Study on Properties of Regenerated Fluorinated Polyurethane Rigid Foam Prepared by Degrading Waste Polyurethane
Abstract
1. Introduction
2. Materials and Methods
2.1. Reagents and Apparatus
2.2. Sample Preparation
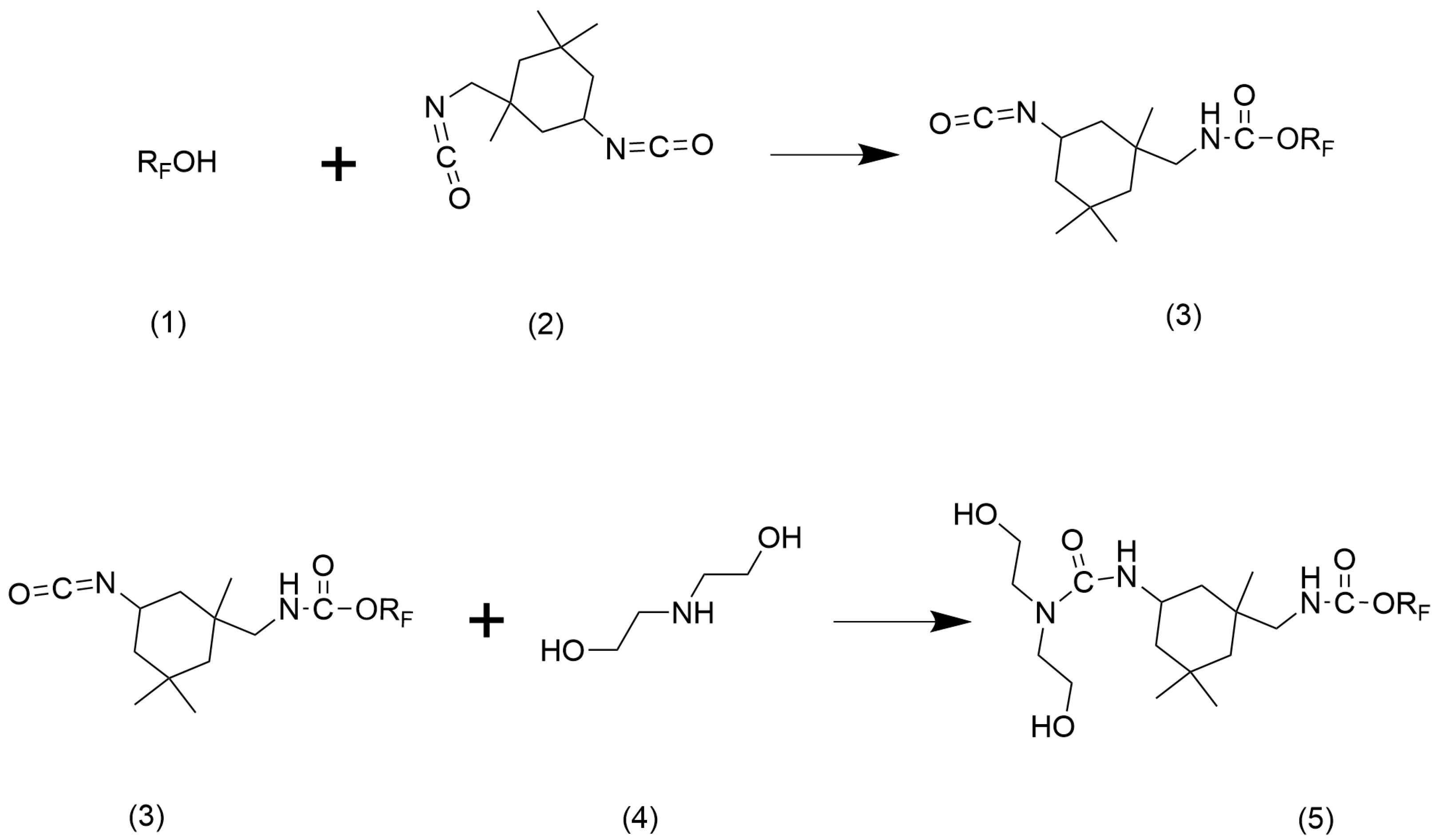
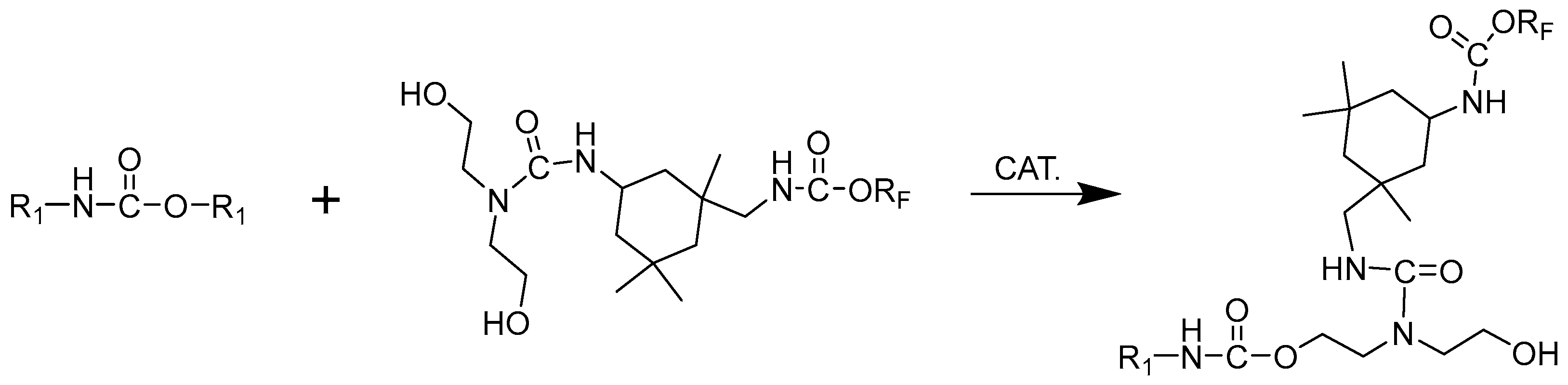
2.2.1. Fluorodiol Preparation
2.2.2. RFPU Sample Preparation
2.2.3. Reused Rigid Polyurethane Foam (RRPU) Sample Preparation
2.2.4. Fluoroalcohol Comparison Samples
2.2.5. Prue 4100 Sample Preparation
2.3. Characterization
3. Results and Discussion
3.1. FTIR Spectra Analysis
3.1.1. FTIR Spectra Analysis of Fluorodiol
3.1.2. FTIR Spectra Analysis of Fluorinated Regenerated Polyols
is found at 1352 cm−1. 3.2. Viscosity Analysis of Regenerated Polyol
3.3. GPC Analysis of Regenerated Polyol
3.4. The Effect of Fluorodiol on the Density of RFPU Rigid Foams
3.5. Effect of Fluorodiols on Water Absorption and Loss Rate of RFPU Foam
3.6. Effect of Fluorodiol on the Compressive Strength of RFPU Foam
3.7. Analysis of Thermal Conductivity of Fluorine-Containing Recycled Polyurethane
3.8. SEM Analysis of RFPU
3.9. TG Analysis of RFPU
3.10. XPS Analysis of RFPU
4. Conclusions
Author Contributions
Funding
Institutional Review Board Statement
Informed Consent Statement
Data Availability Statement
Conflicts of Interest
References
- Calvo-Correas, T.; Ugarte, L.; Trzebiatowska, P.J.; Sanzberro, R.; Datta, J.; Corcuera, M.A.; Eceiza, A. Thermoplastic polyurethanes with glycolysate intermediates from polyurethane waste recycling. Polym. Degrad. Stabil. 2017, 144, 411–419. [Google Scholar] [CrossRef]
- Zia, K.M.; Bhatti, H.N.; Bhatti, I.A. Methods for polyurethane and polyurethane composites, recycling and recovery: A review. React. Funct. Polym. 2007, 67, 675–692. [Google Scholar] [CrossRef]
- Wang, X.T.; Shi, Y.; Liu, Y.; Wang, Q. Recycling of waste melamine formaldehyde foam as flame-retardant filler for polyurethane foam. J. Polym. Res. 2019, 26, 12. [Google Scholar] [CrossRef]
- Gu, X.H.; Luo, H.X.; Lv, S.W.; Chen, P. Glycolysis Recycling of Waste Polyurethane Rigid Foam Using Different Catalysts. J. Renew. Mater. 2021, 9, 1253–1266. [Google Scholar] [CrossRef]
