Study on the Horizontal Bearing Characteristic of a New Type of Offshore Rubber Airbag Branch Pile
Abstract
:1. Introduction
2. Horizontal Bearing Mechanism of Rubber Air Bag Branch Piles
3. Finite Element Numerical Simulation and Result Analysis
3.1. Establishment of Finite Element Model of Rubber Airbag Branch Pile
3.2. Simulation Conditions
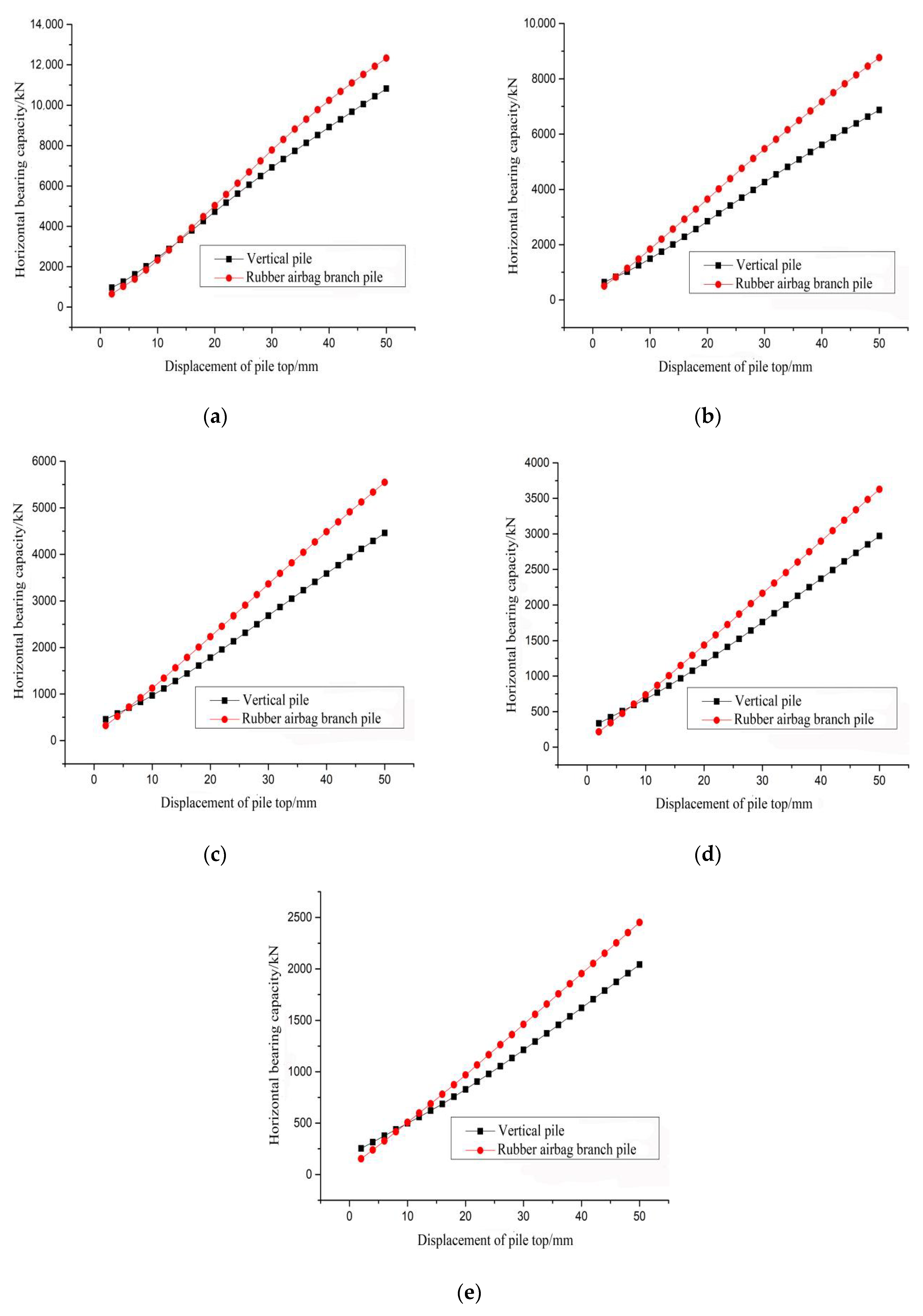
3.3. Result Analysis
3.3.1. Comparative Analysis of Different Exposed Pile Lengths
3.3.2. Comparative Analysis of Different Sizes of Rubber Airbag Branches
3.3.3. Comparative Analysis of Different Rubber Airbag Branch Buried Depths S0
4. The Horizontal Bearing Capacity Characteristic Value of Rubber Airbag Branch Piles
4.1. Formula Correction for Bearing Capacity Characteristic Value of Large Diameter Tubular Piles
4.2. The Characteristic Value of Bearing Capacity for Large-Diameter Rubber Airbag Branch Piles
4.2.1. The Equation of the Resistance of Horizontal Load for Rubber Airbag Branch Piles
4.2.2. Establishment of the Characteristic Value of Horizontal Bearing Capacity
4.3. Verification of Bearing Capacity Eigenvalue Equation of Rubber Airbag Branch Pile
5. Conclusions
- (1)
- The horizontal bearing capacities of piles with large pile top displacements were obviously higher than those of the pipe piles under the action of a rubber airbag branch bearing tray, which indicated that the rubber airbag branch bearing had a transverse constraint on the pile. As L0 was increased, pile horizontal bearing capacity was also rapidly decreased.
