Reduction in the Allelopathic Potential of Conocarpus erectus L. through Vermicomposting
Abstract
1. Introduction
2. Materials and Methods
2.1. Experiment with C. erectus Vermicomposting Process
2.2. Physico-Chemical Analysis
2.3. Experiment to Assess the Effect of Soil Amendments of Vermicompost on Mung Bean
2.4. Biological Analysis
2.5. Plant Analysis to Observe the Effects of Soil Amendments of Vermicompost on Mung Bean Growth
2.6. Statistical Analysis
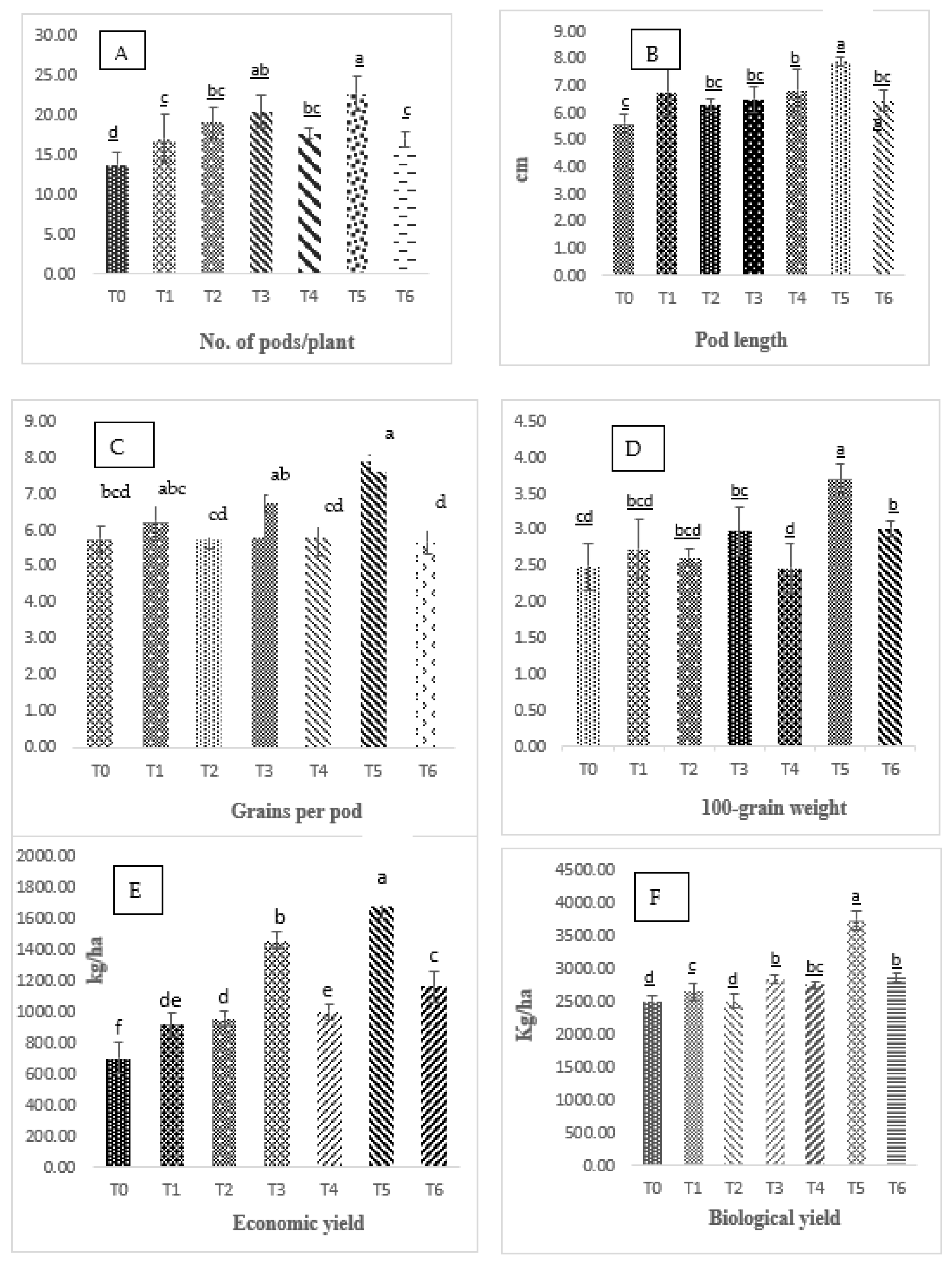
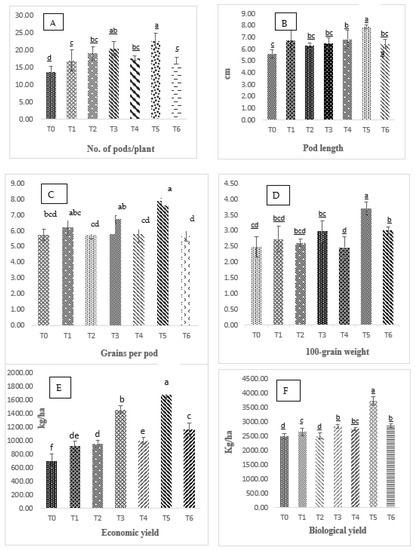
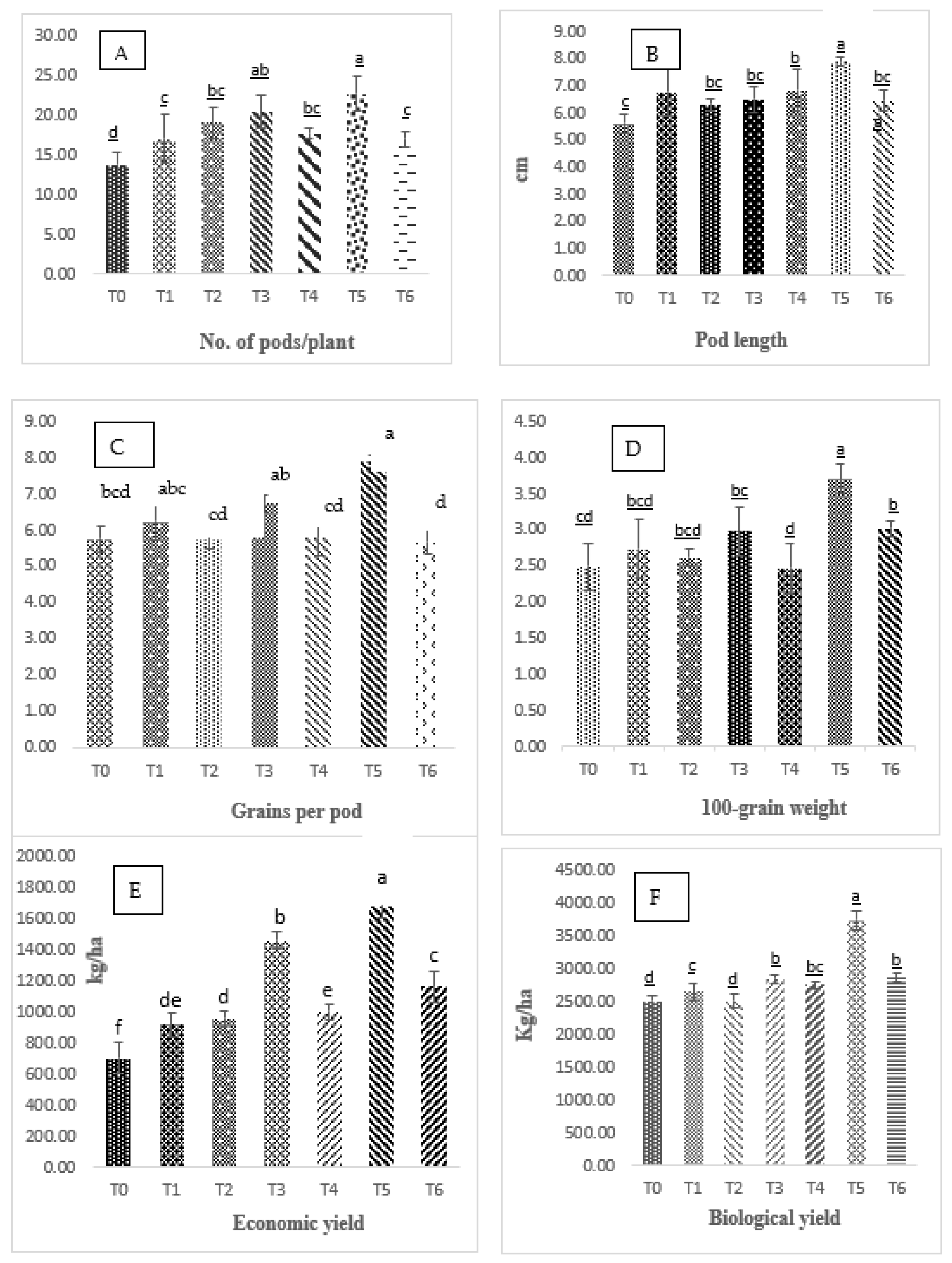
3. Results
3.1. Effect of Vermicompost Treatments on Growth and Yield Parameters of Mung Bean
3.2. Effect of Vermicomposting of C. erectus Leaves on Earthworms
4. Discussion
5. Conclusions
6. Future Prospective
Author Contributions
Funding
Institutional Review Board Statement
Informed Consent Statement
Data Availability Statement
Acknowledgments
Conflicts of Interest
References
- Scavo, A.; Mauromicale, G. Crop allelopathy for sustainable weed management in agroecosystems: Knowing the present with a view to the future. Agronomy 2021, 11, 2104. [Google Scholar] [CrossRef]
