Adaptive PI Control Strategy for Optimal Microgrid Autonomous Operation
Abstract
1. Introduction
1.1. Problem Understudy
1.2. Literature Review
1.3. The Major Contribution
- (1)
- Testing the newly suggested EBSABA algorithm on customized PI controllers to boost MGD efficiency,
- (2)
- Demonstrate the success of the novel approach by investigating the MGD under three altered operating states:
- (a)
- Removing the MGD from the utility (islanding mode);
- (b)
- Load variations under islanding mode; and
- (c)
- A three-phase fault under islanding mode,
- (3)
- Demonstrate the strength of the presented adaptive technique by comparing its results with other optimization approaches.
2. MGD Demonstrating
3. Control Scheme
4. Procedure for Designing
4.1. Gains Configuration
4.2. PSCAD/EMTDC Program
4.3. RSMT & MINITAB Programs
5. Phase of Optimization
5.1. The SFO Algorithm
- Equation (3) depicts the movement of SFs [29]:
- Pmax. and Pmin. represent the boundaries. The following equation describes the next plant:
- The SFO outcomes were obtained from [26].
5.2. LMSRE Algorithm
- Equation (9) shows that the AF algorithms are iterated utilizing a gradient approach [25]:
- Equation (7) is substituted into Equation (8) to get:
5.3. EBSABA Algorithm
6. Description and Outcomes of the Simulations
6.1. Incident 1 (Off-Grid Mode)
6.2. Incident 2 (Load Variations under Islanding Mode)
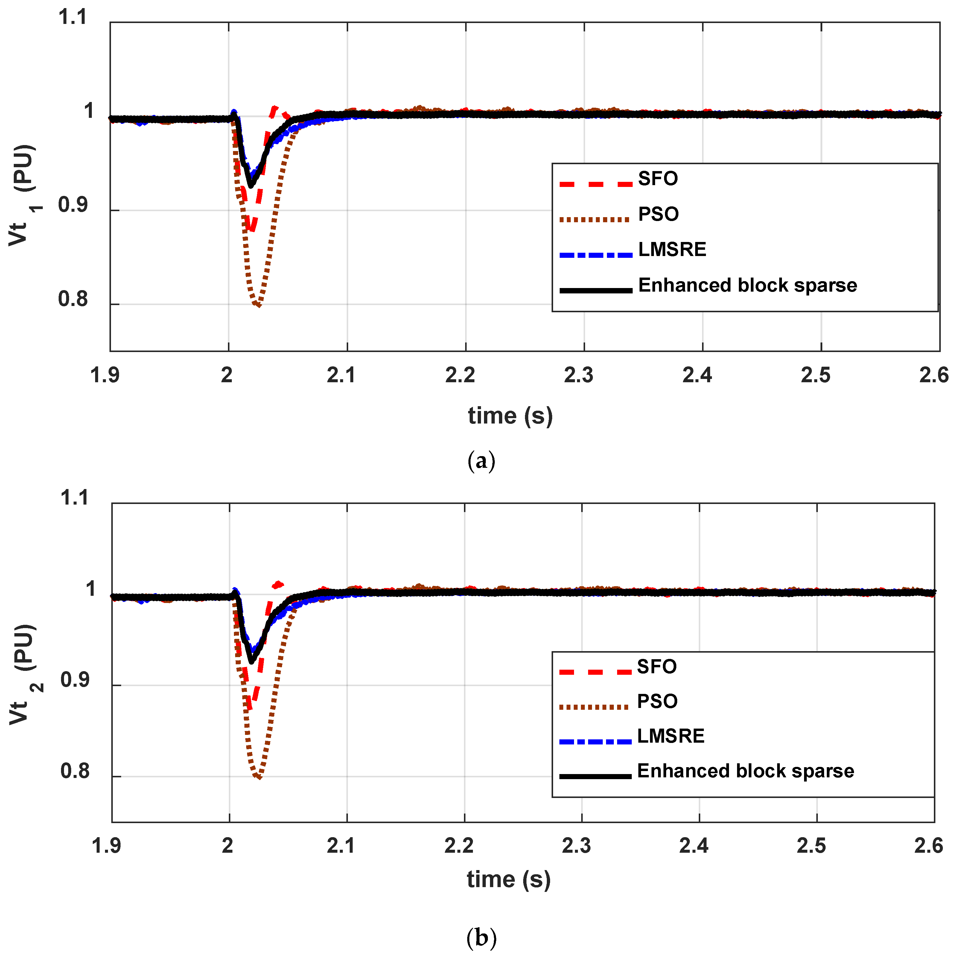
6.3. Incident 3 (A Three-Phase Fault under Islanding Mode)
7. Conclusions
Author Contributions
Funding
Institutional Review Board Statement
Informed Consent Statement
Data Availability Statement
Acknowledgments
Conflicts of Interest
Abbreviations
| ACT | Adaptive Control |
| AF | Adaptive Filtering |
| AO | Aquila Optimizer |
| AVR | Automatic Voltage Regulator |
| BCA | Binary Chimp Optimization Algorithm |
| CBMO | Coot Bird Metaheuristic Optimizer |
| CFA | Cuttlefish Optimization Algorithm |
| DGR | Distributed Generator |
| DPC | Droop Control |
| EBSABA | Enhanced Block-Sparse Adaptive Bayesian Algorithm |
| EO | Equilibrium Optimization |
| Est | Steady-State Error |
| GA | Genetic Algorithm |
| IR | Impulse Response |
| KP | Proportional Gain |
| LMSRE | Least Mean and Square Root of Exponential |
| MAS | Multivariable And Servomechanism |
| MGD | Microgrid |
| MPOST | Maximum Percentages Overshoot |
| MPUST | Maximum Percentages Undershoot |
| PCC | Point of Common Coupling |
| PI | Proportional-Integral |
| PO | Political Optimizer |
