Field Measurement and Mechanism Analysis of Rail Corrugation on Steel Spring Floating Slab Track Section
Abstract
:1. Introduction
2. Field Measurements
3. Numerical Simulation
3.1. Finite Element Model of the Wheelset-SSFST System
3.2. Analytical Methods
4. Results and Discussion
4.1. Measurement Results
4.2. Results of the Complex Eigenvalue Analysis
4.3. Results of Transit Analysis
5. The Effect of Model Parameter on Rail Corrugation
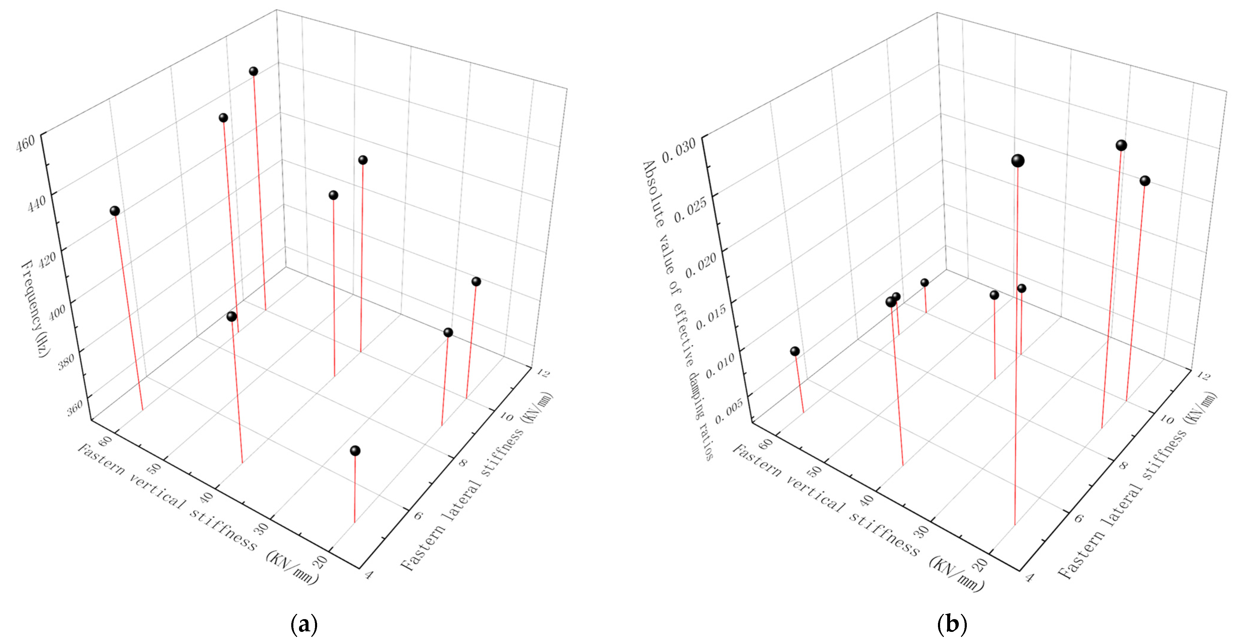
5.1. The Fastener Stiffness Influence Analysis
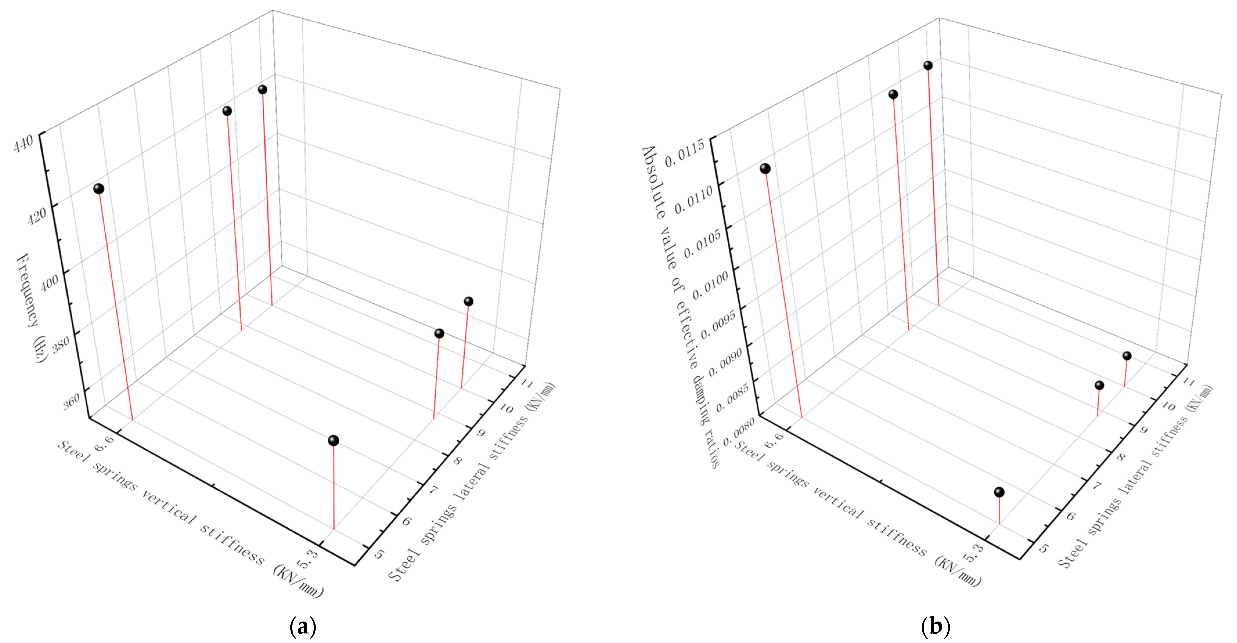
5.2. The Steel Spring Stiffness Influence Analysis
5.3. Analysis of the Influence of Friction Coefficient
6. Conclusions
- (1)
- The field rail corrugation measurement results show that rail corrugation in the SSFST section mainly occurs on the inner rail with a wavelength of approximately 31.7 mm, and the passing frequency of the train in the rail corrugation section is approximately 438 Hz. Through the PSD of rail vibration, acceleration was measured after the rail corrugation grinding. It was found that the vibration with a frequency of 421 Hz appearing in the inner rail is a frictional, self-excited vibration, which is similar to the corrugation passing frequency before rail grinding.
- (2)
- The complex eigenvalue analysis shows that the frequency of the frictional, self-excited instability mode is 425.7 Hz, as well as 1165.9 Hz, and through the transient analysis, it is found that the rail surface, vibration acceleration on the inner rail is significantly larger than the rail surface vertical vibration acceleration on the outer rail. The main frequency of normal contact force on the inner rail is 415 Hz, which proves that the vibration corresponding to the first unstable vibration mode occurs in the wheelset-SSFST system and is also nearly consistent with the rail corrugation site passing frequency of 438 Hz. Therefore, the frictional, self-excited vibration caused by the creep force between the wheel and rail is the cause for the occurrence of rail corrugation in the inner rail of SSFST.
- (3)
- Through parametric analysis of the model, it was found that the increase in the fastener’s vertical and lateral stiffness leads to a decrease in the possibility of the occurrence of rail corrugation. The increase in the steel springs’ vertical stiffness will cause the likelihood of the occurrence of rail corrugation to decrease, while the steel springs’ lateral stiffness has little effect on rail corrugation. The increase in the friction coefficient will lead to a sharp increase in the tendency of the occurrence of rail corrugation and will cause the rail corrugation wavelength to decrease.
