Applicable Investigation of SPH in Characterization of Fluid Flow in Uniform and Non-Uniform Periodic Porous Media
Abstract
1. Introduction
2. Smoothed Particle Hydrodynamics Method
2.1. Basics and Formulation
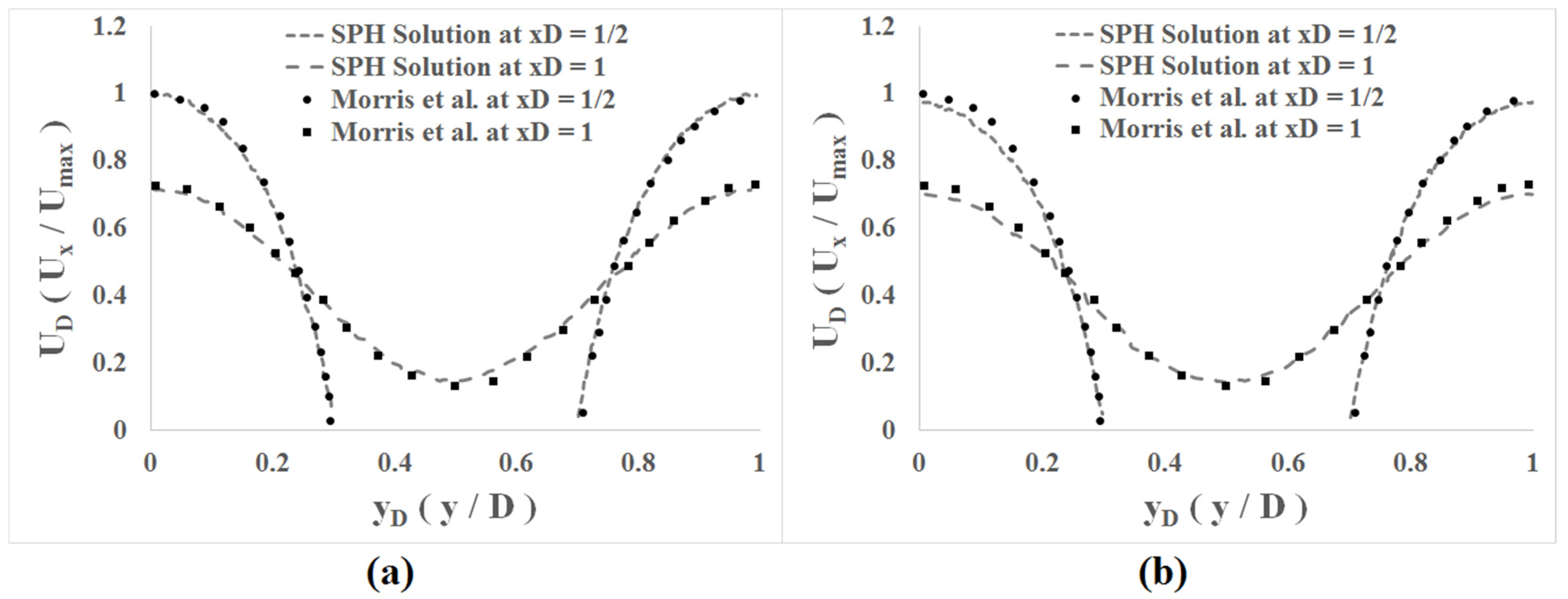
2.2. Testing and Verification: Fluid Flow around a Circular Cylinder
3. Investigation of Fluid Flow through Periodic Uniform Porous Media
3.1. Fluid Flow through Uniform Circular Array of Cylinders
3.2. Fluid Flow through Uniform Square Array of Cylinders
3.3. Fluid Flow through Uniform Diamond-Shaped Array of Cylinders
4. Investigation of Fluid Flow through Periodic Non-Uniform Porous Media
5. Permeability–Porosity Relationships
6. Tortuosity–Porosity Relationships
7. Conclusions
Author Contributions
Funding
Conflicts of Interest
Appendix A
References
- Vald´es-Parada, F.J.; Porter, M.L.; Wood, B.D. The role of tortuosity in upscaling. Transp. Porous Media 2011, 88, 1–30. [Google Scholar] [CrossRef]
- Tartakovsky, A.M.; Meakin, P. Pore scale modeling of immiscible and miscible fluid flows using smoothed particle hydrodynamics. Adv. Water Resour. 2006, 29, 1464–1478. [Google Scholar] [CrossRef]
- Matyka, M.; Khalili, A.; Koza, Z. Tortuosity-porosity relation in porous media flow. Phys. Rev. E 2008, 78, 026306. [Google Scholar] [CrossRef]
- Duda, A.; Koza, Z.; Matyka, M. Hydraulic tortuosity in arbitrary porous media flow. Phys. Rev. E 2011, 84, 1–8. [Google Scholar] [CrossRef]
- Latief, F.D.E.; Fauzi, U. Kozeny-Carman and empirical formula for the permeability of computer rock models. Int. J. Rock Mech. Min. Sci. 2012, 50, 117–123. [Google Scholar] [CrossRef]
- Hyman, J.D.; Smolarkiewicz, P.K.; Larrabee Winter, C. Pedotransfer functions for permeability: A computational study at pore scales. Water Resour. Res. 2013, 49, 2080–2092. [Google Scholar] [CrossRef]
- Ebrahimi Khabbazi, A.; Ellis, J.S.; Bazylak, A. Developing a new form of the Kozeny-Carman parameter for structured porous media through Lattice-Boltzmann modeling. Comput. Fluids 2013, 75, 35–41. [Google Scholar] [CrossRef]
- Allen, R.; Sun, S. Computing and comparing effective properties for flow and transport in computer-generated porous media. Geofluids 2017, 4517259. [Google Scholar] [CrossRef]
- Lucy, L.B. A numerical approach to the testing of the fission hypothesis. Astron. J. 1977, 82, 1013–1024. [Google Scholar] [CrossRef]
