The New Island-Wide LS Factors of Taiwan, with Comparison with EU Nations
Abstract
:1. Introduction
2. Material and Methods
3. Calculation
4. Results
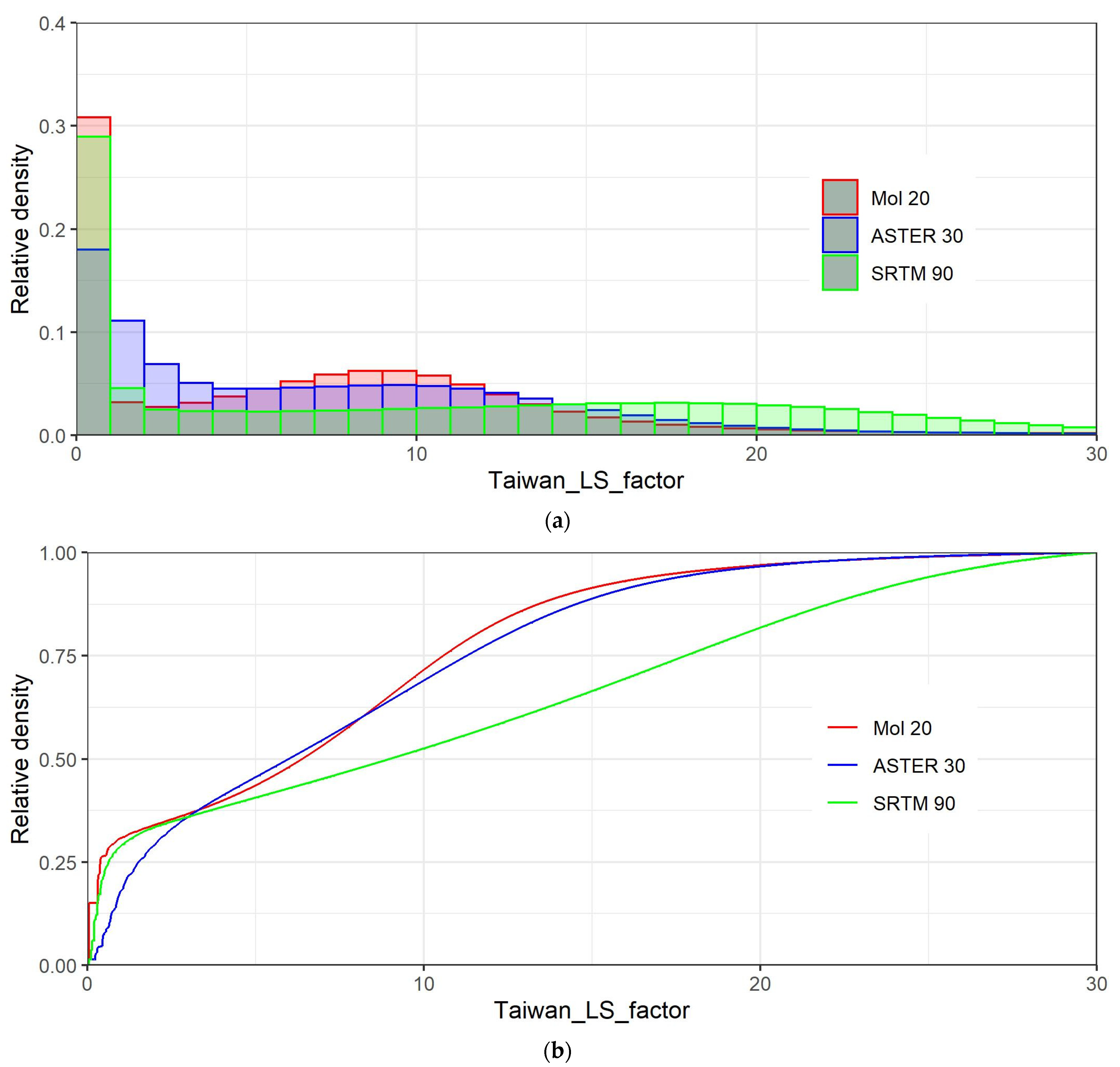
4.1. Comparison of Taiwan’s LS Factor Derived from Three DEMs
4.2. Comparison of Taiwan’s and EU’s LS Factors
5. Discussion and Conclusions
Author Contributions
Funding
Institutional Review Board Statement
Informed Consent Statement
Data Availability Statement
Acknowledgments
Conflicts of Interest
References
- Borrelli, P.; Alewell, C.; Alvarez, P.; Anache, J.A.A.; Baartman, J.; Ballabio, C.; Panagos, P. Soil erosion modelling: A global review and statistical analysis. Sci. Total Environ. 2021, 780, 146494. [Google Scholar] [CrossRef]
- Bezak, N.; Mikoš, M.; Borrelli, P.; Alewell, C.; Alvarez, P.; Anache, J.A.A.; Panagos, P. Soil erosion modelling: A bibliometric analysis. Environ. Res. 2021, 197, 111087. [Google Scholar] [CrossRef] [PubMed]
- Panagos, P.; Borrelli, P.; Poesen, J.; Ballabio, C.; Lugato, E.; Meusburger, K.; Montanarella, L.; Alewell, C. The new assessment of soil loss by water erosion in Europe. Environ. Sci. Policy 2015, 54, 438–447. [Google Scholar] [CrossRef]
- Panagos, P.; Borrelli, P.; Meusburger, K. A new European slope length and steepness factor (LS-factor) for modeling soil erosion by water. Geosciences 2015, 5, 117. [Google Scholar] [CrossRef] [Green Version]
- Khanifar, J.; Khademalrasoul, A. Multiscale comparison of LS factor calculation methods based on different flow direction algorithms in Susa Ancient landscape. Acta Geophys. 2020, 68, 783–793. [Google Scholar] [CrossRef]
- Shan, L.; Yang, X.; Zhu, Q. Effects of DEM resolutions on LS and hillslope erosion estimation in a burnt landscape. Soil Res. 2019, 57, 797–804. [Google Scholar] [CrossRef]
- Bircher, P.; Liniger, H.P.; Prasuhn, V. Comparing different multiple flow algorithms to calculate RUSLE factors of slope length (L) and slope steepness (S) in Switzerland. Geomorphology 2019, 346, 106850. [Google Scholar] [CrossRef]
- Lu, S.; Liu, B.; Hu, Y.; Fu, S.; Cao, Q.; Shi, Y.; Huang, T. Soil erosion topographic factor (LS): Accuracy calculated from different data sources. Catena 2020, 187, 104334. [Google Scholar] [CrossRef]
