Exploring Key Components of Municipal Solid Waste in Prediction of Moisture Content in Different Functional Areas Using Artificial Neural Network
Abstract
1. Introduction
2. Materials and Methods
2.1. Data Collection and Preprocessing
2.2. Modeling
2.2.1. Artificial Neural Network
2.2.2. Model Optimization
2.2.3. Evaluation
2.3. Data Analysis
2.3.1. Key Components of Functional Areas
2.3.2. Uncertainty Analysis
3. Results and Discussion
3.1. Datasets Analysis
3.1.1. Data in Different Functional Areas
3.1.2. Outlier Detection and Processing
3.2. Development of ANN Models
3.2.1. Input Parameters
3.2.2. Performance of ANN Model
3.2.3. Uncertainty
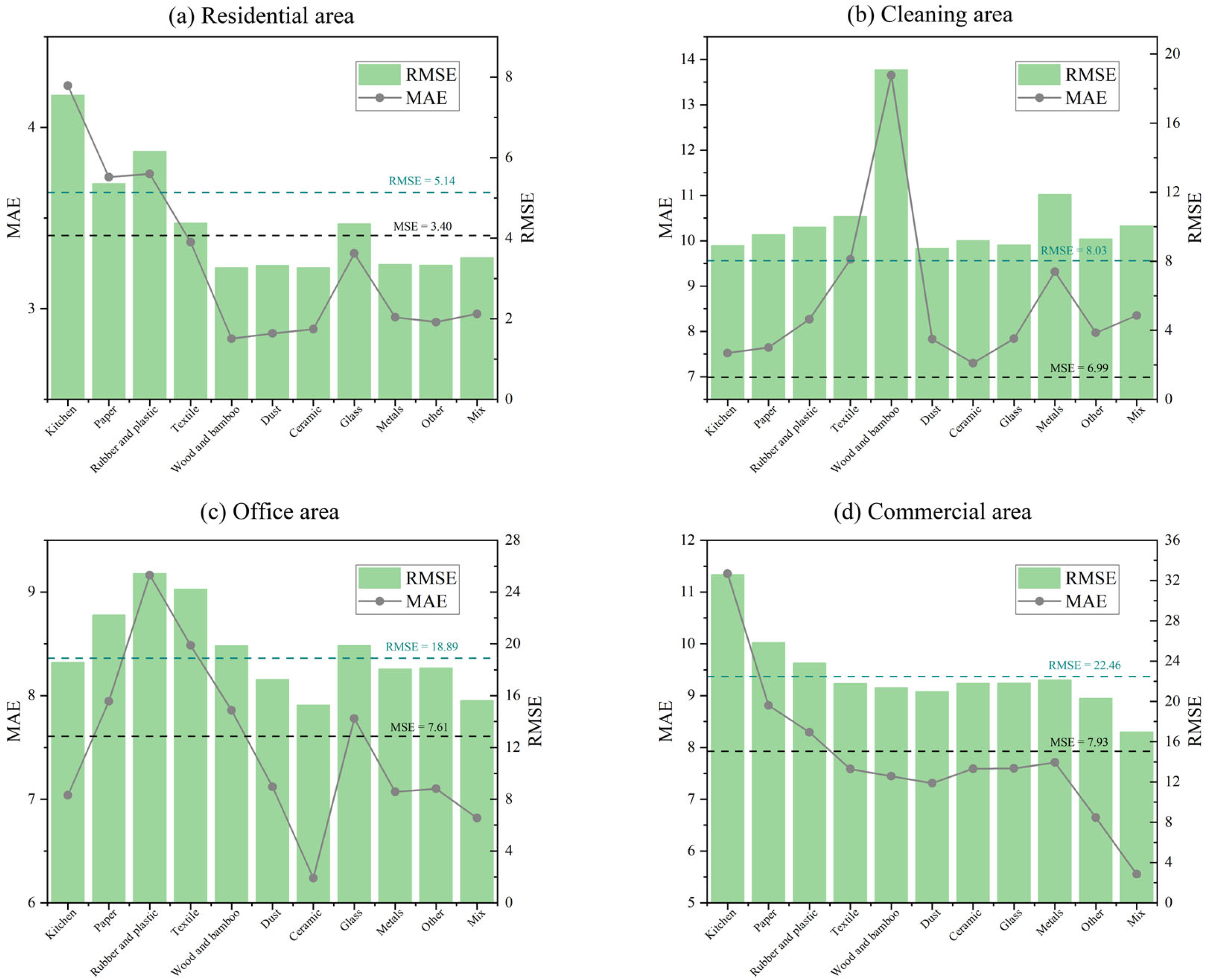
3.3. Key Components of Functional Areas
4. Conclusions
Author Contributions
Funding
Data Availability Statement
Conflicts of Interest
Abbreviations
| MSW | municipal solid waste |
| ANN | artificial neural network |
| IQR | inter quartile range |
| IF | isolation forest |
| MAE | mean absolute error |
References
- Xue, B.; Geng, Y.; Ren, W.X.; Zhang, Z.L.; Zhang, W.W.; Lu, C.Y.; Chen, X.P. An overview of municipal solid waste management in Inner Mongolia Autonomous Region, China. J. Mater. Cycles Waste Manag. 2011, 13, 283–292. [Google Scholar] [CrossRef]
- Marousek, J. Economically oriented process optimization in waste management. Environ. Sci. Pollut. Res. Int. 2014, 21, 7400–7402. [Google Scholar] [CrossRef] [PubMed]
- Sha’Ato, R.; Aboho, S.Y.; Oketunde, F.O.; Eneji, I.S.; Unazi, G.; Agwa, S. Survey of solid waste generation and composition in a rapidly growing urban area in Central Nigeria. Waste Manag. 2007, 27, 352–358. [Google Scholar] [CrossRef] [PubMed]
- Ibikunle, R.A.; Lukman, A.F.; Titiladunayo, I.F.; Haadi, A.-R.; Pham, D.T. Modeling energy content of municipal solid waste based on proximate analysis: R-k class estimator approach. Cogent Eng. 2022, 9, 2046243. [Google Scholar] [CrossRef]
- Shi, H.H.; Mahinpey, N.; Aqsha, A.; Silbermann, R. Characterization, thermochemical conversion studies, and heating value modeling of municipal solid waste. Waste Manag. 2016, 48, 34–47. [Google Scholar] [CrossRef] [PubMed]
- Tumuluru, J.S.; Yancey, N.A.; Kane, J.J. Pilot-scale grinding and briquetting studies on variable moisture content municipal solid waste bales—Impact on physical properties, chemical composition, and calorific value. Waste Manag. 2021, 125, 316–327. [Google Scholar] [CrossRef]
- Ding, C.X.; Yan, A.J. Fault Detection in the MSW Incineration Process Using Stochastic Configuration Networks and Case-Based Reasoning. Sensors 2021, 21, 7356. [Google Scholar] [CrossRef]
