Speed Behavior of Heterogeneous Traffic on Two-Lane Rural Roads in Malaysia
Abstract
1. Introduction
2. Related Studies
3. Methodology
3.1. Data Collection and Extraction
3.2. Data Analysis
3.3. Site Description
- (i).
- The pavement is in good condition, with uniform lanes and shoulder width.
- (ii).
- There are no features that may disrupt vehicle speed (e.g., stop control or signalized intersection).
- (iii).
- The tangent length is more than 700 m.
4. Results
4.1. Effect of Tangent–Curve Section on Speed Behavior
4.2. Effect of Travel Direction on Speed Behavior
4.3. Effect of Time of Day on Speed Behavior
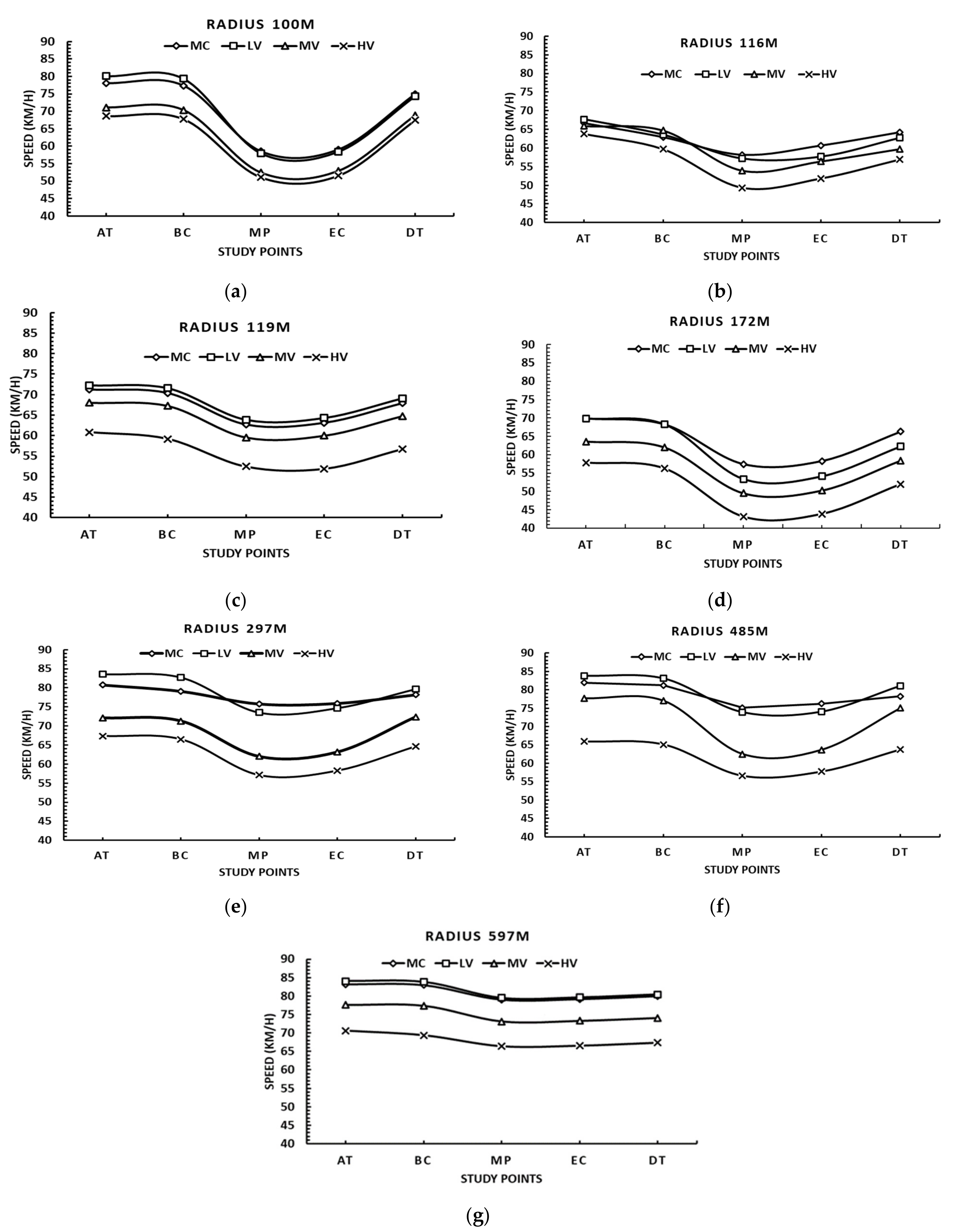
4.4. Effect of Curve Radius on Speed Behavior
4.5. Statistical Analysis
5. Conclusions
Author Contributions
Funding
Acknowledgments
Conflicts of Interest
References
- World Health Organization (WHO). World Health Organization (WHO) Global Status Report on Road Safety 2018: Summary; World Health Organization: Geneva, Switzerland, 2018. [Google Scholar]
- Touahmia, M. Identification of Risk Factors Influencing Road Traffic Accidents. Eng. Technol. Appl. Sci. Res. 2018, 8, 2417–2421. [Google Scholar] [CrossRef]
- Weber, S.; Tschech, K.; Ernstberger, K.; Labenski, V.; Blum, K. Different Types of Distraction Causing Accidents. In Proceedings of the 6th International Conference on Driver Distraction and Inattention, Gothenburg, Sweden, 15–17 October 2018. [Google Scholar]
- Singh, H.; Kathuria, A. Analyzing Driver Behavior under Naturalistic Driving Conditions: A Review. Accid. Anal. Prev. 2021, 150, 105908. [Google Scholar] [CrossRef] [PubMed]
- Ali, Y.; Bliemer, M.C.J.; Zheng, Z.; Haque, M.M. Comparing the Usefulness of Real-Time Driving Aids in a Connected Environment during Mandatory and Discretionary Lane-Changing Manoeuvres. Transp. Res. Part C Emerg. Technol. 2020, 121, 102871. [Google Scholar] [CrossRef]
- Distefano, N.; Leonardi, S.; Pulvirenti, G.; Romano, R.; Merat, N.; Boer, E.; Woolridge, E. Physiological and Driving Behaviour Changes Associated to Different Road Intersections. Eur. Transp. Trasp. Eur. 2020, 77, 1–12. [Google Scholar] [CrossRef]
- Ali, Y.; Bliemer, M.C.J.; Zheng, Z.; Haque, M.M. Cooperate or Not? Exploring Drivers’ Interactions and Response Times to a Lane-Changing Request in a Connected Environment. Transp. Res. Part C Emerg. Technol. 2020, 120, 102816. [Google Scholar] [CrossRef]
- Papantoniou, P.; Yannis, G.; Christofa, E. Which Factors Lead to Driving Errors? A Structural Equation Model Analysis through a Driving Simulator Experiment. IATSS Res. 2019, 43, 44–50. [Google Scholar] [CrossRef]
- Eboli, L.; Forciniti, C.; Mazzulla, G. Factors Influencing Accident Severity: An Analysis by Road Accident Type. Transp. Res. Procedia 2020, 47, 449–456. [Google Scholar] [CrossRef]
