Cyclic True Triaxial Tests on Aeolian Sand Considering Initial Shear Effect
Abstract
1. Introduction
2. Test Procedures
2.1. Test Apparatus and Specimen Preparation
2.2. Test Program
3. Test Results and Discussion
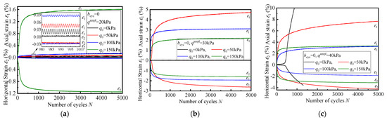
3.1. Strains Development under One-Dimensional Cyclic Loading
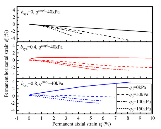
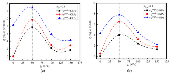
3.2. Strains Development under Two-Dimensional Cyclic Loading
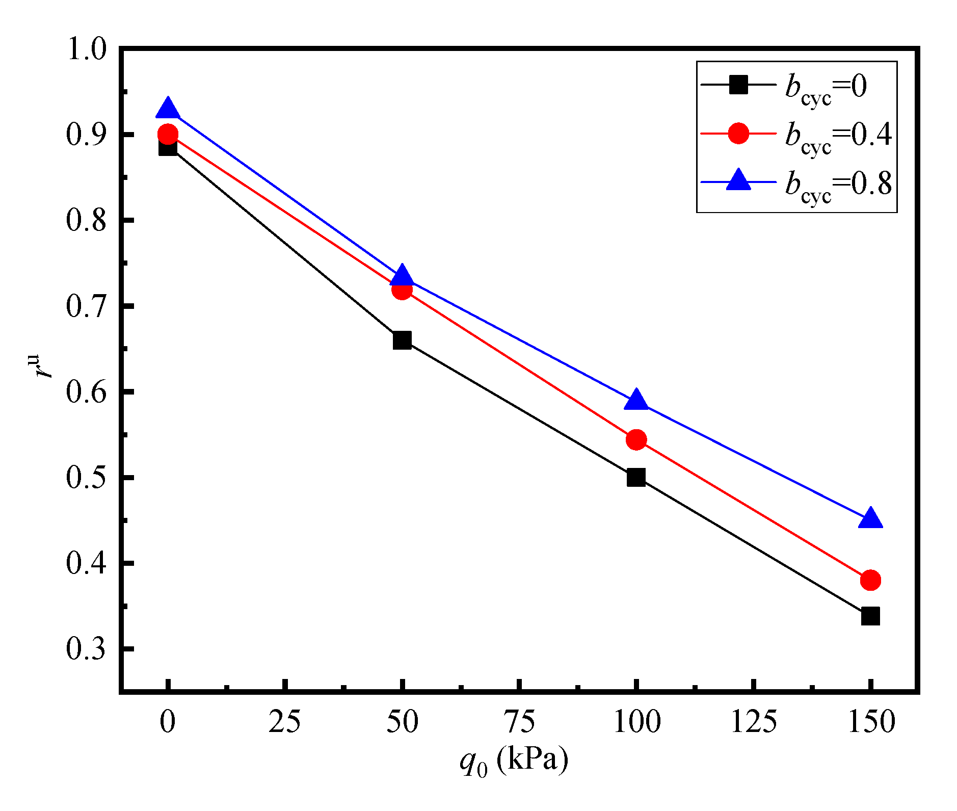
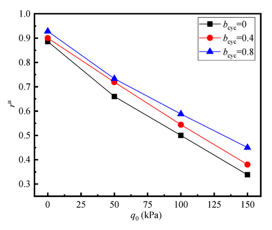
3.3. The Development of Pore Pressure
4. Conclusions
Author Contributions
Funding
Institutional Review Board Statement
Informed Consent Statement
Data Availability Statement
Conflicts of Interest
References
- Idriss, I.M.; Boulanger, R.W. Soil Liquefaction during Earthquakes; Earthquake Engineering Research Institute (EERI): Oakland, CA, USA, 2008. [Google Scholar]
- Dong, T.; Zheng, Y.; Liang, K.; Liu, C. Shear strength and shear bands of anisotropic sand. Acta Geotech. 2022, 17, 2841–2853. [Google Scholar] [CrossRef]
- Xiu, Z.; Wang, S.; Ji, Y.; Wang, F.; Ren, F. Experimental investigation on liquefaction and post-liquefaction deformation of stratified saturated sand under cyclic loading. Bull. Eng. Geol. Environ. 2020, 79, 2313–2324. [Google Scholar] [CrossRef]
- Pan, K.; Xu, T.; Liao, D.; Yang, Z. Failure mechanisms of sand under asymmetrical cyclic loading conditions: Experimental observation and constitutive modelling. Géotechnique 2022, 72, 162–175. [Google Scholar] [CrossRef]
- Xu, Z.; Pan, L.; Gu, C.; Cai, Y. Deformation behavior of anisotropically overconsolidated clay under one-way cyclic loading. Soil Dyn. Earthq. Eng. 2020, 129, 105943. [Google Scholar] [CrossRef]
- Yang, J.; Yang, A.; Shan, Y.; Yang, M.; Zhao, J.; Yu, H. Experimental Study on Mechanical Behavior of Lean Cemented Sand and Gravel Material in Unloading and Reloading Paths. Adv. Mater. Sci. Eng. 2021, 2021, 8893840. [Google Scholar] [CrossRef]
- Ye, B.; Ni, X.; Ye, G.; Huang, Y.; Lu, P. Prediction of the initial point of the last cycle in undrained cyclic triaxial tests on flow liquefaction. Soil Dyn. Earthq. Eng. 2019, 120, 12–22. [Google Scholar] [CrossRef]
- Ding, Z.; He, S.; Sun, Y.; Xia, T.; Zhang, Q. Comparative study on cyclic behavior of marine calcareous sand and terrigenous siliceous sand for transportation infrastructure applications. Constr. Build. Mater. 2021, 283, 122740. [Google Scholar] [CrossRef]
- Zhang, Y.; Gu, C.; Wang, J.; Cai, Y. Three-dimensional cyclic behavior of saturated clays: Comparison between undrained and partly drained conditions. Can. Geotech. J. 2021, 58, 1716–1729. [Google Scholar] [CrossRef]