- Wang, D.; Tang, Y.T.; He, J.; Yang, F.; Robinson, D. Generalized models to predict the lower heating value (LHV) of municipal solid waste (MSW). Energy 2021, 216, 119279. [Google Scholar] [CrossRef]
- Shu, H.-Y.; Lu, H.-C.; Fan, H.-J.; Chang, M.-C.; Chen, J.-C. Prediction for energy content of Taiwan municipal solid waste using multilayer perceptron neural networks. J. Air Waste Manag. Assoc. 2006, 56, 852–858. [Google Scholar] [CrossRef]
- Mushtaq, J.; Dar, A.Q.; Ahsan, N. Physio-chemical characterization of municipal solid waste and its management in high-altitude urban areas of North-Western Himalayas. Waste Dispos. Sustain. Energy 2020, 2, 151–160. [Google Scholar] [CrossRef]
- Mushtaq, J.; Dar, A.Q.; Ahsan, N. Spatial–temporal variations and forecasting analysis of municipal solid waste in the mountainous city of north-western Himalayas. SN Appl. Sci. 2020, 2, 1161. [Google Scholar] [CrossRef]
- Chang, Y.F.; Lin, C.J.; Chyan, J.M.; Chen, I.M.; Chang, J.E. Multiple regression models for the lower heating value of municipal solid waste in Taiwan. J. Environ. Manag. 2007, 85, 891–899. [Google Scholar] [CrossRef]
- Drudi, K.C.R.; Drudi, R.; Martins, G.; Antonio, G.C.; Leite, J.T.C. Statistical model for heating value of municipal solid waste in Brazil based on gravimetric composition. Waste Manag. 2019, 87, 782–790. [Google Scholar] [CrossRef] [PubMed]
- Ni, L.J.; Zhang, G.L.; Ruan, X.L.; Zhao, W.J.; Zhou, L.X. The flux and pollution character of dust-fall in different functional zones of Nanjing. China Environ. Sci. 2007, 27, 2–6. [Google Scholar]
- Pan, W.; He, Q.; Li, G.; Ai, H.; Liu, L. Study on characteristics of sewer sediments in a mountainous city. China Environ. Sci. 2014, 34, 1485–1490. [Google Scholar]
- Sekhavatjou, M.S.; Alhashemi, A.H.; Rostami, A. Comparison of Trace Element Concentrations in Ambient Air of Industrial and Residential Areas in Tehran City. Biol. Trace Elem. Res. 2011, 143, 1413–1423. [Google Scholar] [CrossRef]
- Chen, H.; Gong, C.; Li, W. Characteristic and Evaluation of Soil Pollution by Heavy Metalin Different Functional Zones of Guangzhou. J. Environ. Health 2010, 27, 700–703. [Google Scholar]
- Liu, Y.-N.; Zhu, S.-F.; Wei, X.-F.; Miao, J.; Zhou, M.; Guan, F.-J. Assessment and Pollution Characteristics of Heavy Metals in Soil of Different Functional Areas in Luoyang. Huan Jing Ke Xue Huanjing Kexue 2016, 37, 2322–2328. [Google Scholar] [CrossRef]
