Spatial Structure and Development Patterns of Urban Traffic Flow Network in Less Developed Areas: A Sustainable Development Perspective
Abstract
:1. Introduction
2. Literature Review
2.1. Sustainable Urban Development
2.2. Traffic Flow Network
3. Data and Methodology
3.1. Selection of the Study Sample
3.2. Data Source
3.3. Methodology
3.3.1. Degree and Cumulative Degree Distribution
3.3.2. Small-World Effect
3.3.3. Identification of Town Clusters
4. Results
4.1. Traffic Flow Network Structure Characteristics
4.1.1. Node Characteristics of Traffic Flow Network
- (a)
- Node spatial hierarchy differentiation
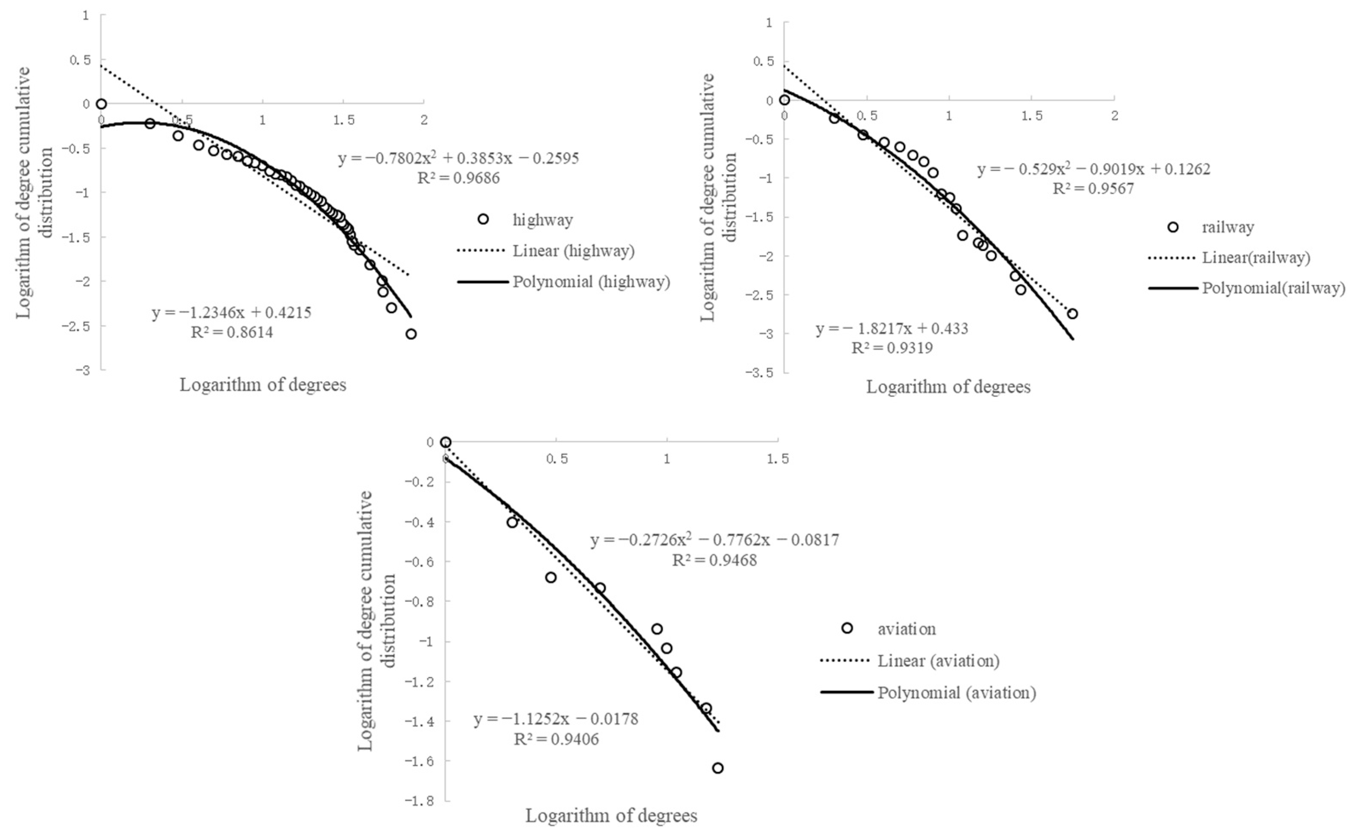
- (b) Node degree function distribution
4.1.2. Town Connections Characteristics of Traffic Flow Network
- (a)
- Spatial differences of town connections
- (b) Distance distribution of town connections
4.1.3. Overall Structural Characteristics of Traffic Flow Network
- (a)
- The tightness of the network connection
- (b) Town cluster structure
4.2. Spatial Development Patterns of Town Association
4.2.1. Single Core-Multipoint Mode
4.2.2. Axis (Channel) Mode
4.2.3. Hub-Spoke Mode
5. Discussion
6. Conclusions
Author Contributions
Funding
Institutional Review Board Statement
Informed Consent Statement
Data Availability Statement
Conflicts of Interest
References
