Evaluation of Ambient Ozone Effect in Bean and Petunia at Two Different Sites under Natural Conditions: Impact on Antioxidant Enzymes and Stress Injury
Abstract
1. Introduction
2. Materials and Methods
2.1. Plant Cultivation and Exposure to Ozone
2.2. Sample Collection
2.3. Cell Membrane Injury Index
2.4. Enzyme Extraction and Assay
2.5. Lipid Peroxidation
2.6. Statistical Analysis
3. Results
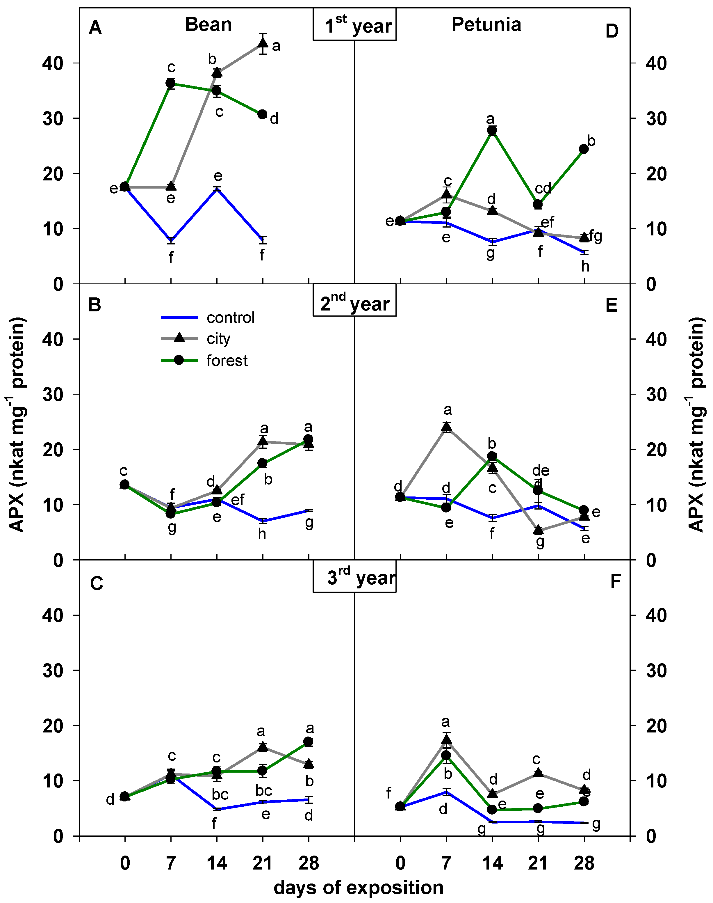
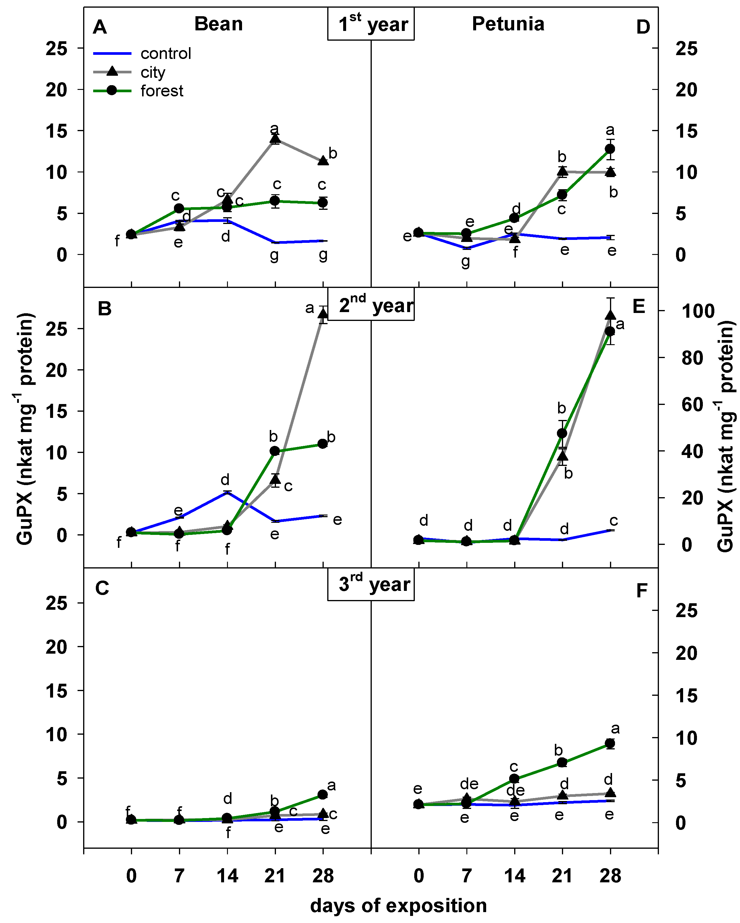
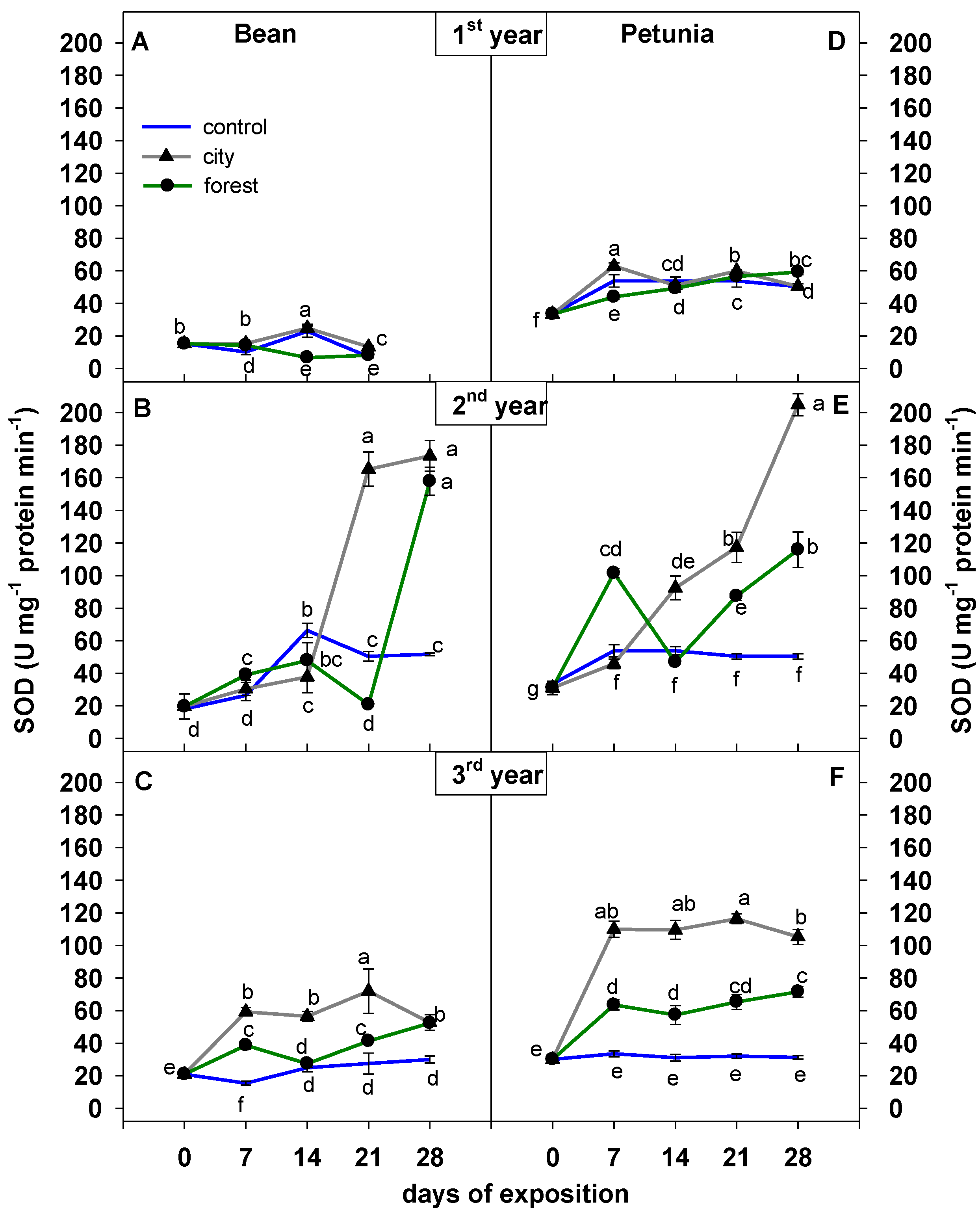
3.1. Antioxidant Enzymes
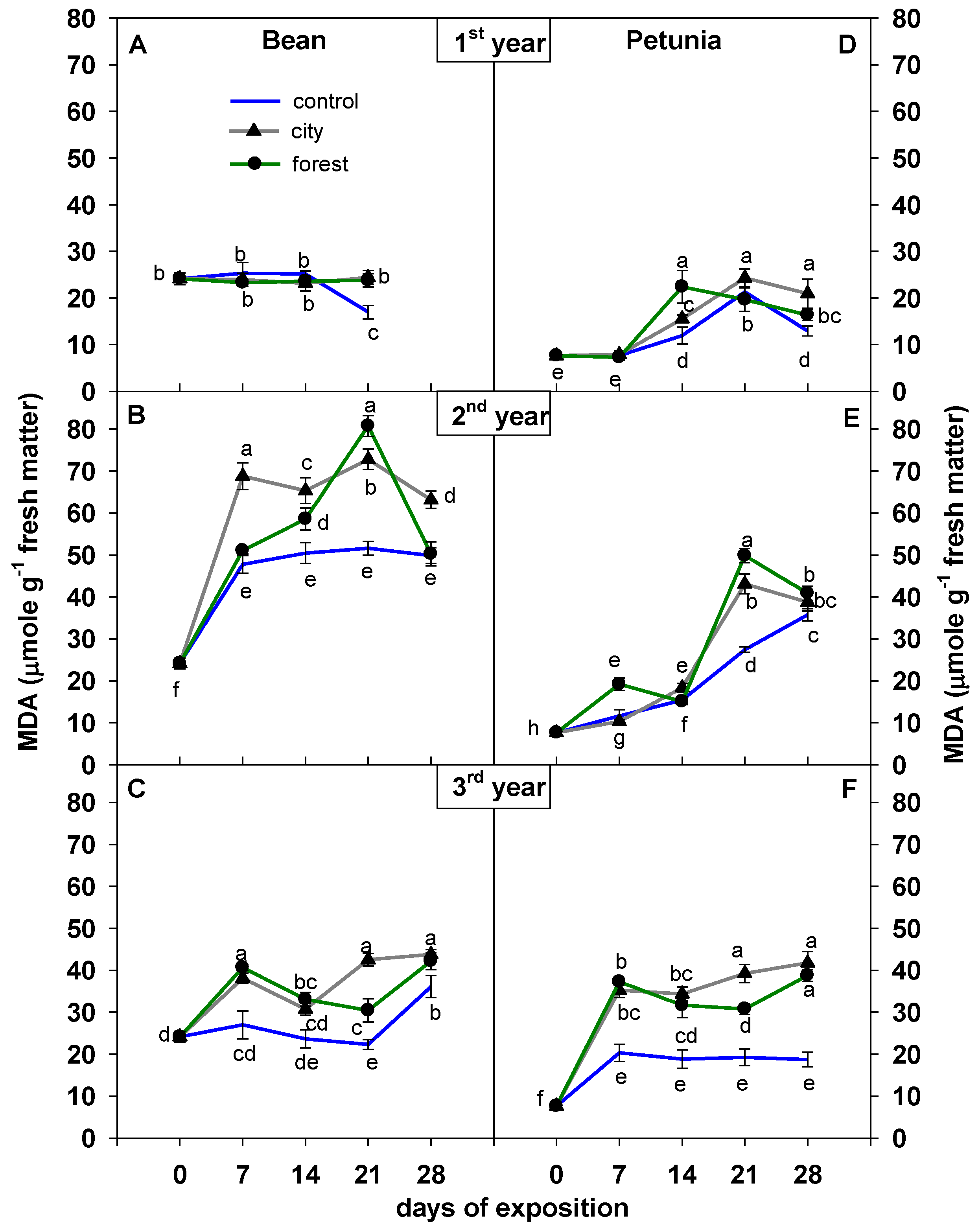
3.2. Lipid Peroxidation
3.3. Cell Membrane Injury
3.4. Principal Component Analysis
4. Discussion
5. Conclusions
Author Contributions
Funding
Institutional Review Board Statement
Informed Consent Statement
Data Availability Statement
Conflicts of Interest
References
- Cho, K.; Tiwari, S.; Agrawal, S.B.; Torres, N.L.; Agrawal, M.; Sarkar, A.; Shibato, J.; Agrawal, G.K.; Kubo, A.; Rakwal, R. Tropospheric Ozone and Plants: Absorption, Responses, and Consequences. Rev. Environ. Contam Toxicol. 2011, 212, 61–111. [Google Scholar] [CrossRef]
- Revell, L.E.; Tmmon, F.; Stenke, A.; Sukhodolov, T.; Coulon, A.; Rozanov, E.; Garny, H.; Grewe, V.; Peter, T. Divers of trop-ospheric ozone budget throughout the 21st century under the medium-high climate scenario RCP 6.0. Atmos. Chem. Phys. 2015, 15, 5887–5902. [Google Scholar] [CrossRef]
- Li, Y.; Muthuramalingam, M.; Mahalingam, R. Plant responses to tropospheric ozone. In Genetic Manipulation in Plants for Mitigation of Climate Change; Jaiwal, P.K., Singh, R.P., Dhankher, O.P., Eds.; Springer: Berlin/Heidelberg, Germany, 2016; pp. 1–14. [Google Scholar] [CrossRef]
