The Impact of Using Novel Equations to Predict Nitrogen Excretion and Associated Emissions from Pasture-Based Beef Production Systems
Abstract
:1. Introduction
2. Materials and Methods
2.1. The North Wyke Farm Platform
- i.
- Legumes; white clover (Trifolium repens)/high sugar grass (perennial ryegrass; Lolium perenne L. cv. AberMagic) (WC), with the aim of maintaining clover ground cover of 30%. No N fertiliser was applied to this treatment due to clover’s atmospheric N fixation capacity.
- ii.
- Perennial ryegrass monoculture (HS), utilising a high sugar variety (Lolium perenne L. cv. AberMagic). This system received N fertiliser at the standard recommended rate as in the control farmlet.
2.2. Sample and Data Collection, Chemical Analysis and Feed Intake
2.3. Approaches Used for the Prediction of N Excretion
2.4. Approaches Used for Estimation of N Losses at System Level
2.5. Statistical Analysis
3. Results
3.1. Effect of Prediction Model
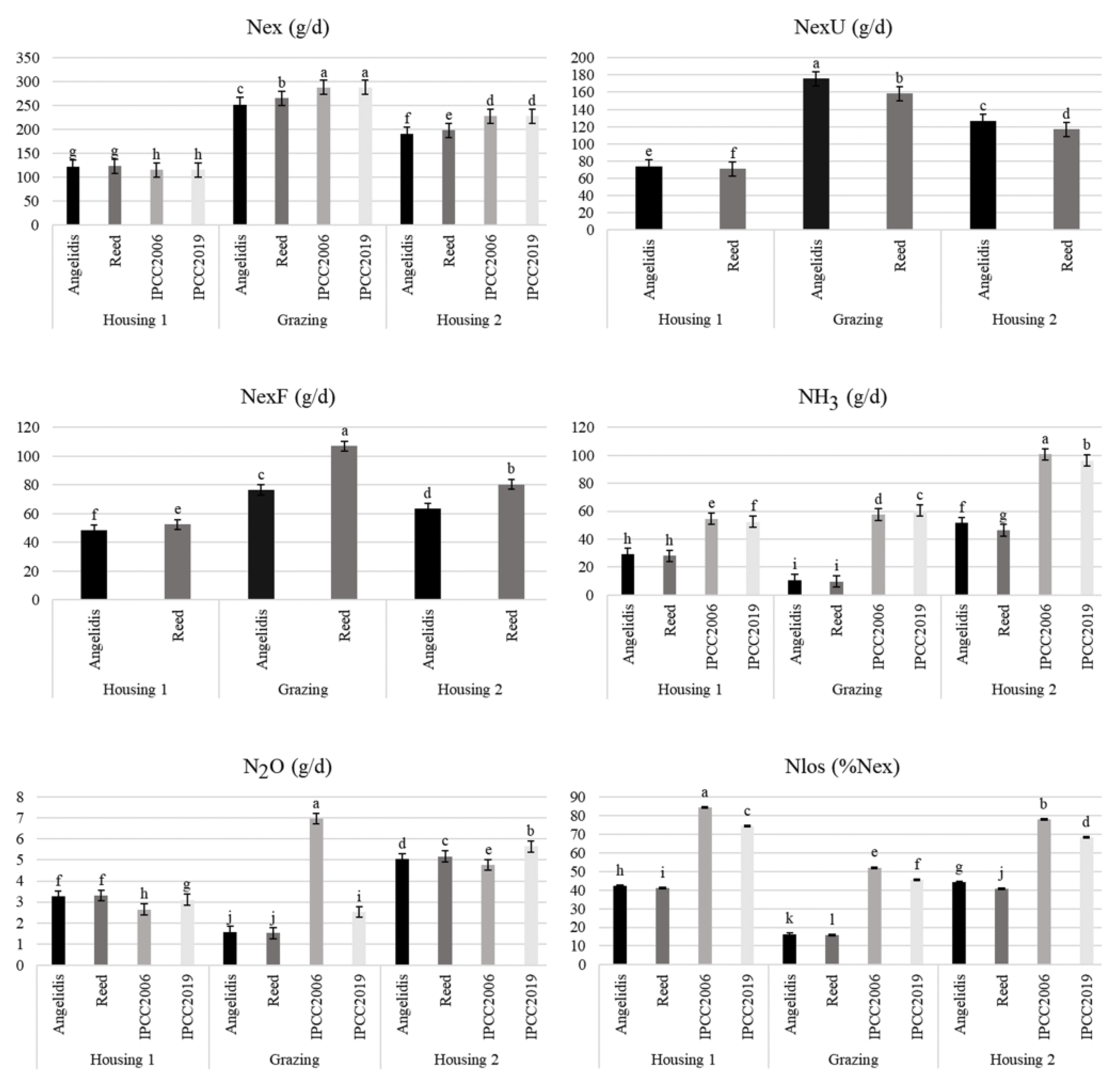
3.2. Interactions between Prediction Approach and Production Period
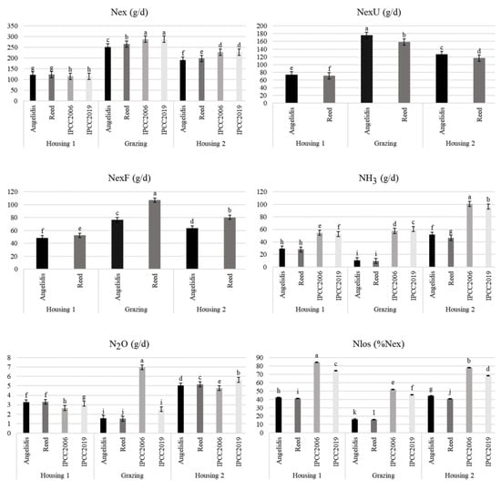
3.3. Interactions between Prediction Approach and Forage Type
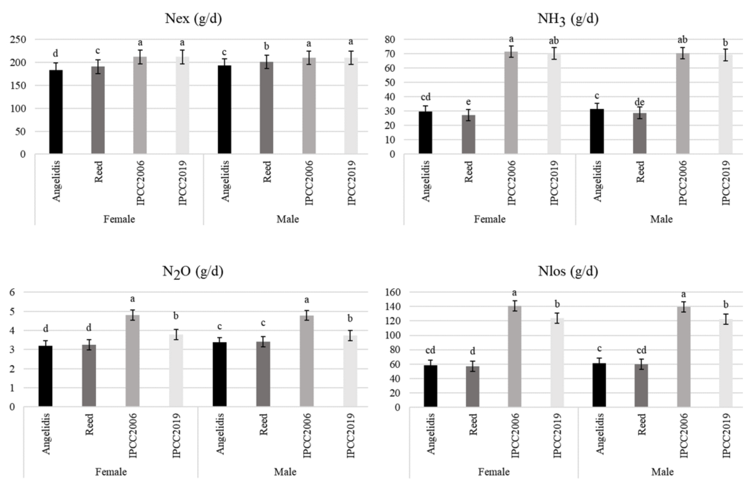
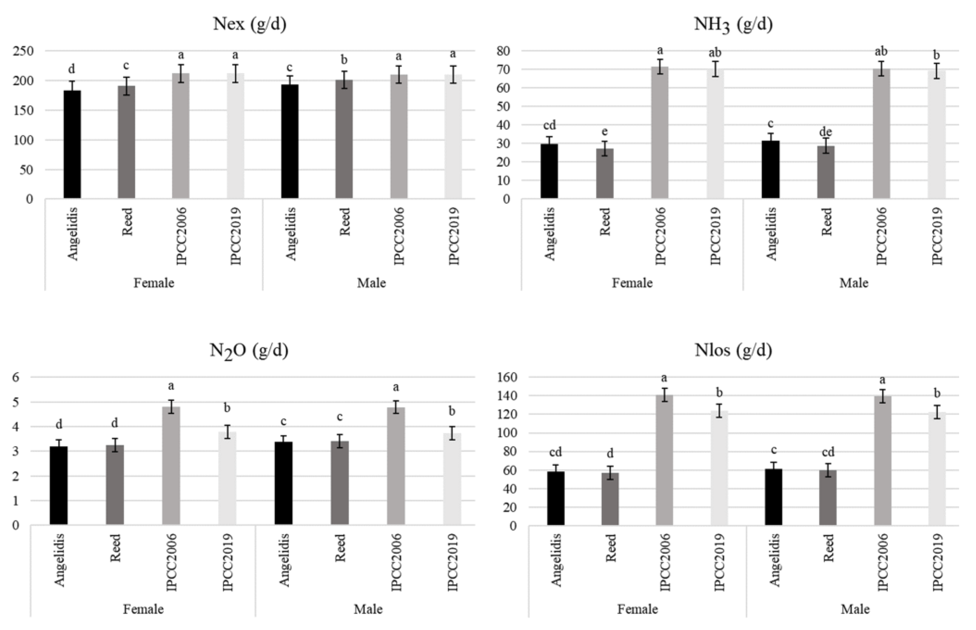
3.4. Interactions between Prediction Approach and Gender
4. Discussion
4.1. Calculation of N Excretion Using IPCC or Literature Equations
4.2. Accounting for N Partitioning between Urine and Faeces in the Calculation of N Emissions
4.3. Effect of Using IPCC or Individual Animal Equations on the Calculated Forms of N Loss
4.4. Potential Effect of Management Periods and Forage Type on N Loss Calculations