| PSO | Particle Swarm Optimization |
| PWM | Pulse Width Modulation |
| RSMT | Response Surface Methodology |
| SFO | Sunflower Optimization |
| TI | Integral Time Constant |
| Tst | Settling Time |
| ACT | Adaptive Control |
| Nomenclature | |
| B1 | Maximum Percentages Overshoot |
| B2 | Maximum Percentages Undershoot |
| B3 | Settling Time |
| B4 | Steady-State Error |
| C | the inertial constant of the SFs |
| da | is the AF’s output signal |
| dG | the predicted signal |
| dt | the spaces among the recent best and population |
| the amount of energy stored | |
| G | is the number of iterations |
| block sparse term penalties | |
| H | the source |
| i | Population number |
| J0 | the impulse response filter parameter |
| JG | the input vector |
| NG | the noise signal |
| the population’s number | |
| P | normal population |
| P* | best population |
| pg | the Gaussian Mixture Markov probability |
| Pmax. and Pmin. | the boundaries |
| Pp(w|d) | posterior probability |
| The limitation of the pollen possibility | |
| S1, S2, …, S15 | the estimated RSMT constants |
| the movement of SFs in path N | |
| T | cost function |
| U1 to U12 | the gains of the PI controllers |
| w | the AF coefficient |
| the AF’s weight vector | |
| the transpose of the input | |
| X0 | the unknown weight vector |
| XG | the estimated weight vector |
| the pollen possibility | |
| ∇ | The gradient |
| μG | Error limiter |
| μ and α | Constants in charge of μG’s deviance |
References
- Tabar, V.S.; Abbasi, V. Energy management in microgrid with considering high penetration of renewable resources and surplus power generation problem. Energy 2019, 189, 116264. [Google Scholar] [CrossRef]
- Alghamdi, B.; Cañizares, C. Frequency and voltage coordinated control of a grid of AC/DC microgrids. Appl. Energy 2022, 310, 118427. [Google Scholar] [CrossRef]
- Uddin, M.; Romlie, M.F.; Abdullah, M.F.; Tan, C.K.; Shafiullah, G.M.; Bakar, A.H.A. A novel peak shaving algorithm for islanded microgrid using battery energy storage system. Energy 2020, 196, 117084. [Google Scholar] [CrossRef]
- Gaonkar, D.N.; Guerrero, J.M. Improved P-f/Q-V and P-V/Q-f droop controllers for parallel distributed generation inverters in AC microgrid. Sustain. Cities Soc. 2018, 41, 421–442. [Google Scholar] [CrossRef]
- An, R.; Liu, Z.; Liu, J.; Liu, B. A Comprehensive Solution to Decentralized Coordinative Control of Distributed Generations in Islanded Microgrid Based on Dual-Frequency-Droop. IEEE Trans. Power Electron. 2022, 37, 3583–3598. [Google Scholar] [CrossRef]