- Ni, J.; Chen, W.; Yang, H.; Wei, R.; Yang, Y. Concentrations and sources of soil PAHs in various functional zones of Fuzhou City. China Environ. Sci. 2012, 32, 921–926. [Google Scholar]
- Shirokikh, I.G.; Solov’eva, E.S.; Ashikhmina, T.Y. Actinomycete complexes in soils of industrial and residential zones in the city of Kirov. Eurasian Soil Sci. 2014, 47, 89–95. [Google Scholar] [CrossRef]
- Ullah, S.; Bibi, S.D.; Ali, S.; Noman, M.; Rukh, G.; Nafees, M.A.; Bibi, H.; Ali, S.; Qiao, X.C.; Khan, S.; et al. Analysis of municipal solid waste management in afghanistan, current and future prospects: A case study of kabul city. Appl. Ecol. Environ. Res. 2022, 20, 2485–2507. [Google Scholar] [CrossRef]
- Kumar, U.A. Comparison of neural networks and regression analysis: A new insight. Expert Syst. Appl. 2005, 29, 424–430. [Google Scholar] [CrossRef]
- Soni, U.; Roy, A.; Verma, A.; Jain, V. Forecasting municipal solid waste generation using artificial intelligence models—A case study in India. SN Appl. Sci. 2019, 1, 162. [Google Scholar] [CrossRef]
- Kumar, A.; Samadder, S.R.; Kumar, N.; Singh, C. Estimation of the generation rate of different types of plastic wastes and possible revenue recovery from informal recycling. Waste Manag. 2018, 79, 781–790. [Google Scholar] [CrossRef] [PubMed]
- Golbaz, S.; Nabizadeh, R.; Sajadi, H.S. Comparative study of predicting hospital solid waste generation using multiple linear regression and artificial intelligence. J. Environ. Health Sci. Eng. 2019, 17, 41–51. [Google Scholar] [CrossRef] [PubMed]
- Ye, G.; Luo, H.; Ren, Z.; Ahmad, M.S.; Liu, C.-G.; Tawab, A.; Al-Ghafari, A.B.; Omar, U.; Gull, M.; Mehmood, M.A. Evaluating the bioenergy potential of Chinese Liquor-industry waste through pyrolysis, thermogravimetric, kinetics and evolved gas analyses. Energy Convers. Manag. 2018, 163, 13–21. [Google Scholar] [CrossRef]
- Ma, S.; Zhou, C.; Chi, C.; Liu, Y.; Yang, G. Estimating Physical Composition of Municipal Solid Waste in China by Applying Artificial Neural Network Method. Environ. Sci. Technol. 2020, 54, 9609–9617. [Google Scholar] [CrossRef]
- Wu, F.; Niu, D.; Dai, S.; Wu, B. New insights into regional differences of the predictions of municipal solid waste generation rates using artificial neural networks. Waste Manag. 2020, 107, 182–190. [Google Scholar] [CrossRef]
- Adamovic, V.M.; Antanasijevic, D.Z.; Cosovic, A.R.; Ristic, M.D.; Pocajt, V.V. An artificial neural network approach for the estimation of the primary production of energy from municipal solid waste and its application to the Balkan countries. Waste Manag. 2018, 78, 955–968. [Google Scholar] [CrossRef]
