Pricing and Service Effort Decisions of Book Dual-Channel Supply Chains with Showrooming Effect Based on Cost-Sharing Contracts
Abstract
:1. Introduction
2. Literature Review
2.1. Dual-Channel Supply Chain
2.2. Showrooming Effect
2.3. Contract Coordination
2.4. Comparative Analysis
3. Problem Statement, Notation and Assumptions
4. Model Formulation and Analysis
4.1. Pricing Model of the Book DSC Using the Royalty Contract
4.1.1. Pricing Strategy under Decentralized Decision-Making
4.1.2. Pricing Strategy under Centralized Decision-making
4.1.3. Contract Coordination under the Royalty Contract
4.2. Pricing Model of the Book DSC Using the Buyout Contract
4.2.1. Decentralized Decision-Making with the Buyout Contract
4.2.2. Centralized Decision-making with the Buyout Contract
4.2.3. Contract Coordination with the Buyout Contract
5. Numerical Analysis
5.1. Feasibility Analysis
5.1.1. Optimal Solutions and Profits for the DSC Members under the Royalty Contract
5.1.2. Optimal Solutions and Performance of Book DSC under the Buyout Contract
| Decentralized Decision-Making | |||||||
|---|---|---|---|---|---|---|---|
| 112.1 | 142.4 | 189.2 | 54.0 | 17,647.6 | 4485.2 | 22,132.8 | |
| Centralized decision-making | |||||||
| - | 172.0 | 202.6 | 183.4 | - | - | 29,046.4 | |
| Cost-sharing contract coordination | |||||||
| 70 | 172.0 | 202.6 | 183.4 | 17,896.6 | 11,149.8 | 29,046.4 | |
| 90 | 172.0 | 202.6 | 183.4 | 21,100.6 | 7945.8 | 29,046.4 | |
| 110 | 172.0 | 202.6 | 183.4 | 24,304.7 | 4741.7 | 29,046.4 |
5.2. Sensitivity Analysis
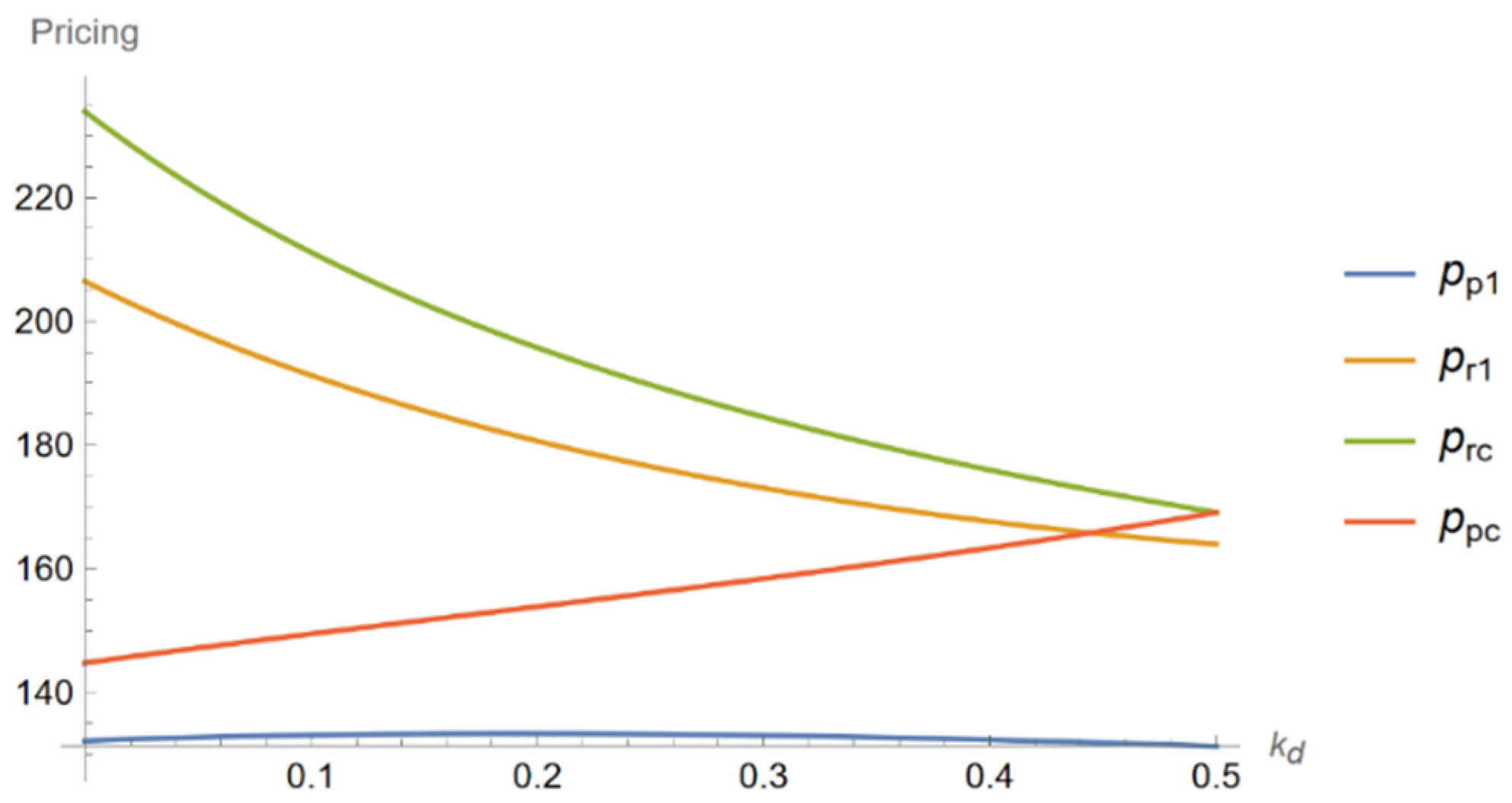
5.2.1. Sensitivity Analysis of the Optimal Solutions and Profits under Royalty Contract
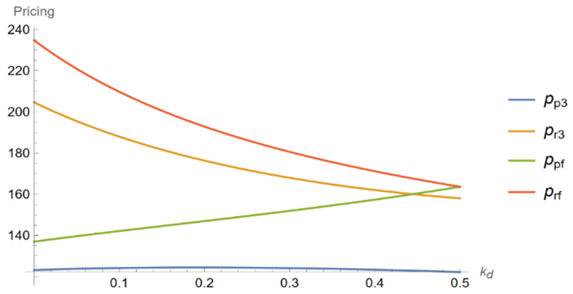
5.2.2. Sensitivity Analysis of the Optimal Solutions and Profits under Buyout Contract
6. Conclusions and Future Research
6.1. Conclusions
- (1)
