Capturing Changes in Residential Occupant Behavior Due to Work from Home in Japan as a Consequence of the COVID-19 Pandemic
Abstract
:1. Introduction
2. Materials and Methods
2.1. Study Design
2.2. Questionnaire Survey
2.3. Setting of Target
- The monthly electricity consumption is extremely high, exceeding 1000 kWh;
- The respondents worked from home starting in 2019;
- Other erroneous answers (example: there is only one child of compulsory education under 15 years of age).
2.4. Data Analysis and Statistical Hypothesis Test
3. Results
3.1. Ratio of Major Attributes of Samples
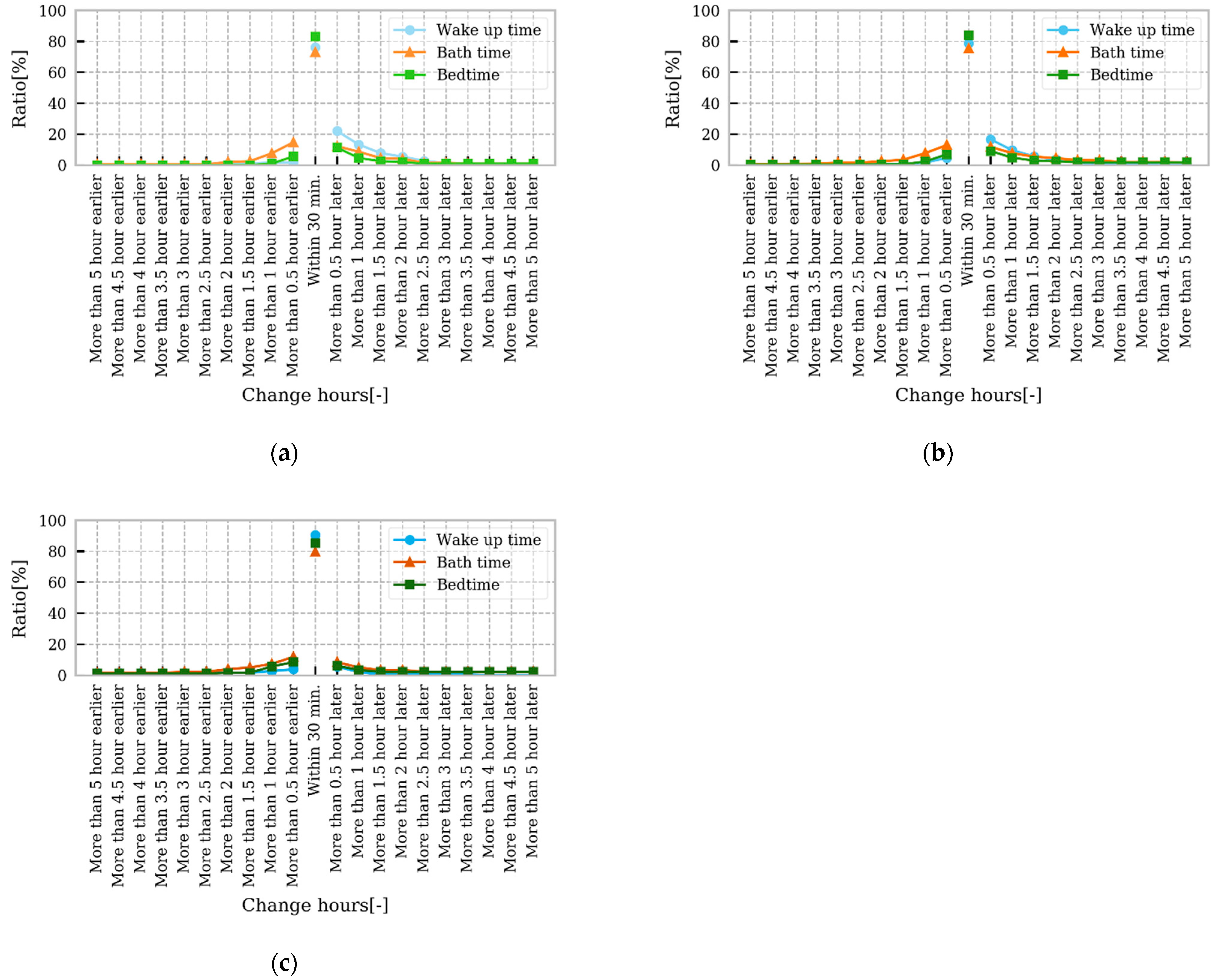
3.2. Changes in Daily Schedules of Residents
3.3. Changes in the Use of Air-Conditioners
3.4. Changes in Energy Consumption
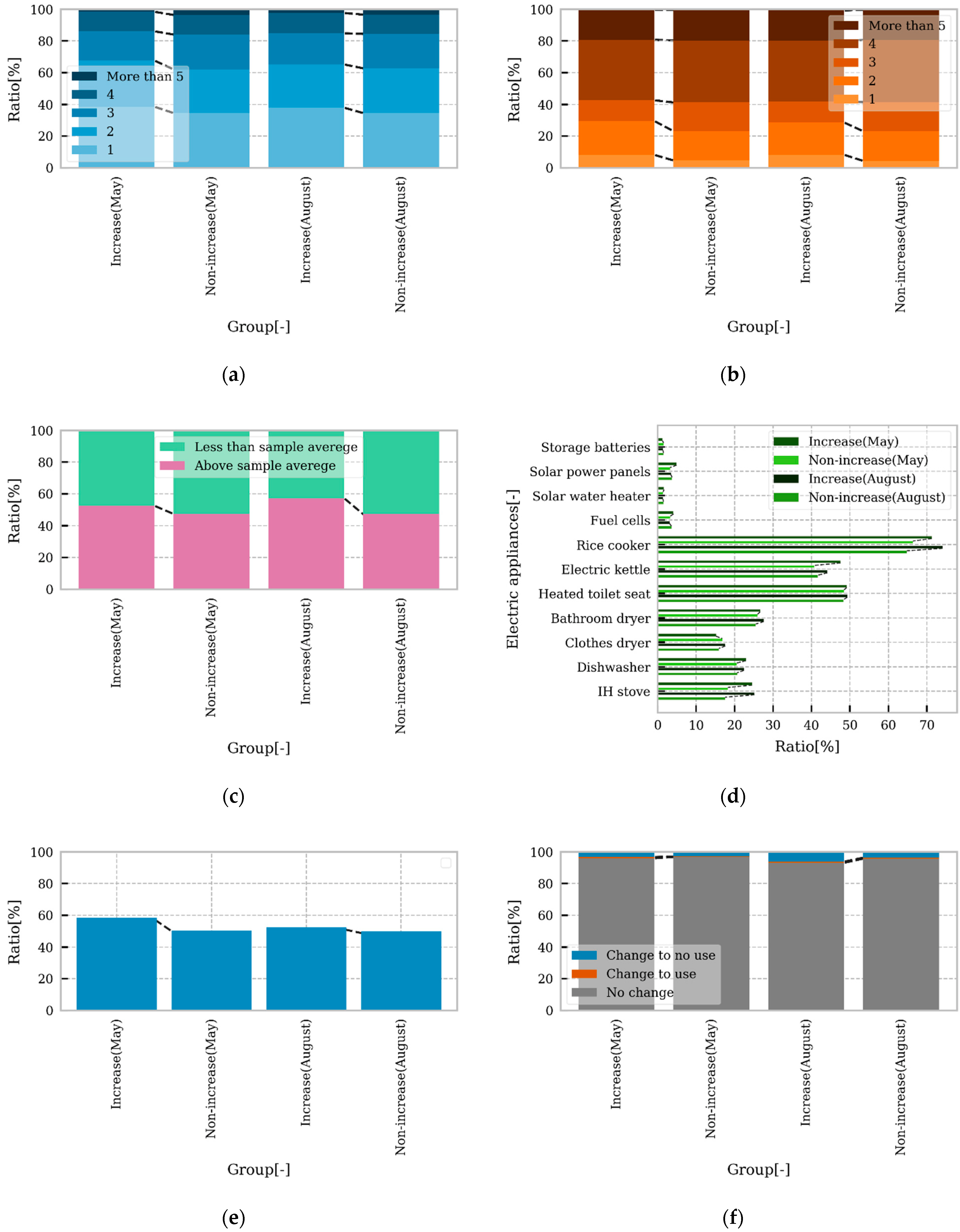
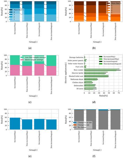
3.5. Comparison of Attributes between Groups of Households Whose Consumption of Electric Power Increased and Did Not Increase
4. Discussion
4.1. Summary of Findings
4.2. Impact of WFH on Workers and Their Families
4.3. Importance of Information That Encourages Behavioral Changes (Nudge)
4.4. Factors of the Increase in Energy Consumption Due to WFH
4.5. Study Limitations
5. Conclusions
Funding
Institutional Review Board Statement
Informed Consent Statement
Data Availability Statement
Conflicts of Interest
Appendix A
| Classification | Survey Question | Answer | |||
|---|---|---|---|---|---|
| Attribute | Please select the number of rooms in your current residence. | 1 room | 2 rooms | 3 rooms | |
| 4 rooms | 5 or more | ||||
| Please select the attributes of each resident in order of age, with the oldest first. If there are more than six people, please answer the five oldest. | Male/ Pre-school | Male/ Elementary school student | Male/ Junior high school student | ||
| Male/ 15–18 years old | Male/ 19–69 years old | Male/ 70 or over | |||
| Female/ Pre-school | Female/ Elementary school student | Female/ Junior high school student | |||
| Female/ 15–18 years old | Female/ 19–69 years old | Female/ 70 or over | |||
