Response and Application of Full-Space Numerical Simulation Based on Finite Element Method for Transient Electromagnetic Advanced Detection of Mine Water
Abstract
1. Introduction
2. Method
2.1. Time-Domain Electromagnetic Field Equation
2.2. Time Discretization
2.3. Solving Sparse Equation
2.4. Verification of Algorithm Accuracy
3. Simulation of Water-Containing Bodies in Front of the Tunnel
3.1. Spheres, Cubes, and Cylinders
3.2. Aquifer Faults
4. Factors Affecting the Law of Transient Electromagnetic Response
4.1. Electrical Characteristics
4.2. Distance
4.3. Size
4.4. Projected Area
5. Field Application
5.1. Arrangement
5.2. Detection Results
6. Discussion
- (1)
- After the current is cut off in the third section, the electromagnetic field will peak in the bad geological body and slowly spread to the center of the fault, before continuing to degrade. This is consistent with the law of full-space transient electromagnetic response in the tunnel studied by Li et al. [31], which also provides feasibility for the subsequent exploration of the electromagnetic response law of the TEM. The cause of this phenomena is that the eddy current will start to decay as soon as the current is cut off; because the surrounding rock’s conductivity is so much worse than that of the geological anomaly, the eddy current attenuation rate will be much higher than that of the low resistance body.
- (2)
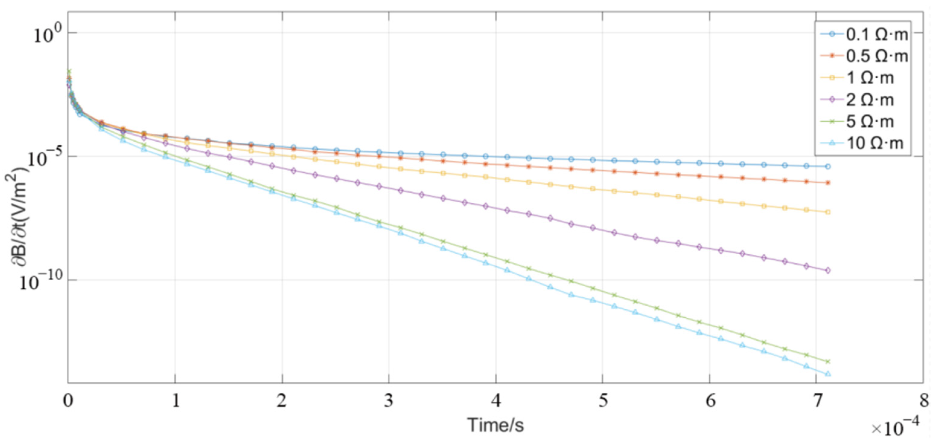
- The results of the different models, given in Section 4.1, indicate that the lower the apparent resistivity of the abnormal object (the higher the water content), the slower the attenuation of its inductive electromagnetic field. The results of Li and others [31] are also consistent with this claim: the higher the water content, the stronger the electromagnetic response signal and the slower the attenuation of the transient response.
- (3)
- The comparison of the forward results in Section 3.1 and the different distance models in Section 4.2 shows that the distance between the abnormal geologic body and the excitation source controls the intensity of the transient electromagnetic field. The strength of the transient electromagnetic field decreases with distance; nevertheless, distance has no effect on the attenuation law of the water-containing body’s transient electromagnetic field.