- Ullah, N.; Ihsan, U.H.; Naila, S.; Bushra, M. Physiological and biochemical mechanisms of allelopathy mediated by the allelochemical extracts of Phytolacca latbenia (Moq.) H. Walter. Toxicol. Ind. Health 2015, 31, 931–937. [Google Scholar] [CrossRef] [PubMed]
- Zhang, Z.; Liu, Y.; Yuan, L.; Weber, E.; van Kleunen, M. Effect of allelopathy on plant performance: A meta-analysis. Ecol. Lett. 2021, 24, 348–362. [Google Scholar] [CrossRef] [PubMed]
- Raza, W.; Saeed, S.; Saulat, H.; Gul, H.; Sarfraz, M.; Sonne, C.; Sohn, Z.-H.; Brown, R.J.; Kim, K.-H. A review on the deteriorating situation of smog and its preventive measures in Pakistan. J. Clean. Prod. 2021, 279, 123676. [Google Scholar] [CrossRef]
- Sharma, K.; Garg, V. Management of food and vegetable processing waste spiked with buffalo waste using earthworms (Eisenia fetida). Environ. Sci. Pollut. Res. 2017, 24, 7829–7836. [Google Scholar] [CrossRef] [PubMed]
- Nair, R.M.; Yang, R.Y.; Easdown, W.J.; Thavarajah, D.; Thavarajah, P.; Hughes, J.D.A.; Keatinge, J. Biofortification of mungbean (Vigna radiata) as a whole food to enhance human health. J. Sci. Food Agric. 2013, 93, 1805–1813. [Google Scholar] [CrossRef]
