The Impact of a Multilevel Innovation Network and Government Support on Innovation Performance—An Empirical Study of the Chengdu–Chongqing City Cluster
Abstract
:1. Introduction
2. Literature Review
3. Theoretical Hypothesis
3.1. Characteristics of the Innovation Network and the Innovation Performance of the 16 Cities in the Chengdu–Chongqing City Cluster
3.1.1. The Average Weighted Degree of Intra-City Innovation Networks and the City’s Innovation Performance
3.1.2. The Network Density of Inter-City Innovation Networks and the City’s Innovation Performance
3.1.3. The Betweenness Centrality of Inter-City Innovation Networks and the City’s Innovation Performance
3.1.4. The Cooperation Intensity of Inter-City Innovation Networks and the City’s Innovation Performance
3.2. The Moderating Effect of Government Support
4. Data and Methods
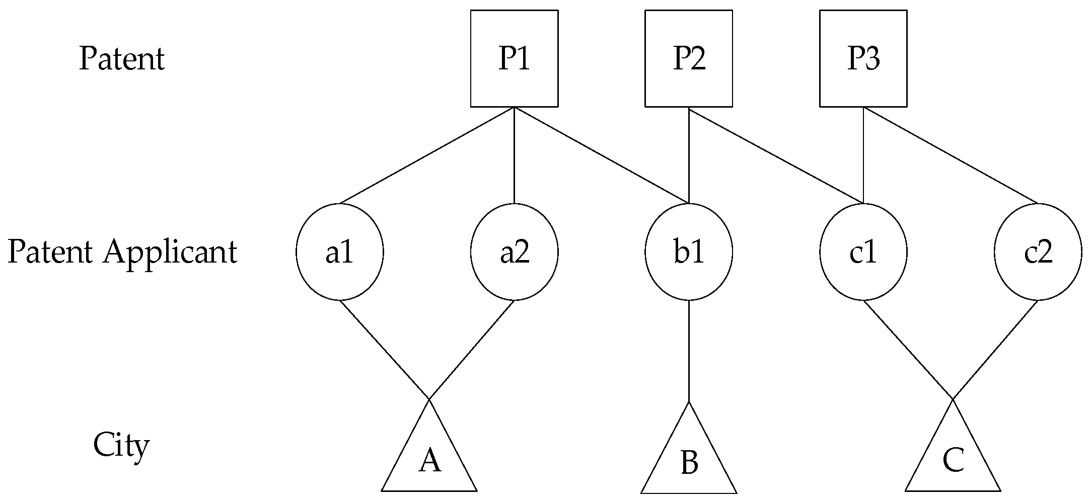
4.1. Patent Data
4.2. Constructing Networks
4.3. Method and Variables
4.3.1. Dependent Variable
4.3.2. Independent Variables
4.3.3. Moderating Variable
4.3.4. Control Variables
4.4. Statistical Approach
5. Results
5.1. Descriptive Statistics and Correlation Analysis
5.2. Characteristics of the Innovation Network and Innovation Performance of the 16 Cities in the Chengdu–Chongqing City Cluster
5.3. The Impact of the Interaction between the Government Support and the Characteristics of the Innovation Network on Innovation Performance
5.4. Robust Check
6. Conclusions and Suggestions
6.1. Conclusions
6.2. Suggestions
Author Contributions
Funding
Institutional Review Board Statement
Informed Consent Statement
Data Availability Statement
Conflicts of Interest
References
- Lee, D.S. Towards urban resilience through inter-city networks of co-invention: A case study of US cities. Sustainability 2018, 10, 289. [Google Scholar] [CrossRef] [Green Version]
- Xu, Z.; Dong, X.; Wang, C. Regional difference and evolution and convergence of innovation capability in China: Research on space and factorial levels. Sustainability 2017, 9, 1644. [Google Scholar]
- Guan, J.C.; Zhang, J.J.; Yan, Y. The impact of multilevel networks on innovation. Res. Policy 2015, 44, 545–559. [Google Scholar] [CrossRef]
- Shi, Y.L.; Pan, Z.Y. Spatial structure characteristics and spatial pattern optimization of Shuangcheng economic circle in Chengdu Chongqing Region. Macroecon. Manag. 2021, 7, 21–27. [Google Scholar]
- Lv, D.; Wang, D. Research on the Evolution of Innovation Network Structure Characteristics and coordination Development of “Chengdu-Chongqing Urban Agglomeration”. China Soft Sci. 2020, 11, 154–161. [Google Scholar]
- Hoekman, J.; Frenken, K.; Tijssen, R.J. Research collaboration at a distance: Changing spatial patterns of scientific collaboration within Europe. Res. Policy 2010, 39, 662–673. [Google Scholar] [CrossRef]
- Gobbo, J.A.; Olsson, A. The transformation between exploration and exploitation applied to inventors of packaging innovations. Technovation 2010, 30, 322–331. [Google Scholar] [CrossRef]
- Li, D.D.; Wei, Y.D.; Miao, C.H. Innovation, network capabilities, and sustainable development of regional economies in China. Sustainability 2019, 11, 4770. [Google Scholar] [CrossRef] [Green Version]