- (4)
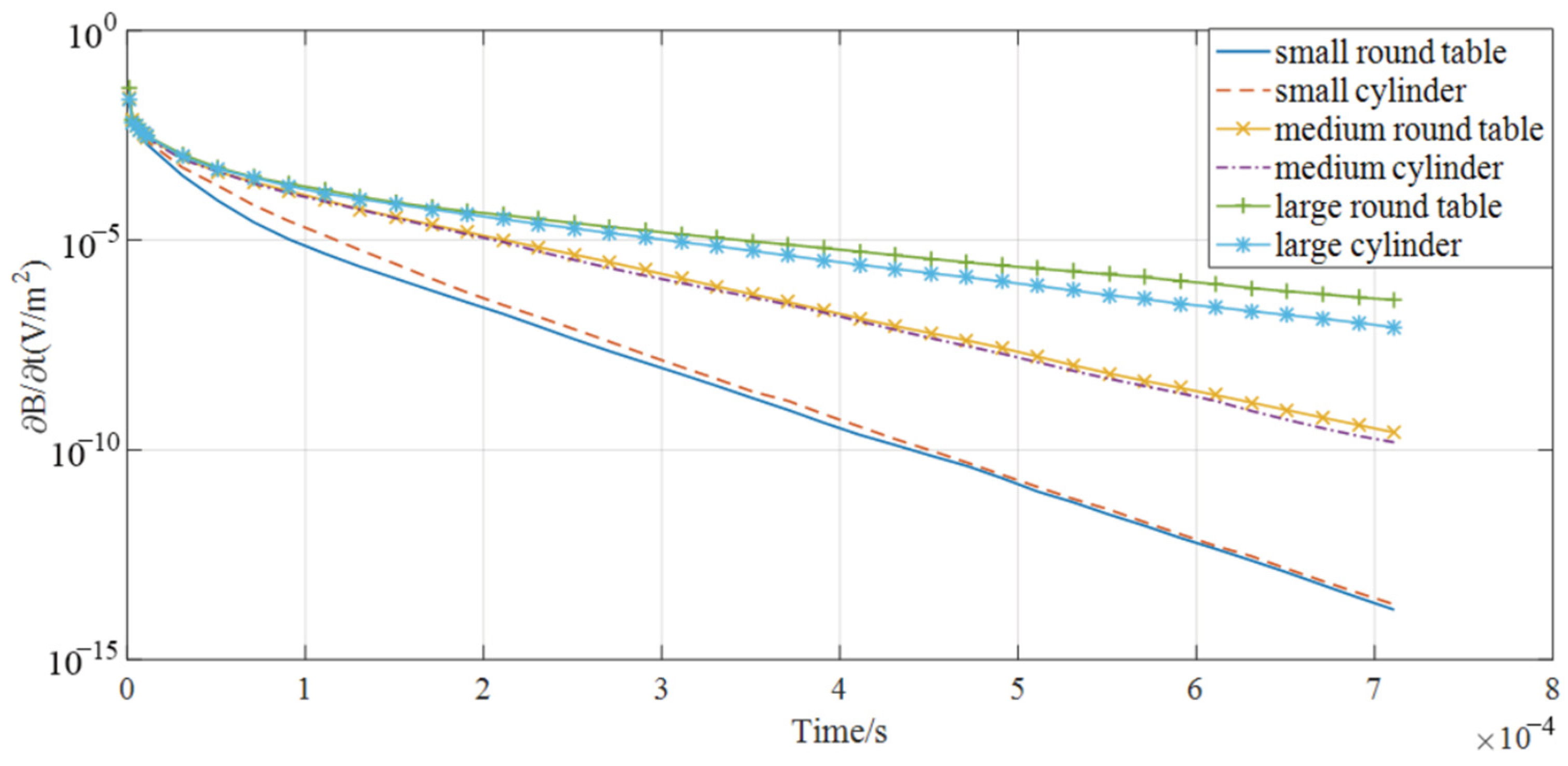
- According to the numerical simulation results in Section 4.3, the magnetic induction intensity is the same in the early stage for each model as the distance between the anomalous body and the transmitting coil is the same. At the later stage, magnetic induction intensity is proportional to volume and is ordered from large to small for the large circular table, large cylinder, circular table, small cylinder, and small circular table.