- Anwar, F.; Latif, S.; Przybylski, R.; Sultana, B.; Ashraf, M. Chemical composition, and antioxidant activity of seeds of different cultivars of mungbean. J. Food Sci. 2007, 72, S503–S510. [Google Scholar] [CrossRef]
- Chen, M.X.; Zheng, S.X.; Yang, Y.N.; Xu, C.; Liu, J.S.; Yang, W.D.; Chye, M.L.; Li, H.Y. Strong seed-specific protein expression from the Vigna radiata storage protein 8SGα promoter in transgenic Arabidopsis seeds. J. Biotechnol. 2014, 174, 49–56. [Google Scholar] [CrossRef]
- Kudre, T.G.; Benjakul, S.; Kishimura, H. Comparative study on chemical compositions and properties of protein isolates from mung bean, black bean and bambara groundnut. J. Sci. Food Agric. 2013, 93, 2429–2436. [Google Scholar] [CrossRef]
- Achakzai, A.K.K. Effect of various levels of nitrogen fertilizer on some vegetative growth attributes of pea (Pisum sativum L.) cultivars. Pak. J. Bot. 2012, 44, 655–659. [Google Scholar]
- Khan, F.; Ahmed, Z.; Muhammad, A.; Hassnain, S. Response of mungbean genotypes to Rhizobium inoculum and varying levels of nitrogen fertilizer. Pak. J. Agric. Res. 2008, 21, 33–44. [Google Scholar]
- Government of Pakistan. Economic Survey of Pakistan, 2018–2019; Ministry of Agriculture: Islamabad, Pakistan.