- Ivan, D.N.; Luigi, O.; Fiorenza, B. The role of collaborative networks in supporting the innovation performances of lagging-behind European regions. Res. Policy 2018, 47, 1–13. [Google Scholar]
- Liu, L.; Zhang, Y.; Zhang, J.; Zhang, S. Coupling coordination degree of government support, financial support and innovation and its impact on economic development. IEEE Access 2020, 8, 104039–104051. [Google Scholar] [CrossRef]
- Zhou, K.; Ni, Q.S. Is there a substitution effect in public sci-tech finance?—Evidence from 283 cities. China Soft Sci. 2019, 3, 3164–3173. [Google Scholar]
- Szücs, F. Research subsidies industry-university cooperation and innovation. Res. Policy 2018, 47, 1256–1266. [Google Scholar] [CrossRef]
- Du, W.; Li, M. Government support and innovation for new energy firms in China. Appl. Econ. 2019, 51, 2754–2763. [Google Scholar] [CrossRef]
- Freeman, C. The Economics of Industrial Innovation; Peking University Press: Beijing, China, 2004; pp. 473–479. [Google Scholar]
- Ji, H.; Miao, Z. Corporate social responsibility and collaborative innovation: The role of government support. J. Clean. Prod. 2020, 260, 121028. [Google Scholar] [CrossRef]
- Ngisau, N.; Aba Ibrahim, N. Technological Innovation Adoption in Manufacturing Sector: The Moderator Role of Government Support. J. Econ. Bus. Manag. 2020, 8, 200–205. [Google Scholar] [CrossRef]
- Guo, D.; Guo, Y.; Jiang, K. Government-subsidized R&D and firm innovation: Evidence from China. Res. Policy 2016, 45, 1129–1144. [Google Scholar]
- Wang, B.; Sun, A.; Zheng, Q.; Wu, D. Spatial-temporal characteristics of green development cooperation network among belt and road initiative regions and countries. Sustainability 2021, 13, 11216. [Google Scholar] [CrossRef]
- Yao, L.; Li, J.; Li, J. Urban Innovation and Intercity Patent Collaboration: A Network Analysis of China’s National Innovation System. Technol. Forecast. Soc. Chang. 2020, 160, 120–185. [Google Scholar] [CrossRef]
- Li, Y.; Luo, W. Influencing factors of knowledge cooperation in city agglomeration on Yangtze River Delta from the perspective of innovation network. J. Phys. Conf. Ser. 2021, 1852, 042041. [Google Scholar] [CrossRef]
- Feng, Z.; Cai, H.; Zhou, W. Structural characteristics and spatial patterns of the technology transfer network in the Guangdong-HongKong-Macao Greater Bay Area. Sustainability 2020, 12, 2204. [Google Scholar] [CrossRef] [Green Version]
- Kimh, D.; Leed, H.; Choe, H.; Seo, I.W. The evolution of cluster network structure and growth: A study of industrial software clusters. Scientometrics 2014, 99, 77–95. [Google Scholar] [CrossRef]
- Zhang, K.; Qian, Q.; Zhao, Y. Evolution of Guangzhou biomedical industry innovation network structure and its proximity mechanism. Sustainability 2020, 12, 2456. [Google Scholar] [CrossRef] [Green Version]
- Scherngell, T.; Lata, R. Towards an integrated European research area? Findings from eigenvector filtered spatial interaction models using European framework oro-gram data. Pap. Reg. Sci. 2013, 92, 555–577. [Google Scholar]
- Ter Wal, A.L. Cluster emergence and network evolution: A longitudinal analysis of the inventor network in Sophia-Antipolis. Reg. Stud. 2013, 47, 651–668. [Google Scholar] [CrossRef] [Green Version]