- Zhu, P.; Cao, Z.B.; Chen, Y.; Zhang, X.J.; Qian, G.R.; Chu, Y.L.; Zhou, M. Glycolysis recycling of rigid waste polyurethane foam from refrigerators. Environ. Technol. 2014, 35, 2676–2684. [Google Scholar] [CrossRef]
- Shin, S.R.; Kim, H.N.; Liang, J.Y.; Lee, S.H.; Lee, D.S. Sustainable rigid polyurethane foams based on recycled polyols from chemical recycling of waste polyurethane foams. J. Appl. Polym. Sci. 2019, 136, 9. [Google Scholar] [CrossRef]
- Nikje, M.M.A.; Mohammadi, F.H.A. Polyurethane Foam Wastes Recycling under Microwave Irradiation. Polym. Plast. Technol. Eng. 2010, 49, 818–821. [Google Scholar] [CrossRef]
- Nikje, M.M.A.; Garmarudi, A.B.; Idris, A.B. Polyurethane Waste Reduction and Recycling: From Bench to Pilot Scales. Des. Monomers Polym. 2011, 14, 395–421. [Google Scholar] [CrossRef]
- Gomes, M.; Carvalho, E.A.S.; Barreto, G.N.S.; Rodriguez, R.J.S.; Monteiro, S.N.; Vieira, C.M.F. Development of Sustainable Artificial Stone Using Granite Waste and Biodegradable Polyurethane from Castor Oil. Sustainability 2022, 14, 6380. [Google Scholar] [CrossRef]
- Gong, C.H.; Zhang, K.H.; Yang, C.; Chen, J.; Zhang, S.; Yi, C.W. Simple process for separation and recycling of nylon 6 and polyurethane components from waste nylon 6/polyurethane debris. Text. Res. J. 2021, 91, 18–27. [Google Scholar] [CrossRef]
- Godinho, B.; Gama, N.; Barros-Timmons, A.; Ferreira, A. Recycling of different types of polyurethane foam wastes via acidolysis to produce polyurethane coatings. Sustain. Mater. Technol. 2021, 29, 7. [Google Scholar] [CrossRef]
- Wang, C.; Li, X.R.; Du, B.; Li, P.Z.; Lai, X.J.; Niu, Y.H. Preparation and properties of a novel waterborne fluorinated polyurethane-acrylate hybrid emulsion. Colloid Polym. Sci. 2014, 292, 579–587. [Google Scholar] [CrossRef]
- Zhang, R.Z.; Lu, W.; Yan, D.K.; Liu, X.D. Cavitation Erosion Resistant Hydrophobic Fluorinated Polyurethane. ACTA Polym. Sin. 2015, 1, 808–818. [Google Scholar]
- Ge, Z.; Zhang, X.Y.; Dai, J.B.; Li, W.H.; Luo, Y.J. Synthesis, characterization and properties of a novel fluorinated polyurethane. Eur. Polym. J. 2009, 45, 530–536. [Google Scholar] [CrossRef]
- Agrizzi, C.P.; Carvalho, E.A.S.; Gadioli, M.C.B.; Barreto, G.N.S.; de Azevedo, A.R.G.; Monteiro, S.N.; Vieira, C.M.F. Comparison between Synthetic and Biodegradable Polymer Matrices on the Development of Quartzite Waste-Based Artificial Stone. Sustainability 2022, 14, 6388. [Google Scholar] [CrossRef]