- Zhang, J.J.; Qiang, X.X.; Wei, Q.Q. The research of sustainable urban development in foreign countries. Geogr. Res. 1999, 18, 207–213. [Google Scholar]
- Wang, C.; Quan, Y.; Li, X.; Yan, Y.; Zhang, J.; Song, W.; Lu, J.; Wu, G. Characterizing and analyzing the sustainability and potential of China’s cities over the past three decades. Ecol. Indic. 2022, 136, 108635. [Google Scholar] [CrossRef]
- Chen, Y.; Zhang, D. Evaluation and driving factors of city sustainability in Northeast China: An analysis based on interaction among multiple indicators. Sustain. Cities Soc. 2021, 67, 102721. [Google Scholar] [CrossRef]
- Ke, W.; Lu, Y.; Chen, W.; Ding, Y.; Yang, Q. Evolutionary stages and theoretical model of high-speed traffic network spatio-temporal structure: A case study of expressway traffic flow network in Jiangsu province. Acta Geogr. Sin. 2016, 71, 281–292. [Google Scholar]
- Lyapin, S.; Rizaeva, Y.; Kadasev, D.; Sysoev, A. Methods to Analyze Traffic Demand Formation in Intelligent Transportation and Logistic Regional Network. Transp. Res. Procedia 2020, 45, 522–529. [Google Scholar] [CrossRef]
- Rasoolimanesh, S.M.; Badarulzaman, N.; Jaafar, M. City development strategies (CDS) and sustainable urbanization in developing world. Procedia-Soc. Behav. Sci. 2012, 36, 623–631. [Google Scholar] [CrossRef] [Green Version]
- United Nations. Transforming Our World: The 2030 Agenda for Sustainable Development; United Nations: New York, NY, USA, 2014.