- (5)
- It is clear from examining the responses in Section 4.4 that the attenuation law of the coil is significantly influenced by the electromagnetic field’s projection area on the coil at a moment. Therefore, the idea of “electromagnetic field projection area” is put forth: the larger the electromagnetic field projection area, the slower the transient electromagnetic field decays at the corresponding moment; on the other hand, the smaller the electromagnetic field projection area, the faster the transient electromagnetic field decays at the corresponding moment. Additionally, it can be observed from the results in Section 4.3 and Section 4.4 that the attenuation rate of the transient electromagnetic response of the anomalous geologic body with a regular shape has remained consistent throughout the attenuation process, as the electromagnetic field projection area reached its maximum value at the time of the occurrence of the transient electromagnetic field and did not vary in the subsequent electromagnetic field attenuation. The irregular anomalous geologic body’s electromagnetic field projection area and transient electromagnetic response attenuation speed have both changed over time.
7. Conclusions
Author Contributions
Funding
Conflicts of Interest
References
- Kong, X.G.; He, D.; Liu, X.F.; Wang, E.Y.; Li, S.G.; Liu, T.; Ji, P.F.; Deng, D.Y.; Yang, S.R. Strain characteristics and energy dissipation laws of gas-bearing coal during impact fracture process. Energy 2022, 242, 12308. [Google Scholar] [CrossRef]
- Wang, C.; Cheng, Y. Role of coal deformation energy in coal and gas outburst: A review. Fuel 2023, 332, 126019. [Google Scholar] [CrossRef]
- Wang, X.; Wang, E.; Liu, X.; Zhou, X. Failure mechanism of fractured rock and associated acoustic behaviors under different loading rates. Eng. Fract. Mech. 2021, 247, 107674. [Google Scholar] [CrossRef]
- Hu, W.; Zhao, C. Evolution of water hazard control technology in China’s coal mines. Mine Water Environ. 2021, 40, 334–344. [Google Scholar] [CrossRef]
- Zhang, Y.; Li, F. Prediction of Water Inrush from Coal Seam Floors Based on the Effective Barrier Thickness. Mine Water Environ. 2022, 41, 168–175. [Google Scholar] [CrossRef]
- Liu, S.; Peng, G.; Yin, G. A study on the in-situ stress conditions at the Kailuan mining area in China and their influence on coal mine water inrush. Arab. J. Geosci. 2021, 14, 2057 . [Google Scholar] [CrossRef]
- Kong, X.G.; Wang, E.Y.; Li, S.G.; Lin, H.F.; Xiao, P.; Zhang, K.Z. Fractals and Chaos Characteristics of Acoustic Emission Energy About Gas-Bearing Coal during Loaded Failure. Fractals 2019, 27, 1950069. [Google Scholar] [CrossRef]
- Wang, X.; Asem, P.; Hu, C.; Labuz, J.F. Microcracking in tensile fracture of a brittle rock. Eng. Fract. Mech. 2021, 251, 107789. [Google Scholar] [CrossRef]
- Tan, Y.L.; Liu, X.S.; Ning, J.G.; Lu, Y.W. In Situ Investigations on Failure Evolution of Overlying Strata Induced by Mining Multiple Coal Seams. Geotech. Test. J. 2017, 40, 244–257. [Google Scholar] [CrossRef]
- Wang, F.T.; Tu, S.H.; Zhang, C.; Zhang, Y.W.; Bai, Q.S. Evolution mechanism of water-flowing zones and control technology for longwall mining in shallow coal seams beneath gully topography. Environ. Earth Sci. 2016, 75, 1309. [Google Scholar] [CrossRef]