- Shen, M.Y.; Kuan, C.F.; Kuan, H.C.; Ke, C.Y.; Chiang, C.L. Flame Retardance and Char Analysis of an Eco-Friendly Polyurethane Hyperbranched Hybrid Using the Sol-Gel Method. Sustainability 2021, 13, 486. [Google Scholar] [CrossRef]
- Hsu, Y.T.; Wang, W.H.; Hung, W.H. Architectural Sustainability and Efficiency of Enhanced Waterproof Coating from Utilization of Waterborne Poly (Siloxane-Imide-Urethane) Copolymers on Roof Surfaces. Sustainability 2020, 12, 4411. [Google Scholar] [CrossRef]
- Hsu, Y.T.; Wang, W.H.; Hung, W.H. Evaluating the Properties of a Coating Material with Polycaprolactone-Degradable Fluorinated Silicon-Containing Waterborne Polyurethane. Sustainability 2020, 12, 3745. [Google Scholar] [CrossRef]
- Jiang, M.; Zhao, X.L.; Ding, X.B.; Zheng, Z.H.; Peng, Y.X. A novel approach to fluorinated polyurethane by macromonomer copolymerization. Eur. Polym. J. 2005, 41, 1798–1803. [Google Scholar] [CrossRef]
- Li, N.; Zeng, F.L.; Wang, Y.; Qu, D.Z.; Zhang, C.; Li, J.; Huo, J.Z.; Bai, Y.P. Synthesis and characterization of fluorinated polyurethane containing carborane in the main chain: Thermal, mechanical and chemical resistance properties. Chin. J. Polym. Sci. 2018, 36, 85–97. [Google Scholar] [CrossRef]
- Shi, X.; Shi, H.X.; Wu, H.K.; Shen, H.M.; Cao, P. Synthesis and properties of novel fluorinated polyurethane based on fluorinated gemini diol. Polym. Adv. Technol. 2018, 29, 1939–1952. [Google Scholar] [CrossRef]
- Ge, Z.; Zhang, X.Y.; Dai, J.B.; Li, W.H.; Luo, Y.J. Synthesis and characterization of fluorinated polyurethane with fluorine-containing pendent groups. Chin. Chem. Lett. 2008, 19, 1293–1296. [Google Scholar] [CrossRef]
- Chen, L.; Hayashi, M.; Takasu, A. Hydrophobicity enhancement of polyurethanes by attaching fluorinated end blocks via ATRP and correlation between surface properties and self-assembly nature. Polymer 2019, 172, 312–321. [Google Scholar] [CrossRef]
- Xu, W.Z.; Lu, B.; Hu, Y.; Yin, J.G.; Zhang, Y.Y. Synthesis and Characterization of Novel Fluorinated Polyurethane Elastomers. Asian J. Chem. 2011, 23, 2284–2288. [Google Scholar]
