Evolutionary Game Analysis on Sharing Bicycles and Metro Strategies: Impact of Phasing out Subsidies for Bicycle–Metro Integration Model
Abstract
1. Introduction
2. Problem Statement
2.1. Problem Description
- (1)
- MC
- (2)
- BSC
- (3)
- CT
2.2. Influencing Factors
- (1)
- Connection passenger flow of sharing bicycles
- (2)
- Cost
- (3)
- Subsidy
- (4)
- Reward and punishment
3. Model Hypothesis and Construction
- (1)
- The participants in the evolutionary game model are BSC, MC, and CT, and the participants are bounded rationally.
- (2)
- The goal of each participant is to achieve maximum benefits. All the participants make decisions by comparing their benefits with others, and they constantly adjust their strategies to achieve eventual equilibrium.
- (3)
- Each participant has two strategies, choosing or not choosing the bicycle–metro integration, which is shown in Table 1. The possibility of BSC choosing the integrated cooperation is x (x ∈ [0,1]), and the possibility of BSC not choosing integrated cooperation is 1 − x. The possibility of MC choosing integrated cooperation is y (y ∈ [0,1]), and the possibility of MC not choosing integrated cooperation is 1 − y. For CT, the probability of choosing integrated cooperation is z (z∈ [0,1]), and the probability of CT not choosing integrated cooperation is 1 − z.
- (4)
- The cooperation between BSC and MC can reduce the cost of the integrated travel mode of sharing bicycles and the metro, and it can increase the number of sharing bicycles and metro travelers. If the integration benefit of BSC or MC is greater than the integration costs, it is profitable for each stakeholder, and the integration model of sharing bicycles and the metro is effective.
| Player | Expression of Strategies | Strategies |
|---|---|---|
| BSC | Cooperating with MC | |
| Not cooperating with MC | ||
| MC | Cooperating with BSC | |
| Not cooperating with BSC | ||
| CT | Choosing the sharing bicycle–metro integration mode | |
| Not choosing the sharing bicycle–metro integration mode |
- (1)
- Based on the existing built environment and user demand, is the daily feeder passenger flow of sharing bicycles on the metro station, and is the potential passenger flow of the integrated feeder caused by the shared bicycle–metro integration.
- (2)
- , , and are the surge proportions with different integration cooperation plans. In the case that both BSC and MC choose integrated cooperation, the surge proportion of connecting passenger flow is . When BSC chooses integration while MC does not, the surge proportion of connecting passenger flow is . When MC chooses integration while BSC does not, the surge proportion of connecting passenger flow is (, , ∈ [0,1]).
- (3)
- is the cost when BSC chooses the integration cooperation, including the supervision of CT to park according to the rules and construction of the integrated infrastructure. is the cost when MC chooses the integration, including the supervision of CT to park according to the rules and the construction of the integrated infrastructure.
- (4)
- For the player who chooses integrated cooperation, the subsidy unit will give a certain subsidy fund to motivate the player to choose the integrated mode. is the subsidy fund given to BSC when it chooses integrated cooperation; is the subsidy fund given to MC when it chooses integrated cooperation; is the subsidy fund given to CT when it chooses integrated cooperation.
- (5)
- Set rewards and punishments for the parking behavior of CT, M is the punishment unit price for irregular parking behavior, and Q is the reward unit price for regular parking behavior.
- (6)
- and are the proportions of irregular and regular parking in the connection flow of bicycle sharing, respectively, and .
- (7)
- is the proportion of the distribution of punishment given between BSC and MC. Connecting travelers who park irregularly will be punished. times the fine is attributed to BSC, times the fine is attributed to MC. is the proportion of the distribution of reward given between BSC and MC. Connecting travelers who park regularly will obtain the reward, BSC pays the k2 proportion of the prize, and the other part is paid by MC.
- (8)
- is the unit price of sharing bicycle trips without choosing integration, generally taken as 2 RMB/person. is the unit price of the metro without choosing integration, generally taken as 4 RMB/person.
4. Evolutionary Stable Strategy
4.1. Stable State Analysis
- (1)
- When the three participants reach the equilibrium point , it means that the benefit of BSC and MC choosing integrated cooperation is greater than the total cost, and the cost of CT choosing the integrated mode is less than the cost of not choosing integrated. Since , , , equilibrium points and , , cannot reach a steady state at the same time.