- Xue, G.Q.; Bai, C.Y.; Yan, S.; Greenhalgh, S.; Li, M.F.; Zhou, N.N. Deep sounding TEM investigation method based on a modified fixed central-loop system. J. Appl. Geophys. 2012, 76, 23–32. [Google Scholar] [CrossRef]
- JiaWe, Z.; GuangDe, G. A geological interpretation method for non-uniform survey. Int. J. Environ. Sci. Technol. 2021, 19, 9047–9054. [Google Scholar] [CrossRef]
- Chang, J.; Yu, J.; Li, J.; Xue, G.; Malekian, R.; Su, B. Diffusion Law of Whole-Space Transient Electromagnetic Field Generated by the Underground Magnetic Source and Its Application. IEEE Access 2019, 7, 63415–63425. [Google Scholar] [CrossRef]
- Yan, S.; Xue, G.Q.; Qiu, W.Z.; Li, H.; Zhong, H.S. Feasibility of central loop TEM method for prospecting multilayer water-filled goaf. Appl. Geophys. 2016, 13, 587–597. [Google Scholar] [CrossRef]
- Chang, J.H.; Yu, J.C.; Liu, Z.X. Three-dimensional numerical modeling of full-space transient electromagnetic responses of water in goaf. Appl. Geophys. 2016, 13, 539–552. [Google Scholar] [CrossRef]
- Sun, H.; Liu, S.; Yang, Y. Crank-Nicolson FDTD 3D forward modeling for the transient electromagnetic field. Chin. J. Geophys. 2021, 64, 343–354. [Google Scholar]
- Li, J.H.; Zhu, Z.Q.; Liu, S.C.; Zeng, S.H. 3D numerical simulation for the transient electromagnetic field excited by the central loop based on the vector finite-element method. J. Geophys. Eng. 2011, 8, 560–567. [Google Scholar] [CrossRef]
- Liu, Y.; Hu, X.; Peng, R.; Yogeshwar, P. 3D forward modeling and analysis of the loop-source transient electromagnetic method based on the finite-volume method for an arbitrarily anisotropic medium. Chin. J. Geophys. 2019, 62, 1954–1968. [Google Scholar]
- Chen, D.; Cheng, J.L.; Wang, A.M. Numerical simulation of drillhole transient electromagnetic response in mine roadway whole space using integral equation method. Chin. J. Geophys. Chin. Ed. 2018, 61, 4182–4193. [Google Scholar]
- Zhang, Y.; Wang, G.; Li, H.; Lian, Y.; Li, W.; Qiu, H.; Mou, Y. Efficient 3D vector finite element modeling for TEM based on absorbing boundary condition. Chin. J. Geophys. 2021, 64, 1106–1118. [Google Scholar]
- Wang, R.; Wang, M.Y.; Di, Q.Y.; Xue, G.Q. 2D FEM modeling on the multi-channel transient electromagnetic method. Chin. J. Geophys. Chin. Ed. 2018, 61, 5084–5095. [Google Scholar]
- Lu, K.L.; Fan, Y.N.; Zhou, J.M.; Li, X.; Li, H.; Fan, K.R. 3D anisotropic TEM modeling with loop source using model reduction method. J. Geophys. Eng. 2022, 19, 403–417. [Google Scholar] [CrossRef]
- Li, X.; Hu, W.; Xue, G. 3D modeling of multi-radiation source semi-airborne transient electromagnetic response. Chin. J. Geophys. 2021, 64, 716–723. [Google Scholar]
- Wang, L.-Y.; Yin, C.-C.; Liu, Y.-H.; Su, Y.; Ren, X.-Y.; Hui, Z.-J.; Zhang, B.; Xiong, B. Three-dimensional forward modeling for the SBTEM method using an unstructured finite-element method. Appl. Geophys. 2021, 18, 101–116. [Google Scholar]
- Kuo, J.T.; Cho, D.-H. Transient time-domain electromagnetics. Geophysics 1980, 45, 271–291. [Google Scholar] [CrossRef]
- Velímský, J.; Martinec, Z. Time-domain, spherical harmonic-finite element approach to transient three-dimensional geomagnetic induction in a spherical heterogeneous Earth. Geophys. J. Int. 2005, 161, 81–101. [Google Scholar] [CrossRef]
- Mur, G. The finite-element modeling of three-dimensional time-domain electromagnetic fields in strongly inhomogeneous media. IEEE Trans. Magn. 1992, 28, 1130–1133. [Google Scholar] [CrossRef]
