Environmental Analyses of Delayed-Feedback Control Effects in Continuum-Traffic Flow of Autonomous Vehicles
Abstract
:1. Introduction
2. Modeling Autonomous Vehicles in an Inactive V2I Environment
- (I)
- D(s) is stable.
- (II)
3. Continuum-Traffic Flow Formulation
4. Numerical Simulations and Discussion
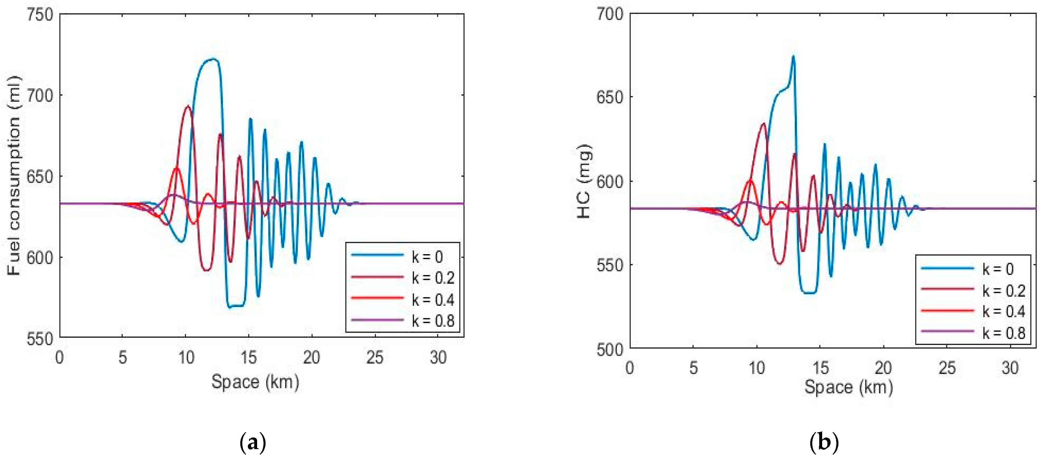
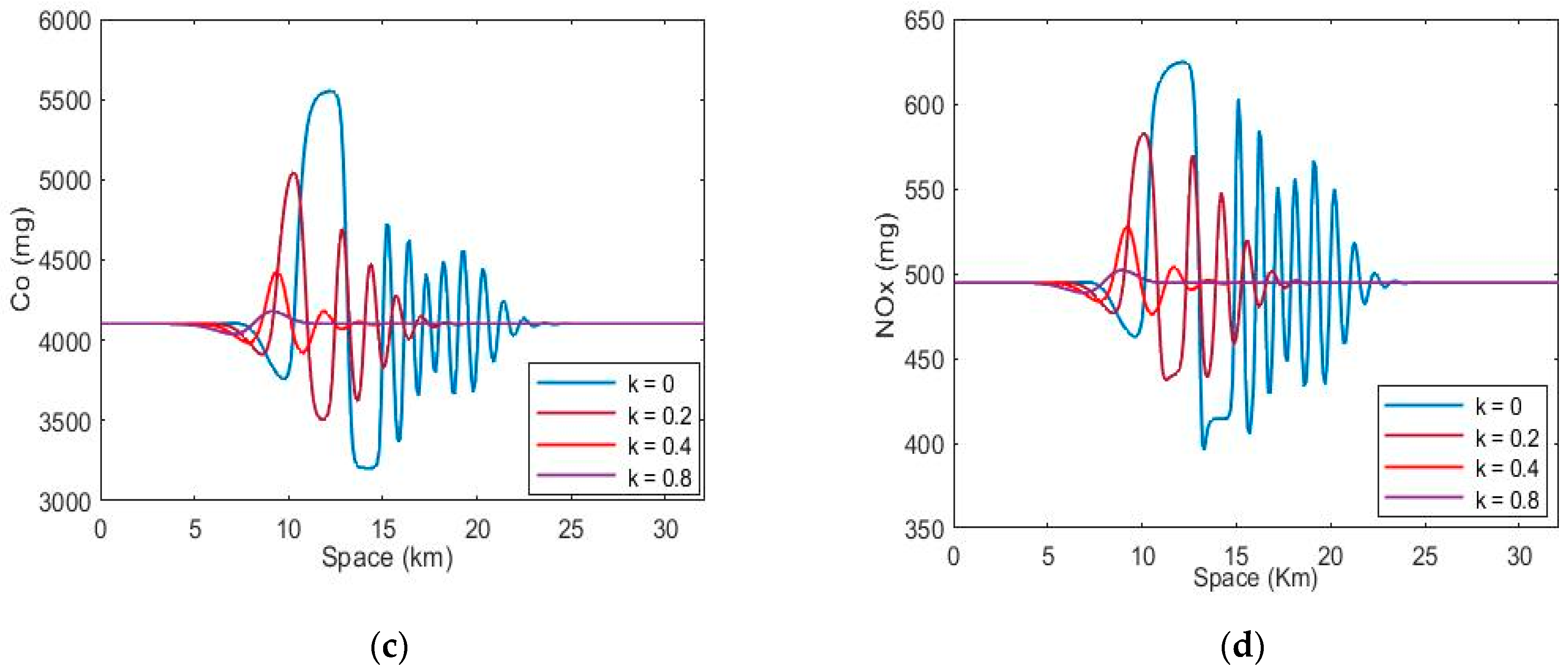
4.1. Case I
4.2. Case II
5. Conclusions
Author Contributions
Funding
Institutional Review Board Statement
Informed Consent Statement
Data Availability Statement
Acknowledgments
Conflicts of Interest
References
- Touratier-Muller, N.; Machat, K.; Jaussaud, J. Impact of French Governmental Policies to Reduce Freight Transportation CO2 Emissions on Small- and Medium-Sized Companies. J. Clean. Prod. 2019, 215, 721–729. [Google Scholar] [CrossRef]
- United States Energy Information Administration (EIA). Monthly Energy Review. 2022. Available online: https://www.eia.gov/totalenergy/data/monthly/pdf/mer.pdf (accessed on 1 August 2022).
- González, D.; Pérez, J.; Milanés, V.; Nashashibi, F. A Review of Motion Planning Techniques for Automated Vehicles. IEEE Trans. Intell. Transp. Syst. 2016, 17, 1135–1145. [Google Scholar] [CrossRef]
- Chen, Q.; Xu, L.; Zhou, Y.; Li, S. Finite Time Observer-based Super-twisting Sliding Mode Control for Vehicle Platoons with Guaranteed Strong String Stability. IET Intell. Transp. Syst. 2022. [Google Scholar] [CrossRef]
- Chen, Q.; Zhou, Y.; Ahn, S.; Xia, J.; Li, S.; Li, S. Robustly String Stable Longitudinal Control for Vehicle Platoons Under Communication Failures: A Generalized Extended State Observer-Based Control Approach. IEEE Trans. Intell. Veh. 2022, 66, 1. [Google Scholar] [CrossRef]
- Liu, H.; Kan, X.; Shladover, S.E.; Lu, X.Y.; Ferlis, R.E. Modeling Impacts of Cooperative Adaptive Cruise Control on Mixed Traffic Flow in Multi-Lane Freeway Facilities. Transp. Res. Part C Emerg. Technol. 2018, 95, 261–279. [Google Scholar] [CrossRef]
- Yao, Z.; Hu, R.; Wang, Y.; Jiang, Y.; Ran, B.; Chen, Y. Stability Analysis and the Fundamental Diagram for Mixed Connected Automated and Human-Driven Vehicles. Phys. A Stat. Mech. Appl. 2019, 533, 121931. [Google Scholar] [CrossRef]
- Talebpour, A.; Mahmassani, H.S. Influence of Connected and Autonomous Vehicles on Traffic Flow Stability and Throughput. Transp. Res. Part C Emerg. Technol. 2016, 71, 143–163. [Google Scholar] [CrossRef]
- Jafaripournimchahi, A.; Hu, W.; Sun, L. Nonlinear Stability Analysis for an Anticipation-Memory Car Following Model in the Era of Autonomous and Connected Vehicles. In Proceedings of the 2020 International Conference on Urban Engineering and Management Science, ICUEMS 2020, Zhuhai, China, 24–26 April 2020. [Google Scholar] [CrossRef]
