Sensitivity Analysis for Decisive Design Parameters for Energy and Indoor Visual Performances of a Glazed Façade Office Building
Abstract
1. Introduction
2. Materials and Methods
2.1. Step-I: Uncertainty Evaluation
2.2. Step-II: Sensitivity Evaluation
2.3. Simulation Tool for Estimation of Energy and Indoor Visual Performance Parameters
2.4. Roller Shade Model in EnergyPlus
2.5. Climate of the Case Study Location
2.6. Reference Case and Input Parameters
2.7. Input for Indoor Illuminance Level and Useful Daylight Illuminance Assessment
2.8. Controls for Indoor Thermal Environment
2.9. Indoor Lighting and Glare Control and Assessment
2.10. Internal Heat Gain
2.11. Design Input Variables and Simulation Cases
2.12. Building Energy and Indoor Visual Performances Assessment Criteria
2.13. Validation of Simulation Model and Reliability of the Results
3. Results and Discussions
3.1. Uncertainty and Sensitivity
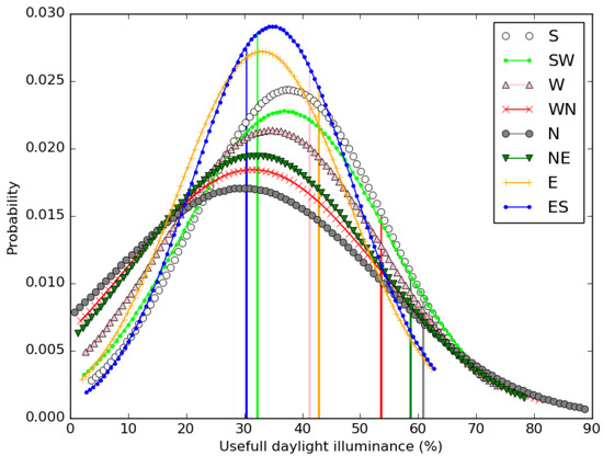
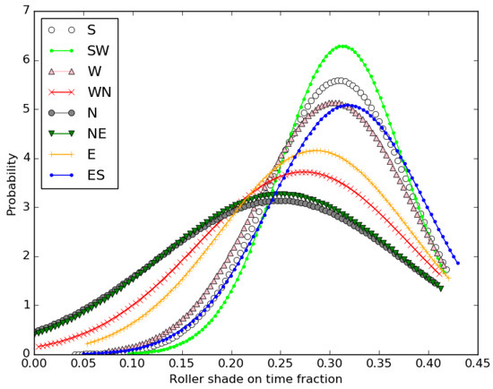
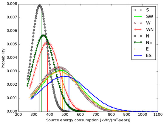
3.2. Impact of Highly Influential Design Parameters on the Source Energy Consumption
4. Conclusions
Author Contributions
Funding
Institutional Review Board Statement
Informed Consent Statement
Data Availability Statement
Conflicts of Interest
References
- Tan, Y.; Peng, J.; Curcija, D.C.; Hart, R.; Jonsson, J.C.; Selkowitz, S. Parametric study of the impact of window attachments on air conditioning energy consumption. Sol. Energy 2020, 202, 136–143. [Google Scholar] [CrossRef]
- Ulpiani, G. Overheating phenomena induced by fully-glazed façades: Investigation of a sick building in Italy and assessment of the benefits achieved via fuzzy control of the AC system. Sol. Energy 2017, 158, 572–594. [Google Scholar] [CrossRef]
- Ulpiani, G.; Benedettelli, M.; di Perna, C.; Naticchia, B. Overheating phenomena induced by fully-glazed façades: Investigation of a sick building in Italy and assessment of the benefits achieved via model predictive control of the AC system. Sol. Energy 2017, 157, 830–852. [Google Scholar] [CrossRef]
- Singh, R.; Lazarus, I.J.; Kishore, V.V.N. Effect of internal woven roller shade and glazing on the energy and daylighting performances of an office building in the cold climate of Shillong. Appl. Energy 2015, 159, 317–333. [Google Scholar] [CrossRef]
- Feist, W.; Schnieders, J.; Dorer, V.; Haas, A. Re-inventing air heating: Convenient and comfortable within the frame of the Passive House concept. Energy Build. 2005, 37, 1186–1203. [Google Scholar] [CrossRef]
- Saroglou, T.; Theodosiou, T.; Givoni, B.; Meir, I.A. A study of different envelope scenarios towards low carbon high-rise buildings in the Mediterranean climate-can DSF be part of the solution? Renew. Sustain. Energy Rev. 2019, 113, 109237. [Google Scholar] [CrossRef]
- Saroglou, T.; Meir, I.; Theodosiou, T. Quantifying Energy Consumption in Skyscrapers of Various Heights. Procedia Environ. Sci. 2017, 38, 314–321. [Google Scholar] [CrossRef]
- Qian, D.; Li, Y.; Niu, F.; O′Neill, Z. Nationwide savings analysis of energy conservation measures in buildings. Energy Convers. Manag. 2019, 188, 1–18. [Google Scholar] [CrossRef]
- Tian, W.; Song, J.; Li, Z.; de Wilde, P. Bootstrap techniques for sensitivity analysis and model selection in building thermal performance analysis. Appl. Energy 2014, 135, 320–328. [Google Scholar] [CrossRef]
