Probabilistic Analysis of Slope against Uncertain Soil Parameters
Abstract
1. Introduction
2. Materials and Methods
2.1. Slope Stability Analysis
2.2. Probabilistic Analysis of Slope Stability
3. Results
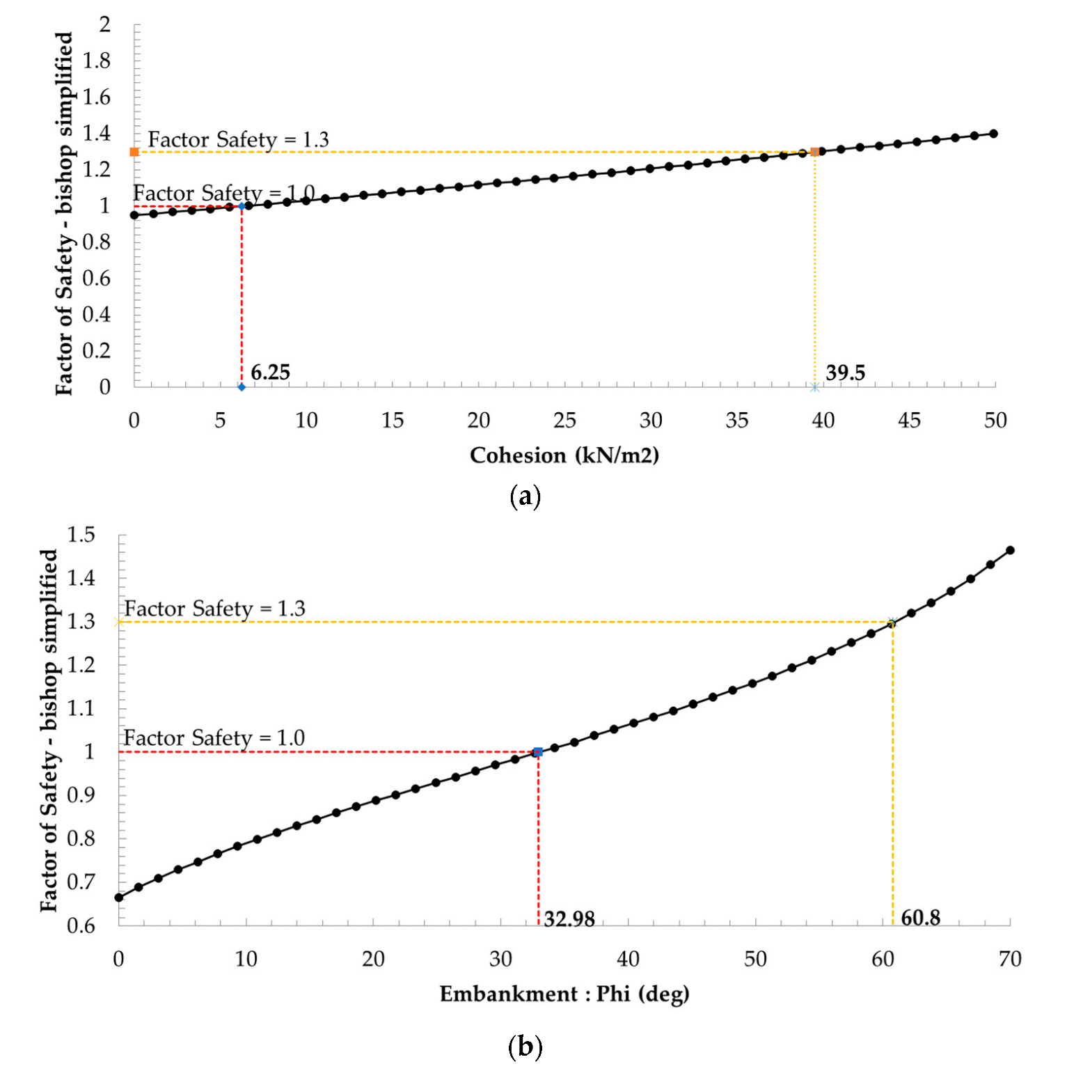
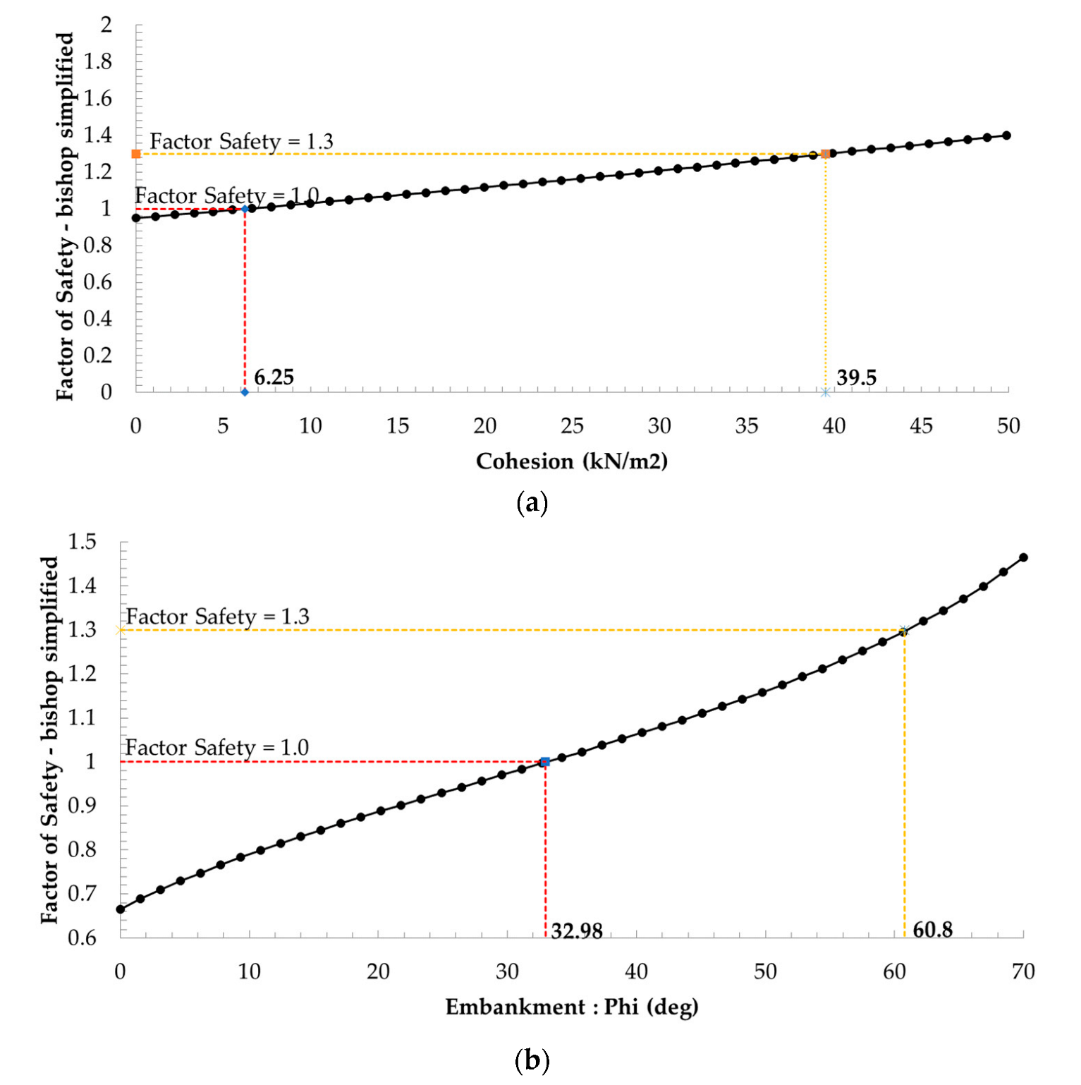
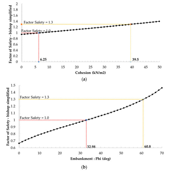
3.1. Random Variables without a Floodwater
3.2. Random Variables with a Floodwater
4. Discussion
5. Conclusions
Author Contributions
Funding
Institutional Review Board Statement
Informed Consent Statement
Data Availability Statement
Acknowledgments
Conflicts of Interest
References
- Xiong, X.; Shi, Z.Y.; Xiong, Y.; Peng, M.; Ma, X.; Zhang, F. Unsaturated slope stability around the Three Gorges Reservoir under various combinations of rainfall and water level fluctuation. Eng. Geol. 2019, 261, 105231. [Google Scholar] [CrossRef]
- Obregon, C.; Mitri, H. Probabilistic approach for open pit bench slope stability analysis: A mine case study. Int. J. Min. Sci. Technol. 2019, 29, 629–640. [Google Scholar] [CrossRef]
- Amin, M.N.; Umair Ashfaq, M.; Mujtaba, H.; Ehsan, S.; Khan, K.; Faraz, M. Computer-Aided Slope Stability Analysis of a Landslide-A ase Study of Jhika Gali Landslide inPakistan. Sustainability 2022, 14, 12954. [Google Scholar] [CrossRef]
- Eberhardt, E. Rock Slope Stability Analysis–Utilization of Advanced Numerical Techniques; Earth and Ocean Sciences at UBC; University of British Columbia: Vancouver, BC, Canada, 2003. [Google Scholar]
- Deng, D.-P.; Li, L. Research on calculation methods of slope stability under two types of sliding surface. Rock Soil Mech. 2013, 34, 372–410. [Google Scholar]
- Bishop, A.W. The use of the Slip Circle in the Stability Analysis of Slopes. Géotechnique 1955, 5, 7–17. [Google Scholar] [CrossRef]
- Janbu, N. Applications of Composite Slip Surfaces for Stability Analysis. In Proceedings of the European Conference on the Stability of Earth Slopes, Stockholm, Sweden, 20–25 September 1954. [Google Scholar]
- Spencer, E. A Method of analysis of the Stability of Embankments Assuming Parallel Inter-Slice Forces. Géotechnique 1967, 17, 11–26. [Google Scholar] [CrossRef]
- Morgenstern, N.; Price, V. The Analysis of the Stability of General Slip Surfaces. Geotechnique 1965, 15, 79–93. [Google Scholar] [CrossRef]
