainability Indicators Report on the Project on Indicators of Sustainable Development; Moldan, B., Bilharzia, S., Eds.; John Wiley: Chichester, UK, 1997; pp. 13–27. [Google Scholar]
  36. Gudmundsson, H. The policy use of environmental indicators-learning from evaluation research. J. Transdiscipl. Environ. Stud. 2003, 2, 1–12. [Google Scholar]
  37. Grainger, A. The role of forest sustainability indicator systems in global governance. Glob. Environ. Chang. 2012, 22, 147–160. [Google Scholar] [CrossRef]
  38. Grainger, A. Reducing uncertainty about hybrid lay-scientific concepts. Curr. Opin. Environ. Sustain. 2010, 2, 444–451. [Google Scholar] [CrossRef]
  39. Halpern, B.S.; Regan, H.M.; Possingham, H.P.; McCarthy, M.A. Accounting for uncertainty in marine reserve design. Ecol. Lett. 2006, 9, 2–11. [Google Scholar] [CrossRef]
  40. Regan, H.M.; Ben-Haim, Y.; Wilson, W.G.; Lundberg, P.; Andelman, S.J.; Burgman, M.A. Robust decision-making under severe uncertainty for conservation management. Ecol. Appl. 2005, 15, 1471–1477. [Google Scholar] [CrossRef]
  41. Van Der Sluijs, J.P. Anchoring Amid Uncertainty: On the Management of Uncertainties in Risk Assessment of Anthropogenic Climate Change. Ph.D. Thesis, Utrecht University, Utrecht, The Netherlands, 1997. [Google Scholar]
  42. Funtowicz, S.O.; Ravetz, J.R. Uncertainty and Quality in Science for Policy; Kluwer: Dordrecht, The Netherlands, 1990. [Google Scholar]
  43. Fisher, A.C. Resource and Environmental Economics; Cambridge University Press: Cambridge, UK, 1981. [Google Scholar]
  44. UN. Convention on Biological Diversity; United Nations: New York, NY, USA, 1992. [Google Scholar]
  45. Hajer, M.A. The Politics of Environmental Discourse: Ecological Modernization and the Policy Process; Clarendon Press: Oxford, UK, 1995. [Google Scholar]
  46. Barton, E. Sanctioned and non-sanctioned narratives in institutional discourse. Narrat. Inq. 2000, 10, 341–375. [Google Scholar] [CrossRef]
  47. Crawford, S.E.; Ostrom, E. A grammar of institutions. Am. Political Sci. Rev. 1995, 89, 582–600. [Google Scholar] [CrossRef]
  48. Ostrom, E. Governing the Commons: The Evolution of Institutions for Collective Action; Cambridge University Press: Cambridge, UK, 1990. [Google Scholar]
  49. Grainger, A. The role of science in implementing international environmental agreements: The case of desertification. Land Degrad. Dev. 2009, 20, 410–430. [Google Scholar] [CrossRef]
  50. Bracken, L.J.; Oughton, E.A. “What do you mean?” The importance of language in developing interdisciplinary research. Trans. Inst. Br. Geogr. 2006, 31, 371–382. [Google Scholar] [CrossRef]
  51. Guarino, N.; Giaretta, P. Ontologies and knowledge bases, towards a terminological clarification. In Towards Very Large Knowledge Bases: Knowledge Building and Knowledge Sharing; Mars, N., Ed.; IOS Press: Amsterdam, The Netherlands, 1995; pp. 25–32. [Google Scholar]
  52. Bennett, B. What is a forest? On the vagueness of certain geographic concepts. Topoi 2001, 20, 189–201. [Google Scholar] [CrossRef]
  53. Cash, D.W.; Clark, W.; Alcock, F.; Dickson, N.; Eckley, N.; Guston, D.; Jager, J.; Mitchell, R. Knowledge systems for sustainable development. Proc. Natl. Acad. Sci. USA 2003, 100, 8086–8091. [Google Scholar] [CrossRef] [Green Version]
  54. Star, S.L. Scientific work and uncertainty. Soc. Stud. Sci. 1985, 15, 391–427. [Google Scholar] [CrossRef]