- Singh, R.; Kishore, V.V.N. Introduction to Energy-Efficient Building Development and Sustainability. In Sustainability through Energy-Efficient Buildings, 1st ed.; Shukla, A., Sharma, A., Eds.; CRC Press: Boca Raton, FL, USA, 2018; pp. 1–31. [Google Scholar]
- Patel, N.; Buddhi, D. Analysis on Energy-Efficient HVAC System for Buildings BT-Recent Trends in Thermal Engineering; Kumar, R., Pandey, A.K., Sharma, R.K., Norkey, G., Eds.; Springer: Singapore, 2022; pp. 213–218. [Google Scholar]
- Arnaoutakis, G.E.; Katsaprakakis, D.A. Energy Performance of Buildings with Thermochromic Windows in Mediterranean Climates. Energies 2021, 14, 6977. [Google Scholar] [CrossRef]
- Fathi, S.; Kavoosi, A. Effect of electrochromic windows on energy consumption of high-rise office buildings in different climate regions of Iran. Sol. Energy 2021, 223, 132–149. [Google Scholar] [CrossRef]
- Saroglou, T.; Theodosiou, T.; Givoni, B.; Meir, I.A. Studies on the optimum double-skin curtain wall design for high-rise buildings in the Mediterranean climate. Energy Build. 2020, 208, 109641. [Google Scholar] [CrossRef]
- Xamán, J.; Pérez-Nucamendi, C.; Arce, J.; Hinojosa, J.; Álvarez, G.; Zavala-Guillén, I. Thermal analysis for a double pane window with a solar control film for using in cold and warm climates. Energy Build. 2014, 76, 429–439. [Google Scholar] [CrossRef]
- Rodriguez-Ake, A.; Xamán, J.; Hernández-López, I.; Sauceda, D.; Carranza-Chávez, F.J.; Zavala-Guillén, I. Numerical study and thermal evaluation of a triple glass window under Mexican warm climate conditions. Energy 2021, 239, 122075. [Google Scholar] [CrossRef]
- Joshi, M.; Buddhi, D.; Singh, R. Effect of overhang shade on the solar heat gain through window in composite climate in Mid-Westtern India. J. Sci. Ind. Res. 2022, 81, 3906. [Google Scholar]
- Singh, R.; Lazarus, I.J. Energy and daylighting performances of highly glazed buildings. In Proceedings of the 14th International Conference of IBPSA-Building Simulation, Hyderabad, India, 7–9 December 2015. [Google Scholar]
- Moghtadernejad, S.; Chouinard, L.E.; Mirza, M.S. Multi-criteria decision-making methods for preliminary design of sustainable facades. J. Build. Eng. 2018, 19, 181–190. [Google Scholar] [CrossRef]
- Singh, R.; Buddhi, D.; Vatin, N.I.; Prakash, C.; Dixit, S.; Khera, G.S.; Solovev, S.A.; Ilyashenko, S.B.; John, V. Life Cycle Saving Analysis of an Earth-Coupled Building without and with Roof Evaporative Cooling for Energy Efficient Potato Storage Application. Energies 2022, 15, 4076. [Google Scholar] [CrossRef]
- Iken, O.; Fertahi, S.E.-D.; Dlimi, M.; Agounoun, R.; Kadiri, I.; Sbai, K. Thermal and energy performance investigation of a smart double skin facade integrating vanadium dioxide through CFD simulations. Energy Convers. Manag. 2019, 195, 650–671. [Google Scholar] [CrossRef]
- Cuce, E.; Young, C.-H.; Riffat, S.B. Thermal performance investigation of heat insulation solar glass: A comparative experimental study. Energy Build. 2015, 86, 595–600. [Google Scholar] [CrossRef]
- Cuce, E.; Riffat, S.B. A state-of-the-art review on innovative glazing technologies. Renew. Sustain. Energy Rev. 2015, 41, 695–714. [Google Scholar] [CrossRef]
- Kumar, A.; Sharma, S.; Goyal, N.; Singh, A.; Cheng, X.; Singh, P. Secure and energy-efficient smart building architecture with emerging technology IoT. Comput. Commun. 2021, 176, 207–217. [Google Scholar] [CrossRef]