4.5. Implications of N Loss Prediction Methods
5. Conclusions
Author Contributions
Funding
Institutional Review Board Statement
Informed Consent Statement
Data Availability Statement
Conflicts of Interest
References
- FAO. How to Feed the World in 2050, High-Level Expert Forum; Food and Agriculture Organization of the United Nations (FAO): Rome, Italy, 2009; p. 35. [Google Scholar]
- Thornton, P.K. Livestock production: Recent trends, future prospects. Philos. Trans. R. Soc. Lond. B Biol. Sci. 2010, 365, 2853–2867. [Google Scholar] [CrossRef] [PubMed] [Green Version]
- Leroy, F.; Beal, T.; Gregorini, P.; McAuliffe, G.A.; van Vliet, S. Nutritionism in a food policy context: The case of “animal protein”. Anim. Prod. Sci. 2022, 62, 712–720. [Google Scholar] [CrossRef]
- Eisler, M.C.; Lee, M.R.F.; Tarlton, J.F.; Martin, G.B.; Beddington, J.; Dungait, J.A.J.; Greathead, H.; Liu, J.; Mathew, S.; Miller, H.; et al. Agriculture: Steps to sustainable livestock. Nature 2014, 507, 32–34. [Google Scholar] [CrossRef] [PubMed] [Green Version]
- Baber, J.R.; Sawyer, J.; Wickersham, T.A. Estimation of human-edible protein conversion efficiency, net protein contribution, and enteric methane production from beef production in the United States. Transl. Anim. Sci. 2018, 2, 439–450. [Google Scholar] [CrossRef] [Green Version]
- Wilkinson, J.M. Re-defining efficiency of feed use by livestock. Animal 2011, 5, 1014–1022. [Google Scholar] [CrossRef] [Green Version]
- Koenig, K.M.; Beauchemin, K.A. Nitrogen metabolism and route of excretion in beef feedlot cattle fed barley-based finishing diets varying in protein concentration and rumen degradability. J. Anim. Sci. 2013, 91, 2310–2320. [Google Scholar] [CrossRef]