- De Marco, A.; Vitale, M.; Kilic, U.; Serengil, Y.; Paoletti, E. New functions for estimating AOT40 from ozone passive sampling. Atmos. Environ. 2014, 95, 82–88. [Google Scholar] [CrossRef]
- Juráň, S.; Grace, J.; Urban, O. Temporal Changes in Ozone Concentrations and Their Impact on Vegetation. Atmosphere 2021, 12, 82. [Google Scholar] [CrossRef]
- Mills, G.; Pleijel, H.; Malley, C.S.; Sinha, B.; Cooper, O.R.; Schultz, M.G.; Neufeld, H.S.; Simpson, D.; Sharps, K.; Feng, Z.; et al. Tropospheric Ozone Assessment Report: Present-day tropospheric ozone distribution and trends relevant to vegetation. Elem. Sci. Anthr. 2018, 6, 47. [Google Scholar] [CrossRef]
- Grulke, N.E.; Heath, R.L. Ozone effects on plants in natural ecosystems. Plant Biol. 2019, 22, 12–37. [Google Scholar] [CrossRef]
- Iriti, M.; Faoro, F. Oxidative Stress, the Paradigm of Ozone Toxicity in Plants and Animals. Water Air Soil Pollut. 2007, 187, 285–301. [Google Scholar] [CrossRef]
- Fumagalli, I.; Gimeno, B.S.; Velissariou, D.; De Temmerman, L.; Mills, G. Evidence of ozone-induced adverse effects on crops in the Mediterranean region. Atmos. Environ. 2001, 35, 2583–2587. [Google Scholar] [CrossRef]
- Wittig, V.E.; Ainsworth, E.A.; Long, S. To what extent do current and projected increases in surface ozone affect photosynthesis and stomatal conductance of trees? A meta-analytic review of the last 3 decades of experiments. Plant Cell Environ. 2007, 30, 1150–1162. [Google Scholar] [CrossRef]
- Ainsworth, E.A. Understanding and improving global crop response to ozone pollution. Plant J. 2017, 90, 886–897. [Google Scholar] [CrossRef]
- Bhatia, A.; Tomer, R.; Kumar, V.; Singh, S.D.; Pathak, S. Impact of tropospheric ozone on crop growth and productivity—A review. J. Sci. Ind. Res. 2012, 71, 97–112. [Google Scholar]