- Wang, Y.; Yu, Y.; Wu, Y.; Zhang, B.; Lv, H.; Sun, X. Development and application of a large-scale static and dynamic true triaxial apparatus for gravel. Int. J. Geomech. 2018, 18, 04018004. [Google Scholar] [CrossRef]
- Yoshimine, M.; Ishihara, K.; Vargas, W. Effects of principal stress direction and intermediate principal stress on undrained shear behavior of sand. Soils Found. 1998, 38, 179–188. [Google Scholar] [CrossRef]
- Sivathayalan, S.; Vaid, Y.P. Influence of generalized initial state and principal stress rotation on the undrained response of sands. Can. Geotech. J. 2002, 39, 63–76. [Google Scholar] [CrossRef]
- Shibuya, S.; Hight, D.W.; Jardine, R.J. Local boundary surfaces of a loose sand dependent on consolidation path. Soils Found. 2003, 43, 85–93. [Google Scholar] [CrossRef] [PubMed]
- Lee, K.L.; Seed, H.B. Dynamic strength of anisotropically consolidated sand. J. Soil. Mech. Found. Div. 1967, 93, 169–190. [Google Scholar] [CrossRef]
- Ma, Y. Effect of initial consolidation shear stress on dynamic strength of saturated sand. Water Conser. Water Transp. Res. 1988, 1988, 63–68. [Google Scholar]
- Vaid, Y.P.; Chern, J.C. Cyclic and monotonic undrained response of saturated sands. In Advances in the Art of Testing Soils under Cyclic Conditions; ASCE: Reston, VA, USA, 1985; pp. 120–147. [Google Scholar]
- Vaid, Y.P.; Stedman, J.D.; Sivathayalan, S. Confining stress and static shear effects in cyclic liquefaction. Can. Geotech. J. 2001, 38, 580–591. [Google Scholar] [CrossRef]
- Harder, L.F.; Boulanger, R.W. Application of Kσ and Kα correction factors. In Proceedings of the NCEER Workshop on Evaluation of Liquefaction Resistance of Soils; National Center for Earthquake Engineering Research, State University of New York: Buffalo, NY, USA, 1997; pp. 167–190. [Google Scholar]
- Been, K.; Jefferies, M.G. A state parameter for sands. Géotechnique 1985, 35, 99–112. [Google Scholar] [CrossRef]
- Yang, J.; Sze, H.Y. Cyclic behaviour and resistance of saturated sand under nonsymmetrical loading conditions. Géotechnique 2011, 61, 59–73. [Google Scholar] [CrossRef]
- Yang, J.; Sze, H.Y. Cyclic strength of sand under sustained shear stress. J. Geotech. Geoenviron. Eng. 2011, 137, 1275–1285. [Google Scholar] [CrossRef]
- Shi, W.; Zhu, J.; Chiu, C.; Liu, H. Strength and deformation behaviour of coarse-grained soil by true triaxial tests. J. Cent. South Univ. 2010, 17, 1095–1102. [Google Scholar] [CrossRef]
- Xiao, Y.; Liu, H.; Chen, Y.; Zhang, W. Particle size effects in granular soils under true triaxial conditions. Géotechnique 2014, 64, 667–672. [Google Scholar] [CrossRef]