- Duncan, J.; Wright, S.; Brandon, T. Soil Strength and Slope Stability; John Wiley and Sons: New York, NY, USA, 2014. [Google Scholar]
- Khan, M.I.; Wang, S. Comparing the Various Slope Stability Methods to Find the Optimum Method for Calculating Factor of Slope Safety. Mater. Corros. Eng. Manag. 2020, 1, 6–9. [Google Scholar] [CrossRef]
- El-Ramly, H.; Morgenstern, N.; Cruden, D. Lodalen slide: A probabilistic assessment. Can. Geotech. J. 2016, 43, 956–968. [Google Scholar] [CrossRef]
- Pieczy´nska-Kozłowska, J.; Bagi´nska, I.; Kawa, M. The Identification of the Uncertainty in Soil Strength Parameters Based on CPTu Measurements and Random Fields. Sensors 2021, 21, 5393. [Google Scholar] [CrossRef]
- Phoon, K.-K.; Cao, Z.J.; Ji, J.; Leung, Y.F.; Najjar, S.; Shuku, T.; Tang, C.; Yin, Z.-Y.; Ikumasa, Y.; Ching, J. Geotechnical uncertainty, modeling, and decision making. Soils Foundat. 2020, 62, 5. [Google Scholar] [CrossRef]
- Chen, F.; Zhang, W. Influence of Spatial Variability on the Uniaxial Compressive Responses of Rock Pillar Based on 3D Random Field. ASCE ASME J. Risk Uncertainty Eng. Syst. Part A Civil Eng. 2021, 7, 3. [Google Scholar] [CrossRef]
- Abdulai, M.; Sharifzadeh, M. Probability Methods for Stability Design of Open Pit Rock Slopes: An Overview. Geosciences 2021, 11, 319. [Google Scholar] [CrossRef]
- Varkey, D.; Hicks, M.A.; Vardon, P.J. Effect of uncertainties in geometry, inter-layer boundary and shear strength properties on the probabilistic stability of a 3D embankment slope. In Georisk: Assessment and Management of Risk for Engineered Systems and Geohazards; Taylor & Francis Group: Abingdon, UK, 2022. [Google Scholar]
- Bardhan, A.; Samui, P. Probabilistic slope stability analysis of Heavy-haul freight corridor using a hybrid machine learning paradigm. Transport. Geotech. 2022, 37, 100815. [Google Scholar] [CrossRef]
- Li, C.; Wang, G.; He, J.; Wang, Y. A novel approach to probabilistic seismic landslide hazard mapping using Monte Carlo simulations. Eng. Geol. 2022, 301, 106616. [Google Scholar] [CrossRef]
- Fang, H.; Chen, Y.F.; Hou, Z.; Xu, G.; Wu, J. Probabilistic analysis of a cohesion-frictional slope using the slip-line field theory in a Monte-Carlo framework. Comput. Geotech. 2020, 120, 103398. [Google Scholar] [CrossRef]