- Gingold, R.A.; Monaghan, J.J. Smoothed particle hydrodynamics: Theory and application to non-spherical stars. Mon. Not. R. Astron. Soc. 1977, 181, 375–389. [Google Scholar] [CrossRef]
- Monaghan, J.J. Smoothed particle hydrodynamics. Annu. Rev. Astron. Astrophys. 1992, 30, 543–574. [Google Scholar] [CrossRef]
- Monaghan, J.J. Simulating free surface flows with SPH. J. Comput. Phys. 1994, 110, 399–406. [Google Scholar] [CrossRef]
- Grenier, N.; Le Touzé, D.; Antuono, M.; Colagrossi, A. An Improved SPH Method for Multi-Phase Simulations. 2009. Available online: https://core.ac.uk/download/pdf/37833645.pdf (accessed on 15 June 2022).
- Morris, J.P.; Fox, P.J.; Zhu, Y. Modeling low Reynolds number incompressible flows using SPH. J. Comput. Phys. 1997, 136, 214–226. [Google Scholar] [CrossRef]
- Zhu, Y.; Fox, P.J.; Morris, J.P. A pore-scale numerical model for flow through porous media. Int. J. Numer. Anal. Methods Geomech. 1999, 23, 881–904. [Google Scholar] [CrossRef]
- Zhu, Y.; Fox, P.J. Smoothed particle hydrodynamics model for diffusion through porous media. Transp. Porous Media 2001, 43, 441–471. [Google Scholar] [CrossRef]
- Zhu, Y.; Fox, P.J. Simulation of pore-scale dispersion in periodic porous media using smoothed particle hydrodynamics. J. Comput. Phys. 2002, 182, 622–645. [Google Scholar] [CrossRef]
- Holmes, D.W.; Williams, J.R.; Tilke, P. Smooth particle hydrodynamics simulations of low Reynolds number flows through porous media. Int. J. Numer. Anal. Methods Geomech. 2011, 35, 419–437. [Google Scholar] [CrossRef]
- Pereira, G.G.; Prakash, M.; Cleary, P.W. SPH modelling of fluid at the grain level in a porous medium. Appl. Math. Model. 2011, 35, 1666–1675. [Google Scholar] [CrossRef]
- Golparvar, A.; Zhou, Y.; Wu, K.; Ma, J.; Yu, Z. A comprehensive review of pore scale modeling methodologies for multiphase flow in porous media. Adv. Geo-Energy Res. 2018, 2, 418–440. [Google Scholar] [CrossRef]
- Su, J.; Wang, L.; Gu, Z.; Zhang, Y.; Chen, C. Advances in pore-scale simulation of oil reservoirs. Energies 2018, 11, 1132. [Google Scholar] [CrossRef]
- Liu, M.B.; Liu, G.R. Smoothed Particle Hydrodynamics (SPH): An Overview and Recent Developments. Arch. Comput. Methods Eng. 2010, 17, 25–76. [Google Scholar] [CrossRef]
- Kunz, P.; Zarikos, I.M.; Karadimitriou, N.K.; Huber, M.; Nieken, U.; Hassanizadeh, S.M. Study of multi-phase flow in porous media: Comparison of SPH simulations with micro-model experiments. Transp. Porous Media 2015, 114, 581–600. [Google Scholar] [CrossRef]