- Dong, C.Q.; Jin, B.S.; Li, D.J. Predicting the heating value of MSW with a feed forward neural network. Waste Manag. 2003, 23, 103–106. [Google Scholar] [CrossRef]
- Lin, C.-J.; Chyan, J.-M.; Chen, I.M.; Wang, Y.-T. Swift model for a lower heating value prediction based on wet-based physical components of municipal solid waste. Waste Manag. 2013, 33, 268–276. [Google Scholar] [CrossRef] [PubMed]
- Zhao, Y.C.; Stucki, S.; Ludwig, C.; Wochele, J. Impact of moisture on volatility of heavy metals in municipal solid waste incinerated in a laboratory scale simulated incinerator. Waste Manag. 2004, 24, 581–587. [Google Scholar] [CrossRef]
- Suksankraisorn, K.; Patumsawad, S.; Fungtammasan, B. Co-firing of Thai lignite and municipal solid waste (MSW) in a fluidised bed: Effect of MSW moisture content. Appl. Therm. Eng. 2010, 30, 2693–2697. [Google Scholar] [CrossRef]
- Meng, A.H.; Li, Q.H.; Jia, J.Y.; Zhang, Y.G. Effect of Moisture on Partitioning of Heavy Metals in Incineration of Municipal Solid Waste. Chin. J. Chem. Eng. 2012, 20, 1008–1015. [Google Scholar] [CrossRef]
- Sebastian, R.M.; Kumar, D.; Alappat, B.J. Easy Estimation of Mixed Municipal Solid Waste Characteristics from Component Analysis. J. Environ. Eng. 2019, 145. [Google Scholar] [CrossRef]
- Wang, G.; Zhang, H.; Wang, D.; Zhang, L.; Sun, W. Physical composition and characteristics analysis of the municipai solid waste (MSW) in Beijing. Environ. Eng. 2018, 36, 132–136. [Google Scholar]
- Bolukbas, A.; Akinci, G. Solid waste composition and the properties of biodegradable fractions in Izmir City, Turkey: An investigation on the influencing factors. J. Environ. Health Sci. Eng. 2018, 16, 299–311. [Google Scholar] [CrossRef] [PubMed]
- Pawara, P.; Okafor, E.; Groefsema, M.; He, S.; Schomaker, L.R.B.; Wiering, M.A. One-vs-One classification for deep neural networks. Pattern Recognit. 2020, 108, 107528. [Google Scholar] [CrossRef]
- Klimo, M.; Lukac, P.; Tarabek, P. Deep Neural Networks Classification via Binary Error-Detecting Output Codes. Appl. Sci. 2021, 11, 3563. [Google Scholar] [CrossRef]
- Liu, F.T.; Ting, K.M.; Zhou, Z.-H. Isolation-Based Anomaly Detection. ACM Trans. Knowl. Discov. Data 2012, 6, 1–39. [Google Scholar] [CrossRef]
- Fallah, B.; Ng, K.T.W.; Vu, H.L.; Torabi, F. Application of a multi-stage neural network approach for time-series landfill gas modeling with missing data imputation. Waste Manag. 2020, 116, 66–78. [Google Scholar] [CrossRef]
