Adsorption of Malachite Green and Pb2+ by KMnO4-Modified Biochar: Insights and Mechanisms
Abstract
:1. Introduction
2. Materials and Methods
2.1. Preparation of Biochars
2.2. Characterization of the Biochars
2.3. Adsorption Experiments
3. Results and Discussion
3.1. Effect of pH
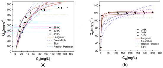
3.2. Adsorption Isotherm Study
3.3. Adsorption Kinetics Study
3.4. Reusability and Stability of KBC
3.5. Coexisting Cation Experiment
3.6. Characteristics of KBC
4. Conclusions
Author Contributions
Funding
Institutional Review Board Statement
Data Availability Statement
Conflicts of Interest
References
- Cheng, N.; Wang, B.; Wu, P.; Lee, X.Q.; Xing, Y.; Chen, M.; Gao, B. Adsorption of emerging contaminants from water and wastewater by modified biochar: A review. Environ. Pollut. 2021, 273, 116448. [Google Scholar] [CrossRef] [PubMed]
- Fujimori, T.; Taniguchi, M.; Agusa, T.; Shiota, K.; Takaoka, M.; Yoshida, A.; Terazono, A.; Ballestero, F.C., Jr.; Takigami, H. Effect of lead speciation on its oral bioaccessibility in surface dust and soil of electronic-wastes recycling sites. J. Hazard. Mater. 2018, 341, 365–372. [Google Scholar] [CrossRef] [PubMed]
- Lian, Z.R.; Wang, J.T. Molecularly imprinted polymer for selective extraction of malachite green from seawater and seafood coupled with high-performance liquid chromatographic determination. Mar. Pollut. Bull. 2012, 64, 2656–2662. [Google Scholar] [CrossRef] [PubMed]
- Zhang, H.; Li, C.; Gu, Y.; Fei, Q.; Wang, S.P. Performance and mechanism of simultaneous removal of arsenic, manganese and fluorine from groundwater by electro-flocculation. Ind. Water Treat. 2021, 41, 121–125. [Google Scholar] [CrossRef]
- Rathi, B.S.; Kumar, P.S.; Ponprasath, R.; Rohan, K.; Jahnavi, N. An effective separation of toxic arsenic from aquatic environment using electrochemical ion exchange process. J. Hazard. Mater. 2021, 412, 125240. [Google Scholar] [CrossRef] [PubMed]
- Zeng, X.N.; Cai, W.C.; Fu, S.Y.; Lin, X.M.; Lu, Q.R.; Liao, S.; Hu, H.W.; Zhang, M.; Zhou, C.L.; Wen, X.F.; et al. A novel Janus sponge fabricated by a green strategy for simultaneous separation of oil/water emulsions and dye contaminants. J. Hazard. Mater. 2022, 424, 127543. [Google Scholar] [CrossRef] [PubMed]
- Rathi, B.S.; Kumar, P.S.; Show, P.L. A review on effective removal of emerging contaminants from aquatic systems: Current trends and scope for further research. J. Hazard. Mater. 2021, 409, 124413. [Google Scholar] [CrossRef]
- Topuz, F.; Holtzl, T.; Szekely, G. Scavenging organic micropollutants from water with nanofibrous hypercrosslinked cyclodextrin membranes derived from green resources. Chem. Eng. J. 2021, 419, 129443. [Google Scholar] [CrossRef]
- Alammar, A.; Park, S.H.; Ibrahim, I.; Arun, D.; Holtzl, T.; Dumee, L.F.; Lim, H.N.; Szekely, G. Architecting neonicotinoid-scavenging nanocomposite hydrogels for environmental remediation. Appl. Mater. Today 2021, 21, 100878. [Google Scholar] [CrossRef]