- Dusart, N.; Gandin, A.; Vaultier, M.-N.; Joffe, R.; Cabané, M.; Dizengremel, P.; Jolivet, Y. Importance of Detoxification Processes in Ozone Risk Assessment: Need to Integrate the Cellular Compartmentation of Antioxidants? Front. For. Glob. Chang. 2019, 2, 45. [Google Scholar] [CrossRef]
- Xie, X.; He, Z.; Chen, N.; Tang, Z.; Wang, Q.; Cai, Y. The Roles of Environmental Factors in Regulation of Oxidative Stress in Plant. BioMed Res. Int. 2019, 2019, 9732325. [Google Scholar] [CrossRef]
- Repetto, M.; Semprine, J.; Boveris, A. Lipid Peroxidation: Chemical Mechanism, Biological Implications and Analytical Determination. In Lipid Peroxidation; Catala, A., Ed.; IntechOpen: London, UK, 2012; pp. 1–28. [Google Scholar] [CrossRef]
- Mills, G.; Buse, A.; Gimeno, B.; Bermejo, V.; Holland, M.; Emberson, L.; Pleijel, H. A synthesis of AOT40-based response functions and critical levels of ozone for agricultural and horticultural crops. Atmos. Environ. 2007, 41, 2630–2643. [Google Scholar] [CrossRef]
- Lewis, E.; Brennan, E. Ozone and sulfur dioxide mixtures cause a PAN-Type injury to petunia. Phytophatology 1978, 68, 1011–1014. [Google Scholar] [CrossRef]
- Kostka-Rick, R.; Bender, J.; Bergmann, E.; Weigel, H.J. Symptoms of ozone-induced foliar injury on horticultural crops. In Bioindication and Air Quality in European Cities; Klumpp, A., Fomin, A., Klumpp, G., Ansel, W., Eds.; Verlag Günter Heimbach: Stuttgart, Germany, 2002; pp. 191–196. [Google Scholar]
- Kanoun, M.; Junqua, M.; Goulas, P.; Biolley, J.-P. Effect of a chronic and moderate ozone pollution on the phenolic pattern of bean leaves (Phaseolus vulgaris L. cv Nerina): Relations with visible injury and biomass production. Biochem. Syst. Ecol. 2001, 9, 443–457. [Google Scholar] [CrossRef]
- Elkiey, T.; Ormrod, D. Petunia cultivar sensitivity to ozone and sulphur dioxide. Sci. Hortic. 1979, 11, 269–280. [Google Scholar] [CrossRef]