- Zeng, S.H.; Wang, Q.M.; Chen, P.P.; Xu, Y.; Nie, W.Y.; Zhou, Y.F. Controllable hydrolytic stability of novel fluorinated polyurethane films by incorporating fluorinated side chains. Prog. Org. Coat. 2022, 165, 106729. [Google Scholar] [CrossRef]
- Tonelli, C.; Ajroldi, G.; Marigo, A.; Marega, C.; Turturro, A. Synthesis methods of fluorinated polyurethanes. 2. Effects on morphology and microstructure. Polymer 2001, 42, 9705–9711. [Google Scholar] [CrossRef]
- Zhao, B.; Jia, R.; Zhang, Y.; Liu, D.; Zheng, X. Design and synthesis of antibacterial waterborne fluorinated polyurethane. J. Appl. Polym. Sci. 2019, 136, 46923. [Google Scholar] [CrossRef]
- Zhang, R.Z.; Wang, W.B.; Wang, C.Y.; Tian, W.J.; Hang, J.L.; Hussain, M.I. Effect of Nano Alumina on the Properties of Fluorinated Polyurethane. Materials 2019, 12, 4120. [Google Scholar] [CrossRef]
- Gu, X.H.; Lyu, S.W.; Liu, S.W. Alcoholysis of Waste Polyurethane Rigid Foam and Its Modification with Lignin for Recovery. J. Renew. Mater. 2021, 9, 1913–1926. [Google Scholar] [CrossRef]
- Colomines, G.; Rivas, F.; Lacoste, M.L.; Robin, J.J. Study of polyurethane formulations containing Diols obtained via glycolysis of poly(ethylene terephthalate) (PET) by oligoesters Diols through a reactive extrusion process. Macromol. Mater. Eng. 2005, 290, 710–720. [Google Scholar] [CrossRef]
- Galimzyanova, A.R.; Bakirova, I.N.; Valuev, V.I.; Zenitova, L.A. Mechanism and relationships of chemical degradation of rigid polyurethane foam. Russ. J. Appl. Chem. 2005, 78, 824–829. [Google Scholar] [CrossRef]
- Galeeva, E.I.; Bakirova, I.N. Chemical degradation of elastic foamed polyurethanes under the action of thiodiglycol. Russ. J. Appl. Chem. 2007, 80, 1741–1744. [Google Scholar] [CrossRef]
- Luo, J.B.; Ma, C.; Liao, R.; Wan, J.; Zhang, P.; Zhang, J. Surface and Antibacterial Properties of Polyurethane with Fluorinated Bis-ammonium Salts Attached to Hard Segments. Chem. J. Chin. Univ. Chin. 2010, 31, 1268–1273. [Google Scholar]
- Wang, P.C.; Lu, D.; Wang, H.; Bai, R.K. A New Strategy for the Synthesis of Fluorinated Polyurethane. Polymers 2019, 11, 1440. [Google Scholar] [CrossRef]
- Zhu, M.; Chen, K.; Zhang, Y.F.; Wang, X.R.; Zhou, X.D. Gradient Structure and Surface Property of Fluorinated Polyacrylate and Polyurethane Latex Blend Films. Polymer 2014, 38, 265–271. [Google Scholar] [CrossRef]