- Gomes, M.D.G.; Santos, A.; Rodrigues, A.M. Solar and visible optical properties of glazing systems with venetian blinds: Numerical, experimental and blind control study. Build. Environ. 2014, 71, 47–59. [Google Scholar] [CrossRef]
- Shen, H.; Tzempelikos, A. Sensitivity analysis on daylighting and energy performance of perimeter offices with automated shading. Build. Environ. 2013, 59, 303–314. [Google Scholar] [CrossRef]
- Frontini, F.; Kuhn, T.E. The influence of various internal blinds on thermal comfort: A new method for calculating the mean radiant temperature in office spaces. Energy Build. 2012, 54, 527–533. [Google Scholar] [CrossRef]
- Tzempelikos, A.; Athienitis, A.K. The impact of shading design and control on building cooling and lighting demand. Sol. Energy 2007, 81, 369–382. [Google Scholar] [CrossRef]
- Al Touma, A.; Ouahrani, D. Shading and day-lighting controls energy savings in offices with fully-Glazed façades in hot climates. Energy Build. 2017, 151, 263–274. [Google Scholar] [CrossRef]
- Grynning, S.; Time, B.; Matusiak, B. Solar shading control strategies in cold climates-Heating, cooling demand and daylight availability in office spaces. Sol. Energy 2014, 107, 182–194. [Google Scholar] [CrossRef]
- Tzempelikos, A.; Shen, H. Comparative control strategies for roller shades with respect to daylighting and energy performance. Build. Environment 2013, 67, 179–192. [Google Scholar] [CrossRef]
- Garcia, D.D.L.R.; Pereira, F.O.R. Method application and analyses of visual and thermal-energy performance prediction in offices buildings with internal shading devices. Build. Environ. 2021, 198, 107912. [Google Scholar] [CrossRef]
- Shen, H.; Tzempelikos, A. Daylighting and energy analysis of private offices with automated interior roller shades. Sol. Energy 2012, 86, 681–704. [Google Scholar] [CrossRef]
- Liu, M.; Wittchen, K.B.; Heiselberg, P.K. Development of a simplified method for intelligent glazed façade design under different control strategies and verified by building simulation tool BSim. Build. Environ. 2014, 74, 31–38. [Google Scholar] [CrossRef]
- Bellia, L.; De Falco, F.; Minichiello, F. Effects of solar shading devices on energy requirements of standalone office buildings for Italian climates. Appl. Therm. Eng. 2013, 54, 190–201. [Google Scholar] [CrossRef]
- Sanati, L.; Utzinger, M. The effect of window shading design on occupant use of blinds and electric lighting. Build. Environ. 2013, 64, 67–76. [Google Scholar] [CrossRef]
- Wang, R.; Lu, S.; Feng, W. Impact of adjustment strategies on building design process in different climates oriented by multiple performance. Appl. Energy 2020, 266, 114822. [Google Scholar] [CrossRef]
- Mechri, H.E.; Capozzoli, A.; Corrado, V. USE of the ANOVA approach for sensitive building energy design. Appl. Energy 2010, 87, 3073–3083. [Google Scholar] [CrossRef]
- Zhu, L.; Zhang, J.; Gao, Y.; Tian, W.; Yan, Z.; Ye, X.; Sun, Y.; Wu, C. Uncertainty and sensitivity analysis of cooling and heating loads for building energy planning. J. Build. Eng. 2021, 45, 103440. [Google Scholar] [CrossRef]
- Heiselberg, P.; Brohus, H.; Hesselholt, A.; Rasmussen, H.; Seinre, E.; Thomas, S. Application of sensitivity analysis in design of sustainable buildings. Renew. Energy 2009, 34, 2030–2036. [Google Scholar] [CrossRef]
- Yu, W.; Harris, T. Parameter uncertainty effects on variance-based sensitivity analysis. Reliab. Eng. Syst. Saf. 2009, 94, 596–603. [Google Scholar] [CrossRef]