- Abubakar, I.R.; Aina, Y.A. The prospects and challenges of developing more inclusive, safe, resilient and sustainable cities in Nigeria. Land Use Policy 2019, 87, 104105. [Google Scholar] [CrossRef]
- Wang, Y.; Lu, Y.; He, G.; Wang, C.; Yuan, J.; Cao, X. Spatial variability of sustainable development goals in China: A provincial level evaluation. Environ. Dev. 2020, 35, 100483. [Google Scholar] [CrossRef]
- Han, Z.; Jiao, S.; Zhang, X.; Xie, F.; Ran, J.; Jin, R.; Xu, S. Seeking sustainable development policies at the municipal level based on the triad of city, economy and environment: Evidence from Hunan province, China. J. Environ. Manag. 2021, 290, 112554. [Google Scholar] [CrossRef]
- Xue, B.; Liu, B.; Yang, Q.; Sun, X.; Wang, W.; Li, L. Formalizing an evaluation-prediction based roadmap towards urban sustainability: A case study of Chenzhou, China. Habitat Int. 2021, 112, 102376. [Google Scholar] [CrossRef]
- Merino-Saum, A.; Halla, P.; Superti, V.; Boesch, A.; Binder, C.R. Indicators for urban sustainability: Key lessons from a systematic analysis of 67 measurement initiatives. Ecol. Indic. 2020, 119, 106879. [Google Scholar] [CrossRef]
- Melkonyan, A.; Gruchmann, T.; Lohmar, F.; Bleischwitz, R. Decision support for sustainable urban mobility: A case study of the Rhine-Ruhr area. Sustain. Cities Soc. 2022, 80, 103806. [Google Scholar] [CrossRef]
- Alderson, A.S.; Beckfield, J.; Sprague-Jones, J. Intercity Relations and Globalisation: The Evolution of the Global Urban Hierarchy, 1981–2007. Urban Stud. 2010, 47, 1899–1923. [Google Scholar] [CrossRef]
- Hu, X.; Su, Y.; Ren, K.; Song, F.; Xue, R. Measurement and influencing factors of urban traffic ecological resilience in developing countries: A case study of 31 Chinese cities. Reg. Sustain. 2021, 2, 211–223. [Google Scholar] [CrossRef]
- Jin, P.; Mangla, S.K.; Song, M. Moving towards a Sustainable and Innovative City: Internal Urban Traffic Accessibility and High-level Innovation Based on Platform Monitoring Data. Int. J. Prod. Econ. 2021, 235, 108086. [Google Scholar] [CrossRef]
- Castells, M. Globalisation, Networking, Urbanisation: Reflections on the Spatial Dynamics of the Information Age. Urban Stud. 2010, 47, 2737–2745. [Google Scholar] [CrossRef]
- Matsumoto, H.; Domae, K. Assessment of competitive hub status of cities in Europe and Asia from an international air traffic perspective. J. Air Transp. Manag. 2019, 78, 88–95. [Google Scholar] [CrossRef]
- Derudder, B.; Witlox, F. Mapping world city networks through airline flows: Context, relevance, and problems. J. Transp. Geogr. 2008, 16, 305–312. [Google Scholar] [CrossRef]
- Liu, X.; Derudder, B.; Wu, K. Measuring Polycentric Urban Development in China: An Intercity Transportation Network Perspective. Reg. Stud. 2016, 50, 1302–1315. [Google Scholar] [CrossRef]
- Weber, J. The Evolving Interstate Highway System and the Changing Geography of the United States. J. Transp. Geogr. 2012, 25, 70–86. [Google Scholar] [CrossRef]
- Feng, X.; Xiu, C.; Bai, L.; Wen, Y. Urban Centrality and Influencing Factors in Jilin Province from the Perspective of Highway Traffic Flow. Econ. Geogr. 2019, 39, 64–72. [Google Scholar]
- Tang, E.B.; Zhang, M.Q. Urban Rail Accessibility and Interurban Spatial Effects on the Background of High-Speed rail in Jiangxi Province. Resour. Environ. Yangtze Basin 2018, 27, 2241–2249. [Google Scholar]
- Zhao, Y.; Chu, N.; Guo, J.; Jiang, B.; Zhu, L. High-Speed Railway Network Structure and Characteristics in Three Urban Agglomerations in China. Econ. Geogr. 2017, 37, 68–73. [Google Scholar]