- Xu, D.; Wang, Y.; Meng, Y.; Zhang, Z. An Improved Data Anomaly Detection Method Based on Isolation Forest. In Proceedings of the 2017 10th International Symposium on Computational Intelligence and Design (ISCID), Hangzhou, China, 9–10 December 2017; pp. 287–291. [Google Scholar]
- Prechelt, L. Automatic early stopping using cross validation: Quantifying the criteria. Neural Netw. 1998, 11, 761–767. [Google Scholar] [CrossRef]
- Behera, S.K.; Meher, S.K.; Park, H.-S. Artificial neural network model for predicting methane percentage in biogas recovered from a landfill upon injection of liquid organic waste. Clean Technol. Environ. Policy 2015, 17, 443–453. [Google Scholar] [CrossRef]
- Kannangara, M.; Dua, R.; Ahmadi, L.; Bensebaa, F. Modeling and prediction of regional municipal solid waste generation and diversion in Canada using machine learning approaches. Waste Manag. 2018, 74, 3–15. [Google Scholar] [CrossRef] [PubMed]
- Abbasi, M.; Rastgoo, M.N.; Nakisa, B. Monthly and seasonal modeling of municipal waste generation using radial basis function neural network. Environ. Prog. Sustain. Energy 2019, 38, e13033. [Google Scholar] [CrossRef]
- Moghaddamnia, A.; Remesan, R.; Kashani, M.H.; Mohammadi, M.; Han, D.; Piri, J. Comparison of LLR, MLP, Elman, NNARX and ANFIS Models-with a case study in solar radiation estimation. J. Atmos. Sol.-Terr. Phys. 2009, 71, 975–982. [Google Scholar] [CrossRef]
- Coulibaly, P.; Baldwin, C.K. Nonstationary hydrological time series forecasting using nonlinear dynamic methods. J. Hydrol. 2005, 307, 164–174. [Google Scholar] [CrossRef]
- Vu, H.L.; Ng, K.T.W.; Richer, A.; An, C.J. Analysis of input set characteristics and variances on k-fold cross validation for a Recurrent Neural Network model on waste disposal rate estimation. J. Environ. Manag. 2022, 311, 114869. [Google Scholar] [CrossRef]
- Thompson, M.P.; Kambhampati, C. Increasing innate robustness in artificial neural networks using redundancy. Electron. Lett. 1995, 31, 1931–1932. [Google Scholar] [CrossRef]





| Max | Mean | 25% a | 50% b | 75% c | Min | Std | Std/Mean | |
|---|---|---|---|---|---|---|---|---|
| Moisture content | 95.68 | 54.62 | 49.70 | 57.79 | 62.34 | 0.00 | 13.05 | 0.24 |
| Kitchen waste | 84.84 | 57.58 | 49.76 | 60.43 | 68.96 | 0.00 | 14.51 | 0.25 |
| Paper waste | 37.61 | 11.75 | 8.10 | 11.00 | 14.47 | 0.99 | 5.24 | 0.45 |
| Rubber and plastic waste | 44.82 | 17.86 | 13.86 | 17.20 | 21.00 | 4.93 | 5.45 | 0.31 |
| Textile waste | 60.76 | 2.22 | 0.80 | 1.64 | 2.58 | 0.00 | 4.06 | 1.83 |
| Wood and bamboo waste | 93.67 | 6.23 | 0.45 | 0.90 | 2.62 | 0.00 | 14.23 | 2.29 |