- Premachandra, G.S.; Saneoka, G.S.; Ogata, H. Cell membrane stability, as indicator of drought tolerance, as affected by applied nitrogen and soybean. J. Agric. Sci. 1990, 115, 63–66. [Google Scholar] [CrossRef]
- Nakano, Y.; Asada, K. Purification of Ascorbate Peroxidase in Spinach Chloroplasts; Its Inactivation in Ascorbate-Depleted Medium and Reactivation by Monodehydroascorbate Radical. Plant Cell Physiol. 1987, 28, 131–140. [Google Scholar] [CrossRef]
- Hammerschmidt, R.; Nuckles, E.M.; Kuć, J. Association of enhanced peroxidase activity with induced systemic resistance of cucumber to Colletotrichum lagenarium. Physiol. Plant Pathol. 1982, 20, 73–82. [Google Scholar] [CrossRef]
- Beauchamp, C.; Fridovich, J. Superoxide dismutase: Improved assays and assay applicable to acrylamide gels. Anal. Biochem. 1971, 44, 276–287. [Google Scholar] [CrossRef]
- Bradford, M. A rapid and sensitive method for the quantification of microgram quantities of protein utilizing the principle of protein-dye binding. Anal. Biochem. 1976, 72, 248–254. [Google Scholar] [CrossRef]
- Fu, J.; Huang, B. Involvement of antioxidants and lipid peroxidation in the adaptation of two cool-season grasses to localized drought stress. Environ. Exp. Bot. 2001, 45, 105–114. [Google Scholar] [CrossRef]
- Karlsson, G.P.; Karlsson, P.; Soja, G.; Vandermeiren, K.; Pleijel, H. Test of the short-term critical levels for acute ozone injury on plants—Improvements by ozone uptake modelling and the use of an effect threshold. Atmos. Environ. 2004, 38, 2237–2245. [Google Scholar] [CrossRef]
- Baier, M.; Kandlbinder, A.; Golldack, D.; Dietz, K.-J. Oxidative stress and ozone: Perception, signalling and response. Plant Cell Environ. 2005, 28, 1012–1020. [Google Scholar] [CrossRef]