| Lifestyle and daily schedule | Please describe weekday living schedule of each resident for the 2019 fiscal year (April 2019 to March 2020). If the weekday life schedule varies from day to day, please describe the average time of day. | Getting out of bed | Described in minutes for each resident | ||
| Going to work or school | |||||
| Returning home | |||||
| Bathing (including showering only, and including when entering in the morning) | |||||
| Going to bed | |||||
| Please describe weekday living schedule of each resident in May 2020. If your weekday life schedule varies from day to day, please indicate the time of day during WFH, online classes, and home study periods. | Getting out of bed | Described in minutes for each resident | |||
| Going to work or school | |||||
| Returning home | |||||
| Bathing (including showering only, and including when entering in the morning) | |||||
| Going to bed | |||||
| Please describe weekday living schedule of each resident in August 2020. If your weekday life schedule varies from day to day, please indicate the time of day during WFH, online classes, and home study periods. | Getting out of bed | Described in minutes for each resident | |||
| Going to work or school | |||||
| Returning home | |||||
| Bathing (including showering only, and including when entering in the morning) | |||||
| Going to bed | |||||
| Electric appliances | Please describe the number of refrigerators owned in August 2020. | Described in numbers | |||
| Please describe the capacity of the largest refrigerator you own. | Described in liters | ||||
| Please describe the number of TVs owned in August 2020. | Described in numbers | ||||
| Please describe the size of the TV you own that you mainly use. | Described in inches | ||||
| Please select owned electric appliances. | Rice cooker | Electric kettle | Heated toilet seat | ||
| Bathroom dryer | Clothes dryer | Dishwasher | |||
| IH stove | Storage batteries | Solar power panels | |||
| Solar water heater | Fuel cells | ||||