- Sivanesapillai, R.; Falkner, N.; Hartmaier, A.; Steeb, H. A CSF-SPH method for simulating drainage and imbibition at pore-scale resolution while tracking interfacial areas. Adv. Water Resour. 2016, 95, 212–234. [Google Scholar] [CrossRef]
- Sivanesapillai, R.; Steeb, H. Fluid Interfaces during viscous-dominated primary drainage in 2D micromodels using pore-scale SPH simulations. Geofluids 2018, 2018, 8269645. [Google Scholar] [CrossRef]
- Liu, J.; Zhang, T.; Sun, S. Study of the imbibition phenomenon in porous media by the smoothed particle hydrodynamic (SPH) method. Entropy 2022, 24, 1212. [Google Scholar] [CrossRef]
- Bai, B.; Wang, Y.; Rao, D.; Bai, F. The effective thermal conductivity of unsaturated porous media deduced by pore-scale SPH simulation. Front. Earth Sci. 2022, 10, 943853. [Google Scholar] [CrossRef]
- Wu, S.; Rubinato, M.; Gui, Q. SPH simulation of interior and exterior flow field characteristics of porous media. Water 2020, 12, 918. [Google Scholar] [CrossRef]
- Jarrar, Z.A.; Al-Raoush, R.I.; Hannun, J.A.; Alshibli, K.A. New model for estimating geometric tortuosity of variably saturated porous media using 3D synchrotron microcomputed tomography imaging. Soil Sci. Soc. Am. J. 2021, 85, 1867–1879. [Google Scholar] [CrossRef]
- Liu, G.R. Smoothed Particle Hydrodynamics (SPH) Formulation; Coarse Note; Department of Mechanical Engineering, National University of Singapore: Singapore, 2000. [Google Scholar]
- Morris, J.P. A study of the stability properties of smooth particle hydrodynamics. Publ. Astron. Soc. Aust. 1996, 13, 97–102. [Google Scholar] [CrossRef]
- Kelager, M. Lagrangian Fluid Dynamics Using Smoothed Particle Hydrodynamics; Graduate Project; Department of Computer Science, University of Copenhagen: Copenhagen, Denmark, 2006. [Google Scholar]
- Monaghan, J.J.; Lattanzio, J.C. A refined particle method for astrophysical problems. Astron. Astrophys. 1985, 149, 135–143. [Google Scholar]
- Allen, M.P.; Tildesley, D.J. Computer Simulation of Liquids; Oxford University Press: Oxford, UK, 2001; Volume 81. [Google Scholar]
- Monaghan, J.J. SPH without a tensile instability. J. Comput. Phys. 2000, 159, 290–311. [Google Scholar] [CrossRef]
- Takeda, H.; Miyama, S.M.; Sekiya, M. Numerical simulation of viscous flow by smoothed particle hydrodynamics. Prog. Theor. Phys. 1994, 92, 939–960. [Google Scholar] [CrossRef]