- Ozkan, Z.; Hava, A.M. Inductor Saturation Compensation in Three-Phase Three-Wire Voltage-Source Converters Via Inverse System Dynamics. IEEE Trans. Ind. Electron. 2022, 69, 4309–4319. [Google Scholar] [CrossRef]
- D’Arco, S.; Suul, J.A.; Fosso, O.B. Automatic Tuning of Cascaded Controllers for Power Converters Using Eigenvalue Parametric Sensitivities. IEEE Trans. Ind. Appl. 2015, 51, 1743–1753. [Google Scholar] [CrossRef]
- Saleh, M.; Esa, Y.; Mohamed, A. Centralized control for DC microgrid using finite state machine. In Proceedings of the 2017 IEEE Power & Energy Society Innovative Smart Grid Technologies Conference (ISGT), Washington, DC, USA, 23–26 April 2017. [Google Scholar] [CrossRef]
- Wang, W.S.W.; Davison, D.E.; Davison, E.J. Controller design for multivariable linear time-invariant unknown systems. IEEE Trans. Automat. Contr. 2013, 58, 2292–2306. [Google Scholar] [CrossRef]
- Bhateshvar, Y.K.; Mathur, H.D. Power–frequency balance with superconducting magnetic energy storage using optimized intelligent controller. Energetika 2014, 60, 149–161. [Google Scholar] [CrossRef]
- Hussien, A.M.; Turky, R.A.; Alkuhayli, A.; Hasanien, H.M.; Tostado-Véliz, M.; Jurado, F.; Bansal, R.C. Coot Bird Algorithms-Based Tuning PI Controller for Optimal Microgrid Autonomous Operation. IEEE Access 2022, 10, 6442–6458. [Google Scholar] [CrossRef]
- Patel, S.; Mohanty, B.; Hasanien, H.M. Competition over resources optimized fuzzy TIDF controller for frequency stabilization of hybrid micro-grid system. Int. Trans. Electr. Energy Syst. 2020, 30, e12513. [Google Scholar] [CrossRef]
- Boussaïd, I.; Lepagnot, J.; Siarry. A survey on optimization metaheuristics. Inf. Sci. 2013, 237, 82–117. [Google Scholar] [CrossRef]
- Wang, J.; Khishe, M.; Kaveh, M.; Mohammadi, H. Binary Chimp Optimization Algorithm (BChOA): A New Binary Meta-heuristic for Solving Optimization Problems. Cognit. Comput. 2021, 13, 1297–1316. [Google Scholar] [CrossRef]
- Shaheen, M.A.M.; Hasanien, H.M.; Al-Durra, A. Solving of optimal power flow problem including renewable energy resources using HEAP optimization algorithm. IEEE Access 2021, 9, 35846–35863. [Google Scholar] [CrossRef]
- Hussien, A.M.; Hasanien, H.M.; Mekhamer, S.F. Sunflower optimization algorithm-based optimal PI control for enhancing the performance of an autonomous operation of a microgrid. Ain Shams Eng. J. 2021, 12, 1883–1893. [Google Scholar] [CrossRef]