  55. Grainger, A. Difficulties in tracking the long-term global trend in tropical forest area. Proc. Natl. Acad. Sci. USA 2008, 105, 818–823. [Google Scholar] [CrossRef] [Green Version]
  56. Mabbutt, J.A. A new global assessment of the status and trends of desertification. Environ. Conserv. 1984, 11, 100–113. [Google Scholar] [CrossRef]
  57. Bai, Z.G.; Dent, D.L.; Olsson, L.; Schaepman, M.E. Global Assessment of Land Degradation and Improvement: 1. Identification by Remote Sensing; GLADA Report 5; Land Degradation Assessment in Drylands Project and International Soil Reference and Information Centre University of Wageningen; UN Food and Agriculture Organization: Rome, Italy, 2008. [Google Scholar]
  58. UN. Elaboration of an International Convention to Combat Desertification in Countries Experiencing Serious Drought and/or Desertification Particularly in Africa; United Nations: New York, NY, USA, 1994. [Google Scholar]
  59. UN. Overview. UN Conference on Desertification; UN Environment Programme: Nairobi, Kenya, 1977. [Google Scholar]
  60. Tucker, C.J.; Choudhury, B.J. Satellite remote sensing of drought conditions. Remote Sens. Environ. 1987, 23, 243–251. [Google Scholar] [CrossRef]
  61. Warren, A. Land degradation is contextual. Land Degrad. Dev. 2002, 13, 449–459. [Google Scholar] [CrossRef]
  62. Geist, H.J.; Lambin, E.F. Dynamic causal patterns of desertification. Bioscience 2004, 54, 817–829. [Google Scholar] [CrossRef] [Green Version]
  63. Reynolds, J.F.; Stafford Smith, D.M.; Lambin, E.F.; Turner, B.L., II; Mortimore, M.; Batterbury, S.P.J.; Downing, T.E.; Dowlatabadi, H.; Fernández, R.J.; Herrick, J.E.; et al. Building a science for dryland development. Science 2007, 316, 847–851. [Google Scholar] [CrossRef] [PubMed] [Green Version]
  64. Grainger, A. Characterization and assessment of desertification processes. In Desertified Grasslands: Their Biology and Management, Papers Presented at an International Symposium, Linnean Society, London, UK, 27 February–1 March 1991; Chapman, G.P., Ed.; John Wiley: Chichester, UK, 1992; pp. 17–33. [Google Scholar]
  65. Liu, J.; Dietz, T.; Carpenter, S.R.; Alberti, M.; Folke, C.; Moran, M.; Pell, A.N.; Deadman, P.; Kratz, T.; Lubchenco, J.; et al. Complexity of coupled human and natural systems. Science 2007, 317, 1513–1516. [Google Scholar] [CrossRef] [PubMed] [Green Version]
  66. Vrieling, A. Satellite remote sensing for water erosion assessment. Catena 2006, 65, 2–18. [Google Scholar] [CrossRef]
  67. Bell, M.A.; Lamb, P.J. Integration of weather system variability to multidecadal regional climate change, the West African Sudan-Sahel zone 1951–1998. J. Clim. 2006, 19, 5343–5365. [Google Scholar] [CrossRef]
  68. UN. Draft Plan of Action to Combat Desertification; UN Environment Programme: Nairobi, Kenya, 1977. [Google Scholar]
  69. Bai, Z.G.; Dent, D.L.; Olsson, L.; Schaepman, M.E. Global Assessment of Land Degradation and Improvement 1. Identification by Remote Sensing Report; World Soil Information Project, International Soil Reference and Information Centre, University of Wageningen: Wageningen, The Netherlands, 2008. [Google Scholar]
  70. Aubréville, A. Climats Forêts et Désertification de l’Afrique Tropicale; Société d’Edition Géographiques Maritimes et Coloniales: Paris, France, 1949. [Google Scholar]
  71. Thomas, D.S.G.; Middleton, N.J. Desertification: Exploding the Myth; John Wiley: Chichester, UK, 1994. [Google Scholar]
  72. Greco, M.; Miranda, D.; Squicciarino, G.; Telesca, V. Desertification risk assessment in southern Mediterranean areas. Adv. Geosci. 2005, 2, 243–247. [Google Scholar] [CrossRef] [Green Version]