- Filella, I.; Peñuelas, J.; Ribas, A. Using plant biomonitors and flux modelling to develop O3 dose-response relationship in Catalonia. Environ. Pollut. 2005, 134, 145–151. [Google Scholar] [CrossRef] [PubMed]
- Chen, C.P.; Frank, T.D.; Long, S. Is a short, sharp shock equivalent to long-term punishment? Contrasting the spatial pattern of acute and chronic ozone damage to soybean leaves via chlorophyll fluorescence imaging. Plant Cell Environ. 2009, 32, 327–335. [Google Scholar] [CrossRef] [PubMed]
- Ferreira, M.; Domingos, M. Seasonal characterization of antioxidant responses in plants of Ipomoea nil cv. Scarlet O’Hara. Braz. J. Biol. 2012, 72, 831–837. [Google Scholar] [CrossRef] [PubMed]
- Montes, C.M.; Demler, H.J.; Li, S.; Martin, D.G.; Ainsworth, E.A. Approaches to investigate crop responses to ozone pollution: From O3 -FACE to satellite-enabled modeling. Plant J. 2021, 109, 432–446. [Google Scholar] [CrossRef]
- Lee, J.K.; Woo, S.Y.; Kwak, M.J.; Park, S.H.; Kim, H.D.; Lim, Y.J.; Park, J.H.; Lee, K.A. Effects of Elevated Temperature and Ozone in Brassica juncea L.: Growth, Physiology, and ROS Accumulation. Forests 2020, 11, 68. [Google Scholar] [CrossRef]
- Silva, D.T.; Meireles, S.T.; Mores, R.M. Relationship between ozone, meteorological conditions, gas exchange and leaf injury in Nicotiana tabacum Bel W3 in a sub-tropical region. Atmos. Environ. 2012, 60, 211–216. [Google Scholar] [CrossRef]
- Holloway, T.; Fiore, A.; Galanter Hastings, M. Intercontinental transport of air pollution: Will emerging science lead to a new hemispheric treaty? Environ. Sci. Technol. 2003, 37, 4535–4542. [Google Scholar] [CrossRef][Green Version]
- Otero, N.; Sillmann, J.; Schnell, J.L.; Rust, H.; Butler, T. Synoptic and meteorological drivers of extreme ozone concentrations over Europe. Environ. Res. Lett. 2016, 11, 024005. [Google Scholar] [CrossRef]