- Tomlin, A.S. The use of global uncertainty methods for the evaluation of combustion mechanisms. Reliab. Eng. Syst. Saf. 2006, 91, 1219–1231. [Google Scholar] [CrossRef]
- Saltelli, A.; Andres, T.; Homma, T. Sensitivity analysis of model output. Performance of the iterated fractional factorial design method. Comput. Stat. Data Anal. 1995, 20, 387–407. [Google Scholar] [CrossRef]
- Kannan, R. Uncertainties in key low carbon power generation technologies – Implication for UK decarbonisation targets. Appl. Energy 2009, 86, 1873–1886. [Google Scholar] [CrossRef]
- De Wit, S.; Augenbroe, G. Analysis of uncertainty in building design evaluations and its implications. Energy Build. 2002, 34, 951–958. [Google Scholar] [CrossRef]
- Aliberti, G.; Palmiotti, G.; Salvatores, M.; Kim, T.; Taiwo, T.; Anitescu, M.; Kodeli, I.; Sartori, E.; Bosq, J.; Tommasi, J. Nuclear data sensitivity, uncertainty and target accuracy assessment for future nuclear systems. Ann. Nucl. Energy 2006, 33, 700–733. [Google Scholar] [CrossRef]
- Tian, W.; De Wilde, P. Uncertainty and sensitivity analysis of building performance using probabilistic climate projections: A UK case study. Autom. Constr. 2011, 20, 1096–1109. [Google Scholar] [CrossRef]
- Morris, M.D. Factorial Sampling Plans for Preliminary Computational Experiments. Technometrics 1991, 33, 161–174. [Google Scholar] [CrossRef]
- Saltelli, A.; Ratto, M.; Andres, T.; Campolongo, F.; Cariboni, J.; Gatelli, D.; Saisana, M. Global Sensitivity Analysis. The Primer, 1st ed.; John Wiley & Sons: London, UK, 2004. [Google Scholar]
- Bettonvil, B.; Kleijnen, J.P. Searching for important factors in simulation models with many factors: Sequential bifurcation. Eur. J. Oper. Res. 1997, 96, 180–194. [Google Scholar] [CrossRef]
- Fürbringer, J.-M.; Roulet, C. Comparison and combination of factorial and Monte-Carlo design in sensitivity analysis. Build. Environ. 1995, 30, 505–519. [Google Scholar] [CrossRef]
- Saltelli, A.; Tarantola, S.; Compolongo, F.; Ratto, M. Sensitivity Analysis in Practice: A Guide to Assessing Scientific Models; John Wiley & Sons: London, UK, 2004. [Google Scholar]
- Tian, W. A review of sensitivity analysis methods in building energy analysis. Renew. Sustain. Energy Rev. 2013, 20, 411–419. [Google Scholar] [CrossRef]
- Kottek, M.; Grieser, J.; Beck, C.; Rudolf, B.; Rubel, F. World map of the Köppen-Geiger climate classification updated. Meteorol. Z. 2006, 15, 259–263. [Google Scholar] [CrossRef]
- Wang, R.; Lu, S.; Feng, W. A three-stage optimization methodology for envelope design of passive house considering energy demand, thermal comfort and cost. Energy 2020, 192, 116723. [Google Scholar] [CrossRef]
- Mckay, M.D.; Beckman, R.J.; Conover, W.J. A comparison of three methods of selecting values of input variables in the analysis of output from a computer code. Technometrics 1979, 21, 239–245. [Google Scholar]
- JRC. Joint Research Center; European Commission: Brussels, Belgium, 2008. [Google Scholar]
- Saltelli, A.; Tarantola, S.; Chan, K.P.-S. A Quantitative Model-Independent Method for Global Sensitivity Analysis of Model Output. Technometrics 1999, 41, 39–56. [Google Scholar] [CrossRef]
- Cukier, R.I.; Levine, H.B.; Shuler, K.E. Nonlinear sensitivity analysis of multiparameter model systems. J. Comput. Phys. 1978, 26, 1–42. [Google Scholar] [CrossRef]
- EnergyPlus. 2015. Available online: www.eere.energy.gov/buildings/energyplus (accessed on 5 September 2021).