- Naus, G.J.L.; Vugts, R.P.A.; Ploeg, J.; van de Molengraft, M.J.G.; Steinbuch, M. String-Stable CACC Design and Experimental Validation: A Frequency-Domain Approach. IEEE Trans. Veh. Technol. 2010, 59, 4268–4279. [Google Scholar] [CrossRef]
- Van Arem, B.; Tampere, C.M.J.; Malone, K.M. Modelling Traffic Flows with Intelligent Cars and Intelligent Roads. In Proceedings of the IEEE IV2003 Intelligent Vehicles Symposium, Proceedings (Cat. No. 03TH8683). Columbus, OH, USA, 9–11 June 2003; pp. 456–461. [Google Scholar]
- Jing, J.; Kurt, A.; Ozatay, E.; Michelini, J.; Filev, D.; Ozguner, U. Vehicle Speed Prediction in a Convoy Using V2V Communication. In Proceedings of the 2015 IEEE 18th International Conference on Intelligent Transportation Systems, Gran Canaria, Spain, 15–18 September 2015; pp. 2861–2868. [Google Scholar]
- Shladover, S.E.; Su, D.; Lu, X.-Y. Impacts of Cooperative Adaptive Cruise Control on Freeway Traffic Flow. Transp. Res. Rec. 2012, 2324, 63–70. [Google Scholar] [CrossRef] [Green Version]
- Jafaripournimchahi, A.; Hu, W.; Sun, L. An Asymmetric-Anticipation Car-Following Model in the Era of Autonomous-Connected and Human-Driving Vehicles. J. Adv. Transp. 2020, 2020, 8865814. [Google Scholar] [CrossRef]
- Vahidi, A.; Sciarretta, A. Energy Saving Potentials of Connected and Automated Vehicles. Transp. Res. Part C Emerg. Technol. 2018, 95, 822–843. [Google Scholar] [CrossRef]
- Brown, K.E.; Dodder, R. Energy and Emissions Implications of Automated Vehicles in the U.S. Energy System. Transp. Res. Part D Transp. Environ. 2019, 77, 132–147. [Google Scholar] [CrossRef] [PubMed]
- Milanés, V.; Shladover, S.E.; Spring, J.; Nowakowski, C.; Kawazoe, H.; Nakamura, M. Cooperative adaptive cruise control in real traffic situations. IEEE Trans. Intell. Transp. Syst. 2014, 15, 296–305. [Google Scholar] [CrossRef]
- Sun, L.; Jafaripournimchahi, A.; Hu, W. A Forward-Looking Anticipative Viscous High-Order Continuum Model Considering Two Leading Vehicles for Traffic Flow through Wireless V2X Communication in Autonomous and Connected Vehicle Environment. Phys. A Stat. Mech. Its Appl. 2020, 556, 124589. [Google Scholar] [CrossRef]
- Milanés, V.; Shladover, S.E. Modeling Cooperative and Autonomous Adaptive Cruise Control Dynamic Responses Using Experimental Data. Transp. Res. Part C Emerg. Technol. 2014, 48, 285–300. [Google Scholar] [CrossRef]
- Qiu, H.J.F.; Ho, I.W.-H.; Chi, K.T.; Xie, Y. A Methodology for Studying 802.11 p VANET Broadcasting Performance with Practical Vehicle Distribution. IEEE Trans. Veh. Technol. 2014, 64, 4756–4769. [Google Scholar] [CrossRef]
- Jafaripournimchahi, A.; Cai, Y.; Wang, H.; Sun, L.; Yang, B. Stability Analysis of Delayed-Feedback Control Effect in the Continuum Traffic Flow of Autonomous Vehicles without V2I Communication. Phys. A Stat. Mech. Appl. 2022, 605, 127975. [Google Scholar] [CrossRef]
