A Reflection on the Response to Sudden-Onset Disasters in the Post-Pandemic Era: A Graded Assessment of Urban Transportation Resilience Taking Wuhan, China as an Example
Abstract
:1. Introduction
2. Materials and Methods
2.1. Sources of Data
2.2. Research Methods
2.2.1. Definition of Travel Distance
2.2.2. Travel Mode Division
2.2.3. Transportation Resilience Grading
2.3. Calculation of Resilience Indicators
3. Results
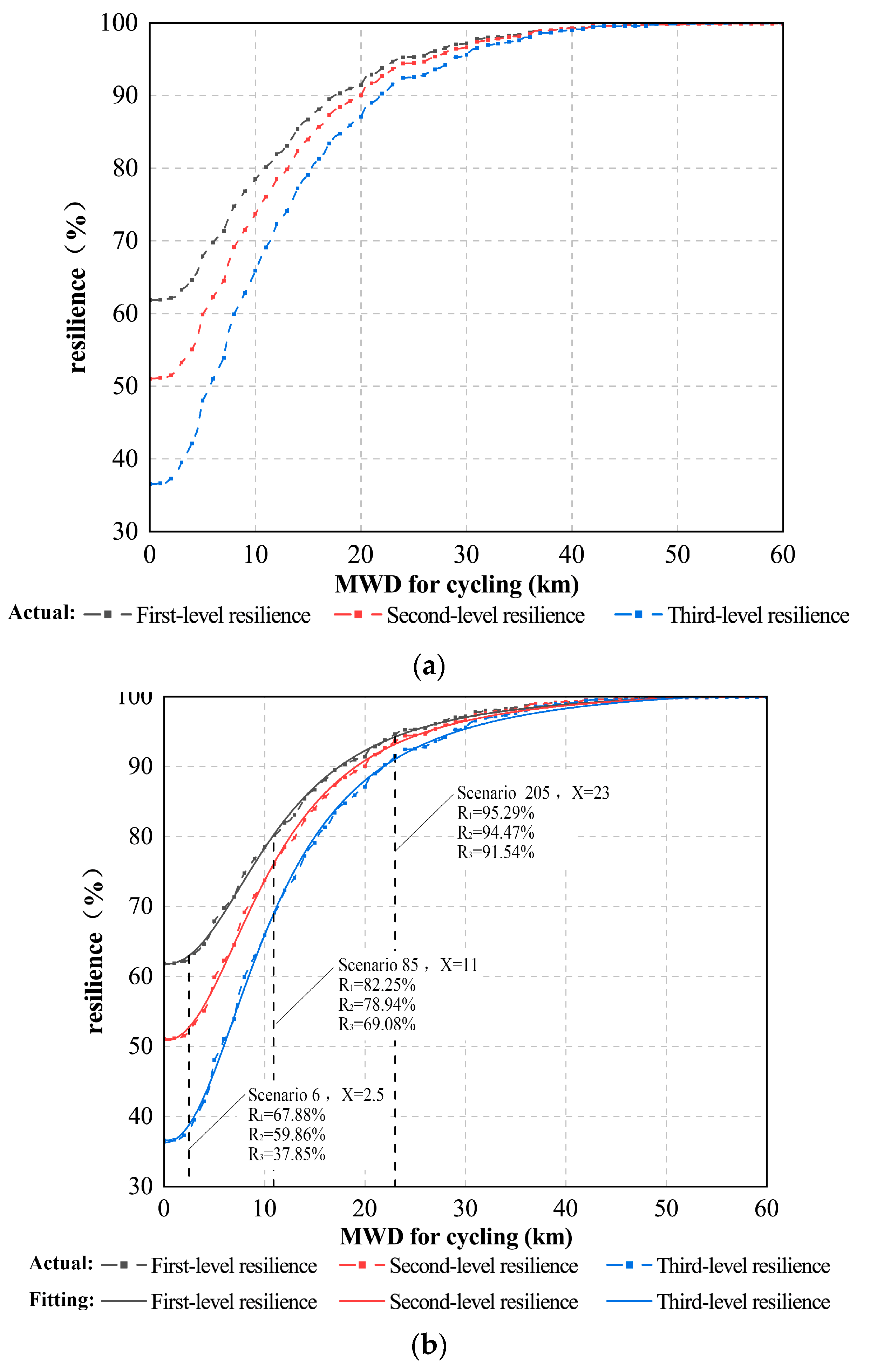
3.1. Integrated Urban Transportation Resilience Assessment
3.2. Distribution of Transportation Resilience Levels across TAZs in Wuhan
3.3. Impact of the Average Income Level of the Residents
4. Conclusions
Author Contributions
Funding
Informed Consent Statement
Data Availability Statement
Conflicts of Interest
References
- Capolongo, S.; Buffoli, M.; D’Alessandro, D.; Fara, G.M.; Signorelli, C. How to Foster Cities Resilient to the COVID-19 Pandemic through Urban Health Strategies. Eur. J. Public Health 2020, 30, 165–173. [Google Scholar] [CrossRef]
- Sharifi, A.; Khavarian-Garmsir, A.R. The COVID-19 Pandemic: Impacts on Cities and Major Lessons for Urban Planning, Design, and Management. Sci. Total Environ. 2020, 749, 142391. [Google Scholar] [CrossRef] [PubMed]
- McAslan, A. The Concept of Resilience: Understanding Its Origins, Meaning and Utility. Adelaide Torrens Resil. Inst. 2010, 4, 1–13. [Google Scholar]
- Thomas, T. On the Transverse Strength and Resilience of Timber. Philos. Mag. Ser. 1818, 51, 214–216. [Google Scholar]
- Fairbairn, W. Treaties on Iron Ship Building: Its History and Progress; Longmans, Green: London, UK; Spottiswooe and CO.: London, UK, 1865. [Google Scholar]
- Mallet, R. On the Physical Conditions Involved in the Construction of Artillery: With an Investigation of the Relative and Absolute Values of the Materials Principally Employed, and of Some Hitherto Unexplained Causes of the Destruction of Cannon in Service. Trans. R. Ir. Acad. 1856, 23, 141–436. [Google Scholar]
- Merriman, M. A Text-Book on the Mechanics of Materials, and of Beams, Columns, and Shafts; Wiley: New York, NY, USA, 1897. [Google Scholar]
- Gere, J.M.; Timoshenko, S.P. Mechanics of Materials; Hilda, G., Ed.; RPK Editorial Services, Inc.: New Windsor, NY, USA; Quebecor: Montreal, QC, Canada, 1997. [Google Scholar]
- Holling, C.S. Resilience and Stability of Ecological Systems. Annu. Rev. Ecol. Syst. 1973, 4, 1–23. [Google Scholar] [CrossRef]
- Tilman, D.; Downing, J.A. Biodiversity and Stability in Grasslands. Nature 1994, 367, 363–365. [Google Scholar] [CrossRef]