- Fumo, N.; Mago, P.; Luck, R. Methodology to estimate building energy consumption using EnergyPlus Benchmark Models. Energy Build. 2010, 42, 2331–2337. [Google Scholar] [CrossRef]
- Bojić, M.; Djordjević, S.; Malesević, J.; Miletić, M.; Cvetković, D. A simulation appraisal of a switch of district to electric heating due to increased heat efficiency in an office building. Energy Build. 2012, 50, 324–330. [Google Scholar] [CrossRef]
- Seo, D.; Ihm, P.; Krarti, M. Development of an optimal daylighting controller. Build. Environ. 2011, 46, 1011–1022. [Google Scholar] [CrossRef]
- EnergyPlus. EnergyPlus Engineering Reference; The US Department of Energy: Washington, DC, USA, 2013. [Google Scholar]
- Ramos, G.; Ghisi, E. Analysis of daylight calculated using the EnergyPlus programme. Renew. Sustain. Energy Rev. 2010, 14, 1948–1958. [Google Scholar] [CrossRef]
- Perez, R.; Pierre, I.; Seals, R.; Michalsky, J. Modeling daylight availability and irradiance components from direct and global irradiance. Sol. Energy 1990, 44, 271–289. [Google Scholar] [CrossRef]
- Zhang, Y.; Korolija, I. Performing complex parametric simulations with jEPlus. In Proceedings of the SET2010-9th International Conference on Sustainable Energy Technologies, Shanghai, China, 24–27 August 2010. [Google Scholar]
- Winkelmann, F.C. Daylighting Calculation in DOE-2. Lawrence Berkeley Laboratory, University of California: Berkeley, CA, USA, 1983. [Google Scholar]
- ISO 15099:2003 Thermal performance of windows, doors and shading devices—Detailed calculations. Available online: https://www.iso.org/standard/26425.html (accessed on 10 October 2021).
- BIS. Available online: https://www.bis.gov.in/index.php/standards/technical-department/national-building-code/ (accessed on 10 October 2021).
- Lawrie; Linda, K.; Crawley, D.B. Development of Global Typical Meteorological Years (TMYx). Available online: http://climate.onebuilding.org (accessed on 12 October 2022).
- ECBC. Energy Conservation Building Code: User Guide; Bureau of Energy Efficiency: New Delhi, India, 2009. [Google Scholar]
- Liu, M.; Bjarne, K.; Kvols, P. Control strategies for intelligent glazed façade and their influence on energy and comfort performance of office buildings in Denmark. Appl. Energy 2015, 145, 43–51. [Google Scholar] [CrossRef]
- Li, D.H.W.; Cheung, K.L.; Wong, S.L.; Lam, T.N.T. An analysis of energy-efficient light fittings and lighting controls. Appl. Energy 2010, 87, 558–567. [Google Scholar] [CrossRef]
- Doulos, L.; Tsangrassoulis, A.; Topalis, F. Quantifying energy savings in daylight responsive systems: The role of dimming electronic ballasts. Energy Build. 2008, 40, 36–50. [Google Scholar] [CrossRef]
- Piccolo, A.; Simone, F. Effect of switchable glazing on discomfort glare from windows. Energy Build. 2009, 44, 1171–1180. [Google Scholar] [CrossRef]
- Hopkinson, R.G. Glare from Daylighting in Buildings. Appl. Ergon. 1972, 3, 206. [Google Scholar] [CrossRef]
- Tulsyan, A.; Dhaka, S.; Mathur, J.; Yadav, J.V. Potential of energy savings through implementation of Energy Conservation Building Code in Jaipur city, India. Energy Build. 2013, 58, 123–130. [Google Scholar] [CrossRef]
- Tian, C.; Chen, T.; Yang, H.; Chung, T. A generalized window energy rating system for typical office buildings. Sol. Energy 2010, 84, 1232–1243. [Google Scholar] [CrossRef]
- Hee, W.J.; Alghoul, M.A.; Bakhtyar, B.; Elayeb, O.; Shameri, M.A.; Alrubaih, M.S.; Sopian, K. The role of window glazing on daylighting and energy saving in buildings. Renew. Sustain. Energy Rev. 2015, 42, 323–343. [Google Scholar] [CrossRef]
- Tzempelikos, A.; Athienitis, A.K.; Karava, P. Simulation of façade and envelope design options for a new institutional building. Sol. Energy 2007, 81, 1088–1103. [Google Scholar] [CrossRef]
- Motuziene, V.; Juodis, E.S. Simulation based complex energy assessment of office building fenestration. J. Civ. Eng. Manag. 2010, 16, 345–351. [Google Scholar] [CrossRef]
- Berkeley Lab WINDOW 6. Available online: https://windows.lbl.gov/software/window (accessed on 10 January 2018).