- Just, W.; Bernard, T.; Ostheimer, M.; Reibold, E.; Benner, H. Mechanism of Time-Delayed Feedback Control. Phys. Rev. Lett. 1997, 78, 203. [Google Scholar] [CrossRef]
- Pyragas, K. Continuous Control of Chaos by Self-Controlling Feedback. Phys. Lett. A 1992, 170, 421–428. [Google Scholar] [CrossRef]
- Konishi, K.; Hirai, M.; Kokame, H. Decentralized Delayed-Feedback Control of a Coupled Map Model for Open Flow. Phys. Rev. E 1998, 58, 3055. [Google Scholar] [CrossRef]
- Konishi, K.; Kokame, H.; Hirata, K. Delayed-Feedback Control of an Optimal Velocity Traffic Model. In Proceedings of the 2000 2nd International Conference. Control of Oscillations and Chaos. Proceedings (Cat. No. 00TH8521), St. Petersburg, Russia, 5–7 July 2000; Volume 2, pp. 221–224. [Google Scholar]
- Konishi, K.; Kokame, H.; Hirata, K. Decentralized Delayed-Feedback Control of an Optimal Velocity Traffic Model. Eur. Phys. J. B-Condens. Matter Complex Syst. 2000, 15, 715–722. [Google Scholar] [CrossRef]
- Konishi, K.; Kokame, H.; Hirata, K. Coupled Map Car-Following Model and Its Delayed-Feedback Control. Phys. Rev. E 1999, 60, 4000. [Google Scholar] [CrossRef] [PubMed]
- Zhao, X.; Gao, Z. Controlling Traffic Jams by a Feedback Signal. Eur. Phys. J. B-Condens. Matter Complex Syst. 2005, 43, 565–572. [Google Scholar] [CrossRef]
- Davis, L.C. Stability of Adaptive Cruise Control Systems Taking Account of Vehicle Response Time and Delay. Phys. Lett. A 2012, 376, 2658–2662. [Google Scholar] [CrossRef]
- Zhang, Y.; Xue, Y.; Zhang, P.; Fan, D.; di He, H. Bifurcation Analysis of Traffic Flow through an Improved Car-Following Model Considering the Time-Delayed Velocity Difference. Phys. A Stat. Mech. Appl. 2019, 514, 133–140. [Google Scholar] [CrossRef]
- Jin, Y.; Hu, H. Stabilization of Traffic Flow in Optimal Velocity Model via Delayed-Feedback Control. Commun. Nonlinear Sci. Numer. Simul. 2013, 18, 1027–1034. [Google Scholar] [CrossRef]
- Cai, Y.; Luan, T.; Gao, H.; Wang, H.; Chen, L.; Li, Y.; Sotelo, M.A.; Li, Z. YOLOv4-5D: An Effective and Efficient Object Detector for Autonomous Driving. IEEE Trans. Instrum. Meas. 2021, 70, 4503613. [Google Scholar] [CrossRef]
- Wang, H.; Chen, Y.; Cai, Y.; Chen, L.; Li, Y.; Sotelo, M.A.; Li, Z. SFNet-N: An Improved SFNet Algorithm for Semantic Segmentation of Low-Light Autonomous Driving Road Scenes. IEEE Trans. Intell. Transp. Syst. 2022, 1–13. [Google Scholar] [CrossRef]
- Li, Y.; Zhang, L.; Peeta, S.; He, X.; Zheng, T.; Li, Y. A Car-Following Model Considering the Effect of Electronic Throttle Opening Angle under Connected Environment. Nonlinear Dyn. 2016, 85, 2115–2125. [Google Scholar] [CrossRef]