- Satter, L.D.; Klopfenstein, T.J.; Erickson, G.E. The role of nutrition in reducing nutrient output from ruminants. J. Anim. Sci. 2002, 80 (Suppl. S2), E143–E156. [Google Scholar] [CrossRef] [Green Version]
- Steinfeld, H.; Gerber, P.; Wassenaar, T.; Castel, V.; Rosales, M.; de Haan, C. Livestock’s Long Shadow: Environmental Issues and Options; Food and Agriculture Organization of the United Nations (FAO): Rome, Italy, 2006; 390p. [Google Scholar]
- Cole, N.A.; Clark, R.N.; Todd, R.W.; Richardson, C.R.; Gueye, A.; Greene, L.W.; McBride, K. Influence of dietary crude protein concentration and source on potential ammonia emissions from beef cattle manure. J. Anim. Sci. 2005, 83, 722–731. [Google Scholar] [CrossRef] [Green Version]
- Koenig, K.M.; Beauchemin, K.A. Nitrogen metabolism and route of excretion in beef feedlot cattle fed barley-based backgrounding diets varying in protein concentration and rumen degradability. J. Anim. Sci. 2013, 91, 2295–2309. [Google Scholar] [CrossRef]
- Angelidis, A.; Crompton, L.; Misselbrook, T.; Yan, T.; Reynolds, C.; Stergiadis, S. Evaluation and prediction of nitrogen use efficiency and outputs in faeces and urine in beef cattle. Agric. Ecosyst. Environ. 2019, 280, 1–15. [Google Scholar] [CrossRef]
- Angelidis, A.E.; Crompton, L.; Misselbrook, T.; Yan, T.; Reynolds, C.K.; Stergiadis, S. Equations to predict nitrogen outputs in manure, urine and faeces from beef cattle fed diets with contrasting crude protein concentration. J. Environ. Manag. 2021, 295, 113074. [Google Scholar] [CrossRef] [PubMed]
