Variations in the Value and Trade-Offs/Synergies of Ecosystem Services on Topographic Gradients in Qinghai Province, China
Abstract
1. Introduction
2. Materials and Methods
2.1. Study Area
2.2. Methods
2.2.1. Calculation of Ecosystem Service Values
2.2.2. Degree of Trade-Offs among Ecosystem Services
3. Results
3.1. LUCC Patterns of Qinghai Province
3.2. Spatial Pattern of ESV in Qinghai Province
3.3. Topographic Gradient Features of Qinghai Province
3.4. Topographic Gradient Effect on the ESV of Qinghai Province
3.4.1. ESV on Different Topographic Gradients
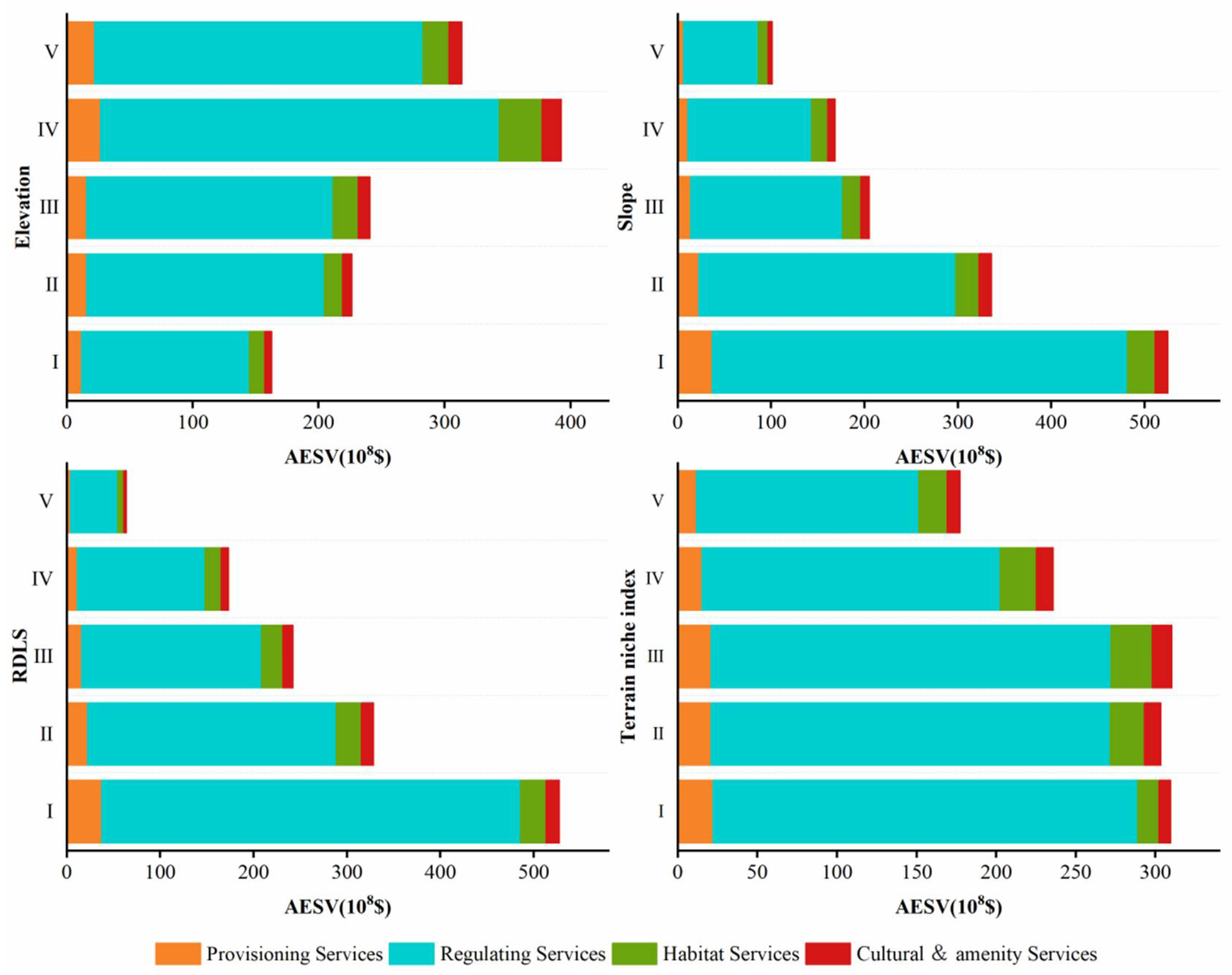
3.4.2. Structure of ESV on Different Topographic Gradients
3.5. Ecosystem Service Trade-Offs/Synergies Degree on Different Topographic Gradients
4. Discussion
4.1. Impact of Topographic Gradient on ESV
4.2. Impact of Topographic Gradient on ES Trade-Offs and Synergies
4.3. Implications for ES Management via the Tradeoffs and Synergies on Different Topographic Gradients
4.4. Limitations and Prospects
5. Conclusions
Author Contributions
Funding
Institutional Review Board Statement
Informed Consent Statement
Data Availability Statement
Conflicts of Interest
References
- Costanza, R.; D’Arge, R.; de Groot, R.; Farber, S.; Grasso, M.; Hannon, B.; Limburg, K.; Naeem, S.; O’Neill, R.V.; Paruelo, J.; et al. The value of the world’s ecosystem services and natural capital. Nature 1997, 387, 253–260. [Google Scholar] [CrossRef]
- Liu, M.; Wei, H.; Dong, X.; Wang, X.; Zhao, B.; Zhang, Y. Integrating Land Use, Ecosystem Service, and Human Well-Being: A Systematic Review. Sustainability 2022, 14, 6926. [Google Scholar] [CrossRef]
- Millennium Ecosystem Assessment. Ecosystems and Human Well-Being: Synthesis; Island Press: Washington, DC, USA, 2005. [Google Scholar]
- TEEB Foundations. TEEB—The Economics of Ecosystems and Biodiversity (TEEB): Ecological and Economic Foundations; Kumar, P., Ed.; Earthscan: London, UK, 2010. [Google Scholar]
- Wang, X.L.; Bao, Y.H. Study on the methods of land use dynamic change research. Prog. Geogr. 1999, 18, 81–87. [Google Scholar] [CrossRef]
- Fu, B.J. Ecosystem Service and Ecological Security; Higher Education Press: Beijing, China, 2013. [Google Scholar]
- Lautenbach, S.; Kugel, C.; Lausch, A.; Seppelt, R. Analysis of historic changes in regional ecosystem service provisioning using land use data. Ecol. Indic. 2011, 11, 676–687. [Google Scholar] [CrossRef]
- Chen, W.; Zhao, H.; Li, J.; Zhu, L.; Wang, Z.; Zeng, J. Land use transitions and the associated impacts on ecosystem services in the Middle Reaches of the Yangtze River Economic Belt in China based on the geo-informatic Tupu method. Sci. Total Environ. 2020, 701, 134690.1–134690.13. [Google Scholar] [CrossRef]
- Fu, B.; Wang, S.; Su, C.; Forsius, M. Linking ecosystem processes and ecosystem services. Curr. Opin. Environ. Sustain. 2013, 5, 4–10. [Google Scholar] [CrossRef]
- Jew, E.K.; Burdekin, O.J.; Dougill, A.J.; Sallu, S.M. Rapid land use change threatens provisioning ecosystem services in miombo woodlands. In Natural Resources Forum; Blackwell Publishing Ltd.: Oxford, UK, 2019; Volume 43, pp. 56–70. [Google Scholar] [CrossRef]
- Vaezi, A.R.; Ahmadi, M.; Cerdà, A. Contribution of raindrop impact to the change of soil physical properties and water erosion under semi-arid rainfalls. Sci. Total Environ. 2017, 583, 382–392. [Google Scholar] [CrossRef]
- Xie, G.D.; Zhen, L.; Lu, C.X.; Xiao, Y.; Chen, C. Expert knowledge based valuation method of ecosystem services in China. J. Nat. Resour. 2008, 23, 911–919. [Google Scholar] [CrossRef]
- Fu, B.J.; Zhou, G.Y.; Bai, Y.F.; Song, C.C.; Liu, J.Y.; Zhang, H.Y.; Xie, G.D. The main terrestrial ecosystem services and ecological security in China. Adv. Earth Sci. 2009, 24, 571–576. [Google Scholar] [CrossRef]
- Costanza, R.; de Groot, R.; Sutton, P.; van der Ploeg, S.; Anderson, S.J.; Kubiszewski, I.; Farber, S.; Turner, R.K. Changes in the global value of ecosystem services. Glob. Environ. Change 2014, 26, 152–158. [Google Scholar] [CrossRef]