- Carl, F. Resilience: The Emergence of a Perspective for Social–Ecological Systems Analyses. Glob. Environ. Chang. 2006, 16, 253–267. [Google Scholar]
- Folke, C.; Carpenter, S.R.; Walker, B.; Scheffer, M.; Chapin, T.; Rockstrm, J. Resilience Thinking: Integrating Resilience, Adaptability and Transformability. Ecol. Soc. 2010, 15, 299–305. [Google Scholar] [CrossRef]
- Fernandes, V.A.; Rothfuss, R.; Hochschild, V.; Silva, W.; Peixoto, M.; Santos, S.; Souza, C. Pitombo Resiliência Da Mobilidade Urbana: Uma Proposta Conceitual e de Sistema Zao. Transportes 2017, 25, 112–121. [Google Scholar] [CrossRef]
- Chen, C.K.; He, F.; Zhao, D.Y.; Xie, M.F. Urban Public Transport System Resilience Evaluation Based on a System Function Curve. J. Tsinghua Univ. Technol. 2022, 62, 1016–1022. [Google Scholar]
- Saunders, M.J.; Kuhnimhof, T.; Chlond, B.; Silva, A. Incorporating Transport Energy into Urban Planning. Transp. Res. Part A Policy Pract. 2008, 42, 874–882. [Google Scholar] [CrossRef]
- Newman, P.; Kenworthy, J. “Peak Car Use”: Understanding the Demise of Automobile Dependence. World Transp. Policy Pract. 2011, 17, 31–42. [Google Scholar]
- Saunders, M.J.; Silva, A.N.R.D. Reducing Urban Transport Energy Dependence: A New Urban Development Framework and GIS-Based Tool. Int. J. Sustain. Transp. 2009, 3, 71–87. [Google Scholar] [CrossRef]
- Koetse, M.J.; Rietveld, P. The Impact of Climate Change and Weather on Transport: An Overview of Empirical Findings. Transp. Res. Part D Transp. Environ. 2009, 14, 205–221. [Google Scholar] [CrossRef]
- Yang, L.X.; Hu, K.Y. China’s Smart Elderly Care Policy Based on Content Analysis. J. Shanghai Univ. Sci. Ed. 2021, 38, 10. [Google Scholar]
- Chan, R.; Schofer, J.L. Measuring Transportation System Resilience: Response of Rail Transit to Weather Disruptions. Nat. Hazards Rev. 2016, 17, 5015004. [Google Scholar] [CrossRef]
- Seddighi, H. COVID-19 as a Natural Disaster: Focusing on Exposure and Vulnerability for Response. Disaster Med. Public Health Prep. 2020, 14, e42–e43. [Google Scholar] [CrossRef]
- Li, X.; Zhou, L.; Jia, T.; Peng, R.; Zou, Y. Associating the COVID-19 Severity with Urban Factors: A Case Study of Wuhan. Int. J. Environ. Res. Public Health 2020, 17, 6712. [Google Scholar] [CrossRef]
- Liu, F.Y.; Peng, R.; Huang, J.W.; Peng, Y.L. Discussion on Planning Issues Related to Urban Response to the Emergent Events of Public Health: A Case Study of Wuhan. Planners 2020, 36, 6. [Google Scholar]
- Peng, R.; Wang, J.Z.; Liu, Y.H.; Liu, X.L. A Study of the Influence of Typical Urban Transportation Factors on the Spread of COVID-19 in Wuhan. South Archit. 2022, 4, 78–87. [Google Scholar]