- Hristov, A.N.; Hanigan, M.; Cole, A.; Todd, R.; McAllister, T.A.; Ndegwa, P.M.; Rotz, A. Review: Ammonia emissions from dairy farms and beef feedlots. Can. J. Anim. Sci. 2011, 91, 1–35. [Google Scholar] [CrossRef] [Green Version]
- Tamminga, S. Environmental impacts of beef cattle. In Proceedings of the John M. Airy Symposium: Visions for Animal Agriculture and the Environment, Kansas, MO, USA, 5–6 January 2006. [Google Scholar]
- NASEM. Anatomy, digestion and nutrient utilization. In Nutrient Requirements of Beef Cattle: Eighth Revised Edition; The National Academies Press: Washington, DC, USA, 2016. [Google Scholar]
- Galloway, J.N.; Aber, J.D.; Erisman, J.W.; Seitzinger, S.P.; Howarth, R.W.; Cowling, E.B.; Cosby, B.J. The nitrogen cascade. BioScience 2003, 53, 341–356. [Google Scholar] [CrossRef]
- Muck, R.; Steenhuis, T. Nitrogen losses from manure storages. Agric. Wastes 1982, 4, 41–54. [Google Scholar] [CrossRef]
- IPCC. Emissions from livestock and manure management. In IPCC Guidelines for National Greenhouse Gas Inventories, Volume 4: Agriculture, Forestry and Other Land Use; Intergovernmental Panel on Climate Change: Geneva, Switzerland, 2006. [Google Scholar]
- IPCC. Emissions from livestock and manure management. In Refinement to the 2006 IPCC Guidelines for National Greenhouse Gas Inventories; Intergovernmental Panel on Climate Change: Geneva, Switzerland, 2019. [Google Scholar]
- Brown, P.; Cardenas, L.; Choudrie, S.; Del Vento, S.; Karagianni, E.; MacCarthy, J.; Mullen, P.; Passant, N.; Richmond, B.; Smith, H.; et al. UK Greenhouse Gas Inventory, 1990 to 2019. 2021. Available online: https://uk-air.defra.gov.uk/assets/documents/reports/cat09/2105061125_ukghgi-90-19_Main_Issue_1.pdf (accessed on 7 March 2022).