- (2)
- When the three participants reach the equilibrium point , it means that the benefit of BSC and MC choosing integrated cooperation is less than the total cost, and the cost of CT choosing the integrated mode is greater than the cost of not choosing integrated. Since , , , equilibrium points , , and cannot reach a steady state at the same time.
- (3)
- When the three participants reach the equilibrium point , it means that the benefit of BSC and MC choosing integrated cooperation is less than the total cost, and the travel cost of CT choosing the integrated mode is less than the cost of not choosing integrated. Since , , equilibrium points , and cannot reach a steady state at the same time.
- (4)
- When the three participants reach the equilibrium point , it means that the benefit of BSC choosing integrated cooperation is less than the total cost. The benefit of MC choosing integrated cooperation is greater than the total cost, and the travel cost of CT choosing the integrated mode is greater than the cost of not choosing integrated. Since , , equilibrium points , and cannot reach a steady state at the same time.
- (5)
- When the three participants reach the equilibrium point , it means that the benefit of BSC choosing integrated cooperation is greater than the total cost. The benefit of MC choosing integrated cooperation is less than the total cost, and the travel cost of CT choosing the integrated mode is greater than the cost of not choosing integrated travel. Since , , equilibrium points , and cannot reach a steady state at the same time.
- (6)
- When the three participants reach the equilibrium point , it means that the benefit of BSC choosing integrated cooperation is greater than the total cost. The benefit of MC choosing integrated cooperation is greater than the total cost, and the travel cost of CT choosing the integrated mode is greater than the cost of not choosing the integrated mode.
- (7)
- When the three participants reach the equilibrium point , it means that the benefit of BSC choosing integrated cooperation is greater than the total cost. The benefit of MC choosing integrated cooperation is less than the total cost, and the travel cost of CT choosing the integrated mode is less than the cost of not choosing the integrated mode.
- (8)
- When the three participants reach the equilibrium point , it means that the benefit of BSC choosing integrated cooperation is less than the total cost. The benefit of MC choosing integrated cooperation is greater than the total cost, and the travel cost of CT choosing the integrated mode is less than that of not choosing the integrated mode.
4.2. Solving of Stable Point
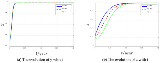
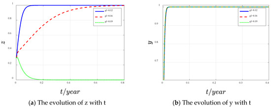
4.3. Active Regulation Effect Based on Policy Factors
5. Conclusions
Author Contributions
Funding
Conflicts of Interest
References
- Sun, G.; Zacharias, J. Can bicycle relieve overcrowded metro? Managing short-distance travel in Beijing. Sustain. Cities Soc. 2017, 35, 323–330. [Google Scholar] [CrossRef]
- Lin, D.; Zhang, Y.; Zhu, R.; Meng, L. The analysis of catchment areas of metro stations using trajectory data generated by dockless shared bikes. Sustain. Cities Soc. 2019, 49, 101598. [Google Scholar] [CrossRef]
- Fishman, E.; Washington, S.; Haworth, N.; Mazzei, A. Barriers to bikesharing: An analysis from Melbourne and Brisbane. J. Transp. Geogr. 2014, 41, 325–337. [Google Scholar] [CrossRef]
- Davis, L.S. Rolling along the last mile: Bike-sharing programs blossom nationwide. Planning 2014, 80, 10–16. [Google Scholar]
- Demaio, P. Bike-sharing: Its History, Models of Provision, and Future. J. Public Transport. 2009, 12, 3. [Google Scholar] [CrossRef]