- Sigalotti, L.D.G.; Klapp, J.; Sira, E.; Melean, Y.; Hasmy, A. SPH simulations of time-dependent Poiseuille flow at low Reynolds numbers. J. Comput. Phys. 2003, 191, 622–638. [Google Scholar] [CrossRef]
- Pirovano, M. Accurate Real-Time Fluid Dynamics Using Smoothed Particle Hydrodynamics and CUDA. Master’s Thesis, Politecnico di Milano, Milano, Italy, 2010. [Google Scholar]
- Koponen, A.; Kataja, M.; Timonen, J. Tortuous flow in porous media. Phys. Rev. E 1996, 54, 406–410. [Google Scholar] [CrossRef]
- Hu, X.Y.; Adams, N.A. A multi-phase SPH method for macroscopic and mesoscopic flows. J. Comput. Phys. 2006, 213, 844–861. [Google Scholar] [CrossRef]















| xD | yD | Re | UD | ΔPD | tD | kD |
|---|---|---|---|---|---|---|
| x/D | y/D | Umax × × D/μ | U/Umax | ΔP/Uavg2 × | t × Umax/D | k/D2 |
| dD | Holmes et al. [18] | Present Results | Relative Error |
|---|---|---|---|
| 0.25 | 1.25 | 1.29 | 2.93% |
| 0.36 | 2.00 | 2.02 | 0.91% |
| 0.50 | 4.12 | 4.12 | 0.10% |
| 0.62 | 8.24 | 8.28 | 0.55% |
| 0.71 | 17.25 | 17.51 | 1.49% |
| 0.80 | 41.94 | 42.82 | 2.09% |
| 0.87 | 140.48 | 142.44 | 1.40% |
| 0.94 | 1066.83 | 1021.08 | 4.29% |
| ϕ | Re | tD,ss (1) | UD,App (2) | UD,Real (3) | kD | τ1 (4) | τ2 (5) | τ3 (6) |
|---|---|---|---|---|---|---|---|---|
| Model 1 of Uniform Circular Array of Cylinders | ||||||||
| 95% | 16.51 | 3.30 | 0.59169 | 0.56205 | 0.06188 | 1.01966 | 1.01324 | 1.01302 |
| 90% | 12.55 | 2.82 | 0.52375 | 0.47137 | 0.03945 | 1.02879 | 1.01730 | 1.01701 |
| 80% | 8.18 | 2.05 | 0.44222 | 0.35399 | 0.01931 | 1.04568 | 1.02051 | 1.02024 |
| 70% | 5.40 | 1.62 | 0.38137 | 0.26700 | 0.00961 | 1.05055 | 1.02088 | 1.02071 |
| 60% | 3.43 | 1.37 | 0.33139 | 0.19863 | 0.00455 | 1.03920 | 1.01992 | 1.01984 |
| 50% | 2.02 | 1.01 | 0.27682 | 0.13841 | 0.00186 | 1.03699 | 1.01952 | 1.01949 |
| 40% | 1.01 | 0.60 | 0.20842 | 0.08329 | 0.00056 | 1.02451 | 1.01668 | 1.01666 |
| 30% | 0.29 | 0.43 | 0.13544 | 0.04062 | 0.00008 | 1.03122 | 1.02233 | 1.02231 |
| Model 2 of Uniform Circular Array of Cylinders | ||||||||
| 95% | 16.50 | 3.30 | 0.59179 | 0.56214 | 0.06182 | 1.02415 | 1.01608 | 1.01575 |
| 90% | 12.55 | 2.82 | 0.52394 | 0.47154 | 0.03945 | 1.03414 | 1.01798 | 1.01761 |
| 80% | 8.18 | 2.05 | 0.44201 | 0.35383 | 0.01930 | 1.03867 | 1.01651 | 1.01625 |
| 70% | 5.40 | 1.62 | 0.38055 | 0.26643 | 0.00959 | 1.03098 | 1.01583 | 1.01570 |
| 60% | 3.43 | 1.37 | 0.33139 | 0.19863 | 0.00455 | 1.02830 | 1.01570 | 1.01560 |
| 50% | 2.02 | 1.01 | 0.27683 | 0.13841 | 0.00186 | 1.02624 | 1.01203 | 1.01200 |
