Production Capacity Reserve Strategy of Emergency Medical Supplies: Incentive Model for Nonprofit Organizations
Abstract
:1. Introduction
2. Literature Review
3. Variables and Assumptions
3.1. Parameter and Variable Definitions
3.2. Assumptions
- (1)
- If one supposes that NPOs and the firm are completely rational, NPOs are risk-neutral, the firm is risk-averse, and the utility function of the firm is a Pratt–Arrow utility function, , r is the enterprise risk aversion coefficient. x is the real monetary income.
- (2)
- Assuming that NPOs and enterprises pursue different goals, the goal of NPOs is to maximize the benefits of disaster reduction; that of enterprises is to maximize the benefits, without affecting their own retained utility.
- (3)
- Assuming that the information held by NPOs and enterprises is asymmetric, NPOs cannot fully observe the level of the enterprises’ efforts, nor can they accurately obtain the private information of enterprises.
- (4)
- Enterprise effort has a linear influence on reserve production efficiency, sustainable production capacity, and NPOs’ income. Thus, the enterprises’ production efficiency reserve level is given as (considered a daily maximum output) and sustained production capacity is expressed as (regarded as the total amount of continuous production of the enterprise). NPOs’ income is set as .
- (5)
- The NPOs’ production efficiency reward to enterprise reserve productive capacity can be expressed as . When a disaster occurs, if the enterprise’s actual reserve production efficiency, p, is less than the reserve productivity, P, which is required by the NPOs, then the NPOs will follow the coefficient of to punish the enterprise. Otherwise, NPOs will reward the enterprise according to the coefficient of . The NPOs’ reward for the enterprise’s sustainable production capacity can be expressed as . That is, when a disaster occurs, if the actual sustainable production capacity level of the enterprise, , is less than the level of sustained productivity, Q, required by the NPOs, then the NPOs will follow the coefficient of to punish the enterprise. Otherwise, the NPOs will reward the enterprise according to the coefficient of .
- (6)