- Zheng, X.Y. Knowledge network density, geographical dispersal and product innovation capability—An empirical study based on inter-group whole knowledge network. Res. Manag. 2021, 42, 175–184. [Google Scholar]
- Innocentin, N.; Capone, F.; Lazzerettil, L. Knowledge networks and industrial structure for regional Innovation: An analysis of patents collaborations in Italy. Pap. Reg. Sci. 2020, 99, 55–72. [Google Scholar] [CrossRef]
- Du, Y.M.; Wang, R.H.; Jin, X.F. Research on the performance of knowledge co-creation of science and technology enterprises based on IUR Network. Sustainability 2021, 13, 14029. [Google Scholar] [CrossRef]
- Thomas, R.; Hansgeorg, G. Network competence: Its impact innovation success and its antecedents. Bus. Res. 2003, 56, 745–755. [Google Scholar]
- Ma, Y.; Xue, F. Deciphering the spatial Structures of city networks in the economic zone of the west side of the Taiwan Strait through the lens of functional and innovation networks. Sustainability 2019, 11, 2975. [Google Scholar] [CrossRef] [Green Version]
- Coffano, M.; Foray, D.; Pezzooni, M. Does inventor centrality foster regional innovation? The Case of the Swiss Medical Devices Sector. Reg. Stud. 2017, 51, 1206–1218. [Google Scholar] [CrossRef]
- Bathelt, H. Innovation, learning and knowledge creation in co-localised and distant contexts. In Handbook of Local and Regional Development; Taylor & Francis e-Library: Oxfordshire, UK, 2011; pp. 149–161. [Google Scholar]
- Huggins, R.; Johnston, A.; Steffenson, R. Universities, knowledge networks and regional policy. Camb. J. Reg. Econ. Soc. 2008, 1, 321–340. [Google Scholar] [CrossRef]
- Zaheer, A.; Bell, G.G. Benefiting from network position: Firm capabilities, structural holes, and performance. Strategy. Manag. 2005, 26, 809–825. [Google Scholar] [CrossRef]
- Cassiman, B.; Veugelers, R. In search of complementarity in innovation strategy: Internal R&D and external knowledge acquisition. Manag. Sci. 2006, 52, 68–82. [Google Scholar]
- Poot, T.; Faems, D.; Vanhaverbeke, W. Toward a dynamic perspective on open innovation: A longitudinal assessment of the adoption of internal and external innovation strategies in the Netherlands. Innov. Manag. 2009, 13, 177–200. [Google Scholar] [CrossRef]
- Cheng, H.; Zhang, Z.Y.; Mvondo, J.M.N. Government support, different types of collaborative R&D input, and performance: Evidence from China. Int. J. Technol. Manag. 2022, 88, 13–33. [Google Scholar]
- Verspagen, B.; Duysters, G. The small worlds of strategic technology alliances. Technovation 2004, 24, 563–571. [Google Scholar] [CrossRef]
- Han, M.R.; Sun, B.; Su, X. Can a region’s network location characteristics affect its innovation capability? Empirical evidence from China. Chin. Manag. Stud. 2020, 15, 328–349. [Google Scholar] [CrossRef]
- Zhang, G.P.; Guan, J.C.; Liu, X.L. The impact of small world on patent productivity in China. Scientometrics 2014, 98, 945–960. [Google Scholar] [CrossRef]
- Liu, N.; Wang, J.; Yan, S. Organization mechanisms and spatial characteristics of city collaborative innovation networks: A case study in Hangzhou, China. Sustainability 2019, 11, 5988. [Google Scholar] [CrossRef] [Green Version]