- Murano, Y.; Ueno, R.; Shi, S.; Kawashima, T.; Yoneoka, D. Impact of Domestic Travel Restrictions on Transmission of COVID-19 Infection Using Public Transportation Network Approach. Sci. Rep. 2021, 11, 3109. [Google Scholar] [CrossRef]
- Arellana, J.; Márquez, L.; Cantillo, V. COVID-19 Outbreak in Colombia: An Analysis of Its Impacts on Transport Systems. J. Adv. Transp. 2020, 2020, 8867316. [Google Scholar] [CrossRef]
- Serdar, M.Z.; Ko, M.; Al-Ghamdi, S.G. Urban Transportation Networks Resilience: Indicators, Disturbances, and Assessment Methods. Sustain. Cities Soc. 2022, 76, 103452. [Google Scholar] [CrossRef]
- The Rockefeller Foundation. City Resilience Index; Arup: London, UK, 2013; pp. 1–45. [Google Scholar]
- Caprì, S.; Ignaccolo, M.; Inturri, G.; Pira, M.L. Green Walking Networks for Climate Change Adaptation. Transp. Res. Part D Transp. Environ. 2016, 45, 84–95. [Google Scholar] [CrossRef]
- Stamos, I.; Mitsakis, E.; Salanova, J.M.; Aifadopoulou, G. Impact Assessment of Extreme Weather Events on Transport Networks: A Data-Driven Approach. Transp. Res. Part D 2015, 34, 168–178. [Google Scholar] [CrossRef]
- Krumdieck, S.; Page, S.; Dantas, A. Urban Form and Long-Term Fuel Supply Decline: A Method to Investigate the Peak Oil Risks to Essential Activities. Transp. Res. Part A Policy Pract. 2010, 44, 306–322. [Google Scholar] [CrossRef]
- Wang, S.W.; Sun, L.S.; Rong, J.; Yang, Z.F. Transit Traffic Analysis Zone Delineating Method Based on Thiessen Polygon. Sustainability 2014, 6, 1821–1832. [Google Scholar] [CrossRef]
- Rastogi, R. Promotion of Non-Motorized Modes as a Sustainable Transportation Option: Policy and Planning Issues. Curr. Sci. 2011, 100, 1340–1348. [Google Scholar]
- Martins, M.C.D.M.; Rodrigues da Silva, A.N.; Pinto, N. An Indicator-Based Methodology for Assessing Resilience in Urban Mobility. Transp. Res. Part D Transp. Environ. 2019, 77, 352–363. [Google Scholar] [CrossRef]
- Li, S.G.; Zhou, Q.H. Dynamic Combined-Mode Traffic Network Model Considering Transfer Behaviors. J. Adv. Transp. 2020, 2020, 2010875. [Google Scholar] [CrossRef]
- Fuller, D.; Gauvin, L.; Yan, K. The Potential Modal Shift and Health Benefits of Implementing a Public Bicycle Share Program in Montreal, Canada. Int. J. Behav. Nutr. Phys. Act. 2013, 10, 66. [Google Scholar] [CrossRef] [PubMed]
- Liu, X.; Gao, L.; Ni, A.; Ye, N. Understanding Better the Influential Factors of Commuters’ Multi-Day Travel Behavior: Evidence from Shanghai, China. Sustainability 2020, 12, 376. [Google Scholar] [CrossRef] [Green Version]