- Tajeda, M.; Moreno, J.L.; Hernandez, M.T.; Garcia, C. Soil amendments with organic wastes reduce the toxicity of nickel to soil enzyme activities. Eur. J. Soil Biol. 2008, 44, 129–140. [Google Scholar] [CrossRef]
- Aslam, Z.; Bashir, S.; Hassan, W.; Bellitürk, K.; Ahmad, N.; Niazi, N.K.; Khan, A.; Khan, M.I.; Chen, Z.; Maitah, M. Unveiling the efficiency of vermicompost derived from different biowastes on wheat (Triticum aestivum L.) plant growth and soil health. Agronomy 2019, 9, 791. [Google Scholar] [CrossRef]
- Folin, O.; Ciocalteu, V. On tyrosine and tryptophane determinations in proteins. J. Biol. Chem. 1927, 73, 627–650. [Google Scholar] [CrossRef]
- Vikman, M.; Merja, I.; Kaisa, P. Measurement of the biodegradation of starch-based materials by enzymatic methods and composting. J. Environ. Polym. Degrad. 1995, 3, 23–29. [Google Scholar] [CrossRef]
- Richards, L.A. Diagnosis and Improvement of Saline and Alkali Soils. In USDA Handbook 60; United States Department of Agriculture: Washington, DC, USA, 1954. [Google Scholar]
- Cheng, F.; Cheng, Z. Research progress on the use of plant allelopathy in agriculture and the physiological and ecological mechanisms of allelopathy. Front. Plant Sci. 2015, 6, 1020. [Google Scholar] [CrossRef] [PubMed]
- Motmainna, M.; Juraimi, A.S.; Uddin, M.; Asib, N.B.; Islam, A.K.M.; Ahmad-Hamdani, M.S.; Hasan, M. Phytochemical constituents and allelopathic potential of Parthenium hysterophorus L. in comparison to commercial herbicides to control weeds. Plants 2021, 10, 1445. [Google Scholar] [CrossRef]
- Saima, I.; Shazia, B. Allelopathic Effects of Eucalyptus camaldulensis leaf leachates on the growth of wheat and green gram and its control by farmyard manure. Pak. J. Sci. Ind. Res. Ser. B. Biol. Sci. 2012, 55, 65–69. [Google Scholar]
- Rajiv, P.; Rajeshwari, S.; Yadav, R.H.; Rajendran, V. Vermiremediation: Detoxification of Parthenin toxin from Parthenium weeds. J. Hazard. Mater. 2013, 262, 489–495. [Google Scholar] [CrossRef]
- Saini, A.; Aggarwal, N.K.; Sharma, A.; Kaur, M.; Yadav, A. Utility potential of Parthenium hysterophorus for its strategic management. Adv. Agric. 2014, 2014, 16. [Google Scholar]
- Fayolle, L.; Noble, R.; Coventry, E.; Aime, S.; Alabouvette, C. Eradication of Plasmodiophora brassicae during composting of wastes. Plant Pathol. 2006, 55, 553–558. [Google Scholar] [CrossRef]
- Gunadi, B.; Edwards, C.A. The effects of multiple applications of different organic wastes on the growth, fecundity and survival of Eisenia fetida (Savigny)(Lumbricidae). Pedobiologia 2003, 47, 321–329. [Google Scholar] [CrossRef]
- Tripathi, G.; Bharadwaj, P. Comparative studies on biomass production, life cycles and composting efficacy of Eisenia foetida (Savigny) and Lampito maruitti (Kinberg). Bioresour. Technol. 2004, 92, 275–283. [Google Scholar] [CrossRef] [PubMed]
- Hobson, A.; Frederickson, J.; Dise, N. CH4 and N2O from mechanically turned windrow and vermicomposting systems following in-vessel pre-treatment. Waste Manag. 2005, 25, 345–352. [Google Scholar] [CrossRef] [PubMed]
- Satchell, J.; Martin, K. Phosphatase activity in earthworm faeces. Soil Biol. Biochem. 1984, 16, 191–194. [Google Scholar] [CrossRef]