- Abualigah, L.; Yousri, D.; Elaziz, M.A.; Ewees, A.A.; Al-qaness, M.A.A.; Gandomi, A.H. Aquila Optimizer: A novel meta-heuristic optimization algorithm. Comput. Ind. Eng. 2021, 157, 107250. [Google Scholar] [CrossRef]
- Askari, Q.; Younas, I.; Saeed, M. Political Optimizer: A novel socio-inspired meta-heuristic for global optimization. Knowledge-Based Syst. 2020, 195, 105709. [Google Scholar] [CrossRef]
- Hashim, F.A.; Hussain, K.; Houssein, E.H.; Mabrouk, M.S.; Al-Atabany, W. Archimedes optimization algorithm: A new metaheuristic algorithm for solving optimization problems. Appl. Intell. 2021, 51, 1531–1551. [Google Scholar] [CrossRef]
- Hussien, A.M.; Mekhamer, S.F.; Hasanien, H.M. Cuttlefish Optimization Algorithm based Optimal PI Controller for Performance Enhancement of an Autonomous Operation of a DG System. In Proceedings of the 2020 2nd International Conference on Smart Power & Internet Energy Systems (SPIES), Bangkok, Thailand, 15–18 September 2020; pp. 293–298. [Google Scholar] [CrossRef]
- Chaib, A.E.; Bouchekara, H.R.E.H.; Mehasni, R.; Abido, M.A. Optimal power flow with emission and non-smooth cost functions using backtracking search optimization algorithm. Int. J. Electr. Power Energy Syst. 2016, 81, 64–77. [Google Scholar] [CrossRef]
- Wang, X.; Han, J. Affine projection algorithm based on least mean fourth algorithm for system identification. IEEE Access 2020, 8, 11930–11938. [Google Scholar] [CrossRef]
- Lim, J.S. New adaptive filtering algorithms based on an orthogonal projection of gradient vectors. IEEE Signal Process. Lett. 2000, 7, 314–316. [Google Scholar] [CrossRef]
- Werner, S.; Diniz, S.R. Set-membership affine projection algorithm. IEEE Signal Process. Lett. 2001, 8, 231–235. [Google Scholar] [CrossRef]
- Hussien, A.M.; Turky, R.A.; Hasanien, H.M.; Al-Durra, A. LMSRE-based adaptive pi controller for enhancing the performance of an autonomous operation of microgrids. IEEE Access 2021, 9, 90577–90586. [Google Scholar] [CrossRef]
- Hasanien, H.M.; Turky, R.A.; Tostado-Véliz, M.; Muyeen, S.M.; Jurado, F. Enhanced block-sparse adaptive Bayesian algorithm based control strategy of superconducting magnetic energy storage units for wind farms power ripple minimization. J. Energy Storage 2022, 50, 104208. [Google Scholar] [CrossRef]
- Kim, I.Y.; de Weck, O.L. Adaptive weighted sum method for multiobjective optimization: A new method for Pareto front generation. Struct. Multidiscip. Optim. 2005, 31, 105–116. [Google Scholar] [CrossRef]