| Air-conditioner | Please select whether you used the air conditioner in each month. If you have difficulty answering the exact question for 2019, please answer for the spring of 2019 for April and May, and for August for the hottest time of the year in 2019. | April 2019 | Used air conditioning more than 15 days per month | Did not use air conditioning for more than 15 days per month | |
| May 2019 | |||||
| August 2019 | |||||
| April 2020 | |||||
| May 2020 | |||||
| August 2020 | |||||
| Please select one answer for each room regarding the frequency of use of air-conditioners. If you have difficulty answering the exact question for August, please answer for the hottest time of 2019 or 2020, respectively. | Living room/Kitchen in August 2019 | Used almost every day. | Occasionally used | Not used | |
| Bedroom/Study in August 2019 | There is no applicable room. | ||||
| Children’s room in August 2019 | |||||
| Living room/Kitchen in August 2020 | |||||
| Bedroom/Study in August 2020 | |||||
| Children’s room in August 2020 | |||||
| Please select all the times that apply to the use of air conditioning for each room on weekdays. | Living room/Kitchen in August 2019 | No cooling | 0 o’clock | 1 o’clock | |
| Bedroom/Study in August 2019 | 2 o’clock | 3 o’clock | 4 o’clock | ||
| Children’s room in August 2019 | 5 o’clock | 6 o’clock | 7 o’clock | ||
| Living room/Kitchen in August 2020 | 8 o’clock | 9 o’clock | 10 o’clock | ||
| Bedroom/Study in August 2020 | 11 o’clock | 12 o’clock | 13 o’clock | ||
| Children’s room in August 2020 | 14 o’clock | 15 o’clock | 16 o’clock | ||
| 17 o’clock | 18 o’clock | 19 o’clock | |||
| 20 o’clock | 21 o’clock | 22 o’clock | |||
| 23 o’clock | |||||
| Electricity consumption | Please describe the amount of electricity consumption in your household. | April 2019 | Described in kWh | ||
| May 2019 | |||||
| August 2019 | |||||
| April 2020 | |||||
| May 2020 | |||||
| August 2020 | |||||
| Please describe why your monthly electricity consumption in 2020 has changed or not changed from 2019. | Be sure to describe | ||||
References
- International Energy Agency. Global Energy Review: CO2 Emissions in 2020. 2021. Available online: https://www.iea.org/articles/global-energy-review-co2-emissions-in-2020 (accessed on 27 July 2021).