- (2)
- The increase in the rubber airbag branch height and radius did not increase pile horizontal bearing capacity, however, an increase in pile top horizontal displacement enhanced the increase rate of horizontal bearing capacity compared to that of the large-diameter pipe piles. Under the lateral constraint of the rubber airbag branch pile, the reverse displacement position and reverse pile bending moment were decreased and pile horizontal bearing capacity was more stable.
- (3)
- A buried depth of rubber airbag branch also increased pile horizontal bearing capacity. The horizontal bearing capacity was increased with an increase in the buried depth from 5 to 10 m.
- (4)
- The equation for the rubber airbag branch bearing capacity characteristic value was also derived. After modification, the modified equation of the horizontal bearing capacity characteristic value of the rubber airbag branch pile could be applied as a reference in designs.
Author Contributions
Funding
Data Availability Statement
Conflicts of Interest
References
- Doherty, P.; Gavin, K. Laterally loaded monopile design for offshore wind farms. Proc. ICE-Energy 2011, 165, 7–17. [Google Scholar] [CrossRef] [Green Version]
- Kim, Y.; Jeong, S. Analysis of soil resistance on laterally loaded piles based on 3D soil-pilin-teraction. Comput. Geotech. 2010, 38, 248–257. [Google Scholar] [CrossRef]
- Nghiem, H.M.; Chang, N.-Y. Pile under torque in nonlinear soils and soil-pile interfaces. Soils Found. 2019, 59, 1845–1859. [Google Scholar] [CrossRef]
- Wang, H.; Yao, J.; Liu, L. The Application of ANSYS in the Horizontal Bearing Pile. Appl. Mech. Mater. 2014, 193–194, 935–938. [Google Scholar] [CrossRef]
- Edro-Tomislav Simic-Silva, B.M.; Simic, D. 3D simulation for tunnelling effects on existing pile. Comput. Geotech. 2020, 124, 67–82. [Google Scholar]
- Jeong, S.; Kim, Y. Analysis for Laterally Loaded Offshore Piles in Marine Clay. Geotech. Eng. J. SEAGS AGSSEA 2020, 51, 326–342. [Google Scholar]
- Mahdi, T.K.; Al-Neami, M.A.; Rahil, F.H. Experimental and Numerical Study on the Winged Pile-Soil Interaction under Lateral Loads. In IOP Conference Series: Earth and Environmental Science; IOP Publishing: Bristol, UK, 2022; Volume 961, pp. 151–165. [Google Scholar]
- Aysan, P.; Mahzad, E.F.; Hooshang, K. Pile-soil interaction determined by laterally loaded fixed head pile group. Geomech. Eng. 2021, 26, 13–25. [Google Scholar]
- González, F.; Padrón, L.A.; Aznárez, J.J.; Maeso, O. Equivalent linear model for the lateral dynamic analysis of pile foundations considering pile-soil interface degradation. Eng. Anal. Bound. Elem. 2020, 119, 59–73. [Google Scholar] [CrossRef]
- Djillali, A.B. Analytical Quantification of Ultimate Resistance for Sand Flowing Horizontally around Monopile: New p-y Curve Formulation. Int. J. Geomech. 2021, 21, 319–335. [Google Scholar]
- Rathod, D.; Muthukkumaran, K.; Sitharam, T.G. Effect of Slope on p-y Curves for Laterally Loaded Piles in Soft Clay. Geotech. Geol. Eng. 2018, 36, 1509–1524. [Google Scholar] [CrossRef]
- Zhai, E.; Xu, H.; Guo, S.; Jin, H.; Du, X. Comparative study on horizontal bearing characteristics of offshore wind pipe pile foundation in xiangshu. Acta Sol. Sin. 2019, 40, 681–686. [Google Scholar]
- Sahli, A.; Alouach, M.A.K.; Sahli, S.; Karas, A. Reliability techniques and Coupled BEM/FEM for interaction pile-soil. Recl. Mécanique 2017, 2, 112–124. [Google Scholar]
- Li, Y.M.; Ma, Y.H.; Zhao, G.F.; Zhou, F.L. Experimental Study on the Effect of Alternating Ageing and Sea Corrosion on Laminated Natural Rubber Bearing’s Tension-shear Property. J. Rubber Res. 2020, 23, 151–161. [Google Scholar] [CrossRef]