- Singh, R.; Lazarus, I.J.; Kishore, V.V.N. Uncertainty and sensitivity analyses of energy and visual performances of office building with external venetian blind shading in hot-dry climate. Appl. Energy 2016, 184, 155–170. [Google Scholar] [CrossRef]
- Nabil, A.; Mardaljevic, J. Useful daylight illuminances: A replacement for daylight factors. Energy Build. 2006, 38, 905–913. [Google Scholar] [CrossRef]
- Chan, Y.-C.; Tzempelikos, A.; Konstantzos, I. A systematic method for selecting roller shade properties for glare protection. Energy Build. 2015, 92, 81–94. [Google Scholar] [CrossRef]















| Parameter | Unit | Value | Ref. |
|---|---|---|---|
| Frame thickness | (m) | 0.0572 | [4] |
| Frame conductivity | (W/(m2-K)) | 5.68 | [4] |
| Frame surface absorptance | (-) | 0.60 | [4] |
| Overall heat-transfer coefficient of opaque wall (U) | (W/(m2-K)) | 0.352 | [72] |
| Surface absorptance of opaque wall | (-) | 0.60 | [72] |
| Perception | Value of DGI |
|---|---|
| Just imperceptible | ≤16 |
| Perceptible | 18 |
| Just acceptable | 20 |
| Acceptable | 22 |
| Just uncomfortable | 24 |
| Uncomfortable | 26 |
| Just intolerable | 28 |
| Intolerable | ≥28 |
| Building Design Parameter | Symbol | Unit | Range | Type of Distribution |
|---|---|---|---|---|
| Office room aspect ratio | ASR | (-) | [0.5–1.5] | Uniform |
| Window-to-wall ratio | WWR | (-) | [0.05–0.9] | Uniform |
| Absorptance of wall surface | Aw | (-) | [0.2–0.8] | Uniform |
| Absorptance of floor surface | Af | (-) | [0.2–0.8] | Uniform |
| Absorptance of ceiling surface | Ar | (-) | [0.2–0.8] | Uniform |
| Material transmittance of roller shade | ST | (-) | [0.05–0.5] | Uniform |
| Material reflectance of roller shade | SR | (-) | [0.05–0.5] | Uniform |
| Glazing types | Gt | (-) | [A–J] | Discrete |
| Property | Type of Glazing | |||||||||
|---|---|---|---|---|---|---|---|---|---|---|
| A | B | C | D | E | F | G | H | I | J | |
| Visual transmittance (tv) | 0.832 | 0.839 | 0.714 | 0.634 | 0.61 | 0.496 | 0.426 | 0.305 | 0.234 | 0.582 |
| Front/back visual reflectance | 0.151 | 0.083/0.089 | 0.098/0.067 | 0.310 | 0.111/0.100 | 0.151 | 0.208/0.180 | 0.056 | 0.236/0.108 | 0.076/0.057 |
| Solar transmittance (τs) | 0.795 | 0.627 | 0.395 | 0.550 | 0.263 | 0.290 | 0.165 | 0.148 | 0.085 | 0.266 |
| Front/back solar reflectance | 0.142 | 0.135/0.122 | 0.189/0.265 | 0.228 | 0.325/0.460 | 0.337 | 0.384/0.525 | 0.080 | 0.130/0.244 | 0.387/0.407 |
| Front absorptance | 0.035 | 0.143 | 0.285 | 0.129 | 0.320 | 0.240 | 0.357 | 0.621 | 0.674 | 0.244 |
| Back absorptance | 0.029 | 0.095 | 0.131 | 0.094 | 0.096 | 0.133 | 0.094 | 0.151 | 0.112 | 0.104 |