- Thirukunmaran, P.; Shakila, P.A.; Rajesh, H.; Santhamoorthy, M.; Ramkumar, V.; Chaitany, J.R.; Seong-Cheol, K. Modified Cotton Sponge with Bio-Based Polybenzoxazine for Plasticizer Absorption and Oil−Water Separation. ACS Appl. Polym. Mater. 2022. [Google Scholar] [CrossRef]
- Lu, L.; Yu, W.T.; Wang, Y.F.; Zhang, K. Application of biochar-based materials in environmental remediation: From multi-level structures to specific devices. Biochar 2020, 2, 1–31. [Google Scholar] [CrossRef] [Green Version]
- Kang, C.Y.; Li, Q.Y.; Liu, J.Y.; Zhang, S.Y.; Hu, L.N.; Deng, H. Effect of biochar at different pyrolysis temperatures on the adsorption of Cd2+. Ind. Water Treat. 2021, 41, 68–72+79. [Google Scholar]
- Ding, Z.H.; Hu, X.; Wan, Y.S.; Wang, S.S.; Gao, B. Removal of lead, copper, cadmium, zinc, and nickel from aqueous solutions by alkali-modified biochar: Batch and column tests. J. Ind. Eng. Chem. 2016, 33, 239–245. [Google Scholar] [CrossRef] [Green Version]
- Sun, L.; Chen, D.M.; Wan, S.G.; Yu, Z.B. Performance, kinetics, and equilibrium of methylene blue adsorption on biochar derived from eucalyptus saw dust modified with citric, tartaric, and acetic acids. Bioresour. Technol. 2015, 198, 300–308. [Google Scholar] [CrossRef]
- Lu, M.M.; Ma, J.C.; Zhang, X.S.; Li, Y.C.; Wang, N. The properties and mechanism of Cu2+ and Zn2+ sorption by MnOx-loaded biochar. J. Agro-Environ. Sci. 2018, 37, 2297–2303. [Google Scholar]
- Rajapaksha, A.U.; Chen, S.S.; Tsang, D.C.W.; Zhang, M.; Vithanage, M.; Mandal, S.; Gao, B.; Bolan, N.S.; OK, Y.S. Engineered/designer biochar for contaminant removal/ immobilization from soil and water: Potential and implication of biochar modification. Chemosphere 2016, 148, 276–291. [Google Scholar] [CrossRef]
- Choudhary, M.; Kumar, R.; Neogi, S. Activated biochar derived from Opuntia ficus-indica for the efficient adsorption of malachite green dye, Cu2+ and Ni2+ from water. J. Hazard. Mater. 2020, 392, 122441. [Google Scholar] [CrossRef] [PubMed]
- Chu, T.P.M.; Nguyen, N.T.; Vu, T.L.; Dao, T.H.; Dinh, L.C.; Nguyen, H.L.; Hoang, T.H.; Le, T.S.; Pham, T.D. Synthesis, Characterization, and Modification of Alumina Nanoparticles for Cationic Dye Removal. Materials 2019, 12, 450. [Google Scholar] [CrossRef] [Green Version]
- Soares, M.B.; Dos Santos, F.H.; Alleoni, L.R.F. Iron-Modified Biochar from Sugarcane Straw to Remove Arsenic and Lead from Contaminated Water. Water Air Soil Pollut. 2021, 232, 391. [Google Scholar] [CrossRef]
- Li, R.H.; Wang, J.J.; Gaston, L.A.; Zhou, B.Y. An overview of carbothermal synthesis of metal–biochar composites for the removal of oxyanion contaminants from aqueous solution. Carbon 2018, 129, 674–687. [Google Scholar] [CrossRef]
- Jiang, L.Y.; Liu, L.; Xiao, S.D.; Chen, J.M. Preparation of a novel manganese oxide-modified diatomite and its aniline removal mechanism from solution. Chem. Eng. J. 2016, 284, 609–619. [Google Scholar] [CrossRef]