  73. Salvati, L.; Zitti, M. Regional convergence of environmental variables: Empirical evidence from land degradation. Ecol. Econ. 2008, 68, 162–168. [Google Scholar] [CrossRef]
  74. FAO; UNESCO; WMO. World Map of Desertification; UN Food and Agriculture Organization, UN Educational Scientific and Cultural Organization and World Meteorological Organization: Nairobi, Kenya, 1977. [Google Scholar]
  75. Dregne, H.E. Map of The Status of Desertification in the Hot Arid Regions; UN Environment Programme: Nairobi, Kenya, 1977. [Google Scholar]
  76. Oldeman, L.R.; Hakkeling, R.T.A.; Sombroek, W.G. World Map of the Status of Human-Induced Soil Degradation, an Explanatory Note; University of Wageningen: Wageningen, The Netherlands, 1990. [Google Scholar]
  77. LADA. Biophysical Indicator Toolbox Technical Report No 2, Land Degradation Assessment in Drylands Project; UN Food and Agriculture Organization: Rome, Italy, 2005. [Google Scholar]
  78. Bai, Z.G.; Dent, D.L.; Olsson, L.; Schaepman, M.E. Proxy global assessment of land degradation. Soil Use Manag. 2008, 24, 223–234. [Google Scholar] [CrossRef]
  79. LADA. Land Degradation Assessment in Drylands. LADA. Project Findings and Recommendations; UN Environment Programme, UN Food and Agriculture Organization: Rome, Italy, 2011. [Google Scholar]
  80. Milich, L.; Weiss, E. GAC NDVI images: Relationship to rainfall and potential evaporation. Int. J. Remote Sens. 2000, 21, 261–280. [Google Scholar] [CrossRef]
  81. Turner, M.D. Methodological reflections on the use of remote sensing and geographic information science in human ecological research. Hum. Ecol. 2003, 31, 255–279. [Google Scholar] [CrossRef]
  82. Grainger, A. The prospect of global environmental relativities after an Anthropocene tipping point. For. Policy Econ. 2017, 79, 36–49. [Google Scholar] [CrossRef] [Green Version]
  83. Lambin, E.F. Monitoring forest degradation in tropical regions by remote sensing: Some methodological issues. Glob. Ecol. Biogeogr. 1999, 8, 191–198. [Google Scholar] [CrossRef]
  84. Bastin, J.F.; Berrahmouni, N.; Grainger, A.; Maniatis, D.; Mollicone, D.; Moore, R.; Patriarca, C.; Picard, N.; Sparrow, B.; Abraham, E.A.; et al. The extent of forest in dryland biomes. Science 2017, 356, 635–638. [Google Scholar] [CrossRef] [PubMed] [Green Version]
  85. Eyre, S.R. Vegetation and Soils; Arnold: London, UK, 1968. [Google Scholar]
  86. Dube, T.; Mutanga, O.; Sibanda, M.; Seutloali, K.; Shoko, C. Use of Landsat series data to analyse the spatial and temporal variations of land degradation in a dispersive soil environment: A case of King Sabata Dalindyebo local municipality in the Eastern Cape Province.; South Africa. Phys. Chem. Earth A/B/C 2017, 100, 112–120. [Google Scholar] [CrossRef]
  87. Desprats, J.F.; Raclot, D.; Rousseau, M.; Cerdan, O.; Garcin, M.; Le Bissonnais, Y.; Slimane, A.B.; Fouche, J.; Monfort-Climent, D. Mapping linear erosion features using high and very high resolution satellite imagery. Land Degrad. Dev. 2013, 24, 22–32. [Google Scholar] [CrossRef]
  88. Miles, L.; Newton, A.C.; DeFries, R.S.; Ravilious, C.; May, I.; Blyth, S.; Kapos, V.; Gordon, J.E. A global overview of the conservation status of tropical dry forests. J. Biogeogr. 2006, 33, 491–505. [Google Scholar] [CrossRef]