| U-value | 2.677 | 2.703 | 1.362 | 2.669 | 1.226 | 1.689 | 1.226 | 1.688 | 1.407 | 1.249 |
| SC | 0.94 | 0.815 | 0.573 | 0.722 | 0.392 | 0.478 | 0.285 | 0.372 | 0.241 | 0.399 |
| SHGC | 0.818 | 0.709 | 0.499 | 0.628 | 0.341 | 0.416 | 0.248 | 0.324 | 0.21 | 0.347 |
| Tvis | 0.832 | 0.839 | 0.714 | 0.634 | 0.61 | 0.496 | 0.426 | 0.305 | 0.234 | 0.582 |
| Glazing Types | ||||||||||||||||||||
|---|---|---|---|---|---|---|---|---|---|---|---|---|---|---|---|---|---|---|---|---|
| A | B | C | D | E | F | G | H | I | J | |||||||||||
| Property/Pane | P1 | P2 | P1 | P2 | P1 | P2 | P1 | P2 | P1 | P2 | P1 | P2 | P1 | P2 | P1 | P2 | P1 | P2 | P1 | P2 |
| Solar transmittance (τs) | 0.889 | 0.889 | 0.781 | 0.781 | 0.571 | 0.571 | 0.73 | 0.73 | 0.391 | 0.391 | 0.484 | 0.484 | 0.302 | 0.302 | 0.322 | 0.322 | 0.228 | 0.228 | 0.41 | 0.41 |
| Front side solar reflectance (RS1) | 0.079 | 0.079 | 0.087 | 0.078 | 0.156 | 0.156 | 0.137 | 0.152 | 0.301 | 0.301 | 0.299 | 0.299 | 0.357 | 0.357 | 0.072 | 0.072 | 0.114 | 0.114 | 0.362 | 0.362 |
| Backside solar reflectance (RS2) | 0.079 | 0.079 | 0.078 | 0.087 | 0.229 | 0.229 | 0.152 | 0.137 | 0.435 | 0.435 | 0.275 | 0.275 | 0.498 | 0.498 | 0.218 | 0.218 | 0.235 | 0.235 | 0.384 | 0.384 |
| Visible transmittance (τv) | 0.909 | 0.909 | 0.915 | 0.915 | 0.844 | 0.844 | 0.783 | 0.783 | 0.779 | 0.779 | 0.704 | 0.704 | 0.646 | 0.646 | 0.547 | 0.547 | 0.479 | 0.479 | 0.762 | 0.762 |
| Front-side visible reflectance (RV1) | 0.082 | 0.082 | 0.045 | 0.048 | 0.057 | 0.057 | 0.184 | 0.193 | 0.069 | 0.069 | 0.132 | 0.132 | 0.145 | 0.145 | 0.05 | 0.05 | 0.19 | 0.19 | 0.048 | 0.048 |
| Backside visible reflectance (RV2) | 0.082 | 0.082 | 0.048 | 0.045 | 0.039 | 0.039 | 0.193 | 0.184 | 0.062 | 0.062 | 0.038 | 0.038 | 0.127 | 0.127 | 0.02 | 0.02 | 0.087 | 0.087 | 0.036 | 0.036 |
| Front-side infrared hemispherical emissivity (E1) | 0.837 | 0.837 | 0.868 | 0.837 | 0.837 | 0.837 | 0.84 | 0.82 | 0.837 | 0.837 | 0.837 | 0.837 | 0.837 | 0.837 | 0.837 | 0.837 | 0.837 | 0.837 | 0.837 | 0.837 |
| Backside infrared hemispherical emissivity (E2) | 0.837 | 0.837 | 0.837 | 0.868 | 0.103 | 0.103 | 0.82 | 0.84 | 0.037 | 0.037 | 0.104 | 0.104 | 0.037 | 0.037 | 0.103 | 0.103 | 0.125 | 0.125 | 0.048 | 0.048 |
| Shade Reflectance | MBE | RMSE | PRMSE |
|---|---|---|---|
| Lighting energy consumption | |||
| Bare * | 0.58 | 0.62 | 22.27 |
| 3% | −7.14 | 8.22 | 16.09 |
| 5% | −5.01 | 5.77 | 14.65 |
| 7% | −0.98 | 2.13 | 10.92 |
| Total source energy consumption | |||
| Bare * | 9.14 | 9.43 | 7.83 |
| 3% | −9.05 | 9.44 | 6.62 |
| 5% | −4.75 | 5.14 | 4.07 |