- Jacob, A.; Dhanya, R.; Anjaneyulu, M.V.L.R. Geometric Design Consistency of Multiple Horizontal Curves on Two-Lane Rural Highways. Procedia Soc. Behav. Sci. 2013, 104, 1068–1077. [Google Scholar] [CrossRef]
- Wu, L.; Dadashova, B.; Geedipally, S.; Pratt, M.P.; Shirazi, M. Using Naturalistic Driving Study Data to Explore the Association between Horizontal Curve Safety and Operation on Rural Two-Lane Highways. J. Transp. Saf. Secur. 2019, 13, 896–913. [Google Scholar] [CrossRef]
- Calvi, A.; D’Amico, F.; Bianchini Ciampoli, L.; Ferrante, C. Evaluating the Effectiveness of Perceptual Treatments on Sharp Curves: A Driving Simulator Study. Traffic Inj. Prev. 2019, 20, S13–S19. [Google Scholar] [CrossRef]
- Hummer, J.E.; Rasdorf, W.; Findley, D.J.; Zegeer, C.V.; Sundstrom, C.A. Curve Collisions: Road and Collision Characteristics and Countermeasures. J. Transp. Saf. Secur. 2010, 2, 203–220. [Google Scholar] [CrossRef]
- Albin, R.B.; Brinkly, V.; Cheung, J.; Julian, F.; Satterfield, C.; Stein, W.J.; Donnell, E.T.; McGee, H.W.; Holzem, A.; Albee, M. Low-Cost Treatments for Horizontal Curve Safety 2016; United States Federal Highway Administration, Office of Safety: Washington, DC, USA, 2016. [Google Scholar]
- Himes, S.; Porter, R.J.; Hamilton, I.; Donnell, E. Safety Evaluation of Geometric Design Criteria: Horizontal Curve Radius and Side Friction Demand on Rural, Two-Lane Highways. Transp. Res. Rec. 2019, 2673, 516–525. [Google Scholar] [CrossRef]
- Hamilton, I.; Himes, S.; Porter, R.J.; Donnell, E. Safety Evaluation of Horizontal Alignment Design Consistency on Rural Two-Lane Highways. Transp. Res. Rec. 2019, 2673, 628–636. [Google Scholar] [CrossRef]
- Malaghan, V.; Pawar, D.S.; Dia, H. Modeling Operating Speed Using Continuous Speed Profiles on Two-Lane Rural Highways in India. J. Transp. Eng. Part A Syst. 2020, 146, 04020124. [Google Scholar] [CrossRef]
- Federal Highway Administration, (FHWA). Factors Influencing Operating Speeds and Safety on Rural and Suburban Roads; Publication No. FHWA-HRT-15-030; Turner-Fairbank Highway Research Center: McLean, VA, USA, 2015. [Google Scholar]
- AASHTO. A Policy on Geometric Design of Highways and Streets, 2011; Green book; American Association of State Highway and Transportation Officials: Washington, DC, USA, 2011. [Google Scholar]
- Lamm, R.; Smith, B.L. Curvilinear Alinement: An Important Issue for More Consistent and Safer Road Characteristic. Transp. Res. Rec. 1994, 1445, 12–21. [Google Scholar]
- Bird, R.N.; Hashim, I.H. Operating Speed and Geometry Relationships for Rural Single Carriageways in the UK. In Proceedings of the 3rd International Symposium on Highway Geometric Design, Chicago, IL, USA, 29 June–1 July 2005. [Google Scholar]