- Fishman, E. Bikeshare: A review of recent literature. Transp. Rev. 2016, 36, 92–113. [Google Scholar] [CrossRef]
- Parkes, S.D.; Marsden, G.; Shaheen, S.A.; Cohen, A.P. Understanding the diffusion of public bikesharing systems: Evidence from Europe and North America. J. Transp. Geogr. 2013, 31, 94–103. [Google Scholar] [CrossRef]
- Shen, Y.; Zhang, X.; Zhao, J. Understanding the usage of dockless bike sharing in Singapore. Int. J. Sustain. Transp. 2018, 12, 686–700. [Google Scholar] [CrossRef]
- Chen, Z.; Lierop, D.V.; Ettema, D. Dockless bike-sharing systems: What are the implications? Transp. Rev. 2020, 40, 333–353. [Google Scholar] [CrossRef]
- Zhang, L.; Zhang, J.; Duan, Z.Y.; Bryde, D. Sustainable bike-sharing systems: Characteristics and commonalities across cases in urban China. J. Clean. Prod. 2015, 97, 124–133. [Google Scholar] [CrossRef]
- Du, Y.; Deng, F.; Liao, F. A model framework for discovering the spatio-temporal usage patterns of public free-floating bike-sharing system. Transp. Res. Part C Emerg. Technol. 2019, 103, 39–55. [Google Scholar] [CrossRef]
- Ma, G.; Zhang, B.; Shang, C.; Shen, Q. Rebalancing Stochastic Demands for Bike-sharing Networks with Multi-scenario Characteristics. Inf. Sci. 2020, 554, 177–197. [Google Scholar] [CrossRef]
- Yang, L.; Zhang, F.; Kwan, M.P.; Wang, K.; Zuo, Z.; Xia, S.; Zhang, Z.; Zhao, X. Space-time demand cube for spatial-temporal coverage optimization model of shared bicycle system: A study using big bike GPS data. J. Transp. Geogr. 2020, 88, 102861. [Google Scholar] [CrossRef]
- Sun, S.H. The spatial spread of dockless bike-sharing programs among Chinese cities. J. Transp. Geogr. 2020, 86, 102782. [Google Scholar]
- Martens, K. The bicycle as a feedering mode: Experiences from three European countries. Transp. Res. Part D Transp. Environ. 2004, 9, 281–294. [Google Scholar] [CrossRef]
- Rietveld, P.; Daniel, V. Determinants of bicycle use: Do municipal policies matter? Transp. Res. Part A Policy Pract. 2004, 38, 531–550. [Google Scholar] [CrossRef]
- Singleton, P.A.; Clifton, K.J. Exploring Synergy in Bicycle and Transit Use. Transp. Res. Rec. J. Transp. Res. Board 2014, 2417, 92–102. [Google Scholar] [CrossRef]
- Guo, Y.; Yang, L.; Lu, Y.; Zhao, R. Dockless bike-sharing as a feeder mode of metro commute? The role of the feeder-related built environment: Analytical framework and empirical evidence. Sustain. Cities Soc. 2020, 65, 102594. [Google Scholar] [CrossRef]
- Guo, Y.; Yang, L.; Huang, W.; Guo, Y. Traffic Safety Perception, Attitude, and Feeder Mode Choice of Metro Commute: Evidence from Shenzhen. Int. J. Environ. Res. Public Health 2020, 17, 9402. [Google Scholar] [CrossRef]
- Keijer, M.J.N.; Rietveld, P. How do people get to the railway station The dutch experience. Transp. Plan. Technol. 2000, 3, 215–235. [Google Scholar] [CrossRef]
- Wang, R.; Liu, C. Bicycle-Transit Integration in the United States, 2001–2009. J. Public Transp. 2013, 3, 95–119. [Google Scholar] [CrossRef]
- Puello, L.L.P.; Geurs, K.T. Modelling observed and unobserved factors in cycling to railway stations: Application to transit-oriented-developments in the Netherlands. Delft Univ. Technol. 2015, 15, 27–50. [Google Scholar]
- Zhou, S.; Ni, Y. Effects of Dockless Bike on Modal Shift in Metro Commuting: A Pilot Study in Shanghai. In Proceedings of the Transportation Research Board 97th Annual Meeting, Washington, DC, USA, 7–11 January 2018. [Google Scholar]
- Martens, K. Promoting bike-and-ride: The Dutch experience. Transp. Res. Part A Policy Pract. 2007, 41, 326–338. [Google Scholar] [CrossRef]
- Ji, Y.; Fan, Y.; Ermagun, A.; Cao, X.; Wang, W.; Das, K. Public bicycle as a feeder mode to rail transit in China: The role of gender, age, income, trip purpose, and bicycle theft experience. Int. J. Sustain. Transp. 2017, 11, 308–317. [Google Scholar] [CrossRef]