  89. Lindquist, E.J.; D’annunzio, R.; Gerrand, A.; Macdicken, K.; Achard, F.; Beuchle, R.; Brink, A.; Eva, H.D.; Mayaux, P.; San-Miguel-Ayanz, J.; et al. Global Forest Land-Use Change 1990–2005; UN Food and Agriculture Organization: Rome, Italy, 2010. [Google Scholar]
  90. Achard, F.; Beuchle, R.; Mayaux, P.; Stibig, H.J.; Bodart, C.; Brink, A.; Carboni, S.; Desclée, B.; Donnay, F.; Eva, H.D.; et al. Determination of tropical deforestation rates and related carbon losses from 1990 to 2010. Glob. Chang. Biol. 2014, 20, 2540–2554. [Google Scholar] [CrossRef]
  91. Parker, C.; Thorne, C.; Bingner, R.; Wells, R.; Wilcox, D. Automated Mapping of Potential for Ephemeral Gully Formation in Agricultural Watersheds; NSL, Technical Research Report No. 56; National Sedimentation Laboratory: Oxford, MS, USA, 2007. [Google Scholar]
  92. Chi, W.; Zhao, Y.; Kuang, W.; He, H. Impacts of anthropogenic land use/cover changes on soil wind erosion in China. Sci. Total Environ. 2019, 668, 204–215. [Google Scholar] [CrossRef]
  93. Jabbar, M.R.; Chen, X. Land degradation assessment with the aid of geo-information techniques. Earth Surf. Process. Landf. 2006, 31, 777–784. [Google Scholar] [CrossRef]
  94. We, B.; Ci, L.J. Landscape change and desertification development in the Mu Us Sand land.; northern China. J. Arid. Environ. 2002, 50, 429–444. [Google Scholar]
  95. Zhang, L.; Yule, L.; Via, B. The study of land desertification in transitional zones between the Mu Us desert and the loss plateau using RS and GIS-a case study of the Yulin region. Environ. Geol. 2003, 44, 530–534. [Google Scholar] [CrossRef]
  96. Karavanova, E.I.; Shrestha, D.P.; Orlov, D.S. Application of remote sensing techniques for the study of soil salinity in semi-arid Uzbekistan. In Response to Land Degradation; Bridge, E.M., Ed.; Science Publishers: Enfield, UK, 2001; pp. 261–273. [Google Scholar]
  97. Metternicht, G.; Zinck, J.A. Remote sensing of soil salinity: Potentials and constraints. Remote Sens. Environ. 2003, 85, 1–20. [Google Scholar] [CrossRef]
  98. Metternicht, G.; Zinck, J.A. Spatial discrimination of salt-and sodium-affected soil surfaces. Int. J. Remote Sens. 1997, 18, 2571–2586. [Google Scholar] [CrossRef]
  99. Rao, B.R.M.; Sankar, T.R.; Dwivedi, R.S.; Thammappa, S.S.; Venkataratnam, L.; Sharma, R.C.; Das, S.N. Spectral behaviour of salt-affected soils. Int. J. Remote Sens. 1995, 16, 2125–2136. [Google Scholar] [CrossRef]
  100. Dwivedi, R.S.; Sreenivas, K.; Ramana, K.V. Inventory of salt-affected soils and waterlogged areas: A remote sensing approach. Int. J. Remote Sens. 1999, 20, 1589–1599. [Google Scholar] [CrossRef]
  101. Dwivedi, R.S.; Sreenivas, K. Delineation of salt-affected soils and waterlogged areas in the Indo-Gangetic plains using IRS-1C LISS-III data. Int. J. Remote Sens. 1998, 19, 2739–2751. [Google Scholar] [CrossRef]
  102. El Harti, A.; Lhissou, R.; Chokmani, K.; Ouzemou, J.; Hassouna, M.; Bachaoui, E.M.; El Ghmari, A. Spatiotemporal monitoring of soil salinization in irrigated Tadla Plain (Morocco) using satellite spectral indices. Int. J. Appl. Earth Obs. Geoinf. 2016, 50, 64–73. [Google Scholar] [CrossRef]
  103. Gorji, T.; Yildirim, A.; Hamzehpour, N.; Tanik, A.; Sertel, E. Soil salinity analysis of Urmia Lake Basin using Landsat-8 OLI and Sentinel-2A based spectral indices and electrical conductivity measurements. Ecol. Indic. 2020, 112, 106173. [Google Scholar] [CrossRef]
  104. Olsson, L.; Eklundh, L.; Ardö, J. A recent greening of the Sahel-trends.; patterns and potential causes. J. Arid. Environ. 2005, 63, 556–566. [Google Scholar] [CrossRef]