- Geng, L.I.; Zong, H.M. Study on Multi-centered Degree of Chengdu-Chongqing Urban Agglomerations Based on Railway Transportation. J. Southwest Univ. 2019, 41, 109–116. [Google Scholar]
- Zambrano-Martinez, J.L.; Calafate, C.T.; Soler, D.; Cano, J.C.; Manzoni, P. Modeling and characterization of traffic flows in urban environments. Sensors 2018, 18, 2020. [Google Scholar] [CrossRef] [Green Version]
- Chrpa, L.; Magazzeni, D.; McCabe, K.; McCluskey, T.L.; Vallati, M. Automated planning for Urban traffic control: Strategic vehicle routing to respect air quality limitations. Intell. Artif. 2016, 10, 113–128. [Google Scholar]
- Cheng-Lin, M.U.; Lin, L.U.; Huang, J.F.; Wang, Y.; Deng, H.B. Research on Yangtze River Delta Tourist Traffic Pattern and Linkage Under the High-Speed Rail Network. Econ. Geogr. 2015, 35, 193–202. [Google Scholar]
- Yang, X.M.; Ling-Qin, L.I.; Jian-Xin, F.U.; Cao, G.C.; Tang, Z.X.; Ya-Ling, L.I.; Wang, H.W.; Wang, R.Q.; Liu, A.J. Pattern variation of accessibility and economic linkage at county scale in Qinghai Province from 1986 to 2016. Arid. Land Geogr. 2018, 41, 1376–1387. [Google Scholar]
- Ke, W.; Chen, W.; Lu, Y.; Yu, Z.; Yang, Q. Extracting Spatial Structures and Evolutionary Characteristics of City Networks in Jiangsu Province Based on the Expressway Traffic Flow. Sci. Geogr. Sin. 2019, 39, 405–414. [Google Scholar]
- Mahutga, M.C.; Ma, X.L.; Smith, D.A.; Timberlake, M. Economic Globalisation and the Structure of the World City System: The Case of Airline Passenger Data. Urban Stud. 2010, 47, 1925–1947. [Google Scholar] [CrossRef]
- Zhou, Y.; Hu, Z. Looking into the network structure of Chinese urban system from the perspective of air transportation. Geogr. Res. 2002, 21, 276–286. [Google Scholar]
- Yang, S.; Zhang, L.C.; Yao, S.M. Spatial flow network structural features of the urban agglomeration in the Yangtze River Delta: A comprehensive analysis based on road transportation, railway passenger transportation, and Baidu indexes. Resour. Environ. Yangtze Basin 2017, 26, 1304–1310. [Google Scholar]
- Gao, S.; Wang, Y.L.; Gao, Y.; Liu, Y. Understanding urban traffic-flow characteristics: A rethinking of betweenness centrality. Environ. Plan. B Plan. Des. 2013, 40, 135–153. [Google Scholar] [CrossRef] [Green Version]
- Porta, S.; Crucitti, P.; Latora, V. The Network Analysis of Urban Streets: A Dual Approach. Phys. A Stat. Mech. Its Appl. 2006, 369, 853–866. [Google Scholar] [CrossRef] [Green Version]
- Watts, D.J.; Strogatz, S.H. Collective dynamics of ’small-world’ networks. Nature 1998, 393, 440–442. [Google Scholar] [CrossRef]
- Barabási, A.; Albert, R. Emergence of Scaling in Random Networks. Science 1999, 286, 509–512. [Google Scholar] [CrossRef] [Green Version]
- Newman, M. The structure and function of complex networks. SIAM Rev. 2003, 45, 167–256. [Google Scholar] [CrossRef] [Green Version]
- Gao, Z.Y.; Zhao, X.M.; Huang, H.J.; Mao, B.H. Research on Problems Related to Complex Networks and Urban Traffic systems. J. Transp. Syst. Eng. Inf. Technol. 2006, 6, 41. [Google Scholar]
- Porta, S.; Crucitti, P.; Latora, V. The Network Analysis of Urban Streets: A Primal Approach. Environ. Plan. B Plan. Des. 2006, 33, 705–725. [Google Scholar] [CrossRef] [Green Version]
- Baibai, F.U.; Gao, Z.; Liu, F.; Kong, X. Express passenger transport system as a scale-free network. Mod. Phys. Lett. B 2006, 20, 1755–1761. [Google Scholar]
- Jiang, B. A topological pattern of urban street networks: Universality and peculiarity. Phys. A Stat. Mech. Its Appl. 2007, 384, 647–655. [Google Scholar] [CrossRef] [Green Version]