- Konstantinos, G.; Rothaermel, F.T. Organizing for knowledge generation: Internal knowledge networks and the contingent effect of external knowledge sourcing. Strateg. Manag. J. 2017, 38, 395–414. [Google Scholar]
- Grosser, T.J.; Venkataramani, V.; Labianca, G. An Alter-Centric perspective on employee innovation: The importance of Alters’ creative self-efficacy and network structure. Soc. Sci. Electron. Publ. 2017, 102, 1360–1374. [Google Scholar] [CrossRef] [PubMed]
- Larsson, R.; Bengtsson, L.; Henriksson, K.; Sparks, J. The inter-organizational learning dilemma: Collective knowledge development in strategic alliances. Organ. Sci. 1998, 9, 285–305. [Google Scholar] [CrossRef]
- Coleman, J.S. Foundations of Social Theory; Harvard University Press: Cambridge, MA, USA, 1990. [Google Scholar]
- Almeida, P.; Hohberger, J.; Parada, P. Individual scientific collaborations and firm-level innovation. Ind. Corp. Chang. 2011, 20, 1571–1599. [Google Scholar] [CrossRef]
- Crescenzi, R.; Nathan, M.; Rodríguez, P.A. Do inventors talk to strangers? On proximity and collaborative knowledge creation. Res. Policy 2016, 45, 177–194. [Google Scholar] [CrossRef]
- Lu, L.; Xie, Y.; Huang, R. The comparison of innovation ability hierarchy of three megalopolises in China. Hum. Geogr. 2013, 28, 91–95. [Google Scholar]
- Tseng, C.; Lin, S.; Pai, D.; Tung, C. The relationship between innovation network and innovation capability: A social network perspective. Technol. Anal. Strateg. Manag. 2016, 28, 1029–1040. [Google Scholar] [CrossRef]
- Hidas, S.; Wolska, M.; Fischer, M.M.; Scherngell, T. Agglomeration and network effects on regional knowledge production activities in Europe. In Ersa Conference Papers; European Regional Science Association: Louvain-la-Neuve, Belgium, 2012; pp. 21–25. [Google Scholar]
- Prescott, K. Strategic alliances as social capital: A multidimensional view. Strateg. Manag. J. 2010, 23, 795–816. [Google Scholar]
- Gilsing, V.; Nooteboom, B.; Vanhaverbeke, W.; Duysters, G.; van den Oord, A. Network embeddedness and the exploration of novel technologies: Technological distance, betweenness centrality and density. Res. Policy 2008, 37, 1717–1731. [Google Scholar] [CrossRef]
- Carnabuci, G.; Operti, E. Where do firms’ recombinant capabilities come from? Intra-organizational networks, knowledge, and firms’ ability to innovate by technological recombination. Strateg. Manag. J. 2013, 34, 1591–1613. [Google Scholar] [CrossRef]
- Hammarfjord, M.; Roxenhall, T. The relationships between network commitment, antecedents, and innovation in strategic innovation networks. Int. J. Innov. Manag. 2017, 21, 1750037. [Google Scholar] [CrossRef]
- Pan, X.F.; Ming, Y.; Li, M.N.; Guo, S.C.; Han, C.C. Inter-regional innovation correlation effects and influencing factors in China. Bus. Process. Manag. 2019, 26, 925–941. [Google Scholar] [CrossRef]
- Terjesen, S.; Patel, P.C. In Search of Process Innovations: The Role of Search Depth, Search Breadth, and the Industry Environment. J. Manag. 2017, 43, 1421–1446. [Google Scholar] [CrossRef]
- Ozmel, U.; Reuer, J.J.; Gulati, R. Signals across multiple networks: How venture capital and alliance networks affect inter-organizational collaboration. Acad. Manag. J. 2013, 56, 852–866. [Google Scholar] [CrossRef] [Green Version]