| 40% | 1.01 | 0.60 | 0.20842 | 0.08329 | 0.00056 | 1.03188 | 1.01610 | 1.01565 |
| 30% | 0.30 | 0.44 | 0.13187 | 0.03955 | 0.00008 | 1.01903 | 1.01607 | 1.01604 |
| Model 3 of Uniform Circular Array of Cylinders | ||||||||
| 95% | 6.68 | 1.34 | 0.73748 | 0.70016 | 0.03116 | 1.05311 | 1.05174 | 1.05172 |
| 90% | 4.80 | 1.20 | 0.69245 | 0.62307 | 0.01995 | 1.08405 | 1.08295 | 1.08293 |
| 80% | 2.90 | 0.87 | 0.62406 | 0.49925 | 0.00965 | 1.13608 | 1.13326 | 1.13322 |
| 70% | 1.94 | 0.78 | 0.53670 | 0.37526 | 0.00486 | 1.17775 | 1.17435 | 1.17434 |
| 60% | 1.25 | 0.75 | 0.46157 | 0.27703 | 0.00231 | 1.20804 | 1.20606 | 1.20606 |
| 50% | 0.72 | 0.51 | 0.39743 | 0.19871 | 0.00096 | 1.23558 | 1.23098 | 1.23092 |
| 40% | 0.37 | 0.29 | 0.30046 | 0.12024 | 0.00029 | 1.26147 | 1.26004 | 1.26001 |
| 30% | 0.12 | 0.18 | 0.16637 | 0.04988 | 0.00004 | 1.28034 | 1.27546 | 1.27546 |
| ϕ | Re | tD,ss | UD,App | UD,Real | kD | τ1 | τ2 | τ3 |
|---|---|---|---|---|---|---|---|---|
| Model 1 of Uniform Square Array of Cylinders | ||||||||
| 95% | 16.19 | 3.24 | 0.58931 | 0.56014 | 0.06046 | 1.01726 | 1.01237 | 1.01216 |
| 90% | 11.85 | 2.67 | 0.52042 | 0.46796 | 0.03697 | 1.02735 | 1.01540 | 1.01511 |
| 80% | 7.56 | 1.89 | 0.46734 | 0.37584 | 0.01894 | 1.03637 | 1.01361 | 1.01340 |
| 70% | 4.90 | 1.47 | 0.43437 | 0.30653 | 0.01002 | 1.02805 | 1.00917 | 1.00845 |
| 60% | 2.93 | 1.17 | 0.40192 | 0.23858 | 0.00466 | 1.01432 | 1.00683 | 1.00680 |
| 50% | 1.97 | 0.98 | 0.39472 | 0.19992 | 0.00262 | 1.00999 | 1.00527 | 1.00525 |
| 40% | 1.04 | 0.62 | 0.37182 | 0.14706 | 0.00102 | 1.00856 | 1.00458 | 1.00457 |
| 30% | 0.55 | 0.83 | 0.35348 | 0.10555 | 0.00039 | 1.01025 | 1.00541 | 1.00539 |
| Model 2 of Uniform Square Array of Cylinders | ||||||||
| 95% | 16.20 | 3.24 | 0.58958 | 0.56040 | 0.06052 | 1.02498 | 1.01534 | 1.01503 |
| 90% | 11.84 | 2.66 | 0.52070 | 0.46821 | 0.03697 | 1.03349 | 1.01528 | 1.01493 |
| 80% | 7.56 | 1.89 | 0.46735 | 0.37584 | 0.01894 | 1.02939 | 1.01022 | 1.01006 |
| 70% | 4.90 | 1.47 | 0.43437 | 0.30653 | 0.01002 | 1.01878 | 1.00755 | 1.00747 |
| 60% | 2.93 | 1.17 | 0.40192 | 0.23858 | 0.00466 | 1.01088 | 1.00585 | 1.00582 |
| 50% | 1.97 | 0.98 | 0.39472 | 0.19992 | 0.00262 | 1.01160 | 1.00510 | 1.00508 |
| 40% | 1.04 | 0.62 | 0.37182 | 0.14706 | 0.00102 | 1.00887 | 1.00363 | 1.00362 |
| 30% | 0.55 | 0.82 | 0.35545 | 0.10614 | 0.00039 | 1.00798 | 1.00357 | 1.00355 |