- Chen, L.; Zhang, Y.; Li, K.; Li, Q.; Zheng, Q. Car-Following Model of Connected and Autonomous Vehicles Considering Both Average Headway and Electronic Throttle Angle. Mod. Phys. Lett. B 2021, 35, 2150257. [Google Scholar] [CrossRef]
- Qin, Y.; Wang, H. Analytical Framework of String Stability of Connected and Autonomous Platoons with Electronic Throttle Angle Feedback. Transp. A Transp. Sci. 2021, 17, 59–80. [Google Scholar] [CrossRef]
- Li, S.; Cheng, R.; Ge, H. An Improved Car-Following Model Considering Electronic Throttle Dynamics and Delayed Velocity Difference. Phys. A Stat. Mech. Appl. 2020, 558, 125015. [Google Scholar] [CrossRef]
- Li, Y.; Zhao, H.; Zheng, T.; Sun, F.; Feng, H. Non-Lane-Discipline-Based Car-Following Model Incorporating the Electronic Throttle Dynamics under Connected Environment. Nonlinear Dyn. 2017, 90, 2345–2358. [Google Scholar] [CrossRef]
- Gunter, G.; Gloudemans, D.; Stern, R.E.; McQuade, S.; Bhadani, R.; Bunting, M.; Delle Monache, M.L.; Lysecky, R.; Seibold, B.; Sprinkle, J. Are Commercially Implemented Adaptive Cruise Control Systems String Stable? IEEE Trans. Intell. Transp. Syst. 2020, 22, 6992–7003. [Google Scholar] [CrossRef]
- Sugiyama, Y.; Fukui, M.; Kikuchi, M.; Hasebe, K.; Nakayama, A.; Nishinari, K.; Tadaki, S.; Yukawa, S. Traffic Jams without Bottlenecks—Experimental Evidence for the Physical Mechanism of the Formation of a Jam. New J. Phys 2008, 10, 033001. [Google Scholar] [CrossRef]
- Sun, Y.; Olaru, D.; Smith, B.; Greaves, S.; Collins, A. Road to Autonomous Vehicles in Australia: A Comparative Literature Review. In Proceedings of the Australasian Transport Research Forum, Melbourne, Australia, 16–18 November 2016; pp. 16–18. [Google Scholar]
- An, S.; Xu, L.; Qian, L.; Chen, G.; Luo, H.; Li, F. Car-Following Model for Autonomous Vehicles and Mixed Traffic Flow Analysis Based on Discrete Following Interval. Phys. A Stat. Mech. Appl. 2020, 560, 125246. [Google Scholar] [CrossRef]
- Peng, G.; Yang, S.; Xia, D.; Li, X. Delayed-Feedback Control in a Car-Following Model with the Combination of V2V Communication. Phys. A Stat. Mech. Appl. 2019, 526, 120912. [Google Scholar] [CrossRef]
- Wang, T.; Zhang, Y.; Zhang, J.; Li, Z.; Li, S. New Feedback Control Strategy for Optimal Velocity Traffic Model. Phys. A Stat. Mech. Appl. 2020, 559, 125053. [Google Scholar] [CrossRef]
- Li, Y.; Sun, D.; Liu, W. Feedback Control of Traffic Jam Based on the Full Velocity Difference Car-Following Model. J. Inf. Comput. Sci. 2012, 9, 719–730. [Google Scholar]
- Jafaripournimchahi, A.; Sun, L.; Hu, W. Driver’s Anticipation and Memory Driving Car-Following Model. J. Adv. Transp. 2020, 2020, 4343658. [Google Scholar] [CrossRef]