Funding
Data Availability Statement
Acknowledgments
Conflicts of Interest
References
- Sato, Y.; Matsumoto, A.; Knothe, K. Review on rail corrugation studies. Wear 2002, 253, 130–139. [Google Scholar] [CrossRef]
- Zhao, X.; Wen, Z.; Wang, F.; Jin, X.; Zhu, M. Modeling of high-speed wheel-rail rolling contact on a corrugated rail and corrugation development. J. Zhejiang Univ.-Sci. A 2014, 15, 946–963. [Google Scholar] [CrossRef]
- Grassie, S.L. Rail corrugation: Advances in measurement, understanding and treatment. Wear 2005, 258, 1224–1234. [Google Scholar] [CrossRef]
- Tuz, L.; Ziewiec, A.; Pańcikiewicz, K. Influence of the Thermal Cutting Process on Cracking of Pearlitic Steels. Materials 2021, 14, 1284. [Google Scholar] [CrossRef] [PubMed]
- Mesaritis, M.; Shamsa, M.; Cuervo, P.; Santa, J.F.; Toro, A.; Marshall, M.B.; Lewis, R. A laboratory demonstration of rail grinding and analysis of running roughness and wear. Wear 2020, 456–457, 203379. [Google Scholar] [CrossRef]
- Haarmann, A. Die Baustoffe der Spurbahnen: Stahl and Eisen 1; Kisling: Berlin, Germany, 1913; pp. 1–12. (In German) [Google Scholar]
- Grassie, S.L. Wheel-Rail Interface Handbook; Woodhead Publishing: Cambridge, UK, 2009; pp. 349–376. [Google Scholar]
- Grassie, S.L. Rail corrugation: Characteristics, causes, and treatments. Proc. Inst. Mech. Eng. Part F J. Rail Rapid Transit 2009, 223, 581–596. [Google Scholar] [CrossRef]
- Matsumoto, A.; Sato, Y.; Ono, H.; Tanimoto, M.; Oka, Y.; Miyauchi, E. Formation mechanism and countermeasures of rail corrugation on curved track. Wear 2002, 253, 178–184. [Google Scholar] [CrossRef]
- Sun, Y.Q.; Simson, S. Nonlinear three-dimensional wagon-track model for the investigation of rail corrugation initiation on curved track. Veh. Syst. Dyn. 2007, 45, 113–132. [Google Scholar] [CrossRef]
- Ostermeijer, K.H. Review on short pitch rail corrugation studies. Wear 2008, 265, 1231–1237. [Google Scholar] [CrossRef]
- Ma, C.; Gao, L.; Xin, T.; Cai, X.; Nadakatti, M.M.; Wang, P. The dynamic resonance under multiple flexible wheelset-rail interactions and its influence on rail corrugation for high-speed railway. J. Sound Vib. 2021, 1, 115968. [Google Scholar] [CrossRef]
- Meehan, P.A.; Bellette, P.A.; Horwood, R.J. “Does god play dice with corrugations?”: Environmental effects on growth. Wear 2014, 314, 254–260. [Google Scholar] [CrossRef]
- Wu, T.X. Effects on short pitch rail corrugation growth of a rail vibration absorber/damper. Wear 2011, 271, 339–348. [Google Scholar] [CrossRef]
- Li, W.; Wang, H.; Wen, Z.; Du, X.; Wu, L.; Li, X.; Jin, X. An investigation into the mechanism of metro rail corrugation using experimental and theoretical methods. Proc. Inst. Mech. Eng. Part F J. Rail Rapid Transit 2016, 230, 1025–1039. [Google Scholar] [CrossRef]
- Cui, X.; Chen, G.; Yang, H.; Zhang, Q.; Ouyang, H.; Zhu, M. Study on rail corrugation of a metro tangential track with Cologne-egg type fasteners. Veh. Syst. Dyn. 2016, 54, 353–369. [Google Scholar] [CrossRef]
- Wanming, Z.; Peng, X.U.; We, K. Analysis of vibration reduction characteristics and applicability of steel-spring floating-slab track. J. Mod. Transp. 2011, 19, 215–222. [Google Scholar]
- Zhang, H.; Liu, W.; Liu, W.; Wu, Z. Study on the cause and treatment of rail corrugation for Beijing metro. Wear 2014, 317, 120–128. [Google Scholar] [CrossRef]
- Xing, M.; Zhao, C.; Wang, P.; Lu, J.; Qiang, Y. A Numerical Analysis of Ground Vibration Induced by Typical Rail Corrugation of Underground Metro. Shock. Vib. 2019, 2019, 1–16. [Google Scholar]
- Chen, G.X.; Zhou, Z.R.; Ouyang, H.; Jin, X.S.; Zhu, M.H.; Liu, Q.Y. A finite element study on rail corrugation based on saturated creep force-induced self-excited vibration of a wheelset-track system. J. Sound Vib. 2010, 329, 46–55. [Google Scholar] [CrossRef]
- Xiong, Z.; Li, Q.; Mao, Q.; Zou, Q. A 3D Laser Profiling System for Rail Surface Defect Detection. Sensors 2017, 17, 1791. [Google Scholar] [CrossRef]
- Yuan, Y. An eigenvalue analysis approach to brake squeal problem. In Proceedings of the 29th ISATA Conference, Florence, Italy, 1 January 1996. [Google Scholar]
- Abubakar, A.R.; Ouyang, H. Complex eigenvalue analysis and dynamic transient in predicting disc brake squeal. Veh. Noise Vib. 2006, 2, 143–155. [Google Scholar] [CrossRef]
- Hilber, H.M.; Hughes, T.J.R.; Taylor, R.L. Improved numerical dissipation for time integration algorithms in structural dynamics. Earthq. Eng. Struct. Dyn. 1977, 5, 283–292. [Google Scholar] [CrossRef]
- Cui, X.; Chen, G.; Zhao, J.; Yan, W.; Ouyang, H.; Zhu, M. Field investigation and numerical study of the rail corrugation caused by frictional self-excited vibration. Wear 2017, 376/377, 1919–1929. [Google Scholar] [CrossRef]
- Brockley, A. An investigation of rail corrugation using friction-induced vibration theory. Wear 1988, 128, 99–106. [Google Scholar] [CrossRef]
- BS EN ISO 3095: 2005; Railway Applications—Acoustics—Measurement of Noise Emitted by Rail Bound Vehicles. BSI-British Standards Institution: London, UK, 2005.