- Jiang, Z.Y.; Xu, M.; Wu, J. Adsorption of Cd2+ by potassium ferrate/potassium permanganate-modified vinasse biochar. J. Agro-Environ. Sci. 2021, 40, 876–883. [Google Scholar] [CrossRef]
- Pang, M.L.; Xu, L.; Kano, N.; Imaizumi, H. Adsorption of Heavy Metal onto Activated Carbon Modified with Potassium Permanganate. J. Chem. Eng. Jpn. 2014, 47, 386–391. [Google Scholar] [CrossRef]
- Li, X.D.; Li, Y.J. Adsorptive Removal of Dyes from Aqueous Solution by KMnO4-Modified Rice Husk and Rice Straw. J. Chem. 2019, 2019, 8359491. [Google Scholar] [CrossRef] [Green Version]
- Zheng, L.; Wu, Y.Q.; Zuo, Y.F. Research Status and Prospects of Bamboo Residues Utilization. World For. Res. 2021, 34, 82–88. [Google Scholar] [CrossRef]
- Yang, Y.; Lin, X.; Wei, B.; Zhao, Y.; Wang, J. Evaluation of adsorption potential of bamboo biochar for metal-complex dye: Equilibrium, kinetics and artificial neural network modeling. Int. J. Environ. Sci. Technol. 2013, 11, 1093–1100. [Google Scholar] [CrossRef]
- Qin, P.; Wang, H.L.; Yang, X.; He, L.Z.; Müller, K.; Shaheen, S.M.; Xu, S.; Rinklebe, J.; Tsang, D.C.W.; Ok, Y.S.; et al. Bamboo- and pig-derived biochars reduce leaching losses of dibutyl phthalate, cadmium, and lead from co-contaminated soils. Chemosphere 2018, 198, 450–459. [Google Scholar] [CrossRef]
- Xie, M.F.; Liu, H.F.; Qian, T.W. The study of Absorption of Se(VI) from Aqueous Solution with Natural Iron Manganese. J. North Univ. China (Nat. Sci. Ed.) 2016, 37, 273–278. [Google Scholar] [CrossRef]
- Tran, H.N.; You, S.J.; Chao, H.P. Thermodynamic parameters of cadmium adsorption onto orange peel calculated from various methods: A comparison study. J. Environ. Chem. Eng. 2016, 4, 2671–2682. [Google Scholar] [CrossRef]
- Simonin, J.P. On the comparison of pseudo-first order and pseudo-second order rate laws in the modeling of adsorption kinetics. Chem. Eng. J. 2016, 300, 254–263. [Google Scholar] [CrossRef] [Green Version]
- Puppa, L.D.; Komarek, M.; Bordas, F.; Bollinger, J.C.; Joussein, E. Adsorption of copper, cadmium, lead and zinc onto a synthetic manganese oxide. J. Colloid Interface Sci. 2013, 399, 99–106. [Google Scholar] [CrossRef] [PubMed] [Green Version]
- Jiang, C.H.; Wang, J.; Gong, L.; Shen, K.; Lei, M.; Tang, Y.P. Adsorption properties of magnetic crab shell-derived adsorption material for malachite green in solution. J. Cent. South Univ. (Sci. Technol.) 2021, 52, 1446–1455. [Google Scholar]
- Wang, H.J.; Zhou, A.L.; Peng, F.; Yu, H.; Yang, J. Mechanism study on adsorption of acidified multiwalled carbon nanotubes to Pb(II). J. Colloid Interface Sci. 2007, 316, 277–283. [Google Scholar] [CrossRef]
- Zhang, S.J.; Gu, W.H.; Bai, J.F.; Dong, B.; Zhuang, X.N.; Zhao, J.; Zhang, C.L.; Yuan, W.Y.; Wang, J.W. Adsorption properties of phosphorus-based biochar on Pb2+ containing wastewater. Ind. Water Treat. 2021. [Google Scholar] [CrossRef]