- The showrooming effect has a negative impact on the optimal offline selling price of the retailer. It also discourages the retailer from reducing his service effort level, whereas the showrooming effect stimulates the publisher to raise the optimal online selling price and the wholesale price for the offline channel, which is harmful to the offline retailer. Hence, it is critical to introduce contracts that encourage the offline retailer to cooperate with the publisher and achieve a win–win situation.
- (2)
- The cost-sharing contract introduced in this study can realize the channel coordination for the book DSC members. It provides many possible cooperation choices for the publisher and the retailer to achieve a win–win situation. In real business, the final best possible combination of cost-sharing ratio and wholesale price mainly depends on the bargaining power between the publisher and the retailer. In addition, besides cost-sharing contracts, DSC members can seek other contract coordination, such as revenue-sharing contracts, and wholesale price contracts.
- (3)
- In general, the showrooming phenomenon of experiencing offline and buying online mainly results from the cheaper online selling price. This study suggests that there will be little difference between the optimal online and offline pricings if the growth coefficient of the offline demand (resulting from the offline retailer’s service effort) tends to be equal to that of the online demand, benefitting from the showrooming effect.
- (4)
- From the view of the author, there are two options (royalty or buyout contract) for him to choose. The author is suggested to analyze the break-even point between the royalty contract and the buyout contract and make his choice according to the demand forecasting for the book. The buyout contract would be better if the demand forecasting is no more than the break-even point. Otherwise, the royalty contract would be better.