- Huang, W.; Sun, D.; Sloan, S.W. Analysis of the failure mode and softening behaviour of sands in true triaxial tests. Int. J. Solids. Struct. 2007, 44, 1423–1437. [Google Scholar] [CrossRef][Green Version]
- Li, X.; Ma, Z.; Lu, W.; Wang, Y. True-triaxial drained test of tengger desert sand. Adv. Civil. Eng. 2020, 2020, 8851165. [Google Scholar] [CrossRef]
- Li, X.; Lu, W.; Ma, Z.; Tuo, N. The undrained characteristics of tengger desert sand from true triaxial testing. Adv. Civil. Eng. 2021, 2021, 6320397. [Google Scholar] [CrossRef]
- Chazallon, C.; Hornych, P.; Mouhoubi, S. Elastoplastic model for the long-term behavior modeling of unbound granular materials in flexible pavements. Int. J. Geomech. 2006, 6, 279–289. [Google Scholar] [CrossRef]
- Melan, E. Theorie statisch unbestimmter Systemeaus aus idealplastischen Baustoffen. Sitzungsber. Akad. Wiss. Wien Math.-Naturwiss. Kl. Abt. IIA 1936, 145, 195–218. [Google Scholar]
- Rahman, M.S.; Erlingsson, S. Moisture influence on the resilient deformation behaviour of unbound granular materials. Int. J. Pave. Eng. 2016, 17, 763–775. [Google Scholar] [CrossRef]
- Guo, L.; Cai, Y.Q.; Jardine, R.J.; Yang, Z.; Wang, J. Undrained behavior of intact soft clay under cyclic paths that match vehicle loading conditions. Can. Geotech. J. 2018, 55, 90–106. [Google Scholar] [CrossRef]
- Xia, P.; Deng, W.; Shao, L.; Zhang, X. Role of Elastic Upper Limit in Shakedown Study for Granular soils. Transp. Geotech. 2022, 34, 100746. [Google Scholar] [CrossRef]
- Mamou, A.; Powrie, W.; Priest, J.A.; Clayton, C. The effects of drainage on the behaviour of railway track foundation materials during cyclic loading. Géotechnique 2017, 67, 845–854. [Google Scholar] [CrossRef]
- Mamou, A.; Priest, J.A.; Clayton, C.R.I.; Powrie, W. Behaviour of saturated railway track foundation materials during undrained cyclic loading. Can. Geotech. J. 2018, 55, 689–697. [Google Scholar] [CrossRef]
- Mamou, A.; Clayton, C.; Powrie, W.; Priest, J. The role of clay content on the response of railway track foundations during free-to-drain cyclic changes in principal stress rotation. Transp. Geotech. 2019, 20, 100246. [Google Scholar] [CrossRef]
- Werkmeister, S.; Dawson, A.R.; Wellner, F. Permanent deformation behavior of granular materials and the shakedown concept. Transp. Res. Rec. 2001, 1757, 75–81. [Google Scholar] [CrossRef]
- Werkmeister, S.; Dawson, A.R.; Wellner, F. Pavement design model for unbound granular materials. J. Transp. Eng. 2004, 130, 665–674. [Google Scholar] [CrossRef]
- Werkmeister, S. Permanent Deformation Behaviour of Unbound Granular Materials in Pavement Constructions. Ph.D. Thesis, Department of Civil Engineering, Dresden University of Technology, Dresden, Germany, 2004. [Google Scholar]