- Malaghan, V.; Pawar, D.S.; Dia, H. Speed Prediction Models for Heavy Passenger Vehicles on Rural Highways Based on an Instrumented Vehicle Study. Transp. Lett. 2020, 14, 39–48. [Google Scholar] [CrossRef]
- Llopis-Castelló, D.; González-Hernández, B.; Pérez-Zuriaga, A.M.; García, A. Speed Prediction Models for Trucks on Horizontal Curves of Two-Lane Rural Roads. Transp. Res. Rec. 2018, 2672, 72–82. [Google Scholar] [CrossRef]
- Ersan, Ö.; Üzümcüoğlu, Y.; Azık, D.; Fındık, G.; Kaçan, B.; Solmazer, G.; Özkan, T.; Lajunen, T.; Öz, B.; Pashkevich, A.; et al. Cross-Cultural Differences in Driver Aggression, Aberrant, and Positive Driver Behaviors. Transp. Res. Part F Traffic Psychol. Behav. 2020, 71, 88–97. [Google Scholar] [CrossRef]
- Bobermin, M.P.; Silva, M.M.; Ferreira, S. Driving Simulators to Evaluate Road Geometric Design Effects on Driver Behaviour: A Systematic Review. Accid. Anal. Prev. 2021, 150, 105923. [Google Scholar] [CrossRef]
- Bongiorno, N.; Bosurgi, G.; Pellegrino, O.; Sollazzo, G. How Is the Driver’s Workload Influenced by the Road Environment? Procedia Eng. 2017, 187, 5–13. [Google Scholar] [CrossRef]
- Haghighi, N.; Liu, X.C.; Zhang, G.; Porter, R.J. Impact of Roadway Geometric Features on Crash Severity on Rural Two-Lane Highways. Accid. Anal. Prev. 2018, 111, 34–42. [Google Scholar] [CrossRef] [PubMed]
- Altamira, A.; García, Y.; Echaveguren, T.; Marcet, J. Acceleration and Deceleration Patterns on Horizontal Curves and Their Tangents on Two-Lane Rural Roads. In Proceedings of the 93rd Transportation Research Board Meeting, Washington, DC, USA, 12–16 January 2014; p. 15. [Google Scholar]
- Ryan, A.; Ai, C.; Fitzpatrick, C.; Knodler, M. Crash Proximity and Equivalent Property Damage Calculation Techniques: An Investigation Using a Novel Horizontal Curve Dataset. Accid. Anal. Prev. 2022, 166, 106550. [Google Scholar] [CrossRef] [PubMed]
- Eboli, L.; Guido, G.; Mazzulla, G.; Pungillo, G. Experimental Relationships between Operating Speeds of Successive Road Design Elements in Two-Lane Rural Highways. Transport 2017, 32, 138–145. [Google Scholar] [CrossRef]
- Pérez-Zuriaga, A.M.; Camacho-Torregrosa, F.J.; García, A. Tangent-to-Curve Transition on Two-Lane Rural Roads Based on Continuous Speed Profiles. J. Transp. Eng. 2013, 139, 1048–1057. [Google Scholar] [CrossRef]
- McFadden, J.; Elefteriadou, L. Evaluating Horizontal Alignment Design Consistency of Two-Lane Rural Highways: Development of New Procedure. Transp. Res. Rec. 2000, 1737, 9–17. [Google Scholar] [CrossRef]
- Sil, G.; Maji, A.; Nama, S.; Maurya, A.K. Operating Speed Prediction Model as a Tool for Consistency Based Geometric Design of Four-Lane Divided Highways. Transport 2019, 34, 425–436. [Google Scholar] [CrossRef]
- Lamm, R.; Choueiri, E.M.; Hayward, J.; Paluri, A. Possible Design Procedure to Promote Design Consistency in Highway Geometric Design on Two-Lane Rural Roads. Transp. Res. Rec. J. Transp. Res. Board 1988, 1195, 111–121. [Google Scholar]