- Jung, K.W.; Lee, S.Y.; Lee, Y.J. Hydrothermal synthesis of hierarchically structured birnessite-type MnO2/biochar composites for the adsorptive removal of Cu(II) from aqueous media. Bioresour. Technol. 2018, 260, 204–212. [Google Scholar] [CrossRef]
- Mohan, D.; Singh, P.; Sarswat, A.; Steele, P.H.; Pittman C.U., Jr. Lead sorptive removal using magnetic and nonmagnetic fast pyrolysis energy cane biochars. J. Colloid Interface Sci. 2015, 448, 238–250. [Google Scholar] [CrossRef]
- Xian, X.Q.; Du, F.L.; Tang, P.D.; Gu, C.J.; Li, Y.M.; Ma, L.Y. Study on the Adsorption of Crystal Violet in Dye Wastewater by Lignin Based Activated Carbon. Technol. Water Treat. 2020, 46, 48–52+57. [Google Scholar] [CrossRef]
- Shan, R.R.; Yan, L.G.; Yang, K.; Hao, Y.F.; Du, B. Adsorption of Cd(II) by Mg-Al-CO3- and magnetic Fe3O4/Mg-Al-CO3-layered double hydroxides: Kinetic, isothermal, thermodynamic and mechanistic studies. J. Hazard. Mater. 2015, 299, 42–49. [Google Scholar] [CrossRef]
- Li, A.Y.; Li, S.L.; Yu, B.G.; Ma, A.Y.; Zhou, X.L.; Xie, J.H.; Jiang, Y.H.; Deng, H. Adsorption of ammonia nitrogen and phosphorus by magnesium impregnated biochar: Preparation optimization and adsorption mechanism. J. Chem. Eng. 2021, 71, 1683–1695. [Google Scholar] [CrossRef]
- Maneechakr, P.; Mongkollertlop, S. Investigation on adsorption behaviors of heavy metal ions (Cd2+, Cr3+, Hg2+ and Pb2+) through low-cost/active manganese dioxide-modified magnetic biochar derived from palm kernel cake residue. J. Environ. Chem. Eng. 2020, 8, 104467. [Google Scholar] [CrossRef]
- Mohammadi, S.Z.; Mofidinasab, N.; Karimi, M.A.; Mosazadeh, F. Fast and efficient removal of Pb(II) ion and malachite green dye from wastewater by using magnetic activated carbon-cobalt nanoparticles. Water Sci. Technol. 2020, 82, 829–842. [Google Scholar] [CrossRef] [PubMed]
- Parlayici, S.; Pehlivan, E. Biosorption of methylene blue and malachite green on biodegradable magnetic Cortaderia selloana flower spikes: Modeling and equilibrium study. Int. J. Phytorem. 2020, 23, 26–40. [Google Scholar] [CrossRef] [PubMed]
- Sharifpour, E.; Khafri, H.Z.; Ghaedi, M.; Asfaram, A.; Jannesar, R. Isotherms and kinetic study of ultrasound-assisted adsorption of malachite green and Pb2+ ions from aqueous samples by copper sulfide nanorods loaded on activated carbon: Experimental design optimization. Ultrason. Sonochem. 2018, 40, 373–382. [Google Scholar] [CrossRef] [PubMed]
- Gan, C.; Liu, Y.G.; Tan, X.F.; Wang, S.F. Effect of porous zinc-biochar nanocomposites on Cr(VI) adsorption from aqueous solution. RSC Adv. 2015, 5, 35107–35115. [Google Scholar] [CrossRef]
- Herath, A.; Layne, C.A.; Perez, F.; Hassan, E.B.; Pittman, C.U., Jr.; Mlsna, T.E. KOH-activated high surface area Douglas Fir biochar for adsorbing aqueous Cr(VI), Pb(II) and Cd(II). Chemosphere 2021, 269, 128409. [Google Scholar] [CrossRef]
- Zhang, J.Z.; Ma, X.F.; Yuan, L.; Zhou, D.X. Comparison of adsorption behavior studies of Cd2+ by vermicompost biochar and KMnO4-modified vermicompost biochar. J. Environ. Manag. 2020, 256, 109959. [Google Scholar] [CrossRef]