- Gnyawali, D.R.; Madhavan, R. Cooperative networks and competitive dynamics: A structural embeddedness perspective. Acad. Manag. Rev. 2001, 26, 431–445. [Google Scholar] [CrossRef]
- Qi, X.L.; Guo, P.Z.; Xie, W.; Wang, L. The impact of government support on regional innovation performance: A review and prospect. East China Econ. Manag. 2020, 34, 44–52. [Google Scholar]
- Su, Y.; Lin, Z.Z.; Wang, T.N. Nonlinear effect of inter-provincial knowledge spillover on regional innovation performance in China. Ind. Eng. Eng. Manag. 2021, 35, 47–56. [Google Scholar]
- Shu, C.L.; Zhou, K.Z.; Xiao, Y.Z.; Gao, S.X. How green management influences product innovation in China: The role of institutional benefits. Bus. Ethics 2016, 133, 471–485. [Google Scholar] [CrossRef] [Green Version]
- Greco, M.; Grimaldi, M.; Crivelli, L. Hitting the nail on the head: Exploring the relationship between public subsidies and open innovation efficiency. Technol. Forecast. Soc. Chang. 2017, 118, 213–225. [Google Scholar] [CrossRef]
- Szczygielski, K.; Grabowski, W.; Pamukcum, T.; Tandogan, S. Does Government Support for private innovation matter? Firm-level evidence from two catching-up countries. Res. Policy 2017, 46, 219–223. [Google Scholar] [CrossRef]
- Long, J.; Chen, C.M. The impact of the power-dependent of service intermediate on innovating the performance of the small and medium-sized enterprises: Based on the view of the social network. Sci. Res. Manag. 2013, 34, 56–63. [Google Scholar]
- Bai, J.H.; Bian, Y.C. Does Government Support Promote IUR Synergy Innovation. Stat. Res. 2015, 32, 43–50. [Google Scholar]
- Hong, J.; Feng, B.; Wu, Y.; Wang, L. Do Government Grants Promote Innovation Efficiency in China’s High-tech Industries? Telchnovation 2016, 57, 4–13. [Google Scholar] [CrossRef]
- Su, Y.; Lin, Z.Z. Self-owned knowledge, knowledge spillover and regional innovation output. Sci. Res. Manag. 2021, 42, 168–176. [Google Scholar]
- Dang, J.; Motohashi, K. Patent statistics: A good indicator for innovation in China? Patent subsidy program impacts on patent quality. China Econ. Rev. 2015, 35, 137–155. [Google Scholar] [CrossRef]
- Feng, Y.T.; Zhai, J.T.; Ji, L.Q. Innovative ability, economic structure, and the rise and fall of cities. Res. Financ. Issues 2019, 423, 115–123. [Google Scholar]
- Zheng, Y.; Qin, K.X. Performance evaluation and temporal-spatial differences of ecological innovation in China’s provincial capitals: An empirical analysis since the implementation of innovation-driven development strategies. Technol. Prog. Countermeas. 2021, 1, 36–44. [Google Scholar]
- Brennecke, J.; Rank, O.N. The firm’s knowledge network and the transfer of advice among corporate inventors. Res. Policy 2017, 46, 11787. [Google Scholar] [CrossRef]
- Chen, L.L.; Yan, J.J. The R&D knowledge overflow and regional innovation ability of the universities in city group of Chengdu-Chongqing area. Soft Sci. 2021, 35, 62–67. [Google Scholar]
- Sun, Z.R.; Fan, J. Research on spatial and temporal evolution of cooperative innovation network in Chengdu-Chongqing urban agglomeration from the perspective of intragroup and intergroup. Areal Res. Dev. 2022, 41, 26–31+44. [Google Scholar]