| Model 3 of Uniform Square Array of Cylinders | ||||||||
| 95% | 6.41 | 1.28 | 0.73670 | 0.70016 | 0.02991 | 1.05391 | 1.05241 | 1.05239 |
| 90% | 4.45 | 1.11 | 0.67884 | 0.61163 | 0.01813 | 1.08602 | 1.08227 | 1.08224 |
| 85% | 3.25 | 0.97 | 0.59678 | 0.50488 | 0.01093 | 1.12248 | 1.11604 | 1.11600 |
| 80% | 2.55 | 1.02 | 0.52875 | 0.42215 | 0.00717 | 1.14746 | 1.13928 | 1.13924 |
| 75% | 1.98 | 1.19 | 0.44771 | 0.33328 | 0.00439 | 1.17399 | 1.16324 | 1.16323 |
| 70% | 1.60 | 1.12 | 0.39805 | 0.28158 | 0.00301 | 1.18119 | 1.17167 | 1.17164 |
| 65% | 1.16 | 0.93 | 0.30833 | 0.20085 | 0.00156 | 1.20297 | 1.19375 | 1.19374 |
| 60% | 0.83 | 1.24 | 0.25046 | 0.15238 | 0.00084 | 1.22267 | 1.20122 | 1.20110 |
| ϕ | Re | tD,ss | UD,App | UD,Real | kD | τ1 | τ2 | τ3 |
|---|---|---|---|---|---|---|---|---|
| Model 1 of Uniform Diamond-Shaped Array of Cylinders | ||||||||
| 95% | 16.00 | 3.20 | 0.57287 | 0.54445 | 0.05808 | 1.02133 | 1.01511 | 1.01489 |
| 90% | 11.85 | 2.67 | 0.49091 | 0.44231 | 0.03493 | 1.03545 | 1.02094 | 1.02060 |
| 85% | 9.24 | 2.31 | 0.42686 | 0.36347 | 0.02239 | 1.04866 | 1.02583 | 1.02551 |
| 80% | 7.14 | 2.14 | 0.36689 | 0.29292 | 0.01393 | 1.06195 | 1.03042 | 1.03012 |
| 75% | 5.51 | 2.20 | 0.32222 | 0.24215 | 0.00889 | 1.07542 | 1.03420 | 1.03396 |
| 70% | 4.25 | 2.12 | 0.26636 | 0.18637 | 0.00528 | 1.07833 | 1.03648 | 1.03634 |
| 65% | 3.16 | 1.90 | 0.21214 | 0.13819 | 0.00291 | 1.07239 | 1.03641 | 1.03635 |
| 60% | 2.01 | 3.02 | 0.16042 | 0.09617 | 0.00129 | 1.08525 | 1.04001 | 1.03978 |
| Model 2 of Uniform Diamond-Shaped Array of Cylinders | ||||||||
| 95% | 15.99 | 3.20 | 0.57323 | 0.54480 | 0.05806 | 1.02677 | 1.01771 | 1.01742 |
| 90% | 11.84 | 2.66 | 0.49104 | 0.44242 | 0.03493 | 1.03593 | 1.02118 | 1.02081 |
| 85% | 9.24 | 2.31 | 0.42687 | 0.36348 | 0.02239 | 1.04112 | 1.02249 | 1.02214 |
| 80% | 7.14 | 2.14 | 0.36685 | 0.29290 | 0.01393 | 1.04877 | 1.02366 | 1.02342 |
| 75% | 5.51 | 2.20 | 0.32222 | 0.24215 | 0.00889 | 1.04674 | 1.02441 | 1.02421 |
| 70% | 4.25 | 2.12 | 0.26636 | 0.18637 | 0.00528 | 1.05192 | 1.02678 | 1.02670 |
| 65% | 3.16 | 1.90 | 0.21214 | 0.13819 | 0.00291 | 1.05235 | 1.02828 | 1.02820 |
| 60% | 2.01 | 3.02 | 0.16046 | 0.09620 | 0.00129 | 1.05387 | 1.03187 | 1.03174 |
| Model 3 of Uniform Diamond-Shaped Array of Cylinders | ||||||||
| 95% | 6.63 | 1.33 | 0.72270 | 0.68613 | 0.03033 | 1.05681 | 1.05600 | 1.05598 |
| 90% | 4.76 | 1.19 | 0.67189 | 0.60524 | 0.01919 | 1.09385 | 1.09250 | 1.09248 |