- Jafaripournimchahi, A.; Cai, Y.; Wang, H.; Sun, L.; Weng, J. Integrated-Hybrid Framework for Connected and Autonomous Vehicles Microscopic Traffic Flow Modelling. J. Adv. Transp. 2022, 2022, 2253697. [Google Scholar] [CrossRef]
- Jiang, R.; Wu, Q.; Zhu, Z. Full Velocity Difference Model for a Car-Following Theory. Phys. Rev. E 2001, 64, 017101. [Google Scholar] [CrossRef]
- Bando, M.; Hasebe, K.; Nakayama, A.; Shibata, A.; Sugiyama, Y. Dynamical Model of Traffic Congestion and Numerical Simulation. Phys. Rev. E 1995, 51, 1035. [Google Scholar] [CrossRef] [PubMed]
- Chen, X.; Wu, S.; Shi, C.; Huang, Y.; Yang, Y.; Ke, R.; Zhao, J. Sensing Data Supported Traffic Flow Prediction via Denoising Schemes and ANN: A Comparison. IEEE Sens. J. 2020, 20, 14317–14328. [Google Scholar] [CrossRef]
- Chen, X.; Ling, J.; Wang, S.; Yang, Y.; Luo, L.; Yan, Y. Ship Detection from Coastal Surveillance Videos via an Ensemble Canny-Gaussian-Morphology Framework. J. Navig. 2021, 74, 1252–1266. [Google Scholar] [CrossRef]
- Reece, D.A.; Shafer, S.A. A Computational Model of Driving for Autonomous Vehicles. Transp. Res. Part A Policy Pract. 1993, 27, 23–50. [Google Scholar] [CrossRef]
- Ioannou, P.; Xu, Z. Throttle and Brake Control Systems for Automatic Vehicle Following. IVHS J. 1994, 1, 345–377. [Google Scholar] [CrossRef]
- Zhang, X.; Jarrett, D.F. Stability Analysis of the Classical Car-Following Model. Transp. Res. Part B Methodol. 1997, 31, 441–462. [Google Scholar] [CrossRef]
- Chowdhury, D.; Santen, L.; Schadschneider, A. Statistical Physics of Vehicular Traffic and Some Related Systems. Phys. Rep. 2000, 329, 199–329. [Google Scholar] [CrossRef]
- Hu, H.Y.; Wang, Z.H. Dynamics of Controlled Mechanical Systems with Delayed Feedback; Springer Science & Business Media: Berlin/Heidelber, Germany, 2002; ISBN 3540437339. [Google Scholar]
- Hu, H.Y.; Wang, Z.H. Stability Analysis of Damped SDOF Systems with Two Time Delays in State Feedback. J. Sound Vib. 1998, 214, 213–225. [Google Scholar] [CrossRef]
- Whitham, G.B. Linear and Nonlinear Waves; John Wiley & Sons Inc.: New York, NY, USA, 1974. [Google Scholar]
- Zhai, C.; Wu, W. A Continuum Model with Traffic Interruption Probability and Electronic Throttle Opening Angle Effect under Connected Vehicle Environment. Eur. Phys. J. B 2020, 93, 52. [Google Scholar] [CrossRef]
- Jiang, R.; Wu, Q.-S.; Zhu, Z.-J. A New Continuum Model for Traffic Flow and Numerical Tests. Transp. Res. Part B Methodol. 2002, 36, 405–419. [Google Scholar] [CrossRef]
- Sun, L.; Jafaripournimchahi, A.; Kornhauser, A.; Hu, W. A New Higher-Order Viscous Continuum Traffic Flow Model Considering Driver Memory in the Era of Autonomous and Connected Vehicles. Phys. A Stat. Mech. Appl. 2020, 547, 123829. [Google Scholar] [CrossRef]