  105. Herrmann, S.M.; Anyamba, A.; Tucker, C.J. Recent trends in vegetation dynamics in the African Sahel and their relationship to climate. Glob. Environ. Chang. 2005, 15, 394–404. [Google Scholar] [CrossRef]
  106. Lamprey, H.F. Report on the Desert Encroachment Reconnaissance in Northern Sudan, 21 October–10 November 1975. Desertif. Control Bull. 1988, 17, 1–7. [Google Scholar]
  107. Tucker, C.J.; Dregne, H.E.; Newcomb, W.W. Expansion and contraction of the Sahara desert from 1980 to 1990. Science 1991, 253, 299–301. [Google Scholar] [CrossRef] [PubMed]
  108. Tucker, C.J.; Newcomb, W.W.; Dregne, H.E. AVHRR data sets for determination of desert spatial extent. Int. J. Remote Sens. 1994, 15, 3547–3565. [Google Scholar] [CrossRef]
  109. Urban, F.E.; Goldstein, H.L.; Fulton, R.; Reynolds, R.L. Unseen dust emission and global dust abundance: Documenting dust emission from the Mojave Desert USA by daily remote camera imagery and wind-erosionmeasurements. J. Geophys. Res. Atmos. 2018, 123, 8735–8753. [Google Scholar] [CrossRef]
  110. Webb, N.P.; Herrick, J.E.; Van Zee, J.W.; Courtright, E.M.; Hugenholtz, C.H.; Zobeck, T.M.; Okin, G.S.; Barchyn, T.E.; Billings, B.J.; Boyd, R.; et al. The National Wind Erosion Research Network: Building a standardized long-term data resource for aeolian research.; modeling and land management. Aeolian Res. 2016, 22, 23–36. [Google Scholar] [CrossRef] [Green Version]
  111. Webb, N.P.; Kachergis, E.; Miller, S.W.; McCord, S.E.; Edwards, B.L.; Herrick, J.E.; Karl, J.W.; Leys, J.F.; Metz, L.J.; Smarik, S.; et al. Indicators and benchmarks for wind erosion monitoring.; assessment and management. Ecol. Indic. 2020, 110, 105881. [Google Scholar] [CrossRef]
  112. Hansen, M.C.; Potapov, P.V.; Moore, R.; Hancher, M.; Turubanov, S.A.; Tyukavina, A.; Thau, D.; Stehman, S.V.; Goet, S.J.; Loveland, T.R.; et al. High-resolution global maps of 21st-Century forest cover change. Science 2013, 342, 850–853. [Google Scholar] [CrossRef] [Green Version]
  113. Rasmussen, K.; Fog, B.; Madsen, J.E. Desertification in reverse? Observations from northern Burkina Faso. Glob. Environ. Chang. 2001, 11, 271–282. [Google Scholar] [CrossRef]
  114. Tiffen, M.; Mortimore, M. Questioning desertification in dryland sub-Saharan Africa. Nat. Resour. Forum 2002, 26, 218–233. [Google Scholar] [CrossRef]
  115. Christian, B.A.; Dhinwa, P.S. Long term monitoring and assessment of desertification processes using medium high resolution satellite data. Appl. Geogr. 2018, 97, 10–24. [Google Scholar] [CrossRef]
  116. Rathore, V.S.; Kumar, M.; Yadava, N.D.; Yadav, O.P. Dryland agriculture and secondary salinization in canal commands of arid Rajasthan. J. Soil Salin. Water Qual. 2017, 9, 30–46. [Google Scholar]
  117. Wang, J.; Wei, H.; Cheng, K.; Ochir, A.; Davaasuren, D.; Li, P.; Chan, F.K.S.; Nasanbat, E. Spatio-temporal pattern of land degradation from 1990 to 2015 in Mongolia. Environ. Dev. 2020, 34, 100497. [Google Scholar] [CrossRef]
  118. Yaojie, Y.; Min, L.; Lin, W.; Xing, Z.A. A data-mining-based approach for aeolian desertification susceptibility assessment: A case-study from Northern China. Land Degrad. Dev. 2019, 30, 1968–1983. [Google Scholar] [CrossRef]
  119. Salvati, L.; Kosmas, C.; Kairis, O.; Karavitis, C.; Acikalin, S.; Belgacem, A.; Gungor, H. Unveiling soil degradation and desertification risk in the Mediterranean basin: A data mining analysis of the relationships between biophysical and socioeconomic factors in agro-forest landscapes. J. Environ. Plan. Manag. 2015, 58, 1789–1803. [Google Scholar] [CrossRef]