- Azizian, A.; Koohi, S. The effects of applying different DEM resolutions, DEM sources and flow tracing algorithms on LS factor and sediment yield estimation using USLE in Barajin river basin (BRB), Iran. Paddy Water Environ. 2021, 19, 453–468. [Google Scholar] [CrossRef]
- Lo, K.F.A. Quantifying soil erosion for the Shihmen reservoir watershed, Taiwan. Agric. Syst. 1994, 45, 105–116. [Google Scholar] [CrossRef]
- Chen, W.; Li, D.H.; Yang, K.J.; Tsai, F.; Seeboonruang, U. Identifying and comparing relatively high soil erosion sites with four DEMs. Ecol. Eng. 2018, 120, 449–463. [Google Scholar] [CrossRef]
- Liu, Y.H.; Li, D.H.; Chen, W.; Lin, B.S.; Seeboonruang, U.; Tsai, F. Soil erosion modeling and comparison using slope units and grid cells in Shihmen reservoir watershed in Northern Taiwan. Water 2018, 10, 1387. [Google Scholar] [CrossRef] [Green Version]
- Lin, B.S.; Chen, C.K.; Thomas, K.; Hsu, C.K.; Ho, H.C. Improvement of the K-factor of USLE and soil erosion estimation in Shihmen reservoir watershed. Sustainability 2019, 11, 355. [Google Scholar] [CrossRef] [Green Version]
- Nguyen, K.A.; Chen, W.; Lin, B.S.; Seeboonruang, U.; Thomas, K. Predicting sheet and rill erosion of Shihmen reservoir watershed in Taiwan using machine learning. Sustainability 2019, 11, 3615. [Google Scholar] [CrossRef] [Green Version]
- Lin, Y.C.; Huang, S.L. Spatial Emergy Synthesis of the Environmental Impacts from Agricultural Production System Change—A Case Study of Taiwan. In Proceedings of the 7th Biennial Emergy Research Conference, Gainesville, FL, USA, 12–14 January 2012. [Google Scholar]
- Alexakis, D.D.; Hadjimitsis, D.G.; Agapiou, A. Integrated use of remote sensing, GIS and precipitation data for the assessment of soil erosion rate in the catchment area of “Yialias” in Cyprus. Atmos. Res. 2013, 131, 108–124. [Google Scholar] [CrossRef]
- Ranzi, R.; Le, T.H.; Rulli, M.C. A RUSLE approach to model suspended sediment load in the Lo River (Vietnam): Effects of reservoirs and land use changes. J. Hydrol. 2012, 422–423, 17–29. [Google Scholar] [CrossRef]
- Renard, K.G.; Foster, G.R.; Weesies, G.A.; McCool, D.K.; Yoder, D.C. Predicting Soil Erosion by Water: A Guide to Conservation Planning with the Revised Universal Soil Loss Equation (RUSLE), Agricultural Handbook Number 703; United States Department of Agriculture: Washington, DC, USA, 1997.