- Duncan, J. State of the Art: Limit Equilibrium and Finite-Element Analysis of Slopes. J. Geotech. Eng. 1996, 122, 577–596. [Google Scholar] [CrossRef]
- Rocscience. Slide 2 2D Limit Equilibrium Slope Stability for Soil and Rock Slopes; Rocscience: Toronto, ON, Canada, 2021. [Google Scholar]
- Gilbert, R.B.; Gilbert, R.B.; Liedtke, E. Uncertainty in Back Analysis of Slopes: Kettleman Hills Case History. J. Geotech. Geoenviron. Eng. 1998, 124, 12. [Google Scholar] [CrossRef]
- Zhang, J.; Wilson, H.; Tang, H.; Zhang, M. Efficient Probabilistic Back-Analysis of Slope Stability Model Parameters. J. Geotech. Geoenviron. Eng. 2010, 136, 99–109. [Google Scholar] [CrossRef]
- Metropolis, N.; Ulam, S. The Monte Carlo Method. J. Am. Stat. Assoc. 1949, 44, 335–341. [Google Scholar] [CrossRef] [PubMed]
- Almeida, F.S.; Silveira, F.H.; Silv´, V. Stopping criterion for Monte Carlo method-based simulations of the lightning performance of transmission lines. Electric Power Syst. Res. 2023, 214, 108797. [Google Scholar] [CrossRef]
- Li, L.; Wang, Y.; Cao, Z.; Chu, X. Risk de-aggregation and system reliability analysis of slope stability using representative slip surfaces. Comput. Geotech. 2013, 53, 95–105. [Google Scholar] [CrossRef]
- Riggs, J. Production Systems; Wiley: Hoboken, NJ, USA, 1987. [Google Scholar]
- Schnaid, F.; Mello, L.; Dzialoszynski, B.S. Guidelines and recommendations on minimum factors of safety for slope stability of tailings dams. Soils Rocks 2020, 43, 369–395. [Google Scholar] [CrossRef]
- Shadabfar, M.; Huang, H.; Kordestani, H.; Muho, E.V. Reliability Analysis of Slope Stability Considering Uncertainty in Water Table Level. ASCE ASME J. Risk Uncertainty Eng. Syst. Part A Civil Eng. 2020, 6, 3. [Google Scholar] [CrossRef]
















| Method | Equilibrium | Slip Surface | Assumptions |
|---|---|---|---|
| Logarithmic spiral | Moment equilibrium about the center of a spiral | Log spiral | The slip surface is a logarithmic spiral |
| The ordinary method of slices | Moment equilibrium about the center of a circle | Circular | Side forces of the slices are neglected |
| Simplified Bishop | Vertical force and overall moment equilibrium | Circular | Zero interslice shear forces |
| Janbu simplified | Force equilibrium (Vertical and horizontal) | Any shape | The side forces are horizontal |