- Han, W.L.; Yang, X.Y. Analysis and comparison of innovation cooperation between Chengdu-Chongqing and Pearl River Delta urban agglomeration from the perspective of network: Based on inter-city joint patent. Sci. Technol. Manag. Res. 2021, 41, 157–166. [Google Scholar]




| Variable | Symbolic Representation | Definition Specification |
|---|---|---|
| Innovation performance of city | Pat | Number of invention patents granted |
| Network average weighted degree | AWD | Collaboration among innovators in the intra-city network/Number of innovators |
| Network density | D | Actual relationships/Possible relationships among cities in the inter-city network |
| Betweenness centrality | BC | The intermediary capability of the cities |
| Cooperation intensity | CI | Collaboration of the city/Degree centrality of the city |
| Government support | GOV | Expenditure for science and technology/Government fiscal expenditures |
| The economic development level of the city | PGDP | Per capita gross regional product(logarithmic) |
| Expenditure of R&D | RD | The internal expenditure of R&D (logarithmic) |
| Openness of the city | OP | The total amount of foreign investment actually utilized (logarithmic) |
| Government intervention | GI | Local general public budget expenditure/Gross regional product (logarithmic) |
| Knowledge accumulation in the city | CKB | The number of city patents granted during the past 5 years (logarithmic) |
| Variable | N | Mean | SD | Min. | Max. |
|---|---|---|---|---|---|
| Pat | 144 | 734.1 | 1801 | 2 | 9179 |
| AWD | 144 | 0.949 | 1.127 | 0 | 4.556 |
| D | 144 | 0.270 | 0.060 | 0 | 0.314 |
| BC | 144 | 0.564 | 0.158 | 0 | 1 |
| CI | 144 | 6.520 | 6.221 | 0 | 26.67 |
| PGDP | 144 | 10.18 | 0.948 | 6.585 | 11.55 |
| RD | 144 | 12.12 | 1.574 | 9.680 | 15.32 |
| OP | 144 | 9.382 | 1.870 | 6.215 | 14.09 |
| GI | 144 | 0.197 | 0.0690 | 0.118 | 0.675 |
| BKN | 144 | 8.185 | 1.516 | 5.347 | 12.28 |
| GOV | 144 | 0.010 | 0.009 | 0.002 | 0.063 |
| Pat | AWD | D | BC | CI | PGDP | RD | OP | GI | BKN | GOV | |
|---|---|---|---|---|---|---|---|---|---|---|---|
| Pat | 1 | ||||||||||
| AWD | 0.511 *** | 1 | |||||||||
| D | 0.145 * | 0.274 *** | 1 | ||||||||
| BC | 0.644 *** | 0.504 *** | 0.655 *** | 1 | |||||||
| CI | 0.591 *** | 0.330 *** | 0.353 *** | 0.463 *** | 1 | ||||||
| PGDP | 0.337 *** | 0.133 | −0.0480 | 0.224 *** | 0.147 * | 1 | |||||
| RD | 0.680 *** | 0.457 *** | 0.134 | 0.566 *** | 0.584 *** | 0.278 *** | 1 | ||||
| OP | 0.711 *** | 0.358 *** | 0.0510 | 0.517 *** | 0.469 *** | 0.182 ** | 0.695 *** | 1 | |||
| GI | −0.156 * | 0.218 *** | −0.0220 | −0.0520 | −0.215 *** | −0.0960 | −0.184 ** | −0.186 ** | 1 | ||
| CKB | 0.824 *** | 0.568 *** | 0.321 *** | 0.686 *** | 0.682 *** | 0.224 *** | 0.774 *** | 0.733 *** | −0.220 *** | 1 | |
| GOV | 0.600 *** | 0.320 *** | 0.160 * | 0.512 *** | 0.581 *** | 0.212 ** | 0.529 *** | 0.379 *** | −0.232 *** | 0.561 *** | 1 |
| Model 1 | Model 2 | Model 3 | Model 4 | Model 5 | |
|---|---|---|---|---|---|
| Pat | Pat | Pat | Pat | Pat | |
| AWD | 0.172 *** | ||||
| (3.63) | |||||
| D | 3.510 *** | ||||
| (3.19) | |||||
| BC | 0.145 | ||||
| (0.53) | |||||
| CI | 0.037 *** | ||||
| (6.97) | |||||
| PGDP | 0.099 *** | 0.078 ** | 0.097 *** | 0.098 *** | 0.060 ** |
| (2.78) | (2.31) | (3.03) | (2.78) | (2.24) | |