| 80% | 2.91 | 0.87 | 0.60760 | 0.48730 | 0.00944 | 1.15462 | 1.15205 | 1.15204 |
| 70% | 1.85 | 0.74 | 0.56856 | 0.39969 | 0.00494 | 1.20294 | 1.20223 | 1.20223 |
| 60% | 1.17 | 0.70 | 0.53429 | 0.31886 | 0.00249 | 1.24576 | 1.24433 | 1.24433 |
| 50% | 0.73 | 0.51 | 0.51904 | 0.26108 | 0.00128 | 1.27634 | 1.27611 | 1.27611 |
| 40% | 0.40 | 0.32 | 0.50609 | 0.20213 | 0.00054 | 1.30520 | 1.30383 | 1.30383 |
| 30% | 0.22 | 0.34 | 0.47586 | 0.14409 | 0.00021 | 1.33775 | 1.33520 | 1.33520 |
| ϕ | Re | tD,ss | UD,App | UD,Real | kD | τ1 | τ2 | τ3 |
|---|---|---|---|---|---|---|---|---|
| Model (a) of Non-Uniform Circular Array of Cylinders | ||||||||
| 95% | 4.75 | 0.95 | 0.51933 | 0.49331 | 0.01562 | 1.03202 | 1.03021 | 1.03017 |
| 91% | 2.91 | 0.66 | 0.39217 | 0.35590 | 0.00692 | 1.05852 | 1.05304 | 1.05299 |
| 82% | 1.33 | 0.33 | 0.36332 | 0.29643 | 0.00263 | 1.13712 | 1.13208 | 1.13207 |
| 73% | 0.82 | 0.24 | 0.29764 | 0.21698 | 0.00118 | 1.17651 | 1.15644 | 1.15644 |
| 65% | 0.49 | 0.20 | 0.21903 | 0.14303 | 0.00047 | 1.14191 | 1.12003 | 1.12011 |
| 59% | 0.48 | 0.24 | 0.15894 | 0.09327 | 0.00030 | 1.08718 | 1.07907 | 1.07890 |
| 53% | 0.44 | 0.26 | 0.12714 | 0.06707 | 0.00020 | 1.21133 | 1.12599 | 1.13273 |
| 48% | 0.31 | 0.47 | 0.15696 | 0.07503 | 0.00016 | 1.17816 | 1.12599 | 1.13779 |
| Model (b) of Non-Uniform Square Array of Cylinders | ||||||||
| 95% | 4.66 | 0.93 | 0.52255 | 0.49668 | 0.01544 | 1.03150 | 1.03012 | 1.03009 |
| 91% | 2.81 | 0.63 | 0.39027 | 0.35417 | 0.00662 | 1.05940 | 1.05293 | 1.05287 |
| 82% | 1.28 | 0.32 | 0.35005 | 0.28533 | 0.00243 | 1.15049 | 1.14087 | 1.14089 |
| 73% | 0.75 | 0.23 | 0.30683 | 0.22377 | 0.00113 | 1.18518 | 1.16411 | 1.16411 |
| 65% | 0.51 | 0.20 | 0.20707 | 0.13447 | 0.00045 | 1.15358 | 1.12106 | 1.12105 |
| 59% | 0.49 | 0.24 | 0.15116 | 0.08895 | 0.00029 | 1.08413 | 1.07645 | 1.07644 |
| 53% | 0.46 | 0.27 | 0.12284 | 0.06500 | 0.00020 | 1.18030 | 1.11890 | 1.11894 |
| 48% | 0.32 | 0.48 | 0.15109 | 0.07290 | 0.00016 | 1.24735 | 1.20921 | 1.17503 |
| Model (c) of Non-Uniform Diamond-Shaped Array of Cylinders | ||||||||
| 95% | 4.72 | 0.94 | 0.51235 | 0.48688 | 0.01531 | 1.03328 | 1.03145 | 1.03142 |
| 91% | 2.90 | 0.65 | 0.38329 | 0.34806 | 0.00672 | 1.06197 | 1.05582 | 1.05576 |
| 82% | 1.34 | 0.34 | 0.35095 | 0.28659 | 0.00256 | 1.14407 | 1.13522 | 1.13520 |
| 73% | 0.84 | 0.25 | 0.27389 | 0.20018 | 0.00112 | 1.19193 | 1.16428 | 1.16427 |