- We replaced the cost of reserve production capacity with the cost of effort, which is related to the level of effort and the cost of production. Using the monetary cost representation, the effort cost function can be expressed as . The first and second derivatives of the cost of effort with respect to the level of effort are greater than zero and are as follows: and .
4. Design of the Incentive Contract Model
4.1. Analysis of the Enterprise Utility Function
4.2. Utility Function Analysis of NPOs
4.3. Construction of Incentive Model
5. Model Analysis
6. Numerical Simulation
6.1. Calculation Example
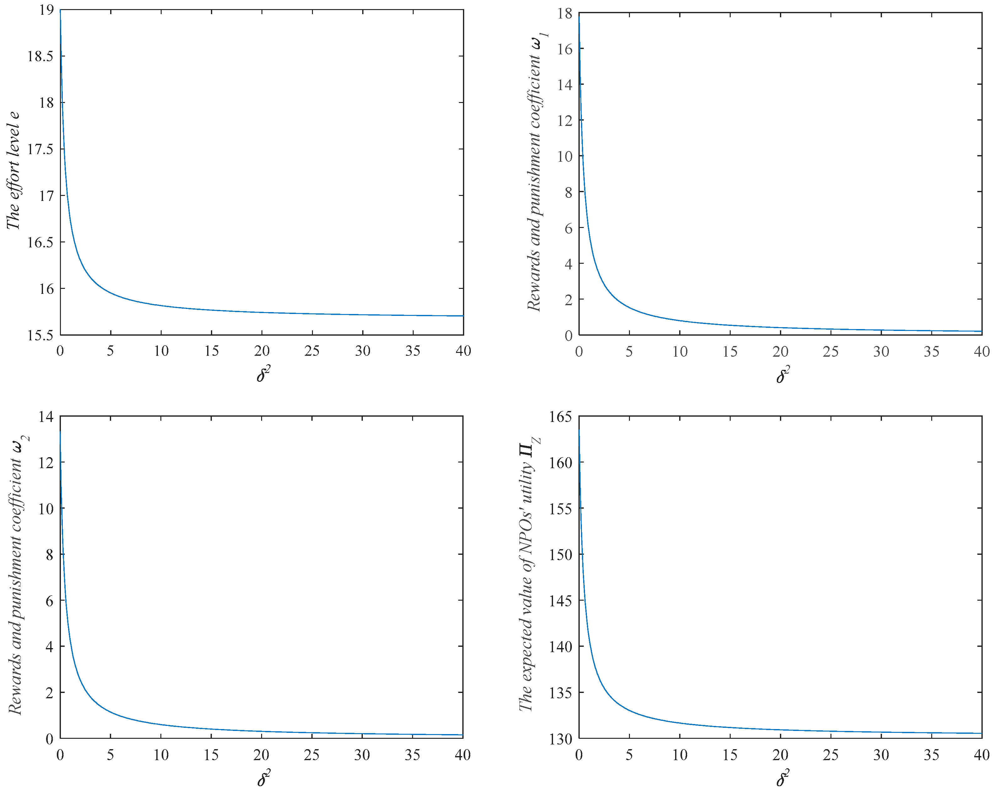
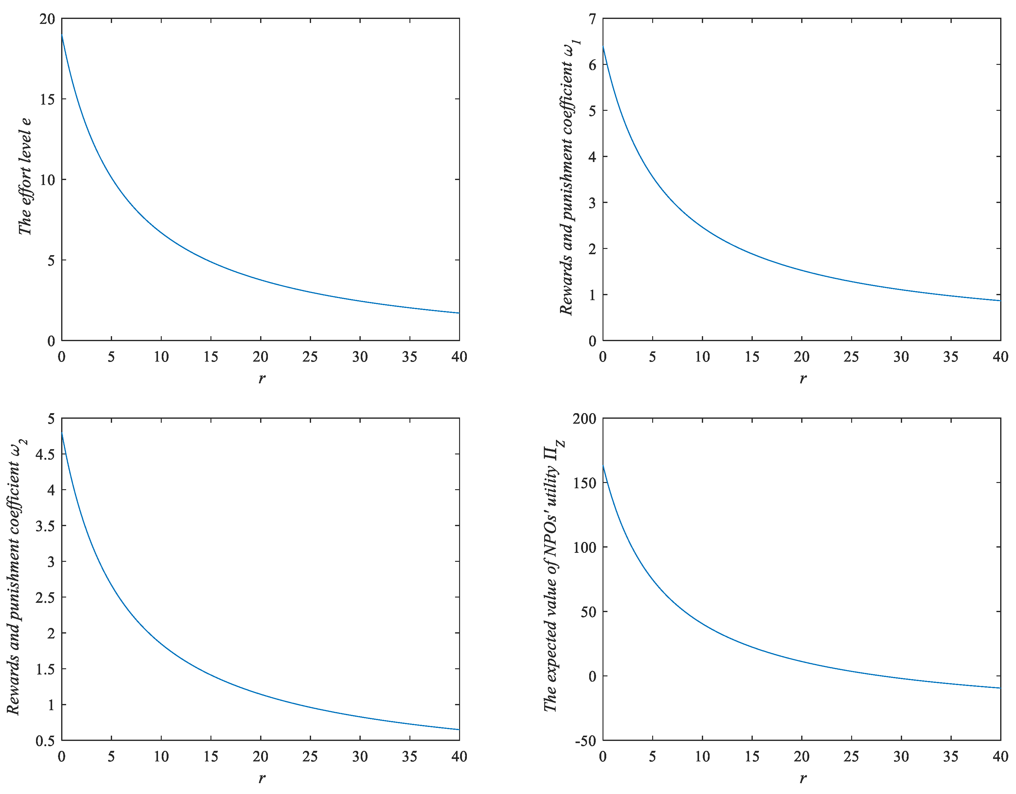
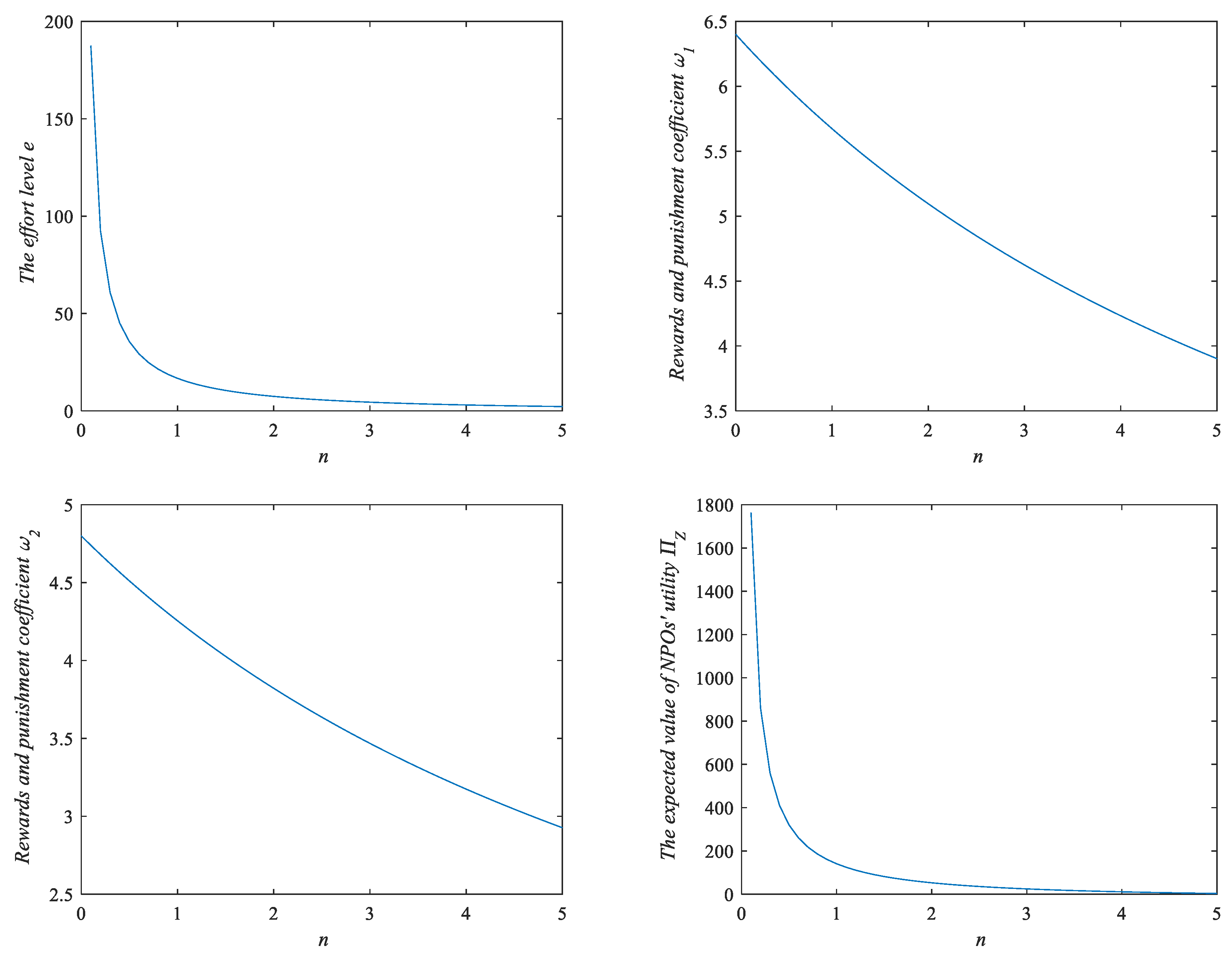
6.2. Sensitivity Analysis
7. Conclusions
Author Contributions
Funding
Institutional Review Board Statement
Informed Consent Statement
Data Availability Statement
Conflicts of Interest
References
- World Health Organization. Shortage of Personal Protective Equipment Endangering Health Workers Worldwide. Available online: https://www.who.int/news-room/detail/03-03-2020-shortage-of-personal-protective-equipment-endangering-health-workers-worldwide (accessed on 1 January 2021).