- Shaheen, M.A.M.; Hasanien, H.M.; Mekhamer, S.F.; Talaat, H.E.A. Optimal power flow of power systems including distributed generation units using sunflower optimization algorithm. IEEE Access 2019, 7, 109289–109300. [Google Scholar] [CrossRef]
- Das, B.K.; Chakravarthi, G.V.; Chakraborty, M. A Convex Combination of NLMS and ZA-NLMS for Identifying Systems with Variable Sparsity. IEEE Trans. Circuits Syst. II Express Briefs 2017, 64, 1112–1116. [Google Scholar] [CrossRef]
- Habibi, Z.; Zayyani, H. Markovian Adaptive Filtering Algorithm for Block-Sparse System Identification. IEEE Trans. Circuits Syst. II Express Briefs 2021, 68, 3032–3036. [Google Scholar] [CrossRef]
- Yoo, J.; Shin, J.; Park, P. An improved NLMS algorithm in sparse systems against noisy input signals. IEEE Trans. Circuits Syst. II Express Briefs 2015, 62, 271–275. [Google Scholar] [CrossRef]
- Zhang, A.; Liu, P.; Sun, J.; Ning, B. Block-sparsity log-sum-induced adaptive filter for cluster sparse system identification. IEEE Access 2020, 8, 175265–175276. [Google Scholar] [CrossRef]















| Transformer Data | ∆/Y = 0.6/13.8 KV | |
|---|---|---|
| Load data | Load 1 | Cl = 50 µF, Rl1 = 9 Ω, Rl2 = 150 Ω, Ll = 0.6 H |
| Load 2 | C2 = 42 µF, R22 = 5 Ω, Rl2 = 75 Ω, L2 = 0.4 H | |
| Load 3 | C3 = 33 µF, R33 = 20 Ω, Rl2 = 50 Ω, L3 = 1.5 H | |
| Transmission Line Parameters | ZTL1 | RTL1 = 0.7 Ω, LTL1 = 0.5 mH |
| ZTL2 | RTL2 = 1.5 Ω, LTL2 = 0.9 mH | |
| Filter data (Zf) | Rf = 1.5 mΩ, Xf = 0.5 mH | |
| Grid parameters | V = 13.8 KV, Rg = 0.2 Ω, Lg = 0.3 mH | |
| Gains Limits | (−1) | (0) | (1) |
|---|---|---|---|
| U1 | 2.1 | 4.8 | 7.6 |
| U2 | 0.00085 | 0.007925 | 0.015 |
| U3 | 1.7 | 2.375 | 3.05 |
| U4 | 0.055 | 1.5775 | 3.1 |
| U5 | 1.6 | 4.4 | 7.2 |
| U6 | 0.00095 | 0.008225 | 0.0155 |
| U7 | 1.45 | 2 | 2.55 |
| U8 | 0.1 | 1.475 | 2.85 |
| U9 | 1.1 | 3.825 | 6.55 |
| U10 | 0.00095 | 0.005975 | 0.011 |
| U11 | 1.25 | 1.7 | 2.15 |
| U12 | 0.055 | 1.3275 | 2.6 |
| Weights (Wg) | DGR # | ||
|---|---|---|---|
| Wg1 | DGR1 | MPUST | 0.19 |
| Wg2 | MPOST | 0.19 | |
| Wg3 | Tst | 0.06 | |
| Wg4 | Est | 0.02 | |
| Wg5 | DGR2 | MPUST | 0.13 |
| Wg6 | MPOST | 0.13 | |
| Wg7 | Tst | 0.05 | |
| Wg8 | Est | 0.015 | |
| Wg9 | DGR3 | MPUST | 0.08 |
| Wg10 | MPOST | 0.08 | |
| Wg11 | Tst | 0.03 | |
| Wg12 | Est | 0.015 |
| Gains | PI11 | PI12 | PI21 | PI22 | PI31 | PI32 |
|---|---|---|---|---|---|---|
| kp | 5.52 | 3.1 | 5.52 | 3.1 | 5.52 | 3.1 |
| Ti | 0.0031 | 0.31 | 0.0031 | 0.31 | 0.0031 | 0.31 |
| EBSABA | LMSRE | SFO | PSO | |||
|---|---|---|---|---|---|---|
| Incident 1 DGR 1 | ||||||