- Ran, P.; Liu, F.Y.; Huang, Y.C.; Duan, D. Study on the Impact of Rivers on Urban Transportation: A Case Study of Chinas’ Typical Riverside Cities. Mod. Urban Res. 2022, 4, 122–130. [Google Scholar]










| Range of Distances | Classification |
|---|---|
| Fully non-motorized mode: shorter distances, suitable for trips completed on foot or by bike. | |
| Cycling mode: longer distances, not suitable for walking, but suitable for riding to completion. | |
| Motorized mode: long distances, trips can only be completed by motorized vehicle. |
| Type of Restriction | Region | Timing of the Measures | Measures of Restriction |
|---|---|---|---|
| Restrictions on metro travel | Beijing, China | 22 April 2022 | Some metro stations were closed and the government encouraged residents to travel by car |
| Restrictions on public transportation | Spain | 21 October 2020 | A six-week stay-at-home order was reopened to deal with the backlash by reducing the number of public transports runs and restricting non-essential outings |
| total motorized transportation travel restrictions | Wuhu, Anhui Province, China | 17 April 2022 | All vehicles and personnel were suspended from travel except for emergency vehicles |
| total motorized transportation travel restrictions | Yanshan County, Jiangxi Province, China | 30 October 2021 | All roads were continuously illuminated in red following an outbreak |
| Restrictions on travel for all persons | California, USA | 7 December 2020 | The nation’s strictest home restrictions had been imposed, during which residents were not allowed to go outside except for essential activities |
| Restrictions on travel for all persons | Shanghai, China | March–May 2022 | All non-emergency travel was restricted |
| Restrictions on travel for all persons | Wuhan, China | January–March 2020 | All non-emergency travel was restricted |
| RMWD (km) | WMWD (km) | ||||||||
|---|---|---|---|---|---|---|---|---|---|
| 0 | 0.5 | 1.0 | 1.5 | 2.0 | 2.5 | 3.0 | 3.5 | 4.0 | |
| 0 | 1 | ||||||||
| 0.5 | 2 | ||||||||
| 1.0 | 3 | ||||||||
| 1.5 | 4 | ||||||||
| 2.0 | 5 | ||||||||
| 2.5 | 6 | 7 | |||||||
| 3.0 | 8 | 9 | 10 | ||||||
| 3.5 | 11 | 12 | 13 | 14 | |||||
| 4.0 | 15 | 16 | 17 | 18 | 19 | ||||
| 4.5 | 20 | 21 | 22 | 23 | 24 | ||||
| ⋯⋯ | |||||||||
| 49.5 | 470 | 471 | 472 | 473 | 474 | ||||
| 50.0 | 475 | 476 | 477 | 478 | 479 | ||||
| Scenario | MWD (km) | Integrated Transportation Resilience Levels | |||
|---|---|---|---|---|---|