- Kaviraj; Sharma, S. Municipal solid waste management through vermicomposting employing exotic and local species of earthworms. Bioresour. Technol. 2003, 90, 169–173. [Google Scholar] [CrossRef]
- Suthar, S. Nutrient changes and biodynamic of epigeic earthworm Perionyx excavatus (Perrier) during recycling of some agriculture wastes. Bioresour. Technol. 2007, 98, 1608–1614. [Google Scholar] [CrossRef]
- Vijayakumari, B.; Hiranmai, Y. Influence of fresh, composted and vermicomposted parthenium and poultry manure on the growth characters of sesame (Sesamum indicum). J. Org. Syst. 2012, 7, 14–19. [Google Scholar]
- Garg, P.; Gupta, A.; Satya, S. Vermicomposting of different types of waste using Eisenia foetida: A comparative study. Bioresour. Technol. 2006, 97, 391–395. [Google Scholar] [CrossRef]
- Arancon, N.Q.; Edwards, C.A.; Bierman, P.; Metzger, J.D.; Lee, S.; Welch, C. Effects of vermicomposts on growth and marketable fruits of field-grown tomatoes, peppers and strawberries: The 7th international symposium on earthworm ecology Cardiff Wales 2002. Pedobiologia 2003, 47, 731–735. [Google Scholar]
- Mahmoud, S.; Gad, D. Effect of vermicompost as fertilizer on growth, yield and quality of bean plants (Phaseolus vulgaris L.). Middle East J. 2020, 9, 220–226. [Google Scholar]
- Rekha, G.S.; Kaleena, P.K.; Elumalai, D.; Srikumaran, M.P.; Maheswari, V.N. Effects of vermicompost and plant growth enhancers on the exo-morphological features of Capsicum annum (Linn.) Hepper. Int. J. Recycl. Org. Waste Agric. 2018, 7, 83–88. [Google Scholar] [CrossRef]
- Reddy, M.V.; Ohkura, K. Vermicomposting of rice-straw and its effects on sorghum growth. Trophic Ecol. 2004, 45, 327–331. [Google Scholar]
- Bandani, M.; Mobasser, H.R.; Sirusmehr, A. Effect of organic fertilizer on quantitative yield of mung beam (Vigna radiata L.). interaction. Bioresour. Technol. 2014, 98, 1608–1614. [Google Scholar]
- Islam, M.A.; Boyce, A.N.; Rahman, M.M.; Azirun, M.S.; Ashraf, M.A. Effects of organic fertilizers on the growth and yield of bush bean, winged bean and yard long bean. Braz. Arch. Biol. Technol. 2016, 59, 73–94. [Google Scholar] [CrossRef]
- Biswash, M.R.; Rahman, M.W.; Haque, M.M.; Sharmin, M.; Barua, R. Effect of potassium and vermicompost on the growth, yield and nutrient contents of mungbean (BARI Mung 5). Open Sci. J. Biosci. Bioeng. 2014, 1, 33–39. [Google Scholar]
- Rajkhowa, D.; Saikia, M.; Rajkhowa, K. Effect of vermicompost and levels of fertilizer on greengram. Legume Res. J. 2003, 26, 63–65. [Google Scholar]
- Yadav, J.K.; Sharma, M.; Yadav, R.; Yadav, S.; Yadav, S. Effect of different organic manures on growth and yield of chickpea (Cicer arietinum L.). J. Pharmacogn. Phytochem. 2017, 6, 1857–1860. [Google Scholar]
- Kumar, R.; Kumawat, N. Effect of sowing dates, seed rates and integrated nutrition on productivity, profitability and nutrient uptake of summer mungbean in Eastern Himalaya. Arch. Agron. Soil Sci. 2014, 60, 1207–1227. [Google Scholar] [CrossRef]
- Ali, M.; Griffiths, A.J.; Williams, K.P.; Jones, D.L. Evaluating the growth characteristics of lettuce in vermicompost and green waste compost. Eur. J. Soil Biol. 2007, 43, S316–S319. [Google Scholar] [CrossRef]
- Channaveerswami, A.S. Studies on Integrated Nutrient Management and Planting Methods on Seed Yield and Quality of groundnut. Ph.D. Thesis, University Agriculture Science Dharwad, Dharwad, India, 2005. [Google Scholar]