- Ouředníček, P.; Hudcová, B.; Trakal, L.; Pohořelý, M.; Komárek, M. Synthesis of modified amorphous manganese oxide using low-cost sugars and biochars: Material characterization and metal(loid) sorption properties. Sci. Total Environ. 2019, 670, 1159–1169. [Google Scholar] [CrossRef]
- Deng, H.; Li, Q.Y.; Zhou, R.S.; Pang, S.Y.; Liu, J.Y.; Kang, C.Y. Adsorption of Cd(II) and Cu(II) from aqueous solutions by polygonum pubescens blume powder. J. Guangxi Norm. Univ. (Nat. Sci. Ed.) 2021, 39, 102–112. [Google Scholar] [CrossRef]
- Tan, G.Q.; Liu, Y.; Xiao, D. Preparation of manganese oxides coated porous carbon and its application for lead ion removal. Carbohydr. Polym. 2019, 219, 306–315. [Google Scholar] [CrossRef]
- Wang, R.Z.; Huang, D.L.; Zhang, C.; Liu, Y.G.; Zeng, G.M.; Lai, C.; Gong, X.M.; Cheng, M.; Wan, J.; Zhang, Q. Insights into the effect of chemical treatment on the physicochemical characteristics and adsorption behavior of pig manure-derived biochars. Environ. Sci. Pollut. Res. 2019, 26, 1962–1972. [Google Scholar] [CrossRef]
- Najafi Chaleshtori, A.A.; Meghadddam, F.M.; Sadeghi, M.M.; Rahimi, R.R.; Hemati, S.; Ahmadi, A.A. Removal of acid red 18 (Azo-dye) from aqueous solution by adsorption onto activated biochar prepared from almond shell. J. Environ. Sci. Manag. 2017, 20, 9–16. [Google Scholar]
- Mo, Z.L.; Zeng, H.H.; Lin, H.; Shahab, A.; Shi, Q.L.; Zhang, H. Adsorption Characteristics of Pb(II) on Eucalyptus Biochar Modified by Potassium Permanganate. China Environ. Sci. 2021, 42, 5440–5449. [Google Scholar] [CrossRef]
- Shang, Z.S.; Tu, J.Y.; Cai, Y.M.; Wu, L.; Li, Z.Y. Adsorption of Cu2+ from Aqueous Solution with Walnut Shell Biochar Modified by KMnO4. J. Tianjin Univ. Sci. Technol. 2020, 35, 25–31. [Google Scholar] [CrossRef]
- Song, Z.G.; Lian, F.; Yu, Z.H.; Zhu, L.Y.; Xing, B.S.; Qiu, W.W. Synthesis and characterization of a novel MnOx-loaded biochar and its adsorption properties for Cu2+ in aqueous solution. Chem. Eng. J. 2014, 242, 36–42. [Google Scholar] [CrossRef]
- Xie, Y.F.; Cheng, D.Y.; Shi, J.Q.; Zhu, X.; Li, Z.L.; Wang, L. Adsorption of Cd2+ by Potassium-Permanganate-Modified Wheat Straw. J. Ecol. Rural Environ. 2019, 35, 668–674. [Google Scholar] [CrossRef]







| Pollutants | Temperature (K) | Freundlich Model | Langmuir Model | Sips Isotherm | Redlich–Peterson Isotherm | ||||||||||
|---|---|---|---|---|---|---|---|---|---|---|---|---|---|---|---|
| KF/ (mg1 − n·Ln·g−1) | 1/n | R2 | KL/ (L·mg−1) | Qm/ (mg·g−1) | R2 | Qm/ (mg·g−1) | KS | ns | R2 | Qm/ (mg·g−1) | KKR | nKR | R2 | ||
| MG | 298 | 47.29 | 0.682 | 0.991 | 2.267 × 10−3 | 1111.11 | 0.975 | 1277.197 | 0.0107 | 1.187 | 0.948 | 1645.521 | 0.0105 | 2.704 | 0.965 |
| 308 | 140.67 | 0.392 | 0.998 | 6.748 × 10−3 | 909.09 | 0.890 | 865.806 | 0.0105 | 1.529 | 0.997 | 1668.761 | 0.0126 | 2.351 | 0.997 | |
| 318 | 132.11 | 0.405 | 0.997 | 6.748 × 10−3 | 909.09 | 0.890 | 705.576 | 0.0025 | 2.566 | 0.892 | 1357.782 | 0.0299 | 1.915 | 0.838 | |