- Song, X.P. Global estimates of ecosystem service value and change: Taking into account uncertainties in satellite-based land cover data. Ecol. Econ. 2018, 143, 227–235. [Google Scholar] [CrossRef]
- Song, W.; Deng, X. Land-use/land-cover change and ecosystem service provision in China. Sci. Total Environ. 2017, 576, 705–719. [Google Scholar] [CrossRef] [PubMed]
- Arowolo, A.O.; Deng, X.; Olatunji, O.A.; Obayelu, A.E. Assessing changes in the value of ecosystem services in response to land-use/land-cover dynamics in Nigeria. Sci. Total Environ. 2018, 636, 597–609. [Google Scholar] [CrossRef] [PubMed]
- Aziz, T. Changes in land use and ecosystem services values in Pakistan, 1950–2050. Environ. Dev. 2021, 37, 100576. [Google Scholar] [CrossRef]
- Kusi, K.K.; Khattabi, A.; Mhammdi, N. Analyzing the impact of land use change on ecosystem service value in the main watersheds of Morocco. Environ. Dev. Sustain. 2022, 1–28. [Google Scholar] [CrossRef]
- Gashaw, T.; Tulu, T.; Argaw, M.; Worqlul, A.W.; Tolessa, T.; Kindu, M. Estimating the impacts of land use/land cover changes on Ecosystem Service Values: The case of the Andassa watershed in the Upper Blue Nile basin of Ethiopia. Ecosyst. Serv. 2018, 31, 219–228. [Google Scholar] [CrossRef]
- Jiang, W.; Fu, B.; Lü, Y. Assessing impacts of land use/land cover conversion on changes in ecosystem services value on the Loess Plateau, China. Sustainability 2020, 12, 7128. [Google Scholar] [CrossRef]
- Wang, Y.; Zhang, S.; Zhen, H.; Chang, X.; Shataer, R.; Li, Z. Spatiotemporal evolution characteristics in ecosystem service values based on land use/cover change in the Tarim River Basin, China. Sustainability 2020, 12, 7759. [Google Scholar] [CrossRef]
- Wu, K.Y.; Ye, X.Y.; Qi, Z.F.; Zhang, H. Impacts of land use/land cover change and socioeconomic development on regional ecosystem services: The case of fast-growing Hangzhou metropolitan area, China. Cities 2013, 31, 276–284. [Google Scholar] [CrossRef]
- Tiando, D.S.; Hu, S.; Fan, X.; Ali, M.R. Tropical coastal land-use and land cover changes impact on ecosystem service value during rapid urbanization of Benin, West Africa. Int. J. Environ. Res. Public Health 2021, 18, 7416. [Google Scholar] [CrossRef]
- Tao, Y.; Wang, H.; Ou, W.; Guo, J. A land-cover-based approach to assessing ecosystem services supply and demand dynamics in the rapidly urbanizing Yangtze River Delta region. Land Use Policy 2018, 72, 250–258. [Google Scholar] [CrossRef]
- Jiang, W.; Lü, Y.; Liu, Y.; Gao, W. Ecosystem service value of the Qinghai-Tibet Plateau significantly increased during 25 years. Ecosyst. Serv. 2020, 44, 101146. [Google Scholar] [CrossRef]
- Muleta, T.T.; Kidane, M.; Bezie, A. The effect of land use/land cover change on ecosystem services values of Jibat forest landscape, Ethiopia. GeoJournal 2021, 86, 2209–2225. [Google Scholar] [CrossRef]
- Rimal, B.; Sharma, R.; Kunwar, R.; Keshtkar, H.; Stork, N.E.; Rijal, S.; Baral, H. Effects of land use and land cover change on ecosystem services in the Koshi River Basin, Eastern Nepal. Ecosyst. Serv. 2019, 38, 100963. [Google Scholar] [CrossRef]
- Hou, J.; Qin, T.; Liu, S.; Wang, J.; Dong, B.; Yan, S.; Nie, H. Analysis and Prediction of Ecosystem Service Values Based on Land Use/Cover Change in the Yiluo River Basin. Sustainability 2021, 13, 6432. [Google Scholar] [CrossRef]
- He, X.; Liang, J.; Zeng, G.; Yuan, Y.; Li, X. The effects of interaction between climate change and land-use/cover change on biodiversity-related ecosystem services. Glob. Chall. 2019, 3, 1800095. [Google Scholar] [CrossRef]
- Siddik, M.S.; Tulip, S.S.; Rahman, A.; Islam, M.N.; Haghighi, A.T.; Mustafa, S.M.T. The impact of land use and land cover change on groundwater recharge in northwestern Bangladesh. J. Environ. Manag. 2022, 315, 115130. [Google Scholar] [CrossRef]
- Xi, H.; Cui, W.; Cai, L.; Chen, M.; Xu, C. Evaluation and prediction of ecosystem service value in the Zhoushan Islands based on LUCC. Sustainability 2021, 13, 2302. [Google Scholar] [CrossRef]