- Flora, A.; Lirer, S.; Silvestri, F. Undrained cyclic resistance of undisturbed gravelly soils. Soil Dyn. Earthq. Eng. 2012, 43, 366–379. [Google Scholar] [CrossRef]
- Sivathayalan, S.; Ha, D. Effect of static shear stress on the cyclic resistance of sands in simple shear loading. Can. Geotech. J. 2011, 48, 1471–1484. [Google Scholar] [CrossRef]
- Hyodo, M.; Tanimizu, H.; Yasufuku, N.; Murata, H. Undrained cyclic and monotonic triaxial behavior of saturated loose sand. Soils Found. 1994, 34, 19–32. [Google Scholar] [CrossRef]
- Seed, H.B.; Martin, P.P.; Lysmer, J. The Generation and Dissipation of Pore Water Pressures during Soil Liquefaction; College of Engineering, University of California: Berkeley, CA, USA, 1975. [Google Scholar]
- Polito, C.P.; Green, R.A.; Lee, J. Pore pressure generation models for sands and silty soils subjected to cyclic loading. J. Geotech. Geoenviron. Eng. 2008, 134, 1490–1500. [Google Scholar] [CrossRef]
- Chiaradonna, A.; Flora, A.; d’Onofrio, A.; Bilotta, E. A pore water pressure model calibration based on in-situ test results. Soils Found. 2020, 60, 327–341. [Google Scholar] [CrossRef]
- Pan, K.; Yang, Z.X. Effects of initial static shear on cyclic resistance and pore pressure generation of saturated sand. Acta Geotech. 2018, 13, 473–487. [Google Scholar]
- Pan, K.; Cai, Y.; Yang, Z.; Pan, X. Liquefaction of sand under monotonic and cyclic shear conditions: Impact of drained preloading history. Soil Dyn. Earthq. Eng. 2019, 126, 105775. [Google Scholar] [CrossRef]
- Pan, K.; Zhou, G.; Yang, Z.; Cai, Y. Comparison of cyclic liquefaction behavior of clean and silty sands considering static shear effect. Soil Dyn. Earthq. Eng. 2020, 139, 106338. [Google Scholar] [CrossRef]
- Li, X.; Xu, W.; Chen, Q.; Yang, W. Cyclic behavior of saturated aeolian sand under true triaxial conditions. Geofluids 2022, 2022, 1–17. [Google Scholar]
- Li, X.; Xu, W.; Chang, L.; Yang, W. Shear behaviour of aeolian sand with different density and confining pressure. Appl. Sci. 2022, 12, 3020. [Google Scholar] [CrossRef]
- Powrie, W.; Yang, L.A.; Clayton, C.R.I. Stress changes in the ground below ballasted railway track during train passage. Proc. Inst. Mech. Eng. F J. Rail Rapid Transit. 2007, 221, 247–262. [Google Scholar] [CrossRef]
- Hyodo, M.; Murata, H.; Yasufuku, N.; Fujii, T. Undrained cyclic shear strength and residual strain of saturated sand by cyclic triaxial tests. Soils Found. 1991, 31, 60–76. [Google Scholar] [CrossRef]
- Ishihara, K. Soil Behavior in Earthquake Geotechnics; Clarendon Press: Oxford, UK, 1996. [Google Scholar]











| Coefficient of Uniformity Cu | Coefficient of Curvature Cc | Specific Gravity Gs | Mean Particle Diameter d50 | Void Ratio | |