- He, D.Y.; Jiang, D.L.; Wang, Y.S.; Chen, Y.W. Research on incentive and constraint mechanism of government entrust to enterprise agent reserve emergency material. Open Cybern. Syst. J. 2014, 8, 695–701. [Google Scholar]
- Basu, A.K.; Lai, R.; Srinivasan, V.; Staelin, R. Salesforce compensation plans: An agency theoretic perspective. Mark. Sci. 1985, 4, 267–291. [Google Scholar] [CrossRef]
- Holmstrom, B.; Milgrom, P. Aggregation and linearity in the provision of intertemporal incentives. Econometrica 1987, 55, 303–328. [Google Scholar] [CrossRef]
- Chu, L.Y.; Sappington, D.E.M. Procurement contracts: Theory vs practice. Int. J. Ind. Organ. 2009, 27, 51–59. [Google Scholar] [CrossRef]
- Gary, H.; Chao, S.M.R.; Iravani, R.; Savaskan, R.C. Quality Improvement Incentives and Product Recall Cost Sharing Contracts. Manag. Sci. 2009, 55, 1122–1138. [Google Scholar] [CrossRef]
- Yan, D.; Xu, K.F.; Pholip, T.E. Transshipment incentive contracts in a multi-level supply chain. Eur. J. Oper. Res. 2012, 223, 430–440. [Google Scholar] [CrossRef]
- Cai, W.; Singham, D. A Principal-Agent Problem with Heterogeneous Demand Distributions for a Carbon Capture and Storage System. Eur. J. Oper. Res. 2018, 264, 239–256. [Google Scholar] [CrossRef]
- Zhou, C.; Peng, J.; Liu, Z. Optimal incentive contracts under loss aversion and inequity aversion. Fuzzy Optim. Decis. Mak. 2018, 18, 85–102. [Google Scholar] [CrossRef]
- Nan, Z.; Yang, C.; Rui, L.; Wu, M.; Wei, X. Monitoring strategy for relay incentive mechanism in cooperative communication networks. Comput. Electr. Eng. 2017, 60, 14–29. [Google Scholar] [CrossRef]
- Euch, O.E.; Mastrolia, T.; Rosenbaum, M.; Touzi, N. Optimal make-take fees for market making regulation. Math. Financ. 2021, 31, 109–148. [Google Scholar] [CrossRef]
- Bi, H.; Lu, F.; Duan, S.; Huang, M.; Zhu, J.; Liu, M. Two-level principal–agent model for schedule risk control of IT outsourcing project based on genetic algorithm. Eng. Appl. Artif. Intell. 2020, 91, 103584. [Google Scholar] [CrossRef]
- Ai, F.; Zhang, L. Incentive mechanism system of the management of IC design enterprises. J. Ambient. Intell. Humaniz. Comput. 2021. [Google Scholar] [CrossRef]
- Yao, M.; Wang, F.; Chen, Z.; Ye, H. Optimal Incentive Contract with Asymmetric Cost Information. J. Constr. Eng. Manag. 2020, 146, 04020054. [Google Scholar] [CrossRef]
- Zhang, H.; Li, J. An Optimal Water Resource Allocation Mechanism Based on Ex-Post Verification and Reward in Huangbai River. Water 2021, 13, 1588. [Google Scholar] [CrossRef]
- Dawande, M.; Janakiraman, G.; Qi, A.; Wu, Q. Optimal Incentive Contracts in Project Management. Prod. Oper. Manag. 2019, 28, 1431–1445. [Google Scholar] [CrossRef]
- Kerkhove, L.P.; Vanhoucke, M. Incentive contract design for projects: The owner’s perspective. Omega 2016, 262, 93–114. [Google Scholar] [CrossRef]
- Lin, Z.; Jun, T.; Fung, R.; Dang, C. Materials procurement and reserves policies for humanitarian logistics with recycling and replenishment mechanisms. Comput. Ind. Eng. 2019, 127, 709–721. [Google Scholar] [CrossRef]
- Zhao, L.; Chen, Y. Optimal Subsidies for Green Products: A Maximal Policy Benefit Perspective. Symmetry 2019, 11, 63. [Google Scholar] [CrossRef]
- Wang, X.; Wu, W.; Song, P.; He, J. An international comparison analysis of reserve and supply system for emergency medical supplies between China, the United States, Australia, and Canada. Biosci. Trends 2020, 14, 231–240. [Google Scholar] [CrossRef]
- Peng, S.; Feng, T. Optimal Contract to Induce Continued Effort. Manag. Sci. 2018, 64, 4193–4217. [Google Scholar] [CrossRef]
- Singham, D.I. Sample Average Approximation for the Continuous Type Principal-Agent Problem. Eur. J. Oper. Res. 2018, 275, 1050–1057. [Google Scholar] [CrossRef]