| 65% | 0.47 | 0.19 | 0.21220 | 0.13835 | 0.00043 | 1.12501 | 1.11656 | 1.11617 |
| 59% | 0.46 | 0.23 | 0.15784 | 0.09253 | 0.00028 | 1.09028 | 1.08370 | 1.08401 |
| 53% | 0.40 | 0.24 | 0.12520 | 0.06603 | 0.00018 | 1.30476 | 1.16190 | 1.18198 |
| 48% | 0.30 | 0.45 | 0.14739 | 0.07047 | 0.00014 | 1.18310 | 1.12349 | 1.13102 |
| a4 | a3 | a2 | a1 | a0 | |
|---|---|---|---|---|---|
| (a)—Model 1 | 0.71426 | −1.35433 | 0.99922 | −0.32041 | 0.03709 |
| (a)—Model 2 | 0.71557 | −1.35669 | 1.00057 | −0.32069 | 0.03711 |
| (a)—Model 3 | 0.38405 | −0.73688 | 0.54734 | −0.17630 | 0.02048 |
| (b)—Model 1 | 0.66189 | −1.24721 | 0.90900 | −0.28523 | 0.03249 |
| (b)—Model 2 | 0.66154 | −1.24646 | 0.90841 | −0.28503 | 0.03246 |
| (b)—Model 3 | 3.99710 | −11.33184 | 12.12907 | −5.77380 | 1.02836 |
| (c)—Model 1 | 7.73145 | −21.87268 | 23.35105 | −11.08091 | 1.96604 |
| (c)—Model 2 | 7.72011 | −21.83951 | 23.31490 | −11.06351 | 1.96292 |
| (c)—Model 3 | 0.38964 | −0.75458 | 0.56046 | −0.17915 | 0.02077 |
| (d) | 0.4801 | −1.1419 | 1.0285 | −0.4125 | 0.0620 |
| (e) | 0.5534 | −1.3462 | 1.2362 | −0.5042 | 0.0769 |
| (f) | 0.4357 | −1.0248 | 0.9134 | −0.3628 | 0.0541 |
Publisher’s Note: MDPI stays neutral with regard to jurisdictional claims in published maps and institutional affiliations. |
© 2022 by the authors. Licensee MDPI, Basel, Switzerland. This article is an open access article distributed under the terms and conditions of the Creative Commons Attribution (CC BY) license (https://creativecommons.org/licenses/by/4.0/).
Share and Cite
Mohammadi, M.; Riazi, M. Applicable Investigation of SPH in Characterization of Fluid Flow in Uniform and Non-Uniform Periodic Porous Media. Sustainability 2022, 14, 14320. https://doi.org/10.3390/su142114320
Mohammadi M, Riazi M. Applicable Investigation of SPH in Characterization of Fluid Flow in Uniform and Non-Uniform Periodic Porous Media. Sustainability. 2022; 14(21):14320. https://doi.org/10.3390/su142114320
Chicago/Turabian StyleMohammadi, Masoud, and Masoud Riazi. 2022. "Applicable Investigation of SPH in Characterization of Fluid Flow in Uniform and Non-Uniform Periodic Porous Media" Sustainability 14, no. 21: 14320. https://doi.org/10.3390/su142114320
APA StyleMohammadi, M., & Riazi, M. (2022). Applicable Investigation of SPH in Characterization of Fluid Flow in Uniform and Non-Uniform Periodic Porous Media. Sustainability, 14(21), 14320. https://doi.org/10.3390/su142114320