6.2. Future Research
Author Contributions
Funding
Institutional Review Board Statement
Informed Consent Statement
Data Availability Statement
Conflicts of Interest
Appendix A
Appendix A.1
Appendix A.2
Appendix A.3
Appendix A.4
Appendix A.5
Appendix A.6
Appendix A.7
Appendix A.8
References
- Xu, S.Y.; Tang, H.J.; Lin, Z.J.; Lu, J. Pricing and sales-effort analysis of dual-channel supply chain with channel preference, cross-channel return and free riding behavior based on revenue-sharing contract. Int. J. Prod. Econ. 2022, 249, 20. [Google Scholar] [CrossRef]
- Liu, Z.X.; Lu, L.; Qi, X.T. The showrooming effect on integrated dual channels. J. Oper. Res. Soc. 2020, 71, 1347–1356. [Google Scholar] [CrossRef]
- Mai, F.X.; Zhang, J.X.; Sun, X.J. Dynamic analysis of pricing model in a book supply chain. Int. J. Prod. Econ. 2021, 233, 17. [Google Scholar] [CrossRef]
- Julie, B. Book Shopping in Stores, Then Buying Online. New York Times, 4 December 2011. [Google Scholar]
- Li, Y.J.; Lin, Z.X.; Xu, L.; Swain, A. Do the electronic books reinforce the dynamics of book supply chain market?—A theoretical analysis. Eur. J. Oper. Res. 2015, 245, 591–601. [Google Scholar] [CrossRef]
- Zhou, Y.W.; Guo, J.S.; Zhou, W.H. Pricing/service strategies for a dual-channel supply chain with free riding and service-cost sharing. Int. J. Prod. Econ. 2018, 196, 198–210. [Google Scholar] [CrossRef]
- Chiang, W.Y.K.; Chhajed, D.; Hess, J.D. Direct-marketing, indirect profits: A strategic analysis of dual-channel supply-chain design. Manag. Sci. 2003, 49, 1–20. [Google Scholar] [CrossRef]
- Chiang, W.Y.K.; Monahan, G.E. Managing inventories in a two-echelon dual-channel supply chain. Eur. J. Oper. Res. 2005, 162, 325–341. [Google Scholar] [CrossRef]
- Dumrongsiri, A.; Fan, M.; Jain, A.; Moinzadeh, K. A supply chain model with direct and retail channels. Eur. J. Oper. Res. 2008, 187, 691–718. [Google Scholar] [CrossRef]
- Dan, B.; Xu, G.Y.; Liu, C. Pricing policies in a dual-channel supply chain with retail services. Int. J. Prod. Econ. 2012, 139, 312–320. [Google Scholar] [CrossRef]
- Li, B.; Zhu, M.Y.; Jiang, Y.S.; Li, Z.H. Pricing policies of a competitive dual-channel green supply chain. J. Clean. Prod. 2016, 112, 2029–2042. [Google Scholar] [CrossRef]
- Niu, B.Z.; Li, J.W.; Zhang, J.; Cheng, H.K.; Tan, Y.L. Strategic Analysis of Dual Sourcing and Dual Channel with an Unreliable Alternative Supplier. Prod. Oper. Manag. 2019, 28, 570–587. [Google Scholar] [CrossRef]
- Esenduran, G.; Lu, L.X.; Swaminathan, J.M. Buyback Pricing of Durable Goods in Dual Distribution Channels. MSom Manuf. Serv. Oper. Manag. 2020, 22, 412–428. [Google Scholar] [CrossRef]
- He, Y.; Huang, H.F.; Li, D. Inventory and pricing decisions for a dual-channel supply chain with deteriorating products. Oper. Res. 2020, 20, 1461–1503. [Google Scholar] [CrossRef]
- Xu, S.Y.; Tang, H.J.; Lin, Z.J. Inventory and Ordering Decisions in Dual-Channel Supply Chains Involving Free Riding and Consumer Switching Behavior with Supply Chain Financing. Complexity 2021, 2021, 5530124. [Google Scholar] [CrossRef]
- Liu, P. Decision-Making and Coordination of a Three-Stage Book Supply Chain considering Big Data Information Cost. Math. Probl. Eng. 2019, 2019, 9017690. [Google Scholar] [CrossRef]
- Hou, W.H.; Zeng, Y.W. Strategic Analysis of the Pricing Mechanisms in an Online Book Supply Chain in the Presence of Reference Price Effects. J. Theor. Appl. Electron. Commer. Res. 2021, 16, 1492–1516. [Google Scholar] [CrossRef]