- Liang, L.; Atkins, D. Rewarding Suppliers’ Performance via Allocation of Business. Manuf. Serv. Oper. Manag. 2020, 23, 267–545. [Google Scholar] [CrossRef]
- Liu, J.; Wang, X. A Penalty Function Method for the Principal-Agent Problem with an Infinite Number of Incentive-Compatibility Constraints under Moral Hazard. Acta Math. Sci. 2021, 41, 1749–1763. [Google Scholar] [CrossRef]
- Wang, W.; Sun, X.; Zhang, M. Does the central environmental inspection effectively improve air pollution?-An empirical study of 290 prefecture-level cities in China. J. Environ. Manag. 2021, 286, 112274. [Google Scholar] [CrossRef]
- Tanner, A.; Doberstein, B. Emergency preparedness amongst university students. Int. J. Disaster Risk Reduct. 2015, 13, 409–413. [Google Scholar] [CrossRef]
- Hiroki, O.; Kong, J.S.; Shunsuke, M. Household preparedness for natural disasters: Impact of disaster experience and implications for future disaster risks in Japan. Int. J. Disaster Risk Reduct. 2017, 21, 148–158. [Google Scholar] [CrossRef]
- Lin, A.; Wu, H.; Liang, G.; Cardenas-Tristan, A.; Li, D. A big data-driven dynamic estimation model of relief supplies demand in urban flood disaster. Int. J. Disaster Risk Reduct. 2020, 49, 101682. [Google Scholar] [CrossRef]
- Hu, S.L.; Han, C.F.; Meng, L.P. A stochastic programming model for emergency supplies allocation with consider ation of production capacity reserves of enterprise. Syst. Eng. Theory Pract. 2018, 38, 1537–1544. [Google Scholar] [CrossRef]
- Al-Hajj, S.; Abou-El-Hassan, H.; Khalil, L.; Kaafarani, H.M.A.; El, S.M. Hospital disaster and emergency preparedness (HDEP) in Lebanon: A national comprehensive assessment. Int. J. Disaster Risk Reduct. 2020, 51, 101889. [Google Scholar] [CrossRef]
- Liu, J.; Guo, L.; Jiang, J.; Jiang, D.; Liu, R.; Wang, P. A two-stage optimization model for emergency material reserve layout planning under uncertainty in response to environmental accidents. J. Hazard. Mater. 2016, 310, 30–39. [Google Scholar] [CrossRef]
- Mohamadi, A.; Yaghoubi, S. A bi-objective stochastic model for emergency medical services network design with backup services for disasters under disruptions: An earthquake case study. Int. J. Disaster Risk Reduct. 2017, 23, 204–217. [Google Scholar] [CrossRef]
- Boonmee, C.; Arimura, M.; Asada, T. Facility location optimization model for emergency humanitarian logistics. Int. J. Disaster Risk Reduct. 2017, 24, 485–498. [Google Scholar] [CrossRef]
- Zhuang, L.; He, J.; Deng, X. The influence of professionals on the general public in the choice of earthquake disaster preparedness: Based on the perspective of peer effects. Int. J. Disaster Risk Reduct. 2021, 66, 102593. [Google Scholar] [CrossRef]
- Tamal, M.; Naiwrita, B.; Indrajit, B. Distribution of deficient resources in disaster response situation using particle swarm optimization. Int. J. Disaster Risk Reduct. 2019, 41, 101308. [Google Scholar] [CrossRef]
- Ogo, A.; Zsd, A.; Sh, B. Supplier selection decision making in disaster response. Comput. Ind. Eng. 2020, 143, 106412. [Google Scholar] [CrossRef]
- Ertem, M.A.; Akdogan, M.A.; Kahya, M. Intermodal transportation in humanitarian logistics with an application to a Turkish network using retrospective analysis. Int. J. Disaster Risk Reduct. 2022, 72, 102828. [Google Scholar] [CrossRef]
- Min, L.; Chao, Z.; Ming, D.; Ruipu, L. A two-stage stochastic variational inequality model for storage and dynamic distribution of medical supplies in epidemic management. Appl. Math. Model. 2022, 102, 35–61. [Google Scholar] [CrossRef]
- Jiang, J.; Shi, Y.; Wang, X.; Chen, X. Regularized Two-stage stochastic variational inequalities for Cournot-Nash equilibrium under uncertainty. J. Comput. Math. 2019, 37, 813–842. [Google Scholar] [CrossRef]