- van Brummelen, J.; O’Brien, M.; Gruyer, D.; Najjaran, H. Autonomous Vehicle Perception: The Technology of Today and Tomorrow. Transp. Res. Part C Emerg. Technol. 2018, 89, 384–406. [Google Scholar] [CrossRef]
- Helbing, D.; Tilch, B. Generalized Force Model of Traffic Dynamics. Phys. Rev. E 1998, 58, 133–138. [Google Scholar] [CrossRef]
- Tang, T.-Q.; Huang, H.-J.; Shang, H.-Y. An Extended Macro Traffic Flow Model Accounting for the Driver’s Bounded Rationality and Numerical Tests. Phys. A Stat. Mech. Appl. 2017, 468, 322–333. [Google Scholar] [CrossRef]








| Fuel | CO | HC | NOx | |
|---|---|---|---|---|
| −0.679439 | 0.887447 | −0.728042 | −1.067682 | |
| 0.135273 | 0.148841 | 0.012211 | 0.254363 | |
| 0.015946 | 0.030550 | 0.023371 | 0.008866 | |
| −0.001189 | −0.001348 | 0.000093243 | −0.000951 | |
| 0.029665 | 0.070994 | 0.024950 | 0.046423 | |
| −0.000276 | −0.000786 | 0.000205 | 0.000173 | |
| −0.000001487 | 0.000004616 | 0.000001949 | 0.000000569 | |
| 0.004808 | 0.003870 | 0.010145 | 0.015482 | |
| −0.000020535 | 0.000093228 | 0.000103 | −0.000131 | |
| 5.5409285 × 10−8 | 0.000000706 | 0.000000618 | 0.000000328 | |
| 0.000083329 | −0.00926 | 0.000549 | 0.002876 | |
| 0.000000937 | 0.000049181 | 0.000037592 | 0.00005866 | |
| −2.479644 × 10−8 | −0.000000314 | −0.000000213 | 0.00000024 | |
| −0.000061321 | 0.000046144 | −0.000113 | −0.000321 | |
| 0.000000304 | −0.000001410 | 0.000003310 | 0.000001943 | |
| −4.467234 × 10−9 | 8.1724008 × 10−9 | −1.739372 × 10−8 | −1.257413 × 10−8 |
Publisher’s Note: MDPI stays neutral with regard to jurisdictional claims in published maps and institutional affiliations. |
© 2022 by the authors. Licensee MDPI, Basel, Switzerland. This article is an open access article distributed under the terms and conditions of the Creative Commons Attribution (CC BY) license (https://creativecommons.org/licenses/by/4.0/).
Share and Cite
Jafaripournimchahi, A.; Cai, Y.; Wang, H.; Sun, L. Environmental Analyses of Delayed-Feedback Control Effects in Continuum-Traffic Flow of Autonomous Vehicles. Sustainability 2022, 14, 11292. https://doi.org/10.3390/su141811292
Jafaripournimchahi A, Cai Y, Wang H, Sun L. Environmental Analyses of Delayed-Feedback Control Effects in Continuum-Traffic Flow of Autonomous Vehicles. Sustainability. 2022; 14(18):11292. https://doi.org/10.3390/su141811292
Chicago/Turabian StyleJafaripournimchahi, Ammar, Yingfeng Cai, Hai Wang, and Lu Sun. 2022. "Environmental Analyses of Delayed-Feedback Control Effects in Continuum-Traffic Flow of Autonomous Vehicles" Sustainability 14, no. 18: 11292. https://doi.org/10.3390/su141811292
APA StyleJafaripournimchahi, A., Cai, Y., Wang, H., & Sun, L. (2022). Environmental Analyses of Delayed-Feedback Control Effects in Continuum-Traffic Flow of Autonomous Vehicles. Sustainability, 14(18), 11292. https://doi.org/10.3390/su141811292