|---|---|---|---|---|---|
| max | min | ||||
| 2.1 | 1.0 | 2.67 | 0.17 mm | 0.907 | 0.589 |
| Number of Tests | (kPa) | (kPa) | qampl (kPa) | bcyc | q0 (kPa) |
|---|---|---|---|---|---|
| TC1 | 20 | 0 | 20 | 0 | 0 |
| TC2 | 22.9 | 9.2 | 20 | 0.4 | 0 |
| TC3 | 21.8 | 17.44 | 20 | 0.8 | 0 |
| TC4 | 30 | 0 | 30 | 0 | 0 |
| TC5 | 34.4 | 13.8 | 30 | 0.4 | 0 |
| TC6 | 32.7 | 26.2 | 30 | 0.8 | 0 |
| TC7 | 40 | 0 | 40 | 0 | 0 |
| TC8 | 45.6 | 18.4 | 40 | 0.4 | 0 |
| TC9 | 43.7 | 34.9 | 40 | 0.8 | 0 |
| TC10 | 20 | 0 | 20 | 0 | 50 |
| TC11 | 22.9 | 9.2 | 20 | 0.4 | 50 |
| TC12 | 21.8 | 17.44 | 20 | 0.8 | 50 |
| TC13 | 30 | 0 | 30 | 0 | 50 |
| TC14 | 34.4 | 13.8 | 30 | 0.4 | 50 |
| TC15 | 32.7 | 26.2 | 30 | 0.8 | 50 |
| TC16 | 40 | 0 | 40 | 0 | 50 |
| TC17 | 45.6 | 18.4 | 40 | 0.4 | 50 |
| TC18 | 43.7 | 34.9 | 40 | 0.8 | 50 |
| TC19 | 20 | 0 | 20 | 0 | 100 |
| TC20 | 22.9 | 9.2 | 20 | 0.4 | 100 |
| TC21 | 21.8 | 17.44 | 20 | 0.8 | 100 |
| TC22 | 30 | 0 | 30 | 0 | 100 |
| TC23 | 34.4 | 13.8 | 30 | 0.4 | 100 |
| TC24 | 32.7 | 26.2 | 30 | 0.8 | 100 |
| TC25 | 40 | 0 | 40 | 0 | 100 |
| TC26 | 45.6 | 18.4 | 40 | 0.4 | 100 |
| TC27 | 43.7 | 34.9 | 40 | 0.8 | 100 |
| TC28 | 20 | 0 | 20 | 0 | 150 |
| TC29 | 22.9 | 9.2 | 20 | 0.4 | 150 |
| TC30 | 21.8 | 17.44 | 20 | 0.8 | 150 |
| TC31 | 30 | 0 | 30 | 0 | 150 |
| TC32 | 34.4 | 13.8 | 30 | 0.4 | 150 |
| TC33 | 32.7 | 26.2 | 30 | 0.8 | 150 |
| TC34 | 40 | 0 | 40 | 0 | 150 |
| TC35 | 45.6 | 18.4 | 40 | 0.4 | 150 |
| TC36 | 43.7 | 34.9 | 40 | 0.8 | 150 |
Publisher’s Note: MDPI stays neutral with regard to jurisdictional claims in published maps and institutional affiliations. |
© 2022 by the authors. Licensee MDPI, Basel, Switzerland. This article is an open access article distributed under the terms and conditions of the Creative Commons Attribution (CC BY) license (https://creativecommons.org/licenses/by/4.0/).
Share and Cite
Xu, W.; Li, X.; Lü, X.; Yang, W. Cyclic True Triaxial Tests on Aeolian Sand Considering Initial Shear Effect. Sustainability 2022, 14, 16730. https://doi.org/10.3390/su142416730
Xu W, Li X, Lü X, Yang W. Cyclic True Triaxial Tests on Aeolian Sand Considering Initial Shear Effect. Sustainability. 2022; 14(24):16730. https://doi.org/10.3390/su142416730
Chicago/Turabian StyleXu, Wendong, Xuefeng Li, Xilin Lü, and Wenwei Yang. 2022. "Cyclic True Triaxial Tests on Aeolian Sand Considering Initial Shear Effect" Sustainability 14, no. 24: 16730. https://doi.org/10.3390/su142416730
APA StyleXu, W., Li, X., Lü, X., & Yang, W. (2022). Cyclic True Triaxial Tests on Aeolian Sand Considering Initial Shear Effect. Sustainability, 14(24), 16730. https://doi.org/10.3390/su142416730