- Bui, T.; Higa, T.; Sivakumar, V.; Yen, J. Beyond telecommuting: Organizational Suitability of Different Modes of Telework. In Proceedings of the 29th Annual Hawaii International Conference on System Sciences, Wailea, HI, USA, 3–6 January 1996; Volume 3, pp. 344–353. [Google Scholar] [CrossRef]
- Park, S.; Jeong, S.; Chai, D.S. Remote e-Workers’ Psychological Well-being and Career Development in the Era of COVID-19: Challenges, Success Factors, and the Roles of HRD Professionals. Adv. Dev. Hum. Resour. 2021, 23, 222–236. [Google Scholar] [CrossRef]
- International Labour Organization. Working from Home: Estimating the Worldwide Potential. 2020. Available online: https://www.ilo.org/wcmsp5/groups/public/---ed_protect/---protrav/---travail/documents/briefingnote/wcms_743447.pdf (accessed on 27 July 2021).
- PERSOL Research and Consulting Co., Ltd. Detailed Data of the Second Survey Results. 2020. Available online: https://rc.persol-group.co.jp/assets/files/news-data.xlsx (accessed on 27 July 2021).
- Sato, K.; Kobayashi, S.; Yamaguchi, M.; Sakata, R.; Sasaki, Y.; Murayama, C.; Kondo, N. Working from home and dietary changes during the COVID-19 pandemic: A longitudinal study of health app (CALO mama) users. Appetite 2021, 165, 105323. [Google Scholar] [CrossRef] [PubMed]
- Chiba, A. The effectiveness of mobility control, shortening of restaurants’ opening hours, and working from home on control of COVID-19 spread in Japan. Health Place 2021, 70, 102622. [Google Scholar] [CrossRef] [PubMed]
- Hanibuchi, T.; Yabe, N.; Nakaya, T. Who is staying home and who is not? Demographic, socioeconomic, and geographic differences in time spent outside the home during the COVID-19 outbreak in Japan. Prev. Med. Rep. 2021, 21, 101306. [Google Scholar] [CrossRef] [PubMed]
- Toscano, F.; Zappalà, S. Social isolation and stress as predictors of productivity perception and remote work satisfaction during the COVID-19 pandemic: The role of concern about the virus in a moderated double mediation. Sustainability 2020, 12, 9804. [Google Scholar] [CrossRef]
- Morikawa, M. Productivity of Working from Home during the COVID-19 Pandemic: Evidence from an Employee Survey; RIETI Discussion Paper Series 20-E-073. Available online: https://www.rieti.go.jp/jp/publications/dp/20e073.pdf (accessed on 10 February 2022).
- Nayak, S.; Pandit, D. Potential of telecommuting for different employees in the Indian context beyond COVID-19 lockdown. Transp. Policy 2021, 111, 98–110. [Google Scholar] [CrossRef]
- Campisi, T.; Tesoriere, G.; Trouva, M.; Papas, T.; Basbas, S. Impact of Teleworking on Travel Behaviour During the COVID-19 Era: The Case Of Sicily, Italy. Transp. Res. Procedia 2022, 60, 251–258. [Google Scholar] [CrossRef]
- Pulido-Martos, M.; Cortés-Denia, D.; Lopez-Zafra, E. Teleworking in Times of COVID-19: Effects on the Acquisition of Personal Resources. Front. Psychol. 2021, 12, 2485. [Google Scholar] [CrossRef] [PubMed]
- Cellini, M.; Pisacane, L.; Crescimbene, M.; Di, F.F. Exploring Employee Perceptions towards Smart Working during the COVID-19 Pandemic: A Comparative Analysis of Two Italian Public Research Organizations. Public Organ. Rev. 2021, 21, 815–833. [Google Scholar] [CrossRef]
- Hannah, V.; Ahmed, A.; Maya, P.; Sharane, S.; Cynthia, C.; William, O. New Insights on the Energy Impacts of Telework in Canada. Can. Public Policy 2021, 47, 460–467. [Google Scholar] [CrossRef]
- Moncef, K.; Mohammad, A. Review analysis of COVID-19 impact on electricity demand for residential buildings. Renew. Sustain. Energy Rev. 2021, 143, 110888. [Google Scholar] [CrossRef]
- Dragan, C.; Aleksandar, N.; Ivana, T. Impact of people’s behavior on the energy sustainability of the residential sector in emergency situations caused by COVID-19. Energy Policy 2021, 230, 110532. [Google Scholar] [CrossRef]
- The Government of Japan. The Long-Term Strategy under the Paris Agreement. 2019. Available online: https://www.env.go.jp/earth/earth/ondanka/mat3.pdf (accessed on 27 July 2021).