- Simon, V.; Luchetta, L.; Torres, L. Estimating the emission of volatile organic compounds (VOC) from the French forest ecosystem. Atmos. Environ. 2001, 35, 115–126. [Google Scholar] [CrossRef]
- Wedow, J.M.; Ainsworth, E.A.; Li, S. Plant biochemistry influences tropospheric ozone formation, destruction, deposition, and response. Trends Biochem. Sci. 2021, 46, 992–1002. [Google Scholar] [CrossRef] [PubMed]
- Gill, S.S.; Tuteja, N. Reactive oxygen species and antioxidant machinery in abiotic stress tolerance in crop plants. Plant Physiol. Biochem. 2010, 48, 909–930. [Google Scholar] [CrossRef]







| Parameter | Exposure Day | City (N 52°25′13″, E16°52′40″) Located in Poznan City (Central-Western Poland) with a Population of about 550,000 Inhabitants, Surrounded by Buildings, Near the Road. | Forest (N 52°30′00″ E 17°46′26″) Located about 80 km from Poznan City in a Forestry Area. The Nearest Village Is about 5 km from the Site. | ||||
|---|---|---|---|---|---|---|---|
| 1st Year 2009 | 2nd Year 2010 | 3rd Year 2011 | 1st Year 2009 | 2nd Year 2010 | 3rd Year 2011 | ||
| Mean O3 (µg m−3) | 7 | 53.9 | 59.6 | 55.7 | 64.1 | 76.3 | 63.5 |
| 14 | 47.2 | 58.0 | 47.2 | 50.5 | 74.2 | 65.1 | |
| 21 | 49.6 | 78.1 | 57.9 | 67.4 | 110.1 | 68.5 | |
| 28 | 44.4 | 65.4 | 49.5 | 57.7 | 84.6 | 58.0 | |
| Means | 48.78 b,B | 65.28 a,B | 52.58 ab,B | 59.93 b,A | 86.3 a,A | 63.77 b,A | |
| Solar radiation (W m−2) | 7 | 239.2 | 305.0 | 185.5 | 347.4 | 440.9 | 255.5 |
| 14 | 196.5 | 271.5 | 228.9 | 251.5 | 369.1 | 317.7 | |
| 21 | 201.8 | 272.3 | 216.5 | 316.7 | 334.4 | 343.2 | |
| 28 | 208.5 | 178.9 | 148.2 | 326.6 | 215.5 | 239.1 | |
| Means | 211.50 a,B | 256.93 a,B | 194.78 a,B | 310.55 a,A | 339.98 a,A | 288.88 a,A | |