| Optimum size | online | online | U1 | 6.421 | U1 | 2.1472 |
| U2 | 0.0054 | U2 | 0.00572 | |||
| U3 | 2.952 | U3 | 1.6791 | |||
| U4 | 0.3472 | U4 | 0.3392 | |||
| MPUST | 8.21% | 7.93% | 12.93% | 20.4% | ||
| MPOST | 0% | 0% | 0% | 0% | ||
| Tst | 0.037 s | 0.045 s | 0.0343 s | 0.0562 s | ||
| Est | 0.2% | 0.34% | 0.37% | 0.42% | ||
| Incident 1 DGR 2 | ||||||
| Optimum size | online | online | U5 | 5.982 | U5 | 1.5692 |
| U6 | 0.0042 | U6 | 0.00431 | |||
| U7 | 2.5082 | U7 | 1.2342 | |||
| U8 | 0.299 | Y8 | 0.30572 | |||
| MPUST | 8.1% | 7.82% | 12.54% | 20.21% | ||
| MPOST | 0% | 0% | 0% | 0% | ||
| Tst | 0.0353 s | 0.0424 s | 0.0325 s | 0.0554 s | ||
| Est | 0.19 % | 0.32% | 0.36% | 0.415% | ||
| Incident 1 DGR 3 | ||||||
| Optimum size | online | online | U9 | 5.5343 | U9 | 1.07 |
| U10 | 0.00314 | U10 | 0.0034 | |||
| U11 | 2.0991 | U11 | 0.995 | |||
| U12 | 0.2479 | U12 | 0.259 | |||
| MPUST | 7.95% | 7.64% | 12.32% | 20.05% | ||
| MPOST | 0% | 0% | 0% | 0% | ||
| Tst | 0.03495 s | 0.0418 s | 0.0319 s | 0.0551 s | ||
| Est | 0.187% | 0.312% | 0.354% | 0.408% | ||
| EBSABA | LMSRE | SFO | PSO | |||
|---|---|---|---|---|---|---|
| Incident 2 DGR 1 | ||||||
| Optimum size | online | online | U1 | 6.469 | U1 | 1.924 |
| U2 | 0.0125 | U2 | 0.0118 | |||
| U3 | 2.2793 | U3 | 2.3123 | |||
| U4 | 0.238 | U4 | 0.2315 | |||
| MPUST | 0.478% | 1.91% | 2.205% | 3.27% | ||
| MPOST | 0.9745% | 2.216% | 2.967% | 3.532% | ||
| Tst | zero | 0.4015 s | 0.4331 s | 0.453 s | ||
| Est | 0.21% | 0.425% | 0.453% | 0.496% | ||
| Incident 2 DGR 2 | ||||||
| Optimum size | online | online | U5 | 6.0246 | U5 | 1.4025 |
| U6 | 0.0095 | U6 | 0.0103 | |||
| U7 | 1.8614 | U7 | 1.7983 | |||
| U8 | 0.2074 | U8 | 0.1999 | |||
| MPUST | 0.461% | 1.821% | 2.15% | 3.234% | ||
| MPOST | 0.96% | 2.202% | 2.921% | 3.457% | ||
| Tst | zero | 0.4003 s | 0.4284 s | 0.447 s | ||
| Est | 0.203% | 0.412% | 0.441% | 0.491% | ||
| Incident 2 DGR 3 | ||||||
| Optimum size | online | online | U9 | 5.4974 | U9 | 0.8995 |
| U10 | 0.0069 | U10 | 0.0656 | |||
| U11 | 1.5784 | U11 | 1.4879 | |||
| U12 | 0.1753 | U12 | 0.1625 | |||
| MPUST | 0.454% | 1.813% | 2.07% | 3.211% | ||
| MPOST | 0.952% | 2.197% | 2.906% | 3.436% | ||
| Tst | zero | 0.3941 s | 0.4233 s | 0.418 s | ||
| Est | 0.201% | 0.403% | 0.432% | 0.486% | ||
| EBSABA | LMSRE | SFO | PSO | |||
|---|---|---|---|---|---|---|
| Incident 3 DGR 1 | ||||||
| Optimum size | online | online | U1 | 6.1343 | U1 | 2.1084 |
| U2 | 0.0045 | U2 | 0.0062 | |||