- Robinson, C.; Yan, D.; Bouzarovski, S.; Zhang, Y. Energy poverty and thermal comfort in northern urban China: A household-scale typology of infrastructural inequalities. Energy Build. 2018, 177, 363–374. [Google Scholar] [CrossRef]
- Stelmach, G.; Zanocco, C.; Flora, J.; Rajagopal, R.; Boudet, H.S. Exploring household energy rules and activities during peak demand to better determine potential responsiveness to time-of-use pricing. Energy Policy 2020, 144, 111608. [Google Scholar] [CrossRef]
- Ozawa, A.; Kudoh, Y.; Yoshida, Y. A new method for household energy use modeling: A questionnaire-based approach. Energy Build. 2018, 162, 32–41. [Google Scholar] [CrossRef]
- Wittenberg, I.; Matthies, E. How do PV households use their PV system and how is this related to their energy use? Renew. Energy 2018, 122, 291–300. [Google Scholar] [CrossRef]
- Data of Japan. Japan. Geojson. Available online: https://github.com/dataofjapan/land/commit/c686f194db009794b63b38585af060fbe1b0b304 (accessed on 28 January 2022).
- Geospatial Information Authority of Japan. XYZ Tiles “Blank Map”. Available online: https://maps.gsi.go.jp/development/ichiran.html (accessed on 28 January 2022).
- Ministry of Economy, Trade and Industry. METI Requested Related Associations to Promote Teleworking of Workers and Other Actions as Responses to Government’s Declaration of State of Emergency Involving Novel Coronavirus Disease. Available online: https://www.meti.go.jp/english/press/2020/0413_002.html (accessed on 28 January 2022).
- The National Statistics Center. 2015 Population Census. Basic Complete Tabulation on Population and Households. 2017. Available online: https://www.e-stat.go.jp/en/stat-search/files?page=1&layout=datalist&toukei=00200521&tstat=000001080615&cycle=0&tclass1=000001089055&tclass2=000001089056&tclass3val=0 (accessed on 27 July 2021).
- The National Statistics Center. 2018 Housing and Land Survey. Basic Tabulation on Dwellings and Households. Available online: https://www.e-stat.go.jp/en/stat-search/files?page=1&layout=datalist&toukei=00200522&tstat=000001127155&cycle=0&year=20180&month=0&tclass1=000001129435&tclass2=000001129436&tclass3val=0 (accessed on 28 January 2022).
- Recruit Co., Ltd. Press Release. 2020. Available online: https://www.recruit.co.jp/newsroom/recruit-sumai/data/upload/07a49f312ad3ef3f6eb08d2e4dac6f08.pdf (accessed on 27 July 2021).
- PERSOL Research and Consulting Co., Ltd. Detailed Data of the Fourth Survey Results. 2020. Available online: https://rc.persol-group.co.jp/news/files/telework4-2.xlsx (accessed on 27 July 2021).
- The National Statistics Center. Survey on Time Use and Leisure Activities. 2016 Survey on Time Use and Leisure Activities. 2016. Available online: https://www.e-stat.go.jp/en/stat-search/files?page=1&layout=datalist&toukei=00200533&tstat=000001095335&cycle=0&tclass1=000001095377&tclass2=000001095393&tclass3=000001095396&stat_infid=000031616633&tclass4val=0 (accessed on 27 July 2021).