- Hu, Z.Q.; Tian, J.; Feng, G.Z. Research on emergency supplies reserve strategy and procurement pricing under agreement enterprise reserve. Syst. Eng. Theory Pract. 2020, 40, 605–616. [Google Scholar] [CrossRef]
- Hu, Z.Q.; Tian, J.; Shen, A. The model of emergency supplies storing and purchase pricing based on production capacity reserve. J. Ind. Eng. Eng. Manag. 2021, 35, 200–210. [Google Scholar] [CrossRef]
- Wei, J.; Zheng, Y.; Liu, C. Research on the Decision-making of Emergency Eedical Supplies under Government-Subsidized Government-Enterprise Agreement Reserve. Chin. J. Manag. Sci. 2021. [Google Scholar] [CrossRef]
- Gao, X.N.; Tian, J. Multi-period incentive contract design in the agent emergency supplies reservation strategy with asymmetric information. Comput. Ind. Eng. 2018, 120, 94–102. [Google Scholar] [CrossRef]
- Liu, Y.; Tian, J.; Feng, G. A Dynamic Incentive Model for the Prepositioning System of Relief Supplies Basedon Reputation Effect. J. Syst. Manag. 2022, 31, 1–15. [Google Scholar] [CrossRef]
- Zhang, H.; Yu, L.; Zhang, W. Dynamic performance incentive model with supervision mechanism for PPP projects. Eng. Constr. Archit. Manag. 2020, 27, 2643–2659. [Google Scholar] [CrossRef]
- Liu, J.; Ma, G. Study on incentive and supervision mechanisms of technological innovation in megaprojects based on the principal-agent theory. Eng. Constr. Archit. Manag. 2020, 28. [Google Scholar] [CrossRef]








| Symbol | Definition |
|---|---|
| Parameters | |
| Loan amount of emergency medical supplies | |
| Bank loan interest rate | |
| Discount rate of loan decided by NPOs, | |
| Conversion coefficient of enterprise loan proceeds | |
| Production efficiency of enterprises | |
| Sustainable production capacity of enterprises | |
| Random factor of enterprise production efficiency, | |
| Random factor of the enterprise’s sustainable production capacity, | |
| Random factor that affects the earnings of NPOs, | |
| Conversion coefficient of the marginal disaster reduction benefit of the enterprise’s degree of effort | |
| Marginal cost of the fixed input | |
| Effort cost coefficient | |
| Decision | |
| Reward and punishment coefficient of production efficiency | |
| Reward and punishment coefficient of continuous production capacity | |
| Level of effort the enterprise demonstrates for reserve production capacity |
Publisher’s Note: MDPI stays neutral with regard to jurisdictional claims in published maps and institutional affiliations. |
© 2022 by the authors. Licensee MDPI, Basel, Switzerland. This article is an open access article distributed under the terms and conditions of the Creative Commons Attribution (CC BY) license (https://creativecommons.org/licenses/by/4.0/).
Share and Cite
Xiao, H.; Xu, T.; Xu, H.; Lin, Y.; Sun, M.; Tan, M. Production Capacity Reserve Strategy of Emergency Medical Supplies: Incentive Model for Nonprofit Organizations. Sustainability 2022, 14, 11612. https://doi.org/10.3390/su141811612
Xiao H, Xu T, Xu H, Lin Y, Sun M, Tan M. Production Capacity Reserve Strategy of Emergency Medical Supplies: Incentive Model for Nonprofit Organizations. Sustainability. 2022; 14(18):11612. https://doi.org/10.3390/su141811612
Chicago/Turabian StyleXiao, Hua, Tong Xu, Huyang Xu, Yong Lin, Manjing Sun, and Manyi Tan. 2022. "Production Capacity Reserve Strategy of Emergency Medical Supplies: Incentive Model for Nonprofit Organizations" Sustainability 14, no. 18: 11612. https://doi.org/10.3390/su141811612
APA StyleXiao, H., Xu, T., Xu, H., Lin, Y., Sun, M., & Tan, M. (2022). Production Capacity Reserve Strategy of Emergency Medical Supplies: Incentive Model for Nonprofit Organizations. Sustainability, 14(18), 11612. https://doi.org/10.3390/su141811612