- Li, J.-H.; Zhu, Z.-Q.; Zeng, S.-H.; Liu, S.-C. Progress of forward computation in transient electromagnetic method. Prog. Geophys. 2012, 4, 1393–1400. [Google Scholar]
- Haber, E. Computational Methods in Geophysical Electromagnetics; SIAM: Philadelphia, PA, USA, 2014. [Google Scholar]
- Amestoy, P.R.; Guermouche, A.; L’Excellent, J.-Y.; Pralet, S. Hybrid scheduling for the parallel solution of linear systems. Parallel Comput. 2006, 32, 136–156. [Google Scholar] [CrossRef]
- Li, H.; Yu, G.; Zhang, D. Electromagnetic Response Analysis of Tunnel Full Space 3D Forward Numerical Simulation. Geotech. Geol. Eng. 2022, 40, 273–284. [Google Scholar] [CrossRef]


















| Toward the Length (x)/m | Tending Length (y)/m | Thickness (z)/m | Apparent Resistivity (Ω·m) | |
|---|---|---|---|---|
| Clad rock | 200 | 150 | 80 | 100 |
| Coal seam | 200 | 150 | 4 | 50 |
| Floor | 200 | 150 | 60 | 100 |
| Radius (Edge Length)/m | Height/m | Volume/m3 | |
|---|---|---|---|
| Sphere | 30 | / | 113,097.3 |
| Cube | 48 | / | 110,592 |
| Cylinder | 26 | 52 | 110,433.3 |
| Exception Body Number | Upper Surface Radius (m) | Lower Surface Radius (m) | Height (m) | Volume (m3) | Shape |
|---|---|---|---|---|---|
| a | 5 | 10 | 30 | 5498 | Small round table |
| b | 10 | 10 | 30 | 9424.8 | Small cylinder |
| c | 10 | 20 | 50 | 36,651 | Medium round table |
| d | 15 | 15 | 50 | 35,343 | Medium cylinder |
| e | 15 | 30 | 100 | 164,933 | Large round table |
| f | 20 | 20 | 100 | 125,663 | Large cylinder |
| Edge Length/Radius (m) | Height (m) | Magnetic Field Projection Area (m2) | Volume (m3) | |
|---|---|---|---|---|
| Sphere | 30 | / | Minimum value | 113,097.3 |
| Cylinder | 26 | 52 | 2704 | 110,433.3 |
| Cube | 48 | / | 2304 | 110,592 |
| Cone | 45 | 52 | Minimum value | 110,269.9 |
Publisher’s Note: MDPI stays neutral with regard to jurisdictional claims in published maps and institutional affiliations. |
© 2022 by the authors. Licensee MDPI, Basel, Switzerland. This article is an open access article distributed under the terms and conditions of the Creative Commons Attribution (CC BY) license (https://creativecommons.org/licenses/by/4.0/).
Share and Cite
Guo, C.; Tan, T.; Ma, L.; Chang, S.; Chen, Y.; Zhao, K. Response and Application of Full-Space Numerical Simulation Based on Finite Element Method for Transient Electromagnetic Advanced Detection of Mine Water. Sustainability 2022, 14, 15024. https://doi.org/10.3390/su142215024
Guo C, Tan T, Ma L, Chang S, Chen Y, Zhao K. Response and Application of Full-Space Numerical Simulation Based on Finite Element Method for Transient Electromagnetic Advanced Detection of Mine Water. Sustainability. 2022; 14(22):15024. https://doi.org/10.3390/su142215024
Chicago/Turabian StyleGuo, Changfang, Tingjiang Tan, Liuzhu Ma, Shuai Chang, Yiding Chen, and Ke Zhao. 2022. "Response and Application of Full-Space Numerical Simulation Based on Finite Element Method for Transient Electromagnetic Advanced Detection of Mine Water" Sustainability 14, no. 22: 15024. https://doi.org/10.3390/su142215024
APA StyleGuo, C., Tan, T., Ma, L., Chang, S., Chen, Y., & Zhao, K. (2022). Response and Application of Full-Space Numerical Simulation Based on Finite Element Method for Transient Electromagnetic Advanced Detection of Mine Water. Sustainability, 14(22), 15024. https://doi.org/10.3390/su142215024