| U3 | 2.4984 | U3 | 2.575 | |||
| U4 | 0.1215 | U4 | 0.113 | |||
| MPUST | 92.05% | 92.155% | 91.65% | 93.11% | ||
| MPOST | 10.5% | 12.36% | 11.69% | 11.97% | ||
| Tst | 0.22 s | 0.4912 s | 0.566 s | 0.812 s | ||
| Est | 0.19% | 0.257% | 0.47% | 0.549% | ||
| Incident 3 DGR 2 | ||||||
| Optimum size | online | online | U5 | 6.23 | U5 | 2.179 |
| U6 | 0.0044 | U6 | 0.006 | |||
| U7 | 2.515 | U7 | 2.554 | |||
| U8 | 0.1193 | U8 | 0.099 | |||
| MPUST | 91.59% | 92.07% | 91.598% | 93.09% | ||
| MPOST | 10.31% | 12.31% | 11.64% | 11.89% | ||
| Tst | 0.214 s | 0.488 s | 0.556 s | 0.806 s | ||
| Est | 0.187% | 0.2521% | 0.4687% | 0.546% | ||
| Incident 3 DGR 3 | ||||||
| Optimum size | online | online | U9 | 6.122 | U9 | 2.23 |
| U10 | 0.0046 | U10 | 0.0063 | |||
| U11 | 2.475 | U11 | 2.513 | |||
| U12 | 0.1213 | U12 | 0.0108 | |||
| MPUST | 91.17% | 91.86% | 91.43% | 92.88% | ||
| MPOST | 10.14% | 12.22% | 11.59% | 11.83% | ||
| Tst | 0.212 s | 0.483 s | 0.551 s | 0.795 s | ||
| Est | 0.184% | 0.25% | 0.4679% | 0.5423% | ||
Publisher’s Note: MDPI stays neutral with regard to jurisdictional claims in published maps and institutional affiliations. |
© 2022 by the authors. Licensee MDPI, Basel, Switzerland. This article is an open access article distributed under the terms and conditions of the Creative Commons Attribution (CC BY) license (https://creativecommons.org/licenses/by/4.0/).
Share and Cite
Hussien, A.M.; Kim, J.; Alkuhayli, A.; Alharbi, M.; Hasanien, H.M.; Tostado-Véliz, M.; Turky, R.A.; Jurado, F. Adaptive PI Control Strategy for Optimal Microgrid Autonomous Operation. Sustainability 2022, 14, 14928. https://doi.org/10.3390/su142214928
Hussien AM, Kim J, Alkuhayli A, Alharbi M, Hasanien HM, Tostado-Véliz M, Turky RA, Jurado F. Adaptive PI Control Strategy for Optimal Microgrid Autonomous Operation. Sustainability. 2022; 14(22):14928. https://doi.org/10.3390/su142214928
Chicago/Turabian StyleHussien, Ahmed M., Jonghoon Kim, Abdulaziz Alkuhayli, Mohammed Alharbi, Hany M. Hasanien, Marcos Tostado-Véliz, Rania A. Turky, and Francisco Jurado. 2022. "Adaptive PI Control Strategy for Optimal Microgrid Autonomous Operation" Sustainability 14, no. 22: 14928. https://doi.org/10.3390/su142214928
APA StyleHussien, A. M., Kim, J., Alkuhayli, A., Alharbi, M., Hasanien, H. M., Tostado-Véliz, M., Turky, R. A., & Jurado, F. (2022). Adaptive PI Control Strategy for Optimal Microgrid Autonomous Operation. Sustainability, 14(22), 14928. https://doi.org/10.3390/su142214928