- Egoh, B.N.; Reyers, B.; Rouget, M.; Richardson, D.M. Identifying priority areas for ecosystem service management in South African grasslands. J. Environ. Manag. 2011, 92, 1642–1650. [Google Scholar] [CrossRef]
- Gong, J.; Xu, C.X.; Yan, L.L.; Zhu, Y.H.; Zhang, Y.X.; Jin, T.T. Multi-scale analysis of ecosystem services trade-offs in an ecotone in the Eastern Margin of the Qinghai-Tibetan Plateau. J. Mt. Sci. 2021, 18, 2803–2819. [Google Scholar] [CrossRef]
- Wu, J.; Wang, G.; Chen, W.; Pan, S.; Zeng, J. Terrain gradient variations in the ecosystem services value of the Qinghai-Tibet Plateau, China. Glob. Ecol. Conserv. 2022, 34, e02008. [Google Scholar] [CrossRef]
- Zhang, J.; Zhu, W.; Zhu, L.; Li, Y. Multi-scale analysis of trade-off/synergistic effects of forest ecosystem services in the Funiu Mountain Region, China. J. Geogr. Sci. 2022, 32, 981–999. [Google Scholar] [CrossRef]
- Li, G.; Cai, J. Spatial and Temporal Differentiation of Mountain Ecosystem Service Trade-Offs and Synergies: A Case Study of Jieshi Mountain, China. Sustainability 2022, 14, 4652. [Google Scholar] [CrossRef]
- Xu, C.; Gong, J.; Li, Y.; Yan, L.; Gao, B. Spatial distribution characteristics of typical ecosystem services based on terrain gradients of Bailongjiang Watershed in Gansu. Acta Ecol. Sin. 2020, 40, 4291–4301. [Google Scholar] [CrossRef]
- Ma, S.; Qiao, Y.; Wang, L.; Zhang, J. Terrain gradient variations in ecosystem services of different vegetation types in mountainous regions: Vegetation resource conservation and sustainable development. For. Ecol. Manag. 2021, 482, 118856. [Google Scholar] [CrossRef]
- Xie, G.; Zhang, C.; Zhen, L.; Zhang, L. Dynamic changes in the value of China’s ecosystem services. Ecosyst. Serv. 2017, 26, 146–154. [Google Scholar] [CrossRef]
- Fei, L.; Shuwen, Z.; Jiuchun, Y.; Liping, C.; Haijuan, Y.; Kun, B. Effects of land use change on ecosystem services value in West Jilin since the reform and opening of China. Ecosyst. Serv. 2018, 31, 12–20. [Google Scholar] [CrossRef]
- Li, Y.; Zhan, J.; Liu, Y.; Zhang, F.; Zhang, M. Response of ecosystem services to land use and cover change: A case study in Chengdu City. Resour. Conserv. Recycl. 2018, 132, 291–300. [Google Scholar] [CrossRef]
- Su, K.; Wei, D.Z.; Lin, W.X. Evaluation of ecosystem services value and its implications for policy making in China—A case study of Fujian province. Ecol. Indic. 2020, 108, 105752. [Google Scholar] [CrossRef]
- Tan, Z.; Guan, Q.; Lin, J.; Yang, L.; Luo, H.; Ma, Y.; Wang, N. The response and simulation of ecosystem services value to land use/land cover in an oasis, Northwest China. Ecol. Indic. 2020, 118, 106711. [Google Scholar] [CrossRef]
- Fu, B.J.; Zhang, L.W. Land-use change and ecosystem services: Concepts, methods and progress. Prog. Geogr. 2014, 33, 441–446. [Google Scholar] [CrossRef]
- Rodríguez, J.P.; Beard Jr, T.D.; Bennett, E.M.; Cumming, G.S.; Cork, S.J.; Agard, J.; Peterson, G.D. Trade-offs across space, time, and ecosystem services. Ecol. Soc. 2006, 11, 709–723. [Google Scholar] [CrossRef]
- Wu, S.; Li, S. Ecosystem service relationships: Formation and recommended approaches from a systematic review. Ecol. Indic. 2019, 99, 1–11. [Google Scholar] [CrossRef]
- Zhang, X.; Xie, H.; Shi, J.; Lv, T.; Zhou, C.; Liu, W. Assessing changes in ecosystem service values in response to land cover dynamics in Jiangxi Province, China. Int. J. Environ. Res. Public Health 2020, 17, 3018. [Google Scholar] [CrossRef] [PubMed]
- Han, Z.; Song, W.; Deng, X. Responses of ecosystem service to land use change in Qinghai Province. Energies 2016, 9, 303. [Google Scholar] [CrossRef]
- Huo, Z.; Deng, X.; Zhang, X.; Chen, W. Scale Effects on the Calculation of Ecosystem Service Values: A Comparison among Results from Different LULC Datasets. Appl. Sci. 2022, 12, 686. [Google Scholar] [CrossRef]