- Balakrishnan, A.; Sundaresan, S.; Zhang, B. Browse-and-Switch: Retail-Online Competition under Value Uncertainty. Prod. Oper. Manag. 2014, 23, 1129–1145. [Google Scholar] [CrossRef]
- Rapp, A.; Baker, T.L.; Bachrach, D.G.; Ogilvie, J.; Beitelspacher, L.S. Perceived customer showrooming behavior and the effect on retail salesperson self-efficacy and performance. J. Retail. 2015, 91, 358–369. [Google Scholar] [CrossRef]
- Mehra, A.; Kumar, S.; Raju, J.S. Competitive Strategies for Brick-and-Mortar Stores to Counter Showrooming. Manag. Sci. 2018, 64, 3076–3090. [Google Scholar] [CrossRef]
- Li, G.; Li, L.; Sun, J.S. Pricing and service effort strategy in a dual-channel supply chain with showrooming effect. Transp. Res. Part E Logist. Transp. Rev. 2019, 126, 32–48. [Google Scholar] [CrossRef]
- Ma, J.H.; Li, Y.P.; Wang, Z.X. Analysis of Pricing and Service Effort in Dual-Channel Supply Chains with Showrooming Effect. Int. J. Bifurc. Chaos 2020, 30, 21. [Google Scholar] [CrossRef]
- Basak, S.; Basu, P.; Avittathur, B.; Sikdar, S. Manufacturer driven strategic coordination as a response to showrooming. Decis. Support Syst. 2020, 133, 12. [Google Scholar] [CrossRef]
- Jiao, C.Y.; Hu, B. Showrooming, webrooming, and operational strategies for competitiveness. Prod. Oper. Manag. 2022, 31, 3217–3232. [Google Scholar] [CrossRef]
- Wang, J.B.; Wang, S.S. Revisiting the showrooming effect on online and offline retailers: The strategic role of in-store service. J. Retail. Consum. Serv. 2022, 66, 102884. [Google Scholar] [CrossRef]
- Weng, Z.K. Channel Coordination and Quantity Discounts. Manag. Sci. 1995, 41, 1509–1522. [Google Scholar] [CrossRef]
- Chen, F.R.; Federgruen, A.; Zheng, Y.S. Coordination mechanisms for a distribution system with one supplier and multiple retailers. Manag. Sci. 2001, 47, 693–708. [Google Scholar] [CrossRef]
- Giannoccaro, I.; Pontrandolfo, P. Supply chain coordination by revenue sharing contracts. Int. J. Prod. Econ. 2004, 89, 131–139. [Google Scholar] [CrossRef]
- Cachon, G.P.; Lariviere, M.A. Supply chain coordination with revenue-sharing contracts: Strengths and limitations. Manag. Sci. 2005, 51, 30–44. [Google Scholar] [CrossRef]
- Ding, D.; Chen, J. Coordinating a three level supply chain with flexible return policies. Omega Int. J. Manag. Sci. 2008, 36, 865–876. [Google Scholar] [CrossRef]
- Feng, X.; Moon, I.; Ryu, K. Revenue-sharing contracts in an N-stage supply chain with reliability considerations. Int. J. Prod. Econ. 2014, 147, 20–29. [Google Scholar] [CrossRef]
- Zhong, Y.G.; Guo, F.F.; Wang, Z.Q.; Tang, H.J. Coordination Analysis of Revenue Sharing in E-Commerce Logistics Service Supply Chain With Cooperative Distribution. SAGE Open 2019, 9, 15. [Google Scholar] [CrossRef]
- Zhong, Y.G.; Lai, I.K.W.; Guo, F.F.; Tang, H.J. Research on Government Subsidy Strategies for the Development of Agricultural Products E-Commerce. Agriculture 2021, 11, 27. [Google Scholar] [CrossRef]
- Yang, S.J.; Lai, I.K.W.; Tang, H.J. Pricing and Contract Coordination of BOPS Supply Chain Considering Product Return Risk. Sustainability 2022, 14, 21. [Google Scholar] [CrossRef]
- Chao, G.H.; Iravani, S.M.R.; Savaskan, R.C. Quality Improvement Incentives and Product Recall Cost Sharing Contracts. Manag. Sci. 2009, 55, 1122–1138. [Google Scholar] [CrossRef]
- Leng, M.M.; Parlar, M. Game-theoretic analyses of decentralized assembly supply chains: Non-cooperative equilibria vs. coordination with cost-sharing contracts. Eur. J. Oper. Res. 2010, 204, 96–104. [Google Scholar] [CrossRef]