- Anderson, I.B.; Krammes, R.A. Speed Reduction as a Surrogate for Accident Experience at Horizontal Curves on Rural Two-Lane Highways. Transp. Res. Rec. 2000, 1701, 86–94. [Google Scholar] [CrossRef]
- Montella, A.; Pariota, L.; Galante, F.; Imbriani, L.L.; Mauriello, F. Prediction of Drivers’ Speed Behavior on Rural Motorways Based on an Instrumented Vehicle Study. Transp. Res. Rec. 2014, 2434, 52–62. [Google Scholar] [CrossRef]
- García, A.; Llopis-Castelló, D.; Camacho-Torregrosa, F.; Pérez-Zuriaga, A. New Consistency Index Based on Inertial Operating Speed. Transp. Res. Rec. 2013, 2391, 105–112. [Google Scholar] [CrossRef]
- Llopis-Castelló, D.; Bella, F.; Camacho-Torregrosa, F.J.; García, A. New Consistency Model Based on Inertial Operating Speed Profiles for Road Safety Evaluation. J. Transp. Eng. Part A Syst. 2018, 144, 04018006. [Google Scholar] [CrossRef]
- Misaghi, P.; Hassan, Y. Modeling Operating Speed and Speed Differential on Two-Lane Rural Roads. J. Transp. Eng. 2005, 131, 408–418. [Google Scholar] [CrossRef]
- Bastos, S.Q.A.; Gama, F.; de Paula Assis, T.; Milosz, M. Is There a Relationship between the Use of Motorcycles and the Level of Development of Countries? Bull. Geogr. Socio-Econ. Ser. 2020, 50, 43–53. [Google Scholar] [CrossRef]
- Morris, C.M.; Donnell, E.T. Passenger Car and Truck Operating Speed Models on Multilane Highways with Combinations of Horizontal Curves and Steep Grades. J. Transp. Eng. 2014, 140, 04014058. [Google Scholar] [CrossRef]
- Maji, A.; Sil, G.; Tyagi, A. 85th and 98th Percentile Speed Prediction Models of Car, Light, and Heavy Commercial Vehicles for Four-Lane Divided Rural Highways. J. Transp. Eng. Part A Syst. 2018, 144, 04018009. [Google Scholar] [CrossRef]
- Public Work Department. Statistik Jalan Malaysia Edisi; Public Work Department: Kuala Lumpur, Malaysia, 2021; ISSN 1985-9619. [Google Scholar]
- JKR. Arahan Teknik (Jalan) 8/86 A Guide on Geometric Design of Roads; Public Works Department Malaysia: Kuala Lumpur, Malaysia, 2015. [Google Scholar]
- Fadhloun, K.; Rakha, H.; Loulizi, A.; Abdelkefi, A. Vehicle Dynamics Model for Estimating Typical Vehicle Accelerations. Transp. Res. Rec. 2015, 2491, 61–71. [Google Scholar] [CrossRef]
- Wood, J.M. Nighttime Driving: Visual, Lighting and Visibility Challenges. Ophthalmic Physiol. Opt. 2020, 40, 187–201. [Google Scholar] [CrossRef]
- Cvitanić, D.; Maljković, B. Determination of Applicable Adjacent Horizontal Curve Radii Using Operating Speed. Promet Traffic Transp. 2019, 31, 443–452. [Google Scholar] [CrossRef]
- Liu, H.; Xu, J.; Zhang, X.; Gao, C.; Sun, R. Evaluation Method of the Driving Workload in the Horizontal Curve Section Based on the Human Model of Information Processing. Int. J. Environ. Res. Public Health 2022, 19, 7063. [Google Scholar] [CrossRef]