- Zhang, X.Q.; Jiang, X.; Li, J.H.; Tan, H.; Zhong, Y.P.; Fu, Q. Surface and bulk properties of poly(ether urethane)s/fluorinated phosphatidylcholine polyurethanes blends. J. Appl. Polym. Sci. 2008, 108, 548–553. [Google Scholar] [CrossRef]
- Tan, H.; Xie, X.Y.; Li, J.H.; Zhong, Y.P.; Fu, Q. Synthesis and surface mobility of segmented polyurethanes with fluorinated side chains attached to hard blocks. Polymer 2004, 45, 1495–1502. [Google Scholar] [CrossRef]
- Smirnova, O.; Glazkov, A.; Yarosh, A.; Sakharov, A. Fluorinated Polyurethanes, Synthesis and Properties. Molecules 2016, 21, 904. [Google Scholar] [CrossRef]
- Ghaderian, A.; Haghighi, A.H.; Taromi, F.A.; Abdeen, Z.; Boroomand, A.; Taheri, S.M.R. Characterization of Rigid Polyurethane Foam Prepared from Recycling of PET Waste. Period. Polytech. Chem. Eng. 2015, 59, 296–305. [Google Scholar] [CrossRef]
- Jiang, M.; Zheng, Z.H.; Ding, X.B.; Cheng, X.; Peng, Y.X. Convenient synthesis of novel fluorinated polyurethane hybrid latexes and core-shell structures via emulsion polymerization process with self-emulsification of polyurethane. Colloid Polym. Sci. 2007, 285, 1049–1054. [Google Scholar] [CrossRef]
- Estravis, S.; Tirado-Mediavilla, J.; Santiago-Calvo, M.; Ruiz-Herrero, J.L.; Villafane, F.; Rodriguez-Perez, M.A. Rigid polyurethane foams with infused nanoclays: Relationship between cellular structure and thermal conductivity. Eur. Polym. J. 2016, 80, 1–15. [Google Scholar] [CrossRef]
- Kirpluks, M.; Kalnbunde, D.; Benes, H.; Cabulis, U. Natural oil based highly functional polyols as feedstock for rigid polyurethane foam thermal insulation. Ind. Crops Prod. 2018, 122, 627–636. [Google Scholar] [CrossRef]
- Hatakeyama, H.; Matsumura, H.; Hatakeyama, T. Glass transition and thermal degradation of rigid polyurethane foams derived from castor oil-molasses polyols. J. Therm. Anal. Calorim. 2013, 111, 1545–1552. [Google Scholar] [CrossRef]
- Kirpluks, M.; Cabulis, U.; Zeltins, V.; Stiebra, L.; Avots, A. Rigid polyurethane foam thermal insulation protected with mineral intumescent mat. Autex Res. J. 2014, 14, 259–269. [Google Scholar] [CrossRef]