- Foster, G.R.; Wischmeier, W.H. Evaluating Irregular Slopes for Soil Loss Prediction. Trans. Am. Soc. Agric. Eng. 1974, 17, 305–309. [Google Scholar] [CrossRef]
- Desmet, P.J.J.; Govers, G. A GIS procedure for automatically calculating the USLE LS factor on topographically complex landscape units. J. Soil Water Conserv. 1996, 51, 427–433. [Google Scholar]
- Conrad, O.; Bechtel, B.; Bock, M.; Dietrich, H.; Fischer, E.; Gerlitz, L.; Wehberg, J.; Wichmann, V.; Boehner, J. System for Automated Geoscientific Analyses (SAGA) v. 2.1.4. Geosci. Model Dev. 2015, 8, 1991–2007. [Google Scholar] [CrossRef] [Green Version]
- Molnár, D.K.; Julien, P.Y. Estimation of upland erosion using GIS. Comput. Geosci. 1998, 24, 183–192. [Google Scholar] [CrossRef]
- Gao, J. Resolution and accuracy of terrain representation by grid dems at a micro-scale. Int. J. Geogr. Inf. Sci. 1997, 11, 199–212. [Google Scholar] [CrossRef]
- Panagos, P.; Ballabio, C.; Himics, M.; Scarpa, S.; Matthews, F.; Bogonos, M.; Borrelli, P. Projections of soil loss by water erosion in Europe by 2050. Environ. Sci. Policy 2021, 124, 380–392. [Google Scholar] [CrossRef]
- Li, J.-Y.; Yang, K.-J.; Chen, W. Approximation equation of erosion calculation in GIS. In Proceedings of the 37th Asian Conference on Remote Sensing, ACRS, Colombo, Sri Lanka, 17–21 October 2016; Volume 3, pp. 1837–1843. [Google Scholar]
- Nguyen, K.A.; Chen, W.; Lin, B.S.; Seeboonruang, U. Comparison of Ensemble Machine Learning Methods for Soil Erosion Pin Measurements. ISPRS Int. J. Geo-Inf. 2021, 10, 42. [Google Scholar] [CrossRef]
- Nguyen, K.A.; Chen, W. DEM-and GIS-Based Analysis of Soil Erosion Depth Using Machine Learning. ISPRS Int. J. Geo-Inf. 2021, 10, 452. [Google Scholar] [CrossRef]





| No. | DEM | Cell Size (m) | Column × Row | Elevation (m) | ||
|---|---|---|---|---|---|---|
| Min. | Max. | Mean | ||||
| 1 | MoI | 20 × 20 | 10,026 × 18,850 | −33 | 3947 | 768.93 |
| 2 | ASTER V3 | 30 × 30 | 6291 × 12,705 | −13 | 3883 | 779.89 |
| 3 | SRTM V4.1 | 90 × 90 | 2228 × 4189 | −45 | 3890 | 777.22 |
| DEM | Cell Size (m) | Taiwan | EU | ||||
|---|---|---|---|---|---|---|---|
| Mean | Std | Coefficient of Variation | Mean | Std | Coefficient of Variation | ||
| MoI DEM | 20 | 8.24 | 13.71 | 1.66 | - | - | - |
| EU-DEM | 25 | - | - | - | 1.95 | 4.28 | 2.19 |
| ASTER DEM | 30 | 7.63 | 7.73 | 1.01 | 2.84 | 3.72 | 1.31 |