- Li, Y.; Liu, W.; Feng, Q.; Zhu, M.; Zhang, J.; Yang, L.; Yin, X. Spatiotemporal Dynamics and Driving Factors of Ecosystem Services Value in the Hexi Regions, Northwest China. Sustainability 2022, 14, 14164. [Google Scholar] [CrossRef]
- Zhao, J.; Yang, H.; Qu, M.; Yang, S.; Wang, W.; Zhao, W. The interactions among herbaceous diversity, edaphic factors, and topography under typical afforestation in the transition zone between the qinghai–Tibet Plateau and Loess Plateau. J. Plant Interact. 2021, 16, 75–82. [Google Scholar] [CrossRef]
- Fu, G.; Uchida, E.; Shah, M.; Deng, X. Impact of the Grain for Green program on forest cover in China. J. Environ. Econ. Policy 2019, 8, 231–249. [Google Scholar] [CrossRef]
- Li, P.; Bennett, J. Understanding herders’ stocking rate decisions in response to policy initiatives. Sci. Total Environ. 2019, 672, 141–149. [Google Scholar] [CrossRef]
- Liu, J.; Mooney, H.; Hull, V.; Davis, S.J.; Gaskell, J.; Hertel, T.; Li, S. Systems integration for global sustainability. Science 2015, 347, 1258832. [Google Scholar] [CrossRef] [PubMed]
- Wang, X.; Chen, R.; Han, C.; Yang, Y.; Liu, J.; Liu, Z.; Song, Y. Response of frozen ground under climate change in the Qilian Mountains, China. Quat. Int. 2019, 523, 10–15. [Google Scholar] [CrossRef]
- Zongxing, L.; Qi, F.; Zongjie, L.; Xufeng, W.; Juan, G.; Baijuan, Z.; Pengfei, L. Reversing conflict between humans and the environment—The experience in the Qilian Mountains. Renew. Sustain. Energy Rev. 2021, 148, 111333. [Google Scholar] [CrossRef]
- Chang, B.; He, K.; Li, R.; Wang, H.; Wen, J. Trends, Abrupt Changes, and Periodicity of Streamflow in Qinghai Province, the Northeastern Tibetan Plateau, China. Pol. J. Environ. Stud. 2018, 27, 545–555. [Google Scholar] [CrossRef]
- Lian, X.H.; Qi, Y.; Wang, H.W.; Zhang, J.L.; Yang, R. Assessing changes of water yield in Qinghai Lake Watershed of China. Water 2019, 12, 11. [Google Scholar] [CrossRef]
- Fang, C. Special thinking and green development path of urbanization in Qinghai-Tibet Plateau. Acta Geogr. Sin. 2021, 77, 2142–2156. [Google Scholar]
- Shen, J.; Li, S.; Liang, Z.; Liu, L.; Li, D.; Wu, S. Exploring the heterogeneity and nonlinearity of trade-offs and synergies among ecosystem services bundles in the Beijing-Tianjin-Hebei urban agglomeration. Ecosyst. Serv. 2020, 43, 101103. [Google Scholar] [CrossRef]
- Karimi, J.D.; Corstanje, R.; Harris, J.A. Bundling ecosystem services at a high resolution in the UK: Trade-offs and synergies in urban landscapes. Landsc. Ecol. 2021, 36, 1817–1835. [Google Scholar] [CrossRef]
- Zhang, Q.; Sun, X.; Zhang, K.; Liao, Z.; Xu, S. Trade-Offs and Synergies of Ecosystem Services in the Pearl River Delta Urban Agglomeration. Sustainability 2021, 13, 9155. [Google Scholar] [CrossRef]
- Wu, C.; Chen, B.; Huang, X.; Wei, Y.D. Effect of land-use change and optimization on the ecosystem service values of Jiangsu province, China. Ecol. Indic. 2020, 117, 106507. [Google Scholar] [CrossRef]
- Chen, W.; Chi, G. Ecosystem services trade-offs and synergies in China, 2000–2015. Int. J. Environ. Sci. Technol. 2022, 1–16. [Google Scholar] [CrossRef]
- Ndong, G.O.; Villerd, J.; Cousin, I.; Therond, O. Using a multivariate regression tree to analyze trade-offs between ecosystem services: Application to the main cropping area in France. Sci. Total Environ. 2021, 764, 142815. [Google Scholar] [CrossRef] [PubMed]
- Wang, Y.; Dai, E. Spatial-temporal changes in ecosystem services and the trade-off relationship in mountain regions: A case study of Hengduan Mountain region in Southwest China. J. Clean. Prod. 2020, 264, 121573. [Google Scholar] [CrossRef]
- Hou, Y.; Lü, Y.; Chen, W.; Fu, B. Temporal variation and spatial scale dependency of ecosystem service interactions: A case study on the central Loess Plateau of China. Landsc. Ecol. 2017, 32, 1201–1217. [Google Scholar] [CrossRef]
- Lü, Y.; Lü, D.; Feng, X.; Fu, B. Multi-scale analyses on the ecosystem services in the Chinese Loess Plateau and implications for dryland sustainability. Curr. Opin. Environ. Sustain. 2021, 48, 1–9. [Google Scholar] [CrossRef]