| Pb2+ | 298 | 50.60 | 0.173 | 0.731 | 0.612 | 121.95 | 0.9997 | 109.48 | 0.600 | 1.768 | 0.975 | 152.748 | 0.311 | 1.053 | 0.934 |
| 308 | 51.15 | 0.169 | 0.594 | 0.432 | 121.95 | 0.9997 | 144.42 | 0.626 | 0.369 | 0.855 | 46.184 | 13.406 | 0.884 | 0.848 | |
| 318 | 55.56 | 0.161 | 0.808 | 0.717 | 123.47 | 0.9998 | 124.60 | 1.016 | 0.782 | 0.998 | 117.386 | 1.2392 | 0.992 | 0.994 | |
| Adsorbents | Pollutants | Maximum Adsorption Capacity (mg.g−1) | References |
|---|---|---|---|
| KMnO4-modified bamboo biochar | Pb2+/MG | 123.47/1111.11 | This study |
| NaOH-modified Hickory shell biochar | Pb2+ | 53.6 | [12] |
| MnO2-loaded Palm kernel cake residue biochar | Pb2+ | 46.64 | [40] |
| FeCl3-modified Sugarcane Straw biochar | Pb2+ | 92.81 | [19] |
| Magnetic activated carbon–cobalt nanoparticles | Pb2+/MG | 312.5/263.2 | [41] |
| Magnetic activated cortaderia selloanaflower spikes | MG | 59.5 | [42] |
| CuS nanorods loaded on active carbon | Pb2+/MG | 47.98/145.98 | [43] |
| Pollutant | Concentration (mg·L−1) | Pseudo-First-Order | Pseudo-Second-Order | ||||
|---|---|---|---|---|---|---|---|
| K1/(1·min−1) | Qe/(mg·g−1) | R2 | K2/(g/(mg·min)) | Qe/mg·g−1) | R2 | ||
| MG | 600 | 0.0153 | 257.83 | 0.998 | 8.378 × 10−5 | 322.58 | 0.9857 |
| 800 | 0.014 | 328.82 | 0.9896 | 6.906 × 10−5 | 400 | 0.9927 | |
| 1000 | 0.0177 | 510.4 | 0.9954 | 4.716 × 10−5 | 555.56 | 0.9825 | |
| Pb2+ | 300 | 0.0115 | 30.69 | 0.955 | 1.886 × 10−3 | 112.36 | 0.9986 |
| 400 | 0.0128 | 49.73 | 0.9667 | 9.385 × 10−3 | 126.58 | 0.9958 | |
| 500 | 0.0092 | 44.38 | 0.9468 | 1.198 × 10−3 | 119.05 | 0.9973 | |
Publisher’s Note: MDPI stays neutral with regard to jurisdictional claims in published maps and institutional affiliations. |
© 2022 by the authors. Licensee MDPI, Basel, Switzerland. This article is an open access article distributed under the terms and conditions of the Creative Commons Attribution (CC BY) license (https://creativecommons.org/licenses/by/4.0/).
Share and Cite
Deng, H.; Zhang, J.; Huang, R.; Wang, W.; Meng, M.; Hu, L.; Gan, W. Adsorption of Malachite Green and Pb2+ by KMnO4-Modified Biochar: Insights and Mechanisms. Sustainability 2022, 14, 2040. https://doi.org/10.3390/su14042040
Deng H, Zhang J, Huang R, Wang W, Meng M, Hu L, Gan W. Adsorption of Malachite Green and Pb2+ by KMnO4-Modified Biochar: Insights and Mechanisms. Sustainability. 2022; 14(4):2040. https://doi.org/10.3390/su14042040
Chicago/Turabian StyleDeng, Hua, Junyu Zhang, Rui Huang, Wei Wang, Mianwu Meng, Lening Hu, and Weixing Gan. 2022. "Adsorption of Malachite Green and Pb2+ by KMnO4-Modified Biochar: Insights and Mechanisms" Sustainability 14, no. 4: 2040. https://doi.org/10.3390/su14042040
APA StyleDeng, H., Zhang, J., Huang, R., Wang, W., Meng, M., Hu, L., & Gan, W. (2022). Adsorption of Malachite Green and Pb2+ by KMnO4-Modified Biochar: Insights and Mechanisms. Sustainability, 14(4), 2040. https://doi.org/10.3390/su14042040