  120. Hengl, T.; Mendes De Jesus, J.; Heuvelink, G.B.; Ruiperez Gonzalez, M.; Kilibarda, M.; Blagotić, A.; Shangguan, W.; Wright, M.N.; Geng, X.; Bauer-Marschallinger, B. Soil Grids 250m: Global gridded soil information based on machine learning. PLoS ONE 2017, 12, e0169748. [Google Scholar] [CrossRef] [Green Version]
  121. Giuliani, G.; Mazzetti, P.; Santoro, M.; Nativi, S.; Van Bemmelen, J.; Colangeli, G.; Lehmann, A. Knowledge generation using satellite earth observations to support sustainable development goals (SDG): A use case on land degradation. Int. J. Appl. Earth Obs. Geoinformatics 2020, 88, 102068. [Google Scholar] [CrossRef]
  122. Mitri, G.; Nasrallah, G.; Gebrael, K.; Nassar, M.B.; Abou Dagher, M.; Nader, M.; Masri, N.; Choueiter, D. Assessing land degradation and identifying potential sustainable land management practices at the subnational level in Lebanon. Environ. Monit. Assess. 2019, 191, 567. [Google Scholar] [CrossRef]
  123. UNCCD. Expert Meeting on a Land Degradation Indicator (SDG target 15.3), Washington, DC, USA, 25–26 February 2016; Summary of Main Outcomes; UN Convention to Combat Desertification: Bonn, Germany, 2016. [Google Scholar]
  124. Grainger, A. Monitoring desertification after the Ad Hoc Advisory Group of Technical Experts. In Proceedings of the 5th International Conference on Drylands, Deserts and Desertification, Beersheba, Israel, 17–20 November 2014; Ben-Gurion University. [Google Scholar]
  125. UNCCD. Advice on How Best to Measure Progress on Strategic Objectives 1, 2 and 3 of The Strategy. Refinement of the Set of Impact Indicators on Strategic Objectives 1, 2 and 3. Recommendations of the ad hoc Advisory Group of Technical Experts. Note by the Secretariat. Conference of the Parties/Committee on Science and Technology, Eleventh Session, Windhoek, Namibia, 17–20 September 2013. Document ICCD/COP(11)/CST/2. UN Convention to Combat Desertification, Bonn, 2013. Official Documents CST 11, Windhoek, 2013. Available online: http://www.unccd.int/sites/default/files/sessions/documents/ICCD_COP11_CST_2/cst2eng.pdf (accessed on 10 October 2021).
  126. Grainger, A. Citizen observatories and the new Earth observation science. Remote Sens. 2017, 9, 153. [Google Scholar] [CrossRef] [Green Version]
  127. Ward, B.; Dubos, R. Only One Earth: The Care and Maintenance of a Small Planet; Andre Deutsch: London, UK, 1972. [Google Scholar]
Figure 1. The Uncertainty Assessment Framework.
Figure 1. The Uncertainty Assessment Framework.
Sustainability 14 04063 g001
Figure 2. The first world map of desertification status (Based on [75]).
Figure 2. The first world map of desertification status (Based on [75]).
Sustainability 14 04063 g002
Figure 3. Alternative conceptual structures for specifying the attributes of desertification in five global estimates of the extent of desertification by Dregne [1,2], Mabbutt [56], UNEP [3] and LADA [57], also showing their disaggregation by land use type and the scales used for ranking the degree and severity of desertification.
Figure 3. Alternative conceptual structures for specifying the attributes of desertification in five global estimates of the extent of desertification by Dregne [1,2], Mabbutt [56], UNEP [3] and LADA [57], also showing their disaggregation by land use type and the scales used for ranking the degree and severity of desertification.