- Goyani, J.; Chaudhari, P.; Arkatkar, S.; Joshi, G.; Easa, S.M. Operating Speed Prediction Models by Vehicle Type on Two-Lane Rural Highways in Indian Hilly Terrains. J. Transp. Eng. Part A Syst. 2022, 148, 04022001. [Google Scholar] [CrossRef]









| Vehicle Class | Symbol | Description |
|---|---|---|
| Motorcycle | MC | Motorcycle, scooter |
| Light Vehicle | LV | Sedan, wagon, 4 WD utility and light van, caravan, short towing truck |
| Medium Vehicle | MV | Two-axle truck or bus, three-axle truck or bus, four-axle truck |
| Heavy Vehicle | HV | Three-axle articulated vehicle or rigid vehicle and trailer, four-axle articulated vehicle or rigid vehicle and trailer, five-axle articulated vehicle or rigid vehicle and trailer, six- or more axle articulated vehicle or rigid vehicle and trailer, B double or heavy truck and trailer, double road train or heavy truck, two tailer and triple road train or heavy truck, and three tailers |
| District | Road Name | Design Standard | Lane Width (m) | Radius (m) | Curve Length (m) |
|---|---|---|---|---|---|
| Pontian | J-109 | R3 | 3 | 116 | 138 |
| Pontian | J-7 | R3 | 3 | 172 | 216 |
| Kota Tinggi | 91 | R4 | 3.25 | 597 | 1164 |
| Kota Tinggi | J-173 | R3 | 3 | 297 | 189 |
| Kota Tinggi | J-173 | R3 | 3 | 485 | 575 |
| Kulai Jaya | J-8 | R5 | 3.5 | 100 | 144 |
| Kulai Jaya | J-8 | R5 | 3.5 | 119 | 150 |
| Study Point | Vehicle Class | Min Speed (km/h) | Max Speed (km/h) | Mean (km/h) | Std Dev (km/h) |
|---|---|---|---|---|---|
| AT | MC | 20.8 | 124.7 | 71.55 | 16.28 |
| LV | 15.6 | 135.2 | 73.63 | 15.30 | |
| MV | 16.4 | 105.6 | 67.46 | 16.32 | |
| HV | 9.8 | 95.2 | 65.57 | 13.01 | |
| BC | MC | 19.3 | 117.2 | 70.47 | 16.12 |
| LV | 14.6 | 131.7 | 72.48 | 15.27 | |
| MV | 15.6 | 136.9 | 65.95 | 16.10 | |
| HV | 9.9 | 93.4 | 60.92 | 12.92 | |
| MP | MC | 13.8 | 118.1 | 61.97 | 14.06 |
| LV | 11.3 | 134.7 | 65.28 | 15.57 | |
| MV | 11.6 | 127.8 | 58.57 | 17.73 | |
| HV | 7.2 | 82.4 | 51.78 | 12.72 | |
| EC | MC | 16.2 | 118.5 | 63.06 | 13.87 |
| LV | 13.9 | 136.0 | 66.22 | 15.30 | |
| MV | 14.0 | 131.0 | 59.46 | 17.53 | |
| HV | 7.8 | 83.1 | 52.39 | 12.42 | |
| DT | MC | 18.4 | 119.2 | 70.32 | 13.43 |
| LV | 11.5 | 137.1 | 72.57 | 14.20 | |
| MV | 24.7 | 134.1 | 67.60 | 16.84 | |
| HV | 8.2 | 88.1 | 59.30 | 13.03 |
| Sum of Squares (SS) | Degree of Freedom (df) | Mean Square (MS) | F | p-Value | |
|---|---|---|---|---|---|
| Study points | |||||
| AT | 180,900.487 | 3 | 60,300.162 | 250.288 | 0.000 |
| BC | 202,258.973 | 3 | 67,419.658 | 282.773 | 0.000 |
| MP | 161,943.431 | 3 | 53,981.144 | 220.201 | 0.000 |
| EC | 164,521.22 | 3 | 54,841.407 | 231.149 | 0.000 |
| DT | 112,671.613 | 3 | 37,557.204 | 179.258 | 0.000 |
| Direction of travel | |||||