| Swedish Circle | Moment equilibrium about the center of a circle | Circular | Circular slip surface and zero friction angle |
| Material Name | Unit Weight (kN/m3) | Cohesion (kPa) | Friction Angle | Material Model |
|---|---|---|---|---|
| Soil-1 | 18.9 | 38.6 | 0.0 | Undrained model |
| Soil-2 | 18.6 | 19.1 | 0.0 | Undrained model |
| Embankment | 18.1 | 4.3 | 31.2 | Mohr–Coulomb |
| Material Name | Property | Distribution | Mean | Std. Dev. | Rel. Min | Rel. Max |
|---|---|---|---|---|---|---|
| Soil-1 | Cohesion(kPa) | Uniform | 38.6 | 0 | 38.6 | 60 |
| Soil-2 | Cohesion(kPa) | Uniform | 19.1 | 0 | 19.1 | 50 |
| Embankment | Cohesion(kPa) | Uniform | 4.3 | 0 | 4.3 | 50 |
| Embankment | Friction angle (°) | Uniform | 31.2 | 0 | 31.2 | 45 |
| Case | Cohesion (kPa) | Friction Angle (°) | Factor Safety | Remark |
|---|---|---|---|---|
| 1 | 6.25 | 32.98 | 1.031 | Minimum |
| 2 | 39.5 | 32.98 | 1.324 | - |
| 3 | 39.5 | 60.8 | 1.479 | - |
| Material Name | Mean of Cohesion (kPa) | Mean of Friction Angle (°) |
|---|---|---|
| Soil-1 | 38.6 | - |
| Soil-2 | 19.52 | - |
| Embankment | 39.5 | 32.98 |
Publisher’s Note: MDPI stays neutral with regard to jurisdictional claims in published maps and institutional affiliations. |
© 2022 by the authors. Licensee MDPI, Basel, Switzerland. This article is an open access article distributed under the terms and conditions of the Creative Commons Attribution (CC BY) license (https://creativecommons.org/licenses/by/4.0/).
Share and Cite
Chuaiwate, P.; Jaritngam, S.; Panedpojaman, P.; Konkong, N. Probabilistic Analysis of Slope against Uncertain Soil Parameters. Sustainability 2022, 14, 14530. https://doi.org/10.3390/su142114530
Chuaiwate P, Jaritngam S, Panedpojaman P, Konkong N. Probabilistic Analysis of Slope against Uncertain Soil Parameters. Sustainability. 2022; 14(21):14530. https://doi.org/10.3390/su142114530
Chicago/Turabian StyleChuaiwate, Pisanu, Saravut Jaritngam, Pattamad Panedpojaman, and Nirut Konkong. 2022. "Probabilistic Analysis of Slope against Uncertain Soil Parameters" Sustainability 14, no. 21: 14530. https://doi.org/10.3390/su142114530
APA StyleChuaiwate, P., Jaritngam, S., Panedpojaman, P., & Konkong, N. (2022). Probabilistic Analysis of Slope against Uncertain Soil Parameters. Sustainability, 14(21), 14530. https://doi.org/10.3390/su142114530