| RD | −0.024 | −0.022 | 0.098 | −0.098 | 0.142 ** |
| (−1.21) | (−1.22) | (1.06) | (−1.30) | (1.97) | |
| OP | 0.727 *** | 0.636 *** | −0.020 | −0.025 | −0.031 ** |
| (9.84) | (8.81) | (−1.17) | (−1.25) | (−2.21) | |
| GI | 1.841 *** | 1.158 * | 1.536 ** | 1.847 *** | 2.066 *** |
| (2.72) | (1.70) | (2.11) | (2.76) | (3.62) | |
| CKB | −0.099 | −0.055 | 0.604 *** | 0.722 *** | 0.526 *** |
| (−1.32) | (−0.71) | (7.67) | (9.65) | (9.19) | |
| Constant | −3.796 *** | −3.325 ** | −5.988 *** | −3.845 *** | −4.546 *** |
| (−2.81) | (−2.49) | (−4.47) | (−2.86) | (−4.89) | |
| Observations | 144 | 144 | 144 | 144 | 144 |
| N | 16 | 16 | 16 | 16 | 16 |
| city FE | YES | YES | YES | YES | YES |
| Wald chil 2 | 190.46 | 236.56 | 245.4 | 172.34 | 621.49 |
| Log LH | −657.477 | −650.660 | −650.535 | −656.635 | −634.521 |
| Model 6 | Model 7 | Model 8 | |
|---|---|---|---|
| Pat | Pat | Pat | |
| AWD | 0.180 *** | ||
| (3.85) | |||
| D | 2.951 *** | ||
| (3.28) | |||
| CI | 0.041 *** | ||
| (6.49) | |||
| GOV | −10.302 | −0.601 | 2.277 |
| (−1.46) | (−0.15) | (0.28) | |
| AWD × GOV | 12.682 *** | ||
| (2.88) | |||
| D × GOV | 233.861 *** | ||
| (2.58) | |||
| CI × GOV | −0.235 | ||
| (−0.61) | |||
| PGDP | 0.042 | 0.084 *** | 0.064 ** |
| (1.35) | (2.85) | (2.36) | |
| RD | 0.004 | 0.091 | 0.174 ** |
| (0.06) | (1.19) | (2.22) | |
| OP | −0.018 | −0.019 | −0.029 ** |
| (−1.20) | (−1.22) | (−2.17) | |
| GI | 1.160 * | 1.592 ** | 2.115 *** |
| (1.84) | (2.44) | (3.66) | |
| CKB | 0.580 *** | 0.572 *** | 0.518 *** |
| (9.33) | (8.05) | (9.22) | |
| Constant | −2.960 *** | −4.465 *** | −4.672 *** |
| (−2.74) | (−4.28) | (−4.70) | |
| Observations | 144 | 144 | 144 |
| N | 16 | 16 | 16 |
| city FE | YES | YES | YES |
| Wald chi2 | 475.65 | 427.92 | 665.25 |
| Log LH | −639.958 | −641.784 | −633.865 |
Publisher’s Note: MDPI stays neutral with regard to jurisdictional claims in published maps and institutional affiliations. |
© 2022 by the authors. Licensee MDPI, Basel, Switzerland. This article is an open access article distributed under the terms and conditions of the Creative Commons Attribution (CC BY) license (https://creativecommons.org/licenses/by/4.0/).
Share and Cite
Sun, M.; Zhang, X.; Zhang, X. The Impact of a Multilevel Innovation Network and Government Support on Innovation Performance—An Empirical Study of the Chengdu–Chongqing City Cluster. Sustainability 2022, 14, 7334. https://doi.org/10.3390/su14127334
Sun M, Zhang X, Zhang X. The Impact of a Multilevel Innovation Network and Government Support on Innovation Performance—An Empirical Study of the Chengdu–Chongqing City Cluster. Sustainability. 2022; 14(12):7334. https://doi.org/10.3390/su14127334
Chicago/Turabian StyleSun, Mingbo, Xueqing Zhang, and Xiaoxiao Zhang. 2022. "The Impact of a Multilevel Innovation Network and Government Support on Innovation Performance—An Empirical Study of the Chengdu–Chongqing City Cluster" Sustainability 14, no. 12: 7334. https://doi.org/10.3390/su14127334
APA StyleSun, M., Zhang, X., & Zhang, X. (2022). The Impact of a Multilevel Innovation Network and Government Support on Innovation Performance—An Empirical Study of the Chengdu–Chongqing City Cluster. Sustainability, 14(12), 7334. https://doi.org/10.3390/su14127334