Sustainability 14 04063 g003
Figure 4. A stack of Uncertainty Fingerprints to show changes over time in the conceptualization and measurement uncertainties associated with five estimates of the global extent of desertification and in their Uncertainty Scores (ustc = understructuralization by climate; ustlu = understructuralization by land use, and ustir = understructuralization by irrigated cropland degradation).
Figure 4. A stack of Uncertainty Fingerprints to show changes over time in the conceptualization and measurement uncertainties associated with five estimates of the global extent of desertification and in their Uncertainty Scores (ustc = understructuralization by climate; ustlu = understructuralization by land use, and ustir = understructuralization by irrigated cropland degradation).
Sustainability 14 04063 g004
Figure 5. The total numbers of the eight main sources of conceptualization and measurement uncertainties found in a time series of five estimates of the global extent of desertification.
Figure 5. The total numbers of the eight main sources of conceptualization and measurement uncertainties found in a time series of five estimates of the global extent of desertification.
Sustainability 14 04063 g005
Figure 6. The Uncertainty Profile of desertification, based on the Uncertainty Scores of five estimates of the global extent of desertification made between 1977 and 2008 [1,2,3,56,57].
Figure 6. The Uncertainty Profile of desertification, based on the Uncertainty Scores of five estimates of the global extent of desertification made between 1977 and 2008 [1,2,3,56,57].
Sustainability 14 04063 g006
Figure 7. The expansion of estimates of dry forest area [84,88,89,90] as the spatial resolution of satellite sensors used for measurement gets closer to the areal variability of dry forest.
Figure 7. The expansion of estimates of dry forest area [84,88,89,90] as the spatial resolution of satellite sensors used for measurement gets closer to the areal variability of dry forest.
Sustainability 14 04063 g007
Figure 8. A stack of Uncertainty Fingerprints to show the conceptualization and measurement uncertainties associated with three recent estimates of the extent of land degradation based on ‘big data’ sources and their Uncertainty Scores (ustc = understructuralization by climate; ustlu = understructuralization by land use; and ustir = understructuralization by irrigated cropland degradation).
Figure 8. A stack of Uncertainty Fingerprints to show the conceptualization and measurement uncertainties associated with three recent estimates of the extent of land degradation based on ‘big data’ sources and their Uncertainty Scores (ustc = understructuralization by climate; ustlu = understructuralization by land use; and ustir = understructuralization by irrigated cropland degradation).
Sustainability 14 04063 g008
Table 1. Two taxonomies of sources of environmental uncertainty proposed in 2002 by Regan et al. [13] and Van Asselt and Rotmans [17] (detailed definitions are provided in Tables S2 and S3).
Table 1. Two taxonomies of sources of environmental uncertainty proposed in 2002 by Regan et al. [13] and Van Asselt and Rotmans [17] (detailed definitions are provided in Tables S2 and S3).
Regan et al.Van Asselt and Rotmans
LinguisticVariability
L1. VaguenessV1. Inherent randomness
L2. Context dependenceV2. Value diversity
L3. AmbiguityV3. (Irrational) human behaviour
L4. UnderspecificityV4. (Non-linear) societal dynamics
L5. IndeterminacyV5. Technological surprises
EpistemicLimited Knowledge
E1. Measurement errorK1. Inexactness
E2. Systematic errorK2. Lack of measurements
E3. Natural variationK3. Practically immeasurable
E4. Inherent randomnessK4. Conflicting evidence
E5. Moral uncertaintyK5. Reducible ignorance
E6. Subjective judgementK6. Indeterminacy
K7. Irreducible ignorance
Table 2. A taxonomy of sources of environmental uncertainty in the Uncertainty Assessment Framework (UAF) and corresponding terms in the taxonomies of Regan et al. [13] and Van Asselt and Rotmans [17].
Table 2. A taxonomy of sources of environmental uncertainty in the Uncertainty Assessment Framework (UAF) and corresponding terms in the taxonomies of Regan et al. [13] and Van Asselt and Rotmans [17].