- Yang, M.; Gao, X.; Zhao, X.; Wu, P. Scale effect and spatially explicit drivers of interactions between ecosystem services—A case study from the Loess Plateau. Sci. Total Environ. 2021, 785, 147389. [Google Scholar] [CrossRef]
- Fan, Z.; Bai, X. Scenarios of potential vegetation distribution in the different gradient zones of Qinghai-Tibet Plateau under future climate change. Sci. Total Environ. 2021, 796, 148918. [Google Scholar] [CrossRef]
- Chen, J.; Wang, Y.; Sun, J.; Liang, E.; Shen, M.; Yang, B.; Zhang, J. Precipitation dominants synergies and trade-offs among ecosystem services across the Qinghai-Tibet Plateau. Glob. Ecol. Conserv. 2021, 32, e01886. [Google Scholar] [CrossRef]
- Teng, Y.; Zhan, J.; Liu, W.; Chu, X.; Zhang, F.; Wang, C.; Wang, L. Spatial heterogeneity of ecosystem services trade-offs among ecosystem service bundles in an alpine mountainous region: A case-study in the Qilian Mountains, Northwest China. Land Degrad. Dev. 2022, 33, 1846–1861. [Google Scholar] [CrossRef]
- The Seventh Census of Qinghai Province. Qinghai Provincial Government. 2022. Available online: https://tjj.qinghai.gov.cn/tjData/surveyBulletin/202107/t20210701_255463.html (accessed on 25 July 2022).
- Qinghai Province 2020 National Economic and Social Development Statistical Bulletin. Qinghai Provincial Government. 2021. Available online: https://fgw.qinghai.gov.cn/sjfb/sjfx/jjxs/202103/t20210302_77082.html (accessed on 1 July 2022).
- Li, T.; Lü, Y.; Fu, B.; Hu, W.; Comber, A.J. Bundling ecosystem services for detecting their interactions driven by large-scale vegetation restoration: Enhanced services while depressed synergies. Ecol. Indic. 2019, 99, 332–342. [Google Scholar] [CrossRef]
- Piao, S.; Cui, M.; Chen, A.; Wang, X.; Ciais, P.; Liu, J.; Tang, Y. Altitude and temperature dependence of change in the spring vegetation green-up date from 1982 to 2006 in the Qinghai-Xizang Plateau. Agric. For. Meteorol. 2011, 151, 1599–1608. [Google Scholar] [CrossRef]
- Gao, J.; Jiao, K.; Wu, S.; Ma, D.; Zhao, D.; Yin, Y.; Dai, E. Past and future effects of climate change on spatially heterogeneous vegetation activity in China. Earth’s Future 2017, 5, 679–692. [Google Scholar] [CrossRef]
- Song, M. From Geographic Highland to Industrial “Highland”. Qinghai Dly. 2022, 8, 9. [Google Scholar]








| Ecosystem Classification | Provisioning Services | Regulating Services | Habitat Services | Cultural and Amenity Services | |||||||
|---|---|---|---|---|---|---|---|---|---|---|---|
| FP | MP | WP | AR | CR | WT | WR | EP | SM | HS | CaS | |
| Farmland | 134.99 | 63.52 | 3.18 | 106.4 | 57.17 | 15.88 | 42.88 | 163.58 | 19.06 | 20.65 | 9.53 |
| Forest | 30.17 | 68.29 | 34.94 | 223.93 | 671.78 | 203.28 | 532.02 | 273.16 | 20.65 | 249.34 | 109.58 |
| Grassland | 34.94 | 52.41 | 28.59 | 181.05 | 479.62 | 158.81 | 350.98 | 220.75 | 17.47 | 201.69 | 88.94 |
| Water | 127.05 | 36.53 | 1316.56 | 122.29 | 363.68 | 881.41 | 16,237.07 | 147.7 | 11.12 | 404.97 | 300.16 |
| Barren land | 1.59 | 4.76 | 3.18 | 17.47 | 15.88 | 49.23 | 33.35 | 20.65 | 1.59 | 19.06 | 7.94 |
| Glacier and snow | 0 | 0 | 343.04 | 28.59 | 85.76 | 25.41 | 1132.34 | 0 | 0 | 1.59 | 14.29 |
| Land Use Type | 1980 | 1990 | 2000 | 2010 | 2020 | Proportion | Change Rate 1980–2020 | Change Rate 1980–2000 | Change Rate 2000–2020 |
|---|---|---|---|---|---|---|---|---|---|
| Farmland | 0.79 | 0.8 | 0.82 | 0.86 | 0.86 | 1.18% | 0.24% | 0.25% | 0.22% |
| Forest | 2.87 | 2.87 | 2.87 | 2.86 | 2.85 | 4.11% | −0.02% | −0.0014% | −0.03% |
| Grassland | 37.31 | 37.28 | 37.23 | 39.24 | 39.14 | 54.6% | 0.12% | −0.01% | 0.26% |
| Water | 2.32 | 2.32 | 2.31 | 2.52 | 2.82 | 3.53% | 0.53% | −0.03% | 1.11% |
| Build-up land | 0.09 | 0.09 | 0.1 | 0.16 | 0.16 | 0.18% | 2.22% | 0.91% | 2.98% |
| Barren land | 25.87 | 25.88 | 25.91 | 23.59 | 23.38 | 35.78% | −0.24% | 0.01% | −0.49% |
| Glacier and snow | 0.42 | 0.42 | 0.42 | 0.45 | 0.45 | 0.62% | 0.19% | 0.0001% | 0.37% |