| 7% | 2.56 | 4.78 | 4.11 |
| UDI | |||
| Bare * | −3.11 | 3.94 | 12.57 |
| 3% | −3.09 | 4.08 | 7.30 |
| 5% | −3.16 | 4.13 | 6.18 |
| 7% | −3.53 | 4.35 | 5.82 |
| Total Source Energy kWh/(m2-year) | Lighting Energy kWh/(m2-year) | Useful Daylight Illuminance (%) | |||||||
|---|---|---|---|---|---|---|---|---|---|
| μ | σ | υ (%) | μ | σ | υ (%) | μ | σ | υ (%) | |
| S | 454.74 | 126.17 | 27.75 | 27.85 | 12.55 | 45.06 | 37.71 | 16.38 | 43.44 |
| SW | 472.60 | 129.61 | 27.42 | 29.19 | 13.03 | 44.64 | 37.00 | 17.51 | 47.32 |
| W | 460.76 | 119.73 | 25.99 | 32.11 | 13.42 | 41.79 | 46.77 | 20.80 | 44.47 |
| WN | 385.03 | 77.24 | 20.06 | 35.61 | 14.40 | 40.44 | 53.14 | 21.87 | 41.16 |
| N | 335.62 | 50.49 | 15.04 | 37.60 | 15.09 | 40.13 | 55.68 | 22.59 | 40.57 |
| NE | 359.66 | 70.40 | 19.57 | 36.11 | 14.47 | 40.07 | 51.43 | 21.38 | 41.57 |
| E | 461.41 | 133.93 | 29.03 | 32.42 | 12.66 | 39.05 | 42.93 | 18.99 | 44.23 |
| ES | 495.81 | 151.07 | 30.47 | 29.91 | 11.91 | 39.82 | 38.46 | 19.20 | 49.92 |
Publisher’s Note: MDPI stays neutral with regard to jurisdictional claims in published maps and institutional affiliations. |
© 2022 by the authors. Licensee MDPI, Basel, Switzerland. This article is an open access article distributed under the terms and conditions of the Creative Commons Attribution (CC BY) license (https://creativecommons.org/licenses/by/4.0/).
Share and Cite
Singh, R.; Buddhi, D.; Thapa, S.; Prakash, C.; Singh, R.; Sharma, A.; Sheoran, S.; Saxena, K.K. Sensitivity Analysis for Decisive Design Parameters for Energy and Indoor Visual Performances of a Glazed Façade Office Building. Sustainability 2022, 14, 14163. https://doi.org/10.3390/su142114163
Singh R, Buddhi D, Thapa S, Prakash C, Singh R, Sharma A, Sheoran S, Saxena KK. Sensitivity Analysis for Decisive Design Parameters for Energy and Indoor Visual Performances of a Glazed Façade Office Building. Sustainability. 2022; 14(21):14163. https://doi.org/10.3390/su142114163
Chicago/Turabian StyleSingh, Ramkishore, Dharam Buddhi, Samar Thapa, Chander Prakash, Rajesh Singh, Atul Sharma, Shane Sheoran, and Kuldeep Kumar Saxena. 2022. "Sensitivity Analysis for Decisive Design Parameters for Energy and Indoor Visual Performances of a Glazed Façade Office Building" Sustainability 14, no. 21: 14163. https://doi.org/10.3390/su142114163
APA StyleSingh, R., Buddhi, D., Thapa, S., Prakash, C., Singh, R., Sharma, A., Sheoran, S., & Saxena, K. K. (2022). Sensitivity Analysis for Decisive Design Parameters for Energy and Indoor Visual Performances of a Glazed Façade Office Building. Sustainability, 14(21), 14163. https://doi.org/10.3390/su142114163