| AB vs. BA | 21.480 | 3 | 7.160 | 29.198 | 0.000 |
| Time of day | |||||
| Day vs. Night | 33.307 | 3 | 11.102 | 65.396 | 0.000 |
| Radius of horizontal curve | |||||
| Radius | 476.118 | 3 | 158.706 | 39.567 | 0.000 |
| Study Point | Vehicle Class | Std Err/Sig | Std Err/Sig | Std Err/Sig | Std Err/Sig |
|---|---|---|---|---|---|
| MC | LV | MV | HV | ||
| AT | MC | NA | 0.29730/0.000 | 0.37611/0.000 | 0.75587/0.000 |
| LV | 0.29730/0.000 | NA | 0.27658/0.000 | 0.71160/0.000 | |
| MV | 0.37611/0.000 | 0.27658/0.000 | NA | 0.74796/0.000 | |
| HV | 0.75587/0.000 | 0.71160/0.000 | 0.74796/0.000 | NA | |
| BC | MC | NA | 0.29911/0.000 | 0.37692/0.000 | 0.74790/0.000 |
| LV | 0.29911/0.000 | NA | 0.27579/0.000 | 0.70239/0.000 | |
| MV | 0.37692/0.000 | 0.27579/0.000 | NA | 0.73888/0.000 | |
| HV | 0.74790/0.000 | 0.70239/0.000 | 0.73888/0.000 | NA | |
| MP | MC | NA | 0.35570/0.000 | 0.45765/0.000 | 0.96235/0.000 |
| LV | 0.35570/0.000 | NA | 0.33977/0.000 | 0.91221/0.000 | |
| MV | 0.45765/0.000 | 0.33977/0.000 | NA | 0.95657/0.000 | |
| HV | 0.96235/0.000 | 0.91221/0.000 | 0.95657/0.000 | NA | |
| EC | MC | NA | 0.33462/0.000 | 0.42500/0.000 | 0.88251/0.000 |
| LV | 0.33462/0.000 | NA | 0.31207/0.000 | 0.83401/0.000 | |
| MV | 0.42500/0.000 | 0.31207/0.000 | NA | 0.87420/0.000 | |
| HV | 0.88251/0.000 | 0.83401/0.000 | 0.87420/0.000 | NA | |
| DT | MC | NA | 0.33462/0.000 | 0.42500/0.000 | 0.88251/0.000 |
| LV | 0.33462/0.000 | NA | 0.31207/0.000 | 0.83401/0.000 | |
| MV | 0.42500/0.000 | 0.31207/0.000 | NA | 0.87420/0.000 | |
| HV | 0.88251/0.000 | 0.83401/0.000 | 0.87420/0.000 | NA |
Publisher’s Note: MDPI stays neutral with regard to jurisdictional claims in published maps and institutional affiliations. |
© 2022 by the authors. Licensee MDPI, Basel, Switzerland. This article is an open access article distributed under the terms and conditions of the Creative Commons Attribution (CC BY) license (https://creativecommons.org/licenses/by/4.0/).
Share and Cite
Faiz, R.U.; Mashros, N.; Hassan, S.A. Speed Behavior of Heterogeneous Traffic on Two-Lane Rural Roads in Malaysia. Sustainability 2022, 14, 16144. https://doi.org/10.3390/su142316144
Faiz RU, Mashros N, Hassan SA. Speed Behavior of Heterogeneous Traffic on Two-Lane Rural Roads in Malaysia. Sustainability. 2022; 14(23):16144. https://doi.org/10.3390/su142316144
Chicago/Turabian StyleFaiz, Rizwan Ullah, Nordiana Mashros, and Sitti Asmah Hassan. 2022. "Speed Behavior of Heterogeneous Traffic on Two-Lane Rural Roads in Malaysia" Sustainability 14, no. 23: 16144. https://doi.org/10.3390/su142316144
APA StyleFaiz, R. U., Mashros, N., & Hassan, S. A. (2022). Speed Behavior of Heterogeneous Traffic on Two-Lane Rural Roads in Malaysia. Sustainability, 14(23), 16144. https://doi.org/10.3390/su142316144