| Temperature (°C) | 7 | 20.4 | 20.0 | 24.7 | 19.2 | 18.8 | 14.5 |
| 14 | 15.9 | 20.3 | 20.1 | 14.3 | 19.3 | 17.0 | |
| 21 | 19.5 | 23.8 | 17.7 | 18.8 | 23.7 | 17.5 | |
| 28 | 17.3 | 19.9 | 14.7 | 16.6 | 19.8 | 15.2 | |
| Means | 18.28 a,A | 21.00 a,A | 19.30 a,A | 17.23 ab,A | 20.40 a,A | 16.05 b,B | |
| Source of Variation | Year | Ozone | Radiation | Temperature |
|---|---|---|---|---|
| Site | 1 | 6.918 *** | 18.880 ** | 0.4736 ns |
| 2 | 98.036 *** | 402.193 *** | 2.980 ns | |
| 3 | 49.432 *** | 31.401 *** | 136.020 *** | |
| Source of Variation | Site | Ozone | Radiation | Temperature |
| Year | City | 7.174 *** | 2.691 ns | 0.889 ns |
| Forest | 7.024 *** | 0.606 ns | 4.998 *** |
| Source of Variation Bean | Year | APX | GuPX | SOD | MDA | MI |
|---|---|---|---|---|---|---|
| Site | 1 | 147.3 *** | 23.2 *** | 37.0 *** | 19.5 *** | 19.1 *** |
| 2 | 4.9 *** | 118.8 *** | 6.9 * | 23.7 *** | 7.2 * | |
| 3 | 67.6 *** | 7.3 ** | 57.5 *** | 33.6 *** | 4.5 * | |
| Days of exposure | 1 | 154.0 *** | 91.6 *** | 41.2 *** | 109.7 *** | 243.7 *** |
| 2 | 131.9 *** | 451.7 *** | 32.8 *** | 8.9 *** | 21.5 * | |
| 3 | 25.4 *** | 36.2 *** | 140.2 *** | 19.6 *** | 18.4 *** | |
| Site × days of exposure | 1 | 140.3 *** | 70.0 *** | 30.6 *** | 10.2 *** | 4.3 * |
| 2 | 10.5 *** | 40.9 *** | 22.2 *** | 5.2 *** | 3.7 * | |
| 3 | 17.3 *** | 5.1 *** | 54.7 *** | 5.4 *** | 2.9 * | |
| Source of Variation Petunia | Year | APX | GuPX | SOD | MDA | MI |
| Site | 1 | 238.8 *** | 68.0 *** | 62.6 *** | 31.7 * | 49.048 *** |
| 2 | 5.1 * | 65.0 *** | 8.9 *** | 36.5 *** | 13.002 * | |
| 3 | 32.2 *** | 10.0 ** | 15.3 *** | 63.5 *** | 7.468 * | |
| Days of exposure | 1 | 27.5 *** | 68.0 *** | 62.6 *** | 16.0 *** | 43.755 *** |
| 2 | 195.6 *** | 393.9 *** | 36.4 *** | 402.7 *** | 11.941 * | |