- Chakraborty, T.; Chauhan, S.S.; Ouhimmou, M. Cost-sharing mechanism for product quality improvement in a supply chain under competition. Int. J. Prod. Econ. 2019, 208, 566–587. [Google Scholar] [CrossRef]
- Li, T.; Zhang, R.; Zhao, S.L.; Liu, B. Low carbon strategy analysis under revenue-sharing and cost-sharing contracts. J. Clean. Prod. 2019, 212, 1462–1477. [Google Scholar] [CrossRef]
- Rodriguez-Pereira, J.; Balcik, B.; Rancourt, M.E.; Laporte, G. A Cost-Sharing Mechanism for Multi-Country Partnerships in Disaster Preparedness. Prod. Oper. Manag. 2021, 30, 4541–4565. [Google Scholar] [CrossRef]
- Yan, R.L. Product brand differentiation and dual-channel store performances of a multi-channel retailer. Eur. J. Market. 2010, 44, 672–692. [Google Scholar] [CrossRef]
- Mukhopadhyay, S.K.; Zhu, X.; Yue, X. Optimal Contract Design for Mixed Channels Under Information Asymmetry. Prod. Oper. Manag. 2008, 17, 641–650. [Google Scholar] [CrossRef]






| Related Studies | Decision Variables | Channel Type | Showrooming Effect | Contract Strategy | Game Model |
|---|---|---|---|---|---|
| Dan, Xu and Liu [10] | offline and online selling prices; service level | dual channel | × | × | Stackelberg game |
| Feng, Moon and Ryu [31] | wholesale price; ordering decision; reliability | single channel | × | revenue-sharing contract | × |
| Li, Zhu, Jiang and Li [11] | online and offline pricing; green degree decision | dual channel | × | two-part tariff | Stackelberg game |
| Mehra, Kumar and Raju [20] | offline and online pricing, service level; channel choice | dual channel | √ | × | Hotelling game |
| Zhong, Guo, Wang and Tang [32] | ordering decision; service level | single channel | × | revenue-sharing contract | Stackelberg game |
| Ma, Li and Wang [22] | emission reduction; service effort level | dual channel | √ | wholesale price contract | Dynamic game |
| Zhong, Lai, Guo and Tang [33] | selling prices; wholesale price; sales effort level | single channel | × | wholesale price contract | Stackelberg game |
| Wang and Wang [25] | online and offline selling prices; service level; channel choice | dual channel | √ | × | Stackelberg game |
| Xu, Tang, Lin and Lu [1] | online and offline selling prices; wholesale price; sales effort level | dual channel | × | supplier-revenue sharing contract | Stackelberg game |
| Yang, Lai and Tang [34] | selling price; sales effort level | buy online and pick up in store | × | wholesale price contract | Stackelberg game |
| This study | online and offline selling prices; wholesale price; sales effort level | book dual channel with royalty and buyout contracts | √ | cost-sharing contract | Stackelberg game |
| Decision Variables | Description |
|---|---|
| Offline selling price of the retailer | |
| Online selling price of the publisher | |
| Wholesale price of the publisher | |
| Service effort level of the retailer | |
| Variables | Description |
| i | 1/c/2 (3/f/4) for decentralized/centralized/coordination under royalty contract (buyout contract) |
| Offline demand | |
| Online demand | |
| The profit of the retailer | |
| The profit of the publisher | |
| Parameters | Description |
| > 0 | |
| > 0 | |
| Price elasticity coefficient < 1 | |
| Unit production cost | |
| 1 | |
| 1 | |
| Decentralized Decision-Making | |||||||
|---|---|---|---|---|---|---|---|
| 123.6 | 151.3 | 194.2 | 49.5 | 19,030.3 | 3768.8 | 22,799.1 | |
| Centralized decision-making | |||||||
| - | 178.5 | 206.6 | 168.2 | - | - | 28,608.4 | |