| SRTM DEM | 90 | 10.77 | 9.80 | 0.91 | - | - | - |
| Country Name | Code | Mean | Standard Deviation | Coefficient of Variation |
|---|---|---|---|---|
| Austria | AT | 6.95 | 7.94 | 1.14 |
| Belgium | BE | 1.43 | 1.51 | 1.05 |
| Bulgaria | BG | 3.46 | 3.91 | 1.13 |
| Cyprus | CY | 3.37 | 3.68 | 1.09 |
| Czech Rep. | CZ | 2.39 | 2.26 | 0.95 |
| Germany | DE | 2.12 | 2.35 | 1.11 |
| Denmark | DK | 1.26 | 1.13 | 0.90 |
| Estonia | EE | 1.76 | 1.55 | 0.88 |
| Spain | ES | 3.21 | 4.00 | 1.25 |
| Finland | FI | 1.84 | 1.61 | 0.87 |
| France | FR | 2.90 | 4.05 | 1.40 |
| Greece | GR | 4.98 | 5.15 | 1.03 |
| Croatia | HR | 3.04 | 3.26 | 1.07 |
| Hungary | HU | 1.75 | 1.64 | 0.94 |
| Ireland | IE | 2.37 | 2.22 | 0.94 |
| Italy | IT | 4.90 | 6.37 | 1.30 |
| Lithuania | LT | 1.87 | 1.54 | 0.83 |
| Luxembourg | LU | 2.56 | 2.46 | 0.96 |
| Latvia | LV | 1.84 | 1.46 | 0.80 |
| Malta | MT | 1.42 | 1.92 | 1.35 |
| Netherlands | NL | 0.64 | 0.66 | 1.04 |
| Poland | PL | 1.88 | 1.72 | 0.92 |
| Portugal | PT | 2.72 | 2.97 | 1.09 |
| Romania | RO | 3.29 | 3.74 | 1.14 |
| Sweden | SE | 2.24 | 2.13 | 0.95 |
| Slovenia | SI | 5.41 | 5.52 | 1.02 |
| Slovakia | SK | 3.96 | 3.76 | 0.95 |
| United Kingdom | UK | 2.70 | 2.69 | 0.99 |
Publisher’s Note: MDPI stays neutral with regard to jurisdictional claims in published maps and institutional affiliations. |
© 2022 by the authors. Licensee MDPI, Basel, Switzerland. This article is an open access article distributed under the terms and conditions of the Creative Commons Attribution (CC BY) license (https://creativecommons.org/licenses/by/4.0/).
Share and Cite
Chen, W.; Nguyen, K.A. The New Island-Wide LS Factors of Taiwan, with Comparison with EU Nations. Sustainability 2022, 14, 3059. https://doi.org/10.3390/su14053059
Chen W, Nguyen KA. The New Island-Wide LS Factors of Taiwan, with Comparison with EU Nations. Sustainability. 2022; 14(5):3059. https://doi.org/10.3390/su14053059
Chicago/Turabian StyleChen, Walter, and Kieu Anh Nguyen. 2022. "The New Island-Wide LS Factors of Taiwan, with Comparison with EU Nations" Sustainability 14, no. 5: 3059. https://doi.org/10.3390/su14053059
APA StyleChen, W., & Nguyen, K. A. (2022). The New Island-Wide LS Factors of Taiwan, with Comparison with EU Nations. Sustainability, 14(5), 3059. https://doi.org/10.3390/su14053059