- Liu, L.; Sun, L.; Chen, Y.; Ma, X. Optimizing fleet size and scheduling of feeder transit services considering the influence of bike-sharing systems. J. Clean. Prod. 2019, 236, 117550. [Google Scholar] [CrossRef]
- Ricci, M. Bike sharing: A review of evidence on impacts and processes of implementation and operation. Res. Transp. Bus. Manag. 2015, 15, 28–38. [Google Scholar] [CrossRef]
- Purtik, H.; Arenas, D. Embedding Social Innovation: Shaping Societal Norms and Behaviors Throughout the Innovation Process. Bus. Soc. 2019, 58, 963–1002. [Google Scholar] [CrossRef]
- Jia, L.; Xin, L.; Liu, Y. Impact of Different Stakeholders of Bike-Sharing Industry on Users’ Intention of Civilized Use of Bike-Sharing. Sustainability 2018, 10, 1437. [Google Scholar] [CrossRef]
- Sun, Y. Sharing and Riding: How the Dockless Bike Sharing Scheme in China Shapes the City. Urban Sci. 2018, 2, 68. [Google Scholar] [CrossRef]
- Gu, T.; Kim, I.; Currie, G. To be or not to be dockless: Empirical analysis of dockless bikeshare development in China. Transp. Res. Part A Policy Pract. 2019, 119, 122–147. [Google Scholar] [CrossRef]
- Hollander, Y.; Prashker, J. Applicability of non-cooperative game theory in transport systems analysis. Transportation 2006, 33, 481–496. [Google Scholar]
- Sun, L.J.; Gao, Z.Y. An equilibrium model for urban transit assignment based on game theory. Eur. J. Oper. Res. 2007, 181, 305–314. [Google Scholar] [CrossRef]
- Cai, J.; Liang, Y. System Dynamics Modeling for a Public–Private Partnership Program to Promote Bicycle–Metro Integration Based on Evolutionary Game. Transp. Res. Rec. J. Transp. Res. Board 2021, 2675, 689–710. [Google Scholar] [CrossRef]
- Wang, Z.; Zheng, L.; Zhao, T.; Tian, J. Mitigation strategies for overuse of Chinese bikesharing systems based on game theory analyses of three generations worldwide. J. Clean. Prod. 2019, 227, 447–456. [Google Scholar] [CrossRef]
- Beijing Transport Institute. 2013 Beijing Annual Transport Development Report. 2014. Available online: https://www.bjtrc.org.cn/List/index/cid/7.html (accessed on 25 September 2022).
- Feng, X.; Saito, M.; Wang, Q. Reducing average comprehensive travel cost by rationally allocating trips to different travel modes. Transp. Plan. Technol. 2017, 40, 679–688. [Google Scholar] [CrossRef]
- Hauer, J.F.; Trudnowski, D.J.; Rogers, G.; Mittelstadt, B.; Johnson, J. Evolutionary games and population dynamics. IEEE Comput. Appl. Power 1998, 10, 50–54. [Google Scholar] [CrossRef]
- Smith, J.M. Evolution and the Theory of Games; Cambridge University Press: Cambridge, UK, 1988. [Google Scholar]
- Jiang, X.; Ji, Y.; Du, M.; Wei, D. A Study of Driver’s Route Choice Behavior Based on Evolutionary Game Theory. Comput. Intell. Neurosci. 2014, 2014, 47. [Google Scholar] [CrossRef]
- Taylor, P.D.; Jonker, L.B. Evolutionarily Stable Strategies and Game Dynamics. Math. Biosci. 1978, 40, 145–156. [Google Scholar] [CrossRef]
- Shaheen, S.; Guzman, S.; Zhang, H. Bikesharing in Europe, the Americas, and Asia. Transp. Res. Rec. J. Transp. Res. Board 2010, 2143, 159–167. [Google Scholar] [CrossRef]
- Zhao, P.; Li, S. Bicycle-metro integration in a growing city: The determinants of cycling as a transfer mode in metro station areas in Beijing. Transp. Res. Part A Policy Pract. 2017, 99, 46–60. [Google Scholar] [CrossRef]
- Yang, T.; Li, Y.; Zhou, S. System Dynamics Modeling of Dockless Bike-Sharing Program Operations: A Case Study of Mobike in Beijing, China. Sustainability 2019, 11, 1601. [Google Scholar] [CrossRef]










| Parameter | Definitions |
|---|---|
| x | Probability of BSC choosing integration |
| y | Probability of MC choosing integration |