| Cost-sharing contract coordination | |||||||
| 90 | 178.5 | 206.6 | 168.2 | 19,973.7 | 8634.7 | 28,608.4 | |
| 105 | 178.5 | 206.6 | 168.2 | 22,176.5 | 6431.9 | 28,608.4 | |
| 120 | 178.5 | 206.6 | 168.2 | 24,379.3 | 4229.1 | 28,608.4 |
| Decentralized Decision-Making | |||||||
|---|---|---|---|---|---|---|---|
| 123.6 | 151.3 | 194.2 | 49.5 | 19,030.3 | 3768.8 | 22,799.1 | |
| Centralized decision-making | |||||||
| - | 178.5 | 206.6 | 168.1 | - | - | 28,608.4 | |
| Cost-sharing contract coordination | |||||||
| 100 | 178.5 | 206.6 | 168.1 | 20,028.5 | 8579.9 | 28,608.4 | |
| 110 | 178.5 | 206.6 | 168.1 | 21,497 | 7111.4 | 28,608.4 | |
| 120 | 178.5 | 206.6 | 168.1 | 22,965.5 | 5642.9 | 2,8608.4 |
| Decentralized Decision-Making | |||||||
|---|---|---|---|---|---|---|---|
| 123.6 | 151.3 | 194.2 | 49.5 | 19,030.3 | 3768.8 | 22,799.1 | |
| Centralized decision-making | |||||||
| - | 178.5 | 206.6 | 168.2 | - | - | 28,608.4 | |
| Cost-sharing contract coordination | |||||||
| 110 | 178.5 | 206.6 | 168.2 | 20,083.2 | 8525.2 | 28,608.4 | |
| 125 | 178.5 | 206.6 | 168.2 | 22,286 | 6322.4 | 28,608.4 | |
| 140 | 178.5 | 206.6 | 168.2 | 24,488.8 | 4119.6 | 28,608.4 |
| Decentralized Decision-Making | |||||||
|---|---|---|---|---|---|---|---|
| 112.1 | 142.4 | 189.2 | 54.0 | 17,647.6 | 4485.2 | 22,132.8 | |
| Centralized decision-making | |||||||
| - | 172.0 | 202.6 | 183.4 | - | - | 29,046.4 | |
| Cost-sharing contract coordination | |||||||
| 80 | 172.0 | 202.6 | 183.4 | 17,816.1 | 11,230.3 | 29,046.4 | |
| 100 | 172.0 | 202.6 | 183.4 | 21,020.2 | 8026.2 | 29,046.4 | |
| 120 | 172.0 | 202.6 | 183.4 | 24,224.2 | 4822.2 | 29,046.4 |
| Decentralized Decision-Making | |||||||
|---|---|---|---|---|---|---|---|
| 112.1 | 142.4 | 189.2 | 54.0 | 17,647.6 | 4485.2 | 22,132.8 | |
| Centralized decision-making | |||||||
| - | 172.0 | 202.6 | 183.4 | - | - | 29,046.4 | |
| Cost-sharing contract coordination | |||||||
| 90 | 172.0 | 202.6 | 183.4 | 17,735.6 | 11,310.8 | 29,046.4 | |
| 105 | 172.0 | 202.6 | 183.4 | 20,138.7 | 8907.7 | 29,046.4 | |
| 120 | 172.0 | 202.6 | 183.4 | 22,541.7 | 6504.7 | 29,046.4 |
Publisher’s Note: MDPI stays neutral with regard to jurisdictional claims in published maps and institutional affiliations. |
© 2022 by the authors. Licensee MDPI, Basel, Switzerland. This article is an open access article distributed under the terms and conditions of the Creative Commons Attribution (CC BY) license (https://creativecommons.org/licenses/by/4.0/).
Share and Cite
Chen, Y.; Liu, X.; Huang, K.; Tang, H. Pricing and Service Effort Decisions of Book Dual-Channel Supply Chains with Showrooming Effect Based on Cost-Sharing Contracts. Sustainability 2022, 14, 11278. https://doi.org/10.3390/su141811278
Chen Y, Liu X, Huang K, Tang H. Pricing and Service Effort Decisions of Book Dual-Channel Supply Chains with Showrooming Effect Based on Cost-Sharing Contracts. Sustainability. 2022; 14(18):11278. https://doi.org/10.3390/su141811278
Chicago/Turabian StyleChen, Yanwei, Xiaojun Liu, Kaiqing Huang, and Huajun Tang. 2022. "Pricing and Service Effort Decisions of Book Dual-Channel Supply Chains with Showrooming Effect Based on Cost-Sharing Contracts" Sustainability 14, no. 18: 11278. https://doi.org/10.3390/su141811278
APA StyleChen, Y., Liu, X., Huang, K., & Tang, H. (2022). Pricing and Service Effort Decisions of Book Dual-Channel Supply Chains with Showrooming Effect Based on Cost-Sharing Contracts. Sustainability, 14(18), 11278. https://doi.org/10.3390/su141811278