- Cherezova, E.N.; Karaseva Yu, S.; Momzyakova, K.S. Hydrophilic Rubber Based on Butadiene–Nitrile Rubber and Phytogenic Powdered Cellulose. Polym. Sci. Ser. D 2022, 15, 118–121. [Google Scholar] [CrossRef]
- Hu, Y.; Lu, Z.; Zhai, Q.; Zhang, Y. Discussion on p-y curve of large diameter and wing pile in soft clay. Water Conserv. Hydropower Technol. 2018, 49, 143–152. [Google Scholar]
- Zhang, Z.; Guan, P.; Xu, J.; Wang, B.; Li, H.; Dong, Y. Horizontal Loading Performance of Offshore Wind Turbine Pile Foundation Based on DPP-BOTDA. Appl. Sci. 2020, 10, 492. [Google Scholar] [CrossRef] [Green Version]
- Zhai, Q.; Xiang, W.; Li, Y. Study on the Lateral Deformation of the Flexible Berthing Pile of High-Pile Wharf under Ship Impact Load. Appl. Mech. Mater. 2015, 3843, 1184–1187. [Google Scholar] [CrossRef]
- Zhao, M.; Jiang, C.; Cao, W.; Liu, J. Catastrophic model for stability analysis of high pile-column bridge pier. J. Cent. South Univ. Technol. 2007, 14, 725–729. [Google Scholar] [CrossRef]
- Bergado, D.T.; Pitthaya, J.; Pornkasem, J.; Suched, L.; Chartchai, P.; Nuttapong, K.; Francisco, B. Case study and numerical simulation of PVD improved soft Bangkok clay with surcharge and vacuum preloading using a modified air-water separation system. Geotext. Geomembr. 2022, 50, 137–153. [Google Scholar] [CrossRef]
- Almeida, M.S.S.; Deotti, L.O.G.; Almeida, M.C.F.; Marques, M.E.S.; Cardoso, I.M. Vacuum Preloading on Structured Clay: Field, Laboratory, and Numerical Studies. Int. J. Geomech. 2021, 21, 362–376. [Google Scholar] [CrossRef]
- Apriadi, D.; Barnessa, R.A.; Marsa, N.A.I. Finite Element Study of Vacuum Preloading and Prefabricated Vertical Drains Behavior for Soft Soil Improvement. J. Tek. Sipil 2019, 26, 189. [Google Scholar] [CrossRef] [Green Version]


















| Modulus | Poisson Ration | Cohesion | Severe | Internal Friction Angle | |
|---|---|---|---|---|---|
| Clay layer | 30 MPa | 0.3 | 25 kPa | 19.23 kN/m | 14° |
| Rock stratum | 400 GPa | 0.3 | —— | 27 kN/m | —— |
| Rubber airbag branch | 10 MPa | 0.3 | —— | 10 kN/m | —— |
| Pile | 38 GPa | 0.3 | —— | 25 kN/m | —— |
| R (m) | Height (m) | S0 (m) | L0 (m) |
|---|---|---|---|
| 5 | 2 | 5 | 0/5/10/15/20 |
| R (m) | Height (m) | S0 (m) | L0 (m) |
|---|---|---|---|
| 5 | 1/1.5/2 | 5 | 5 |
| R (m) | Heigh (m) | S0 (m) | L0 (m) |
|---|---|---|---|
| 3.125/3.75/5 | 2 | 5 | 5 |
| R (m) | Height (m) | S0 (m) | L0 (m) |
|---|---|---|---|
| 5 | 2 | 5/10/20 | 5 |
Publisher’s Note: MDPI stays neutral with regard to jurisdictional claims in published maps and institutional affiliations. |
© 2022 by the authors. Licensee MDPI, Basel, Switzerland. This article is an open access article distributed under the terms and conditions of the Creative Commons Attribution (CC BY) license (https://creativecommons.org/licenses/by/4.0/).
Share and Cite
Wang, X.; Wang, Z.; Yuan, C.; Liu, L. Study on the Horizontal Bearing Characteristic of a New Type of Offshore Rubber Airbag Branch Pile. Sustainability 2022, 14, 7331. https://doi.org/10.3390/su14127331
Wang X, Wang Z, Yuan C, Liu L. Study on the Horizontal Bearing Characteristic of a New Type of Offshore Rubber Airbag Branch Pile. Sustainability. 2022; 14(12):7331. https://doi.org/10.3390/su14127331
Chicago/Turabian StyleWang, Xiaolei, Zeyuan Wang, Changfeng Yuan, and Libo Liu. 2022. "Study on the Horizontal Bearing Characteristic of a New Type of Offshore Rubber Airbag Branch Pile" Sustainability 14, no. 12: 7331. https://doi.org/10.3390/su14127331
APA StyleWang, X., Wang, Z., Yuan, C., & Liu, L. (2022). Study on the Horizontal Bearing Characteristic of a New Type of Offshore Rubber Airbag Branch Pile. Sustainability, 14(12), 7331. https://doi.org/10.3390/su14127331