| z | Probability of CT choosing connection integration |
| Inherent connection passenger flow | |
| Potential passenger flow of the integrated connection | |
| , , | Potential passenger flow ratio of BSC and MC (0~1) |
| Integration cost of BSC | |
| Integration cost of MC | |
| Subsidy fund given to BSC | |
| Subsidy fund given to MC | |
| Subsidy fund given to CT | |
| M | Penalty unit price for irregular parking |
| Q | Reward unit price for rules parking |
| , | Proportion of irregular parking and regular parking |
| Penalty ratio between BSC and MC | |
| Reward ratio between BSC and MC | |
| Unit price of sharing bicycles | |
| Unit price of the metro |
| , | , | , | , | |
| , | , | , | ||
| , | , | , | 0, | |
| , | , | , | 0, | |
| Equilibrium Point | Eigenvalue | Stability Condition |
|---|---|---|
| Equilibrium Point | Eigenvalue | Scenario 1 | Scenario 2 | Scenario 3 | |||
|---|---|---|---|---|---|---|---|
| Symbol | Stability | Symbol | Stability | Symbol | Stability | ||
| − | Stable point | − | Non-stable point | +, − | Non-stable point | ||
| − | − | +, − | |||||
| − | + | − | |||||
| + | Saddle point | + | Saddle point | + | Saddle point | ||
| + | + | + | |||||
| +, − | +, − | +, − | |||||
| + | Saddle point | + | Saddle point | +, − | Non-stable point | ||
| + | + | +, − | |||||
| +, − | +, − | +, − | |||||
| + | Non-stable point | + | Non-stable point | +, − | Non-stable point | ||
| − | − | − | |||||
| + | - | + | |||||
| − | Non-stable point | − | Non-stable point | − | Non-stable point | ||
| + | + | +, − | |||||
| + | − | + | |||||
| − | Non-stable point | − | Stable point | +, − | Saddle point | ||
| + | − | +, − | |||||
| + | − | + | |||||
| − | Non-stable point | − | Non-stable point | +, − | Non-stable point | ||
| + | + | +, − | |||||
| − | + | − | |||||
| + | Non-stable point | + | Non-stable point | +, − | Saddle point | ||
| − | − | +, − | |||||
| − | + | + | |||||
| Variables | Initial Value | Variables | Initial Value |
|---|---|---|---|
| (daily ridership) | 1800 | (RMB) | 0.1 |
| (daily ridership) | 500 | (Dmnl) | 0.12 |
| (Dmnl) | 0.9 | (Dmnl) | 0.88 |
| (Dmnl) | 0.8 | (Dmnl) | 0.6 |
| (Dmnl) | 0.2 | (Dmnl) | 0.6 |
| (RMB) | 1700 | (RMB) | 2 |
| (RMB) | 700 | (RMB) | 4 |
| (RMB) | 1900 | ||
| (RMB) | 910 | ||
| (RMB) | 400 | ||
| (RMB) | 0.5 |
Publisher’s Note: MDPI stays neutral with regard to jurisdictional claims in published maps and institutional affiliations. |
© 2022 by the authors. Licensee MDPI, Basel, Switzerland. This article is an open access article distributed under the terms and conditions of the Creative Commons Attribution (CC BY) license (https://creativecommons.org/licenses/by/4.0/).
Share and Cite
Jia, C.; Chen, Y.; Chen, T.; Li, Y.; Lin, L. Evolutionary Game Analysis on Sharing Bicycles and Metro Strategies: Impact of Phasing out Subsidies for Bicycle–Metro Integration Model. Sustainability 2022, 14, 15444. https://doi.org/10.3390/su142215444
Jia C, Chen Y, Chen T, Li Y, Lin L. Evolutionary Game Analysis on Sharing Bicycles and Metro Strategies: Impact of Phasing out Subsidies for Bicycle–Metro Integration Model. Sustainability. 2022; 14(22):15444. https://doi.org/10.3390/su142215444
Chicago/Turabian StyleJia, Cai, Yanyan Chen, Tingzhao Chen, Yanan Li, and Luzhou Lin. 2022. "Evolutionary Game Analysis on Sharing Bicycles and Metro Strategies: Impact of Phasing out Subsidies for Bicycle–Metro Integration Model" Sustainability 14, no. 22: 15444. https://doi.org/10.3390/su142215444
APA StyleJia, C., Chen, Y., Chen, T., Li, Y., & Lin, L. (2022). Evolutionary Game Analysis on Sharing Bicycles and Metro Strategies: Impact of Phasing out Subsidies for Bicycle–Metro Integration Model. Sustainability, 14(22), 15444. https://doi.org/10.3390/su142215444