- Brülisauer, M.; Goette, L.; Jiang, Z.; Schmitz, J.; Schubert, R. Appliance-Specific feedback and social comparisons: Evidence from a field experiment on energy conservation. Energy Policy 2020, 145, 111742. [Google Scholar] [CrossRef]
- Kim, H.B.; Iwamatsu, T.; Nishio, K.; Komatsu, H.; Mukai, T.; Odate, Y.; Sasaki, M. Field experiment of smartphone-based energy efficiency services for households: Impact of advice through push notifications. Energy Build. 2020, 223, 110151. [Google Scholar] [CrossRef]
- The Government of Japan. Green Growth Strategy through Achieving Carbon Neutrality in 2050. 2020. Available online: https://www.meti.go.jp/english/press/2020/pdf/1225_001b.pdf (accessed on 27 July 2021).
- Ministry of Economy, Trade and Industry. Japan’s Energy White Paper 2020. 2020. Available online: https://www.enecho.meti.go.jp/about/whitepaper/2020pdf/whitepaper2020pdf_all.zip (accessed on 27 July 2021).
- Taniguchi, A.; Inoue, T.; Otsuki, M.; Yamaguchi, Y.; Shimoda, Y.; Takami, A.; Hanaoka, K. Estimation of the contribution of the residential sector to summer peak demand reduction in Japan using an energy end-use simulation model. Energy Build. 2016, 112, 80–92. [Google Scholar] [CrossRef]
- The National Statistics Center. 2010 Population Census. Tabulation on Place of Work or Schooling for Population and Industries. 2012. Available online: https://www.e-stat.go.jp/en/stat-search/files?page=1&layout=datalist&toukei=00200521&tstat=000001039448&cycle=0&tclass1=000001049567&tclass2=000001051128&tclass3val=0 (accessed on 27 July 2021).















| Classification | Item | Month Subject to Survey | |||||
|---|---|---|---|---|---|---|---|
| 2019 | 2020 | ||||||
| April | May | August | April | May | August | ||
| Attribute | Type of house/number of rooms (living room and dining kitchen are counted as one room), breakdown by gender and age group | ● | |||||
| Lifestyle and daily schedule | Time of waking up, going to work, arriving from work, taking a bath or a shower, and going to sleep of each family member (hh:mm) | Average schedule of 2019 | ● | ● | |||
| Electric appliances | Specs and number of refrigerators/TVs, frequency of use of washing machine, ownership of electric appliances for power generation/storage, hot-water supply, cooking and washing | ● | |||||
| Air-conditioner | Installation and use of air-conditioner | ● | ● | ● | ● | ● | ● |
| Frequency and duration of use in each room | ● | ● | |||||
| Electricity | Electricity consumption (kWh) | ● | ● | ● | ● | ● | ● |
| Attitudes toward energy consumption | ● | ||||||
| Item | Details |
|---|---|
| Period | 22 October 2020 (Thursday) ~ 26 October 2020 (Monday) |
| Method | Web (1000 answers collected) |
| Households subject to questionnaire survey | Households in target area that satisfy the criteria for survey (data were collected in a way that the distribution of residences and age groups and gender of respondents becomes equal) |
| Criterion 1 | Respondents had been working from home from April 2020 to August 2020 |
| Criterion 2 | Respondents have not moved out and the number of family members has not changed since April 2019 |
| Criterion 3 | Respondents have not newly purchased or dumped refrigerators, televisions, washing machines, or air-conditioners since April 2019 |
Publisher’s Note: MDPI stays neutral with regard to jurisdictional claims in published maps and institutional affiliations. |
© 2022 by the author. Licensee MDPI, Basel, Switzerland. This article is an open access article distributed under the terms and conditions of the Creative Commons Attribution (CC BY) license (https://creativecommons.org/licenses/by/4.0/).
Share and Cite
Ueno, T. Capturing Changes in Residential Occupant Behavior Due to Work from Home in Japan as a Consequence of the COVID-19 Pandemic. Sustainability 2022, 14, 2180. https://doi.org/10.3390/su14042180
Ueno T. Capturing Changes in Residential Occupant Behavior Due to Work from Home in Japan as a Consequence of the COVID-19 Pandemic. Sustainability. 2022; 14(4):2180. https://doi.org/10.3390/su14042180
Chicago/Turabian StyleUeno, Takahiro. 2022. "Capturing Changes in Residential Occupant Behavior Due to Work from Home in Japan as a Consequence of the COVID-19 Pandemic" Sustainability 14, no. 4: 2180. https://doi.org/10.3390/su14042180
APA StyleUeno, T. (2022). Capturing Changes in Residential Occupant Behavior Due to Work from Home in Japan as a Consequence of the COVID-19 Pandemic. Sustainability, 14(4), 2180. https://doi.org/10.3390/su14042180