| Elevation | |||||||||||||||||||||||||||||||||||||||||||||||||||||||
|---|---|---|---|---|---|---|---|---|---|---|---|---|---|---|---|---|---|---|---|---|---|---|---|---|---|---|---|---|---|---|---|---|---|---|---|---|---|---|---|---|---|---|---|---|---|---|---|---|---|---|---|---|---|---|---|
| FP | MP | WP | AR | CR | WT | WR | EP | SM | HS | CaS | |||||||||||||||||||||||||||||||||||||||||||||
| FP | |||||||||||||||||||||||||||||||||||||||||||||||||||||||
| MP | |||||||||||||||||||||||||||||||||||||||||||||||||||||||
| WP | |||||||||||||||||||||||||||||||||||||||||||||||||||||||
| AR | |||||||||||||||||||||||||||||||||||||||||||||||||||||||
| CR | |||||||||||||||||||||||||||||||||||||||||||||||||||||||
| WT | |||||||||||||||||||||||||||||||||||||||||||||||||||||||
| WR | |||||||||||||||||||||||||||||||||||||||||||||||||||||||
| EP | |||||||||||||||||||||||||||||||||||||||||||||||||||||||
| SM | |||||||||||||||||||||||||||||||||||||||||||||||||||||||
| HS | |||||||||||||||||||||||||||||||||||||||||||||||||||||||
| CaS | |||||||||||||||||||||||||||||||||||||||||||||||||||||||
| Slope | |||||||||||||||||||||||||||||||||||||||||||||||||||||||
| FP | MP | WP | AR | CR | WT | WR | EP | SM | HS | CaS | |||||||||||||||||||||||||||||||||||||||||||||
| FP | |||||||||||||||||||||||||||||||||||||||||||||||||||||||
| MP | |||||||||||||||||||||||||||||||||||||||||||||||||||||||
| WP | |||||||||||||||||||||||||||||||||||||||||||||||||||||||
| AR | |||||||||||||||||||||||||||||||||||||||||||||||||||||||
| CR | |||||||||||||||||||||||||||||||||||||||||||||||||||||||
| WT | |||||||||||||||||||||||||||||||||||||||||||||||||||||||
| WR | |||||||||||||||||||||||||||||||||||||||||||||||||||||||
| EP | |||||||||||||||||||||||||||||||||||||||||||||||||||||||
| SM | |||||||||||||||||||||||||||||||||||||||||||||||||||||||
| HS | |||||||||||||||||||||||||||||||||||||||||||||||||||||||
| CaS | |||||||||||||||||||||||||||||||||||||||||||||||||||||||
| RDLS | |||||||||||||||||||||||||||||||||||||||||||||||||||||||
| FP | MP | WP | AR | CR | WT | WR | EP | SM | HS | CaS | |||||||||||||||||||||||||||||||||||||||||||||
| FP | |||||||||||||||||||||||||||||||||||||||||||||||||||||||
| MP | |||||||||||||||||||||||||||||||||||||||||||||||||||||||
| WP | |||||||||||||||||||||||||||||||||||||||||||||||||||||||
| AR | |||||||||||||||||||||||||||||||||||||||||||||||||||||||
| CR | |||||||||||||||||||||||||||||||||||||||||||||||||||||||
| WT | |||||||||||||||||||||||||||||||||||||||||||||||||||||||
| WR | |||||||||||||||||||||||||||||||||||||||||||||||||||||||
| EP | |||||||||||||||||||||||||||||||||||||||||||||||||||||||
| SM | |||||||||||||||||||||||||||||||||||||||||||||||||||||||
| HS | |||||||||||||||||||||||||||||||||||||||||||||||||||||||
| CaS | |||||||||||||||||||||||||||||||||||||||||||||||||||||||
| Terrain niche index | |||||||||||||||||||||||||||||||||||||||||||||||||||||||
| FP | MP | WP | AR | CR | WT | WR | EP | SM | HS | CaS | |||||||||||||||||||||||||||||||||||||||||||||
| FP | |||||||||||||||||||||||||||||||||||||||||||||||||||||||
| MP | |||||||||||||||||||||||||||||||||||||||||||||||||||||||
| WP | |||||||||||||||||||||||||||||||||||||||||||||||||||||||
| AR | |||||||||||||||||||||||||||||||||||||||||||||||||||||||
| CR | |||||||||||||||||||||||||||||||||||||||||||||||||||||||
| WT | |||||||||||||||||||||||||||||||||||||||||||||||||||||||
| WR | |||||||||||||||||||||||||||||||||||||||||||||||||||||||
| EP | |||||||||||||||||||||||||||||||||||||||||||||||||||||||
| SM | |||||||||||||||||||||||||||||||||||||||||||||||||||||||
| HS | |||||||||||||||||||||||||||||||||||||||||||||||||||||||
| CaS | |||||||||||||||||||||||||||||||||||||||||||||||||||||||
| Synergistic | 10~50 | trade-off | −10~−50 | ||||||||||||||||||||||||||||||||||||||||||||||||||||
| 0~10 | >50 | 0~−10 | <−50 | ||||||||||||||||||||||||||||||||||||||||||||||||||||
| Type | Elevation | Slope | RDLS | Tni | |
|---|---|---|---|---|---|
| Synergy–trade-off | I–II | 6 | 0 | 45 | 0 |