| WMWD | RMWD | First-Level Resilience | Second-Level Resilience | Third-Level Resilience | |
| 1 | 0.0 | 0.0 | 65.65% | 56.42% | 36.58% |
| 2 | 0.5 | 0.5 | 65.65% | 56.42% | 36.58% |
| 3 | 1.0 | 1.0 | 65.65% | 56.42% | 36.64% |
| ⋯⋯ | |||||
| 430 | 2.0 | 45.5 | 100.00% | 99.41% | 98.61% |
| ⋯⋯ | |||||
| 454 | 4.0 | 47.5 | 100.00% | 99.94% | 99.94% |
| 455 | 2.0 | 48.0 | 100.00% | 100.00% | 99.94% |
| ⋯⋯ | |||||
| 478 | 3.5 | 50.0 | 100.00% | 100.00% | 99.98% |
| 479 | 4.0 | 50.0 | 100.00% | 100.00% | 100.00% |
| First-Level Resilience | Second-Level Resilience | Third-Level Resilience | |
|---|---|---|---|
| 0.61736 0.00154 | 0.5082 0.00203 | 0.36234 0.00255 | |
| 1.01172 8.2639E−4 | 1.01489 0.00104 | 1.02027 0.00132 | |
| 11.53613 0.06591 | 10.93474 0.06477 | 10.95639 0.063 | |
| 2.2406 0.02607 | 2.19466 0.02561 | 2.17033 0.02444 | |
| (COD) | 0.99886 | 0.99883 | 0.99891 |
| 0.99883 | 0.9988 | 0.99889 |
Publisher’s Note: MDPI stays neutral with regard to jurisdictional claims in published maps and institutional affiliations. |
© 2022 by the authors. Licensee MDPI, Basel, Switzerland. This article is an open access article distributed under the terms and conditions of the Creative Commons Attribution (CC BY) license (https://creativecommons.org/licenses/by/4.0/).
Share and Cite
Wang, J.; Yan, J.; Ding, K.; Li, Q.; Liu, Y.; Liu, X.; Peng, R. A Reflection on the Response to Sudden-Onset Disasters in the Post-Pandemic Era: A Graded Assessment of Urban Transportation Resilience Taking Wuhan, China as an Example. Sustainability 2022, 14, 10957. https://doi.org/10.3390/su141710957
Wang J, Yan J, Ding K, Li Q, Liu Y, Liu X, Peng R. A Reflection on the Response to Sudden-Onset Disasters in the Post-Pandemic Era: A Graded Assessment of Urban Transportation Resilience Taking Wuhan, China as an Example. Sustainability. 2022; 14(17):10957. https://doi.org/10.3390/su141710957
Chicago/Turabian StyleWang, Jingzhao, Jincheng Yan, Keyuan Ding, Qian Li, Yehao Liu, Xueliang Liu, and Ran Peng. 2022. "A Reflection on the Response to Sudden-Onset Disasters in the Post-Pandemic Era: A Graded Assessment of Urban Transportation Resilience Taking Wuhan, China as an Example" Sustainability 14, no. 17: 10957. https://doi.org/10.3390/su141710957
APA StyleWang, J., Yan, J., Ding, K., Li, Q., Liu, Y., Liu, X., & Peng, R. (2022). A Reflection on the Response to Sudden-Onset Disasters in the Post-Pandemic Era: A Graded Assessment of Urban Transportation Resilience Taking Wuhan, China as an Example. Sustainability, 14(17), 10957. https://doi.org/10.3390/su141710957