UAF TaxonomyCorresponding Terms in Other Taxonomies in Table 1 *
Phenomenal uncertainties
P1. Spatial extent
P2. Biophysical complexityRE3
P3. Spatio-temporal randomness RE4; VV1
P4. Human-environment complexityVV3, VV4, VV5
Conceptualization uncertainties
C1. Terminological difficultiesRL1, RL3, RL5; VV2
C2. UnderspecificationRL4
C3. Understructuralization RL4, RE5
C4. Using proxies
Measurement uncertainties
M1. Random errorsRE1; VK1
M2. Systematic errorsRE2; VK4, VK5
M3. Scalar deficiencies in measurementRL2; VK2
M4. Using subjective judgmentRE6
* The second column lists the Linguistic (RL) and Epistemic (RE) categories of Regan et al. [13], and the Variability (VV) and Limited Knowledge (VK) categories of Van Asselt and Rotmans [17], with numbering as in Table 1.
Table 3. The multiple attributes of four global environmental change phenomena.
Table 3. The multiple attributes of four global environmental change phenomena.
PhenomenonNumber of AttributesAttributes
Forest area change1Area
Forest carbon change2Area
Carbon density
Biodiversity loss3Ecosystem diversity
Species diversity
Genetic diversity
Desertification7Vegetation area
Vegetation density
Water erosion of soil
Wind erosion of soil
Soil compaction
Waterlogging/salinization/alkalinization of soil
Rainfall variation
Table 4. Values of components of the inherent uncertainty function for two global environmental change phenomena.
Table 4. Values of components of the inherent uncertainty function for two global environmental change phenomena.
PhenomenonPotentially Affected Area (Mha)No. of AttributesAreal Variability (ha)Turnover Time (yrs)
Desertification516970.12
Tropical forest area change177010.53
Table 6. Numbers of conceptualization and measurement uncertainties associated with five estimates of the global extent of desertification and their underlying mechanisms (I = intergovernmental, S = scientific, Y = present, and − = absent).
Table 6. Numbers of conceptualization and measurement uncertainties associated with five estimates of the global extent of desertification and their underlying mechanisms (I = intergovernmental, S = scientific, Y = present, and − = absent).
Conceptualization UncertaintiesMeasurement UncertaintiesUncertainty ScoreDiscourseFormal InstitutionsInformal Institutions Conceptualization–Measurement Synergies
Dregne (1977) [2]347IIS
Dregne (1983) [1]347IIS
Mabbutt (1984) [56]347IIS
Middleton and Thomas (1992) [3]246IISY
LADA (2008) [57]437ISISY
Mean 6.8
Table 7. Seven rules for constructing reliable global environmental information.
Table 7. Seven rules for constructing reliable global environmental information.
1. Define a phenomenon clearly and appropriately.
2. Specify the minimum number of attributes to measure, to completely characterize a phenomenon.
3. Disaggregate measurement of a phenomenon, to represent the full diversity of its spatial distribution.
4. Minimize spatial systematic errors, by using sensors whose spatial resolution matches the areal variability of a phenomenon and whose spectral resolution matches its most distinctive property.
5. Minimize temporal systematic errors, by choosing a monitoring frequency consistent with the turnover time of a phenomenon.
6. Minimize the systematic and random errors associated with the method used to classify satellite images.
7. Minimize the systematic and random errors associated with the algorithm used to combine estimates of the various attributes of a phenomenon.
Publisher’s Note: MDPI stays neutral with regard to jurisdictional claims in published maps and institutional affiliations.

Share and Cite

MDPI and ACS Style

Grainger, A. Are Global Environmental Uncertainties Inevitable? Measuring Desertification for the SDGs. Sustainability 2022, 14, 4063. https://doi.org/10.3390/su14074063

AMA Style

Grainger A. Are Global Environmental Uncertainties Inevitable? Measuring Desertification for the SDGs. Sustainability. 2022; 14(7):4063. https://doi.org/10.3390/su14074063

Chicago/Turabian Style

Grainger, Alan. 2022. "Are Global Environmental Uncertainties Inevitable? Measuring Desertification for the SDGs" Sustainability 14, no. 7: 4063. https://doi.org/10.3390/su14074063

APA Style

Grainger, A. (2022). Are Global Environmental Uncertainties Inevitable? Measuring Desertification for the SDGs. Sustainability, 14(7), 4063. https://doi.org/10.3390/su14074063

Note that from the first issue of 2016, this journal uses article numbers instead of page numbers. See further details here.

Article Metrics

Back to TopTop