| II–III | 32 | 56 | 30 | 0 | |
| III–IV | 0 | 0 | 18 | 19 | |
| IV–V | 20 | 6 | 4 | 0 | |
| Total | 58 | 62 | 97 | 19 | |
| trade-off–synergy | I–II | 42 | 20 | 0 | 20 |
| II–III | 4 | 0 | 18 | 0 | |
| III–IV | 48 | 0 | 30 | 0 | |
| IV–V | 0 | 42 | 32 | 0 | |
| Total | 94 | 62 | 80 | 20 |
| Elevation | |||||||||||||||||||||||||||||||||||||||||||||||||||||||
|---|---|---|---|---|---|---|---|---|---|---|---|---|---|---|---|---|---|---|---|---|---|---|---|---|---|---|---|---|---|---|---|---|---|---|---|---|---|---|---|---|---|---|---|---|---|---|---|---|---|---|---|---|---|---|---|
| FP | MP | WP | AR | CR | WT | WR | EP | SM | HS | CaS | |||||||||||||||||||||||||||||||||||||||||||||
| FP | |||||||||||||||||||||||||||||||||||||||||||||||||||||||
| MP | |||||||||||||||||||||||||||||||||||||||||||||||||||||||
| WP | |||||||||||||||||||||||||||||||||||||||||||||||||||||||
| AR | |||||||||||||||||||||||||||||||||||||||||||||||||||||||
| CR | |||||||||||||||||||||||||||||||||||||||||||||||||||||||
| WT | |||||||||||||||||||||||||||||||||||||||||||||||||||||||
| WR | |||||||||||||||||||||||||||||||||||||||||||||||||||||||
| EP | |||||||||||||||||||||||||||||||||||||||||||||||||||||||
| SM | |||||||||||||||||||||||||||||||||||||||||||||||||||||||
| HS | |||||||||||||||||||||||||||||||||||||||||||||||||||||||
| CaS | |||||||||||||||||||||||||||||||||||||||||||||||||||||||
| Slope | |||||||||||||||||||||||||||||||||||||||||||||||||||||||
| FP | MP | WP | AR | CR | WT | WR | EP | SM | HS | CaS | |||||||||||||||||||||||||||||||||||||||||||||
| FP | |||||||||||||||||||||||||||||||||||||||||||||||||||||||
| MP | |||||||||||||||||||||||||||||||||||||||||||||||||||||||
| WP | |||||||||||||||||||||||||||||||||||||||||||||||||||||||
| AR | |||||||||||||||||||||||||||||||||||||||||||||||||||||||
| CR | |||||||||||||||||||||||||||||||||||||||||||||||||||||||
| WT | |||||||||||||||||||||||||||||||||||||||||||||||||||||||
| WR | |||||||||||||||||||||||||||||||||||||||||||||||||||||||
| EP | |||||||||||||||||||||||||||||||||||||||||||||||||||||||
| SM | |||||||||||||||||||||||||||||||||||||||||||||||||||||||
| HS | |||||||||||||||||||||||||||||||||||||||||||||||||||||||
| CaS | |||||||||||||||||||||||||||||||||||||||||||||||||||||||
| RDLS | |||||||||||||||||||||||||||||||||||||||||||||||||||||||
| FP | MP | WP | AR | CR | WT | WR | EP | SM | HS | CaS | |||||||||||||||||||||||||||||||||||||||||||||
| FP | |||||||||||||||||||||||||||||||||||||||||||||||||||||||
| MP | |||||||||||||||||||||||||||||||||||||||||||||||||||||||
| WP | |||||||||||||||||||||||||||||||||||||||||||||||||||||||
| AR | |||||||||||||||||||||||||||||||||||||||||||||||||||||||
| CR | |||||||||||||||||||||||||||||||||||||||||||||||||||||||
| WT | |||||||||||||||||||||||||||||||||||||||||||||||||||||||
| WR | |||||||||||||||||||||||||||||||||||||||||||||||||||||||
| EP | |||||||||||||||||||||||||||||||||||||||||||||||||||||||
| SM | |||||||||||||||||||||||||||||||||||||||||||||||||||||||
| HS | |||||||||||||||||||||||||||||||||||||||||||||||||||||||
| CaS | |||||||||||||||||||||||||||||||||||||||||||||||||||||||
| Terrain niche index | |||||||||||||||||||||||||||||||||||||||||||||||||||||||
| FP | MP | WP | AR | CR | WT | WR | EP | SM | HS | CaS | |||||||||||||||||||||||||||||||||||||||||||||
| FP | |||||||||||||||||||||||||||||||||||||||||||||||||||||||
| MP | |||||||||||||||||||||||||||||||||||||||||||||||||||||||
| WP | |||||||||||||||||||||||||||||||||||||||||||||||||||||||
| AR | |||||||||||||||||||||||||||||||||||||||||||||||||||||||
| CR | |||||||||||||||||||||||||||||||||||||||||||||||||||||||
| WT | |||||||||||||||||||||||||||||||||||||||||||||||||||||||
| WR | |||||||||||||||||||||||||||||||||||||||||||||||||||||||
| EP | |||||||||||||||||||||||||||||||||||||||||||||||||||||||
| SM | |||||||||||||||||||||||||||||||||||||||||||||||||||||||
| HS | |||||||||||||||||||||||||||||||||||||||||||||||||||||||
| CaS | |||||||||||||||||||||||||||||||||||||||||||||||||||||||