- Jia, D.K.; Hu, J.; He, J.Y.; Yang, R.J. Properties of a novel inherently flame-retardant rigid polyurethane foam composite bearing imide and oxazolidinone. J. Appl. Polym. Sci. 2019, 136, 47943. [Google Scholar] [CrossRef]
- Xu, D.F.; Yu, K.J.; Qian, K. Thermal degradation study of rigid polyurethane foams containing tris(1-chloro-2-propyl)phosphate and modified aramid fiber. Polym. Test. 2018, 67, 159–168. [Google Scholar] [CrossRef]
- Reinerte, S.; Avotina, L.; Zarins, A.; Cabulis, U.; Viksna, A. TG/DTA-FTIR as a method for analysis of tall oil based rigid polyurethane foam decomposition gaseous products in a low oxygen environment. Polym. Degrad. Stabil. 2020, 180, 109313. [Google Scholar] [CrossRef]
- Uyama, M.; Kanda, M.; Nishi, Y. Creation of Adhesive Force between Laminated Sheets of Polytetrafluoroethylene (PTFE) and Polyethylene (PE) by Homogeneous Low Energy Electron Beam Irradiation Prior to Hot-Press for Bio-Adaptable Application. Mater. Trans. 2014, 55, 566–571. [Google Scholar] [CrossRef]
- Miyazawa, Y.; Uyama, M.; Ishii, S.; Kanda, M.; Nishi, Y. Creation of Adhesive Force between Laminated Sheets of Polyurethane (PU) and Polytetrafluoruethylene (PTFE) by Homogeneous Low Energy Electron Beam Irradiation Prior to Hot-Press for Bio-Adaptable Application. Mater. Trans. 2013, 54, 1166–1170. [Google Scholar] [CrossRef]
- Xu, W.; Zhao, W.J.; Hao, L.F.; Wang, S.; Pei, M.M.; Wang, X.C. Synthesis and characterization of novel fluoroalkyl-terminated hyperbranched polyurethane latex. Appl. Surf. Sci. 2018, 436, 1104–1112. [Google Scholar] [CrossRef]
- Xu, W.; Zhao, W.J.; Hao, L.F.; Wang, S.; Pei, M.M.; Wang, X.C. Synthesis of novel cationic fluoroalkyl-terminated hyperbranched polyurethane latex and morphology, physical properties of its latex film. Prog. Org. Coat. 2018, 121, 209–217. [Google Scholar] [CrossRef]
- West, J.O.F.; Critchlow, G.W.; Lake, D.R.; Banks, R. Development of a superhydrophobic polyurethane-based coating from a two-step plasma-fluoroalkyl silane treatment. Int. J. Adhes. Adhes. 2016, 68, 195–204. [Google Scholar] [CrossRef]
- Jiang, G.C.; Tuo, X.L.; Wang, D.R.; Li, Q. Synthesis and properties novel polyurethane-hexafluorobutyl methacrylate copolymers. J. Mater. Sci. Mater. Med. 2012, 23, 1867–1877. [Google Scholar] [CrossRef] [PubMed]