| Dust waste | 6.61 | 0.04 | 0.00 | 0.00 | 0.00 | 0.00 | 0.37 | 9.07 |
| Ceramic waste | 5.68 | 0.30 | 0.00 | 0.09 | 0.37 | 0.00 | 0.61 | 2.01 |
| Glass waste | 12.52 | 2.36 | 1.04 | 2.15 | 3.28 | 0.00 | 1.90 | 0.80 |
| Metals waste | 5.94 | 0.69 | 0.17 | 0.47 | 0.93 | 0.00 | 0.74 | 1.08 |
| Other waste | 8.82 | 0.09 | 0.00 | 0.00 | 0.02 | 0.00 | 0.56 | 6.11 |
| Mix waste | 24.59 | 0.45 | 0.00 | 0.00 | 0.00 | 0.00 | 2.06 | 4.62 |
| Evaluation Indices | Model1 | Model2 | Model3 | Model4 | Model5 | Model6 | Model7 | Model8 |
|---|---|---|---|---|---|---|---|---|
| R2 | 0.74 | 0.73 | 0.725 | 0.72 | 0.715 | 0.71 | 0.705 | 0.7 |
| MAE | 2.95 | 3.08 | 3.025 | 3.035 | 3.12 | 3.095 | 3.1 | 3.2 |
| RMSE | 3.895 | 3.98 | 4.02 | 4.05 | 4.06 | 4.115 | 4.145 | 4.15 |
| Fold1 | Fold2 | Fold3 | Fold4 | Fold5 | Fold6 | Fold7 | Fold8 | |
|---|---|---|---|---|---|---|---|---|
| R2 | 0.883 | 0.749 | 0.529 | 0.536 | 0.719 | 0.713 | 0.764 | 0.744 |
| MAE | 2.725 | 3.370 | 4.283 | 3.808 | 3.544 | 2.765 | 3.135 | 3.157 |
| RMSE | 3.360 | 4.124 | 5.755 | 4.851 | 4.497 | 3.450 | 4.057 | 4.024 |
Publisher’s Note: MDPI stays neutral with regard to jurisdictional claims in published maps and institutional affiliations. |
© 2022 by the authors. Licensee MDPI, Basel, Switzerland. This article is an open access article distributed under the terms and conditions of the Creative Commons Attribution (CC BY) license (https://creativecommons.org/licenses/by/4.0/).
Share and Cite
He, T.; Niu, D.; Chen, G.; Wu, F.; Chen, Y. Exploring Key Components of Municipal Solid Waste in Prediction of Moisture Content in Different Functional Areas Using Artificial Neural Network. Sustainability 2022, 14, 15544. https://doi.org/10.3390/su142315544
He T, Niu D, Chen G, Wu F, Chen Y. Exploring Key Components of Municipal Solid Waste in Prediction of Moisture Content in Different Functional Areas Using Artificial Neural Network. Sustainability. 2022; 14(23):15544. https://doi.org/10.3390/su142315544
Chicago/Turabian StyleHe, Tuo, Dongjie Niu, Gan Chen, Fan Wu, and Yu Chen. 2022. "Exploring Key Components of Municipal Solid Waste in Prediction of Moisture Content in Different Functional Areas Using Artificial Neural Network" Sustainability 14, no. 23: 15544. https://doi.org/10.3390/su142315544
APA StyleHe, T., Niu, D., Chen, G., Wu, F., & Chen, Y. (2022). Exploring Key Components of Municipal Solid Waste in Prediction of Moisture Content in Different Functional Areas Using Artificial Neural Network. Sustainability, 14(23), 15544. https://doi.org/10.3390/su142315544