- Ibrahim, R.A. Friction-Induced Vibration, Chatter, Squeal, and Chaos—Part II: Dynamics and Modeling. Appl. Mech. Rev. 1994, 47, 227–253. [Google Scholar] [CrossRef]
- Bucher, F.; Dmihrifv, A.I.; Ertz, M.; Knothe, K.; Popov, V.L.; Psakhie, S.G.; Shilko, E.V. Multiscale Simulation of Dry Friction in Wheel/Rail Contact. Wear 2006, 261, 87–88. [Google Scholar] [CrossRef]


















| Components | Density/(kg·m−3) | Young Modulus/Pa | Poisson’s Ratio |
|---|---|---|---|
| wheelset | 7800 | 2.1 × 1011 | 0.3 |
| rail | 7790 | 2.059 × 1011 | 0.3 |
| Slab | 2500 | 3.5 × 1010 | 0.2 |
| Complex Modals Order | Frequency |
|---|---|
| 116 | 425.7 |
| 319 | 1165.9 |
| Case | 1 | 2 | 3 | 4 | 5 | 6 | 7 | 8 | 9 |
|---|---|---|---|---|---|---|---|---|---|
| Vertical stiffness | 20 | 20 | 20 | 40 | 40 | 40 | 60 | 60 | 60 |
| Lateral stiffness | 5 | 8.79 | 10 | 5 | 8.79 | 10 | 5 | 8.79 | 10 |
| Case | 1 | 2 | 3 | 4 | 5 | 6 |
|---|---|---|---|---|---|---|
| Vertical stiffness | 5.3 | 5.3 | 5.3 | 6.6 | 6.6 | 6.6 |
| Lateral stiffness | 6 | 8 | 10 | 6 | 8 | 10 |
Publisher’s Note: MDPI stays neutral with regard to jurisdictional claims in published maps and institutional affiliations. |
© 2022 by the author. Licensee MDPI, Basel, Switzerland. This article is an open access article distributed under the terms and conditions of the Creative Commons Attribution (CC BY) license (https://creativecommons.org/licenses/by/4.0/).
Share and Cite
Ma, K. Field Measurement and Mechanism Analysis of Rail Corrugation on Steel Spring Floating Slab Track Section. Sustainability 2022, 14, 11790. https://doi.org/10.3390/su141811790
Ma K. Field Measurement and Mechanism Analysis of Rail Corrugation on Steel Spring Floating Slab Track Section. Sustainability. 2022; 14(18):11790. https://doi.org/10.3390/su141811790
Chicago/Turabian StyleMa, Kuikui. 2022. "Field Measurement and Mechanism Analysis of Rail Corrugation on Steel Spring Floating Slab Track Section" Sustainability 14, no. 18: 11790. https://doi.org/10.3390/su141811790
APA StyleMa, K. (2022). Field Measurement and Mechanism Analysis of Rail Corrugation on Steel Spring Floating Slab Track Section. Sustainability, 14(18), 11790. https://doi.org/10.3390/su141811790