- Xueguang, M.A.; Dou, P. Characteristics of Polycentricity Spatial Structure of Shandong Coastal City-region Based on Passenger Traffic Flow. Mod. Urban Res. 2017, 10, 101–109. [Google Scholar]
- Xing, C.-M.; Liu, F.-A. Research on the deterministic complex network model based on the Sierpinski network. Acta Phys. Sin. 2010, 59, 1608–1614. [Google Scholar] [CrossRef]
- Wang, F.; Gao, X.L. Spatial Pattern Evolvement of the Economy in Inner Mongolia at the County Level. Sci. Geogr. Sin. 2014, 34, 818–824. [Google Scholar]
- Wang, J.; Jing, Y. Comparison of spatial structure and organization mode of inter-city networks from the perspective of railway and air passenger flow. Acta Geogr. Sin. 2017, 72, 1508–1519. [Google Scholar]
- Xd, A.; Min, X.B.; Nw, A. The industrial impact of the Beijing-Shanghai high-speed rail. Travel Behav. Soc. 2018, 12, 23–29. [Google Scholar]
- Qinghua, Z.; Liang, L. Social Network Analysis Method and Its Application in Information Science. Inf. Stud. Theory Appl. 2008, 31, 179–183. [Google Scholar]
- Wang, G.M.; Xia-Miao, L.I.; Yang, B.; Zheng-Dong, H.U. The Properties of Traffic Networks in Urban Agglomeration. Comput. Eng. Sci. 2012, 34, 174–182. [Google Scholar]
- Blondel, V.D.; Guillaume, J.-L.; Lambiotte, R.; Lefebvre, E. Fast unfolding of communities in large networks. J. Stat. Mech. Theory Exp. 2008, 2008, P10008. [Google Scholar] [CrossRef] [Green Version]
- Tang, H.X.; Wang, D. Research on the construction of comprehensive transportation system in southwest frontier minority areas. Guangxi Soc. Sci. 2018, 2018, 92–97. [Google Scholar] [CrossRef]
- Chen, W.; Liu, W.; Ke, W.; Wang, N. Understanding spatial structures and organizational patterns of city networks in China: A highway passenger flow perspective. Acta Geogr. 2018, 28, 477–494. [Google Scholar] [CrossRef] [Green Version]
- Feng, X.; Xiu, C.; Liu, Z.; Ma, L.; Li, X. Characteristics of Urban Network Hierarchy Evolution Based on the Perspective of Railway Passenger Transport in Northeast China. Sci. Geogr. Sin. 2018, 38, 1430–1438. [Google Scholar]






Publisher’s Note: MDPI stays neutral with regard to jurisdictional claims in published maps and institutional affiliations. |
© 2022 by the authors. Licensee MDPI, Basel, Switzerland. This article is an open access article distributed under the terms and conditions of the Creative Commons Attribution (CC BY) license (https://creativecommons.org/licenses/by/4.0/).
Share and Cite
Su, X.; Zheng, C.; Yang, Y.; Yang, Y.; Zhao, W.; Yu, Y. Spatial Structure and Development Patterns of Urban Traffic Flow Network in Less Developed Areas: A Sustainable Development Perspective. Sustainability 2022, 14, 8095. https://doi.org/10.3390/su14138095
Su X, Zheng C, Yang Y, Yang Y, Zhao W, Yu Y. Spatial Structure and Development Patterns of Urban Traffic Flow Network in Less Developed Areas: A Sustainable Development Perspective. Sustainability. 2022; 14(13):8095. https://doi.org/10.3390/su14138095
Chicago/Turabian StyleSu, Xiaokun, Chenrouyu Zheng, Yefei Yang, Yafei Yang, Wen Zhao, and Yue Yu. 2022. "Spatial Structure and Development Patterns of Urban Traffic Flow Network in Less Developed Areas: A Sustainable Development Perspective" Sustainability 14, no. 13: 8095. https://doi.org/10.3390/su14138095
APA StyleSu, X., Zheng, C., Yang, Y., Yang, Y., Zhao, W., & Yu, Y. (2022). Spatial Structure and Development Patterns of Urban Traffic Flow Network in Less Developed Areas: A Sustainable Development Perspective. Sustainability, 14(13), 8095. https://doi.org/10.3390/su14138095