| Synergistic | 10~50 | trade-off | −10~−50 | ||||||||||||||||||||||||||||||||||||||||||||||||||||
| 0~10 | >50 | 0~−10 | <−50 | ||||||||||||||||||||||||||||||||||||||||||||||||||||
| I–II | II–III | III–IV | IV–V | I–II | II–III | III–IV | IV–V | ||||||
|---|---|---|---|---|---|---|---|---|---|---|---|---|---|
| Elevation | ➕ | 0–2 | 53 | 48 | 55 | 28 | RDLS | ➕ | 0–2 | 49 | 53 | 55 | 42 |
| ➕ | 2–10 | 2 | 7 | 0 | 15 | ➕ | 2–10 | 6 | 0 | 0 | 9 | ||
| ➕ | >10 | 0 | 0 | 0 | 12 | ➕ | >10 | 0 | 0 | 0 | 3 | ||
| ➖ | 0–2 | 19 | 42 | 49 | 49 | ➖ | 0–2 | 26 | 51 | 53 | 54 | ||
| ➖ | 2–10 | 18 | 6 | 5 | 6 | ➖ | 2–10 | 14 | 5 | 2 | 2 | ||
| ➖ | >10 | 18 | 7 | 1 | 0 | ➖ | >10 | 15 | 1 | 0 | 0 | ||
| I–II | II–III | III–IV | IV–V | I–II | II–III | III–IV | IV–V | ||||||
| Slope | ➕ | 0–2 | 44 | 44 | 48 | 47 | Terrain niche index | ➕ | 0–2 | 51 | 52 | 53 | 48 |
| ➕ | 2–10 | 11 | 11 | 5 | 7 | ➕ | 2–10 | 4 | 3 | 1 | 5 | ||
| ➕ | >10 | 0 | 0 | 1 | 0 | ➕ | >10 | 0 | 0 | 0 | 1 | ||
| ➖ | 0–2 | 28 | 44 | 55 | 55 | ➖ | 0–2 | 22 | 36 | 48 | 53 | ||
| ➖ | 2–10 | 13 | 9 | 1 | 1 | ➖ | 2–10 | 14 | 7 | 5 | 3 | ||
| ➖ | >10 | 14 | 2 | 0 | 0 | ➖ | >10 | 19 | 12 | 3 | 0 | ||
| Terrain Gradient | Farmland | Forest | Grassland | Water | Build-Up Land | Barren Land | Glacier and Snow | |
|---|---|---|---|---|---|---|---|---|
| Elevation | I | −0.35% | −0.95% | −1.05% | 114.63% | 82.53% | −3.82% | 0 |
| II | 36.11% | −0.64% | 2.06% | 6.84% | 76.77% | −5.3% | 0 | |
| III | 11.68% | −0.54% | 6.44% | 12.83% | 198.54% | −12.54% | −72.36% | |
| IV | 7.38% | −0.8% | 9.11% | 13.68% | 87.97% | −20.11% | 46.24% | |
| V | 0 | 0.16% | 1.15% | 12.36% | 9119.23% | −4.49% | 6.55% | |
| Slope | I | 32.92% | −2.23% | 0.81% | 26.05% | 167.64% | −6.3% | 3.09% |
| II | 5.71% | −3.03% | 7.46% | 12.25% | 72.17% | −13.07% | −0.12% | |
| III | −0.3% | −1.33% | 7.21% | 7.45% | 32.86% | −14.71% | 2.02% | |
| IV | 0.23% | −0.39% | 3.96% | 16.6% | 31.85% | −8.33% | 5% | |
| V | 1.44% | 0.02% | 2.79% | 6.01% | 15.78% | −5.25% | 26.36% | |
| RDLS | I | 37.06% | −2.22% | 0.98% | 25.57% | 173.43% | −5.78% | 4.19% |
| II | 3.76% | −3.12% | 8.04% | 11.03% | 68.62% | −15.95% | −3.53% | |
| III | 1.69% | −0.8% | 5.84% | 15.4% | 51.61% | −12.81% | −2.15% | |
| IV | 2.13% | −0.1% | 3.77% | 11.68% | 21.25% | 7.54% | 5.21% | |
| V | −0.08% | −0.24% | 3.63% | 17.97% | 14.07% | −5.81% | 25.67% | |
| Terrain niche index | I | 26.84% | −2.27% | −4.10% | 28.35% | 136.12% | −4.18% | 0 |
| II | 6% | −2.92% | 4.90% | 23.03% | 68.56% | −9.04% | −18.5% | |
| III | 0.49% | −1.91% | 8.05% | 9.2% | 41.50% | −16.78% | 0.98% | |
| IV | 1.75% | −0.35% | 6.32% | 6.25% | 57.76% | −13.87% | 2.83% | |
| V | 5.28% | −0.14% | 2.49% | 8.11% | 24.60% | −4.99% | 8.94% | |
Publisher’s Note: MDPI stays neutral with regard to jurisdictional claims in published maps and institutional affiliations. |
© 2022 by the authors. Licensee MDPI, Basel, Switzerland. This article is an open access article distributed under the terms and conditions of the Creative Commons Attribution (CC BY) license (https://creativecommons.org/licenses/by/4.0/).
Share and Cite
Ma, X.; Zhang, H. Variations in the Value and Trade-Offs/Synergies of Ecosystem Services on Topographic Gradients in Qinghai Province, China. Sustainability 2022, 14, 15546. https://doi.org/10.3390/su142315546
Ma X, Zhang H. Variations in the Value and Trade-Offs/Synergies of Ecosystem Services on Topographic Gradients in Qinghai Province, China. Sustainability. 2022; 14(23):15546. https://doi.org/10.3390/su142315546
Chicago/Turabian StyleMa, Xiaofan, and Haifeng Zhang. 2022. "Variations in the Value and Trade-Offs/Synergies of Ecosystem Services on Topographic Gradients in Qinghai Province, China" Sustainability 14, no. 23: 15546. https://doi.org/10.3390/su142315546
APA StyleMa, X., & Zhang, H. (2022). Variations in the Value and Trade-Offs/Synergies of Ecosystem Services on Topographic Gradients in Qinghai Province, China. Sustainability, 14(23), 15546. https://doi.org/10.3390/su142315546