| 3 | 128.7 *** | 8.0 ** | 22.8 *** | 4.5 ns | 6.421 * | |
| Site × days of exposure | 1 | 63.6 *** | 21.3 *** | 126.8 *** | 11.3 * | 54.889 *** |
| 2 | 24.1 *** | 34.0 *** | 12.8 *** | 15.5 *** | 12.751 * | |
| 3 | 3.9 * | 12.6 * | 27.4 *** | 11.4 * | 7.208 * |
Publisher’s Note: MDPI stays neutral with regard to jurisdictional claims in published maps and institutional affiliations. |
© 2022 by the authors. Licensee MDPI, Basel, Switzerland. This article is an open access article distributed under the terms and conditions of the Creative Commons Attribution (CC BY) license (https://creativecommons.org/licenses/by/4.0/).
Share and Cite
Bandurska, H.; Borowiak, K.; Zielezińska, M. Evaluation of Ambient Ozone Effect in Bean and Petunia at Two Different Sites under Natural Conditions: Impact on Antioxidant Enzymes and Stress Injury. Sustainability 2022, 14, 13760. https://doi.org/10.3390/su142113760
Bandurska H, Borowiak K, Zielezińska M. Evaluation of Ambient Ozone Effect in Bean and Petunia at Two Different Sites under Natural Conditions: Impact on Antioxidant Enzymes and Stress Injury. Sustainability. 2022; 14(21):13760. https://doi.org/10.3390/su142113760
Chicago/Turabian StyleBandurska, Hanna, Klaudia Borowiak, and Małgorzata Zielezińska. 2022. "Evaluation of Ambient Ozone Effect in Bean and Petunia at Two Different Sites under Natural Conditions: Impact on Antioxidant Enzymes and Stress Injury" Sustainability 14, no. 21: 13760. https://doi.org/10.3390/su142113760
APA StyleBandurska, H., Borowiak, K., & Zielezińska, M. (2022). Evaluation of Ambient Ozone Effect in Bean and Petunia at Two Different Sites under Natural Conditions: Impact on Antioxidant Enzymes and Stress Injury. Sustainability, 14(21), 13760. https://doi.org/10.3390/su142113760