- Tak, S. Effect of Vermicompost and Foliar Spray of Zinc on Growth, Yield and Quality of Green Gram. Master’s Thesis, Rajasthan Agricultural University, Bikaner, India, 2003. [Google Scholar]
- Rajkhowa, A.K.; Gogoi, A.R.; Kondali Rajkhowa, K.M. Effect of vermicompost on green gram. Indian J. Agric. Sci. 2000, 70, 344. [Google Scholar]



| Parameters | C. erectus Leaves | Vermicompost of C. erectus Leaves | Vermicompost of C. erectus Leaves + Soil | Vermicompost of C. erectus Leaves + FYM | LSD (p < 0.05) |
|---|---|---|---|---|---|
| pH | 6.85 A | 6.47 C | 6.56 BC | 6.69 B | 0.13 |
| EC | 4.32 C | 6.27 B | 6.95 AB | 7.54 A | 0.16 |
| Total organic carbon (%) | 39.23 A | 24.48 B | 21.36 C | 16.75 D | 1.92 |
| Nitrogen (%) | 1.35 D | 1.64 B | 1.56 C | 1.86 A | 0.06 |
| Phosphorus (%) | 0.01 C | 0.06 B | 0.07 B | 0.15 A | 0.01 |
| Potassium (%) | 0.26 C | 0.40 A | 0.29 B | 0.41 A | 0.01 |
| Zinc (ppm) | 21.50 D | 35.80 B | 30.00 C | 39.4 A | 1.12 |
| Iron (ppm) | 935.00 B | 1582.00 A | 1604.00 A | 1572.00 A | 36.98 |
| Copper (ppm) | 5.46 D | 11.60 C | 16.42 B | 19.46 A | 0.19 |
| Calcium (ppm) | 1918.20 D | 1981.50 C | 2223.50 B | 4085.80 A | 50.235 |
| Substrate | Number of Earthworms | Number of Cocoons | Average Weight of Earthworm (mg) | Growth Rate/Worm/Day (mg) |
|---|---|---|---|---|
| C. erectus leaves | 43.00 B | 12.00 B | 686.67 B | 7.11 B |
| C. erectus leaves + soil | 47.33 AB | 16.00 AB | 836.67 AB | 9.33 A |
| C. erectus leaves + FYM | 55.00 A | 23.00 A | 940.00 A | 11.11 A |
| LSD (p < 0.05) | 10.33 | 9.98 | 198.34 | 1.99 |
Publisher’s Note: MDPI stays neutral with regard to jurisdictional claims in published maps and institutional affiliations. |
© 2022 by the authors. Licensee MDPI, Basel, Switzerland. This article is an open access article distributed under the terms and conditions of the Creative Commons Attribution (CC BY) license (https://creativecommons.org/licenses/by/4.0/).
Share and Cite
Rehman, S.u.; Aslam, Z.; Aljuaid, B.S.; Abbas, R.N.; Bashir, S.; Almas, M.H.; Awan, T.H.; Belliturk, K.; Al-Taisan, W.A.; Mahmoud, S.F.; et al. Reduction in the Allelopathic Potential of Conocarpus erectus L. through Vermicomposting. Sustainability 2022, 14, 12840. https://doi.org/10.3390/su141912840
Rehman Su, Aslam Z, Aljuaid BS, Abbas RN, Bashir S, Almas MH, Awan TH, Belliturk K, Al-Taisan WA, Mahmoud SF, et al. Reduction in the Allelopathic Potential of Conocarpus erectus L. through Vermicomposting. Sustainability. 2022; 14(19):12840. https://doi.org/10.3390/su141912840
Chicago/Turabian StyleRehman, Sami ur, Zubair Aslam, Bandar S. Aljuaid, Rana Nadeem Abbas, Saqib Bashir, Munawar Hussain Almas, Tahir Hussain Awan, Korkmaz Belliturk, Wafa’a A. Al-Taisan, Samy F. Mahmoud, and et al. 2022. "Reduction in the Allelopathic Potential of Conocarpus erectus L. through Vermicomposting" Sustainability 14, no. 19: 12840. https://doi.org/10.3390/su141912840
APA StyleRehman, S. u., Aslam, Z., Aljuaid, B. S., Abbas, R. N., Bashir, S., Almas, M. H., Awan, T. H., Belliturk, K., Al-Taisan, W. A., Mahmoud, S. F., & Bashir, S. (2022). Reduction in the Allelopathic Potential of Conocarpus erectus L. through Vermicomposting. Sustainability, 14(19), 12840. https://doi.org/10.3390/su141912840