- Jeong, H.Y.; Lee, M.H.; Kim, B.K. Surface modification of waterborne polyurethane. Colloids Surf. A Physicochem. Eng. Asp. 2006, 290, 178–185. [Google Scholar] [CrossRef]
- Hinder, S.J.; Watts, J.F.; Lowe, C. Surface and interface analysis of complex polymeric paint formulations. Surf. Interface Anal. 2006, 38, 557–560. [Google Scholar] [CrossRef]














| Fluorodiol Addition % | Mn | PDI |
|---|---|---|
| Polyether 4110 | 1104 | 1.179 |
| 0 | 2465 | 1.217 |
| 2 | 2682 | 1.242 |
| 4 | 2734 | 1.234 |
| 6 | 2744 | 1.254 |
| 8 | 2812 | 1.255 |
| 11 | 3455 | 1.322 |
| C | F | N | O | |
|---|---|---|---|---|
| a | 67.99 | 0.39 | 7.78 | 21.05 |
| b | 65.30 | 8.36 | 5.23 | 18.25 |
| c | 58.93 | 21.09 | 5.35 | 14.63 |
Publisher’s Note: MDPI stays neutral with regard to jurisdictional claims in published maps and institutional affiliations. |
© 2022 by the authors. Licensee MDPI, Basel, Switzerland. This article is an open access article distributed under the terms and conditions of the Creative Commons Attribution (CC BY) license (https://creativecommons.org/licenses/by/4.0/).
Share and Cite
Zhang, D.-S.; Gu, X.-H.; Liu, S.-W.; Liu, Y.; Zhou, Q.-Y.; Zhu, S.-W.; Zhu, Y.-W. Study on Properties of Regenerated Fluorinated Polyurethane Rigid Foam Prepared by Degrading Waste Polyurethane. Sustainability 2022, 14, 15685. https://doi.org/10.3390/su142315685
Zhang D-S, Gu X-H, Liu S-W, Liu Y, Zhou Q-Y, Zhu S-W, Zhu Y-W. Study on Properties of Regenerated Fluorinated Polyurethane Rigid Foam Prepared by Degrading Waste Polyurethane. Sustainability. 2022; 14(23):15685. https://doi.org/10.3390/su142315685
Chicago/Turabian StyleZhang, Da-Sheng, Xiao-Hua Gu, Si-Wen Liu, Yan Liu, Qing-Yun Zhou, Shang-Wen Zhu, and Yan-Wei Zhu. 2022. "Study on Properties of Regenerated Fluorinated Polyurethane Rigid Foam Prepared by Degrading Waste Polyurethane" Sustainability 14, no. 23: 15685. https://doi.org/10.3390/su142315685
APA StyleZhang, D.-S., Gu, X.-H., Liu, S.-W., Liu, Y., Zhou, Q.-Y., Zhu, S.-W., & Zhu, Y.-W. (2022). Study on Properties of Regenerated Fluorinated Polyurethane Rigid Foam Prepared by Degrading Waste Polyurethane. Sustainability, 14(23), 15685. https://doi.org/10.3390/su142315685