- Reed, K.F.; Casper, D.P.; France, J.; Kebreab, E. Prediction of nitrogen efficiency in dairy cattle: A review. CAB Rev. 2015, 10, 1–12. [Google Scholar] [CrossRef]
- Dijkstra, J.; Oenema, O.; Van Groenigen, J.; Spek, J.; van Vuuren, A.; Bannink, A. Diet effects on urine composition of cattle and N2O emissions. Animal 2013, 7 (Suppl. S2), 292–302. [Google Scholar] [CrossRef] [Green Version]
- Orr, R.J.; Murray, P.J.; Eyles, C.J.; Blackwell, M.; Cardenas, L.M.; Collins, A.; Dungait, J.; Goulding, K.; Griffith, B.A.; Gurr, S.J.; et al. The North Wyke Farm Platform: Effect of temperate grassland farming systems on soil moisture contents, runoff and associated water quality dynamics. Eur. J. Soil Sci. 2016, 67, 374–385. [Google Scholar] [CrossRef] [Green Version]
- McAuliffe, G.; Takahashi, T.; Orr, R.; Harris, P.; Lee, M. Distributions of emissions intensity for individual beef cattle reared on pasture-based production systems. J. Clean. Prod. 2018, 171, 1672–1680. [Google Scholar] [CrossRef]
- McAuliffe, G.; López-Aizpún, M.; Blackwell, M.; Castellano-Hinojosa, A.; Darch, T.; Evans, J.; Horrocks, C.; Le Cocq, K.; Takahashi, T.; Harris, P.; et al. Elucidating three-way interactions between soil, pasture and animals that regulate nitrous oxide emissions from temperate grazing systems. Agric. Ecosyst. Environ. 2020, 300, 106978. [Google Scholar] [CrossRef]
- Reed, K.; de Moraes, L.E.F.D.; Casper, D.; Kebreab, E. Predicting nitrogen excretion from cattle. J. Dairy Sci. 2015, 98, 3025–3035. [Google Scholar] [CrossRef]
- Churchill, S.; Misra, A.; Brown, P.; Del Vento, S.; Karagianni, E.; Murrells, T.; Passant, N.; Richardson, J.; Richmond, B.; Smith, H.; et al. UK Informative Inventory Report (1990 to 2019). 2021. Available online: https://uk-air.defra.gov.uk/library/reports?report_id=1016 (accessed on 7 March 2022).
- Gilmour, A.R.; Thompson, R.; Cullis, B.R. Average Information REML: An Efficient Algorithm for Variance Parameter Estimation in Linear Mixed Models. Biometrics 1995, 51, 1440–1450. [Google Scholar] [CrossRef]
- VSN International. Genstat for Windows, 17th ed.; VSN International: Hemel Hempstead, UK, 2015. [Google Scholar]
- Kebreab, E.; Strathe, A.B.; Dijkstra, J.; Mills, J.A.N.; Reynolds, C.K.; Crompton, L.A.; Yan, T.; France, J. Energy and protein interactions and their effect on nitrogen excretion in dairy cows. In Proceedings of the 3rd EAAP International Symposium on Energy and Protein Metabolism and Nutrition, Parma, Italy, 6–10 September 2010; pp. 417–426. [Google Scholar]
- Selbie, D.R.; Buckthought, L.E.; Shepherd, M.A. The Challenge of the Urine Patch for Managing Nitrogen in Grazed Pasture Systems. In Advances in Agronomy; Sparks, D.L., Ed.; Academic Press: Cambridge, MA, USA, 2015; Chapter 4; pp. 229–292. [Google Scholar]
- Loick, N.; Dixon, E.; Abalos, D.; Vallejo, A.; Matthews, P.; McGeough, K.; Watson, C.; Baggs, E.M.; Cardenas, L.M. “Hot spots” of N and C impact nitric oxide, nitrous oxide and nitrogen gas emissions from a UK grassland soil. Geoderma 2017, 305, 336–345. [Google Scholar] [CrossRef] [PubMed]
- Rotz, C.A.; Soder, K.J.; Skinner, R.H.; Dell, C.J.; Kleinman, P.J.; Schmidt, J.P.; Bryant, R.B. Grazing can reduce the environmental impact of dairy production systems. Forage Grazinglands 2009, 7, 1–9. [Google Scholar] [CrossRef]
- Chen, T.; Oenema, O.; Li, J.; Misselbrook, T.; Dong, W.; Qin, S.; Yuan, H.; Li, X.; Hu, C. Seasonal variations in N2 and N2O emissions from a wheat–maize cropping system. Biol. Fertil. Soils 2019, 55, 539–551. [Google Scholar] [CrossRef]
- Rotz, C.A. Management to reduce nitrogen losses in animal production. J. Anim. Sci. 2004, 82 (Suppl. S13), E119–E137. [Google Scholar]
- Marley, C.L.; Fychan, R.; Fraser, M.D.; Sanderson, R.; Jones, R. REffects of feeding different ensiled forages on the productivity and nutrient-use efficiency of finishing lambs. Grass Forage Sci. 2007, 62, 1–12. [Google Scholar] [CrossRef]




| Equation | Source | |
|---|---|---|
| a. | UNO = 14.3(3.18) + 0.510(0.0121) NI | Equation (9); Reed et al., 2015 [27] |
| b. | MNO = 15.1(2.50) + 0.828(0.0106) NI | Equation (13); Reed et al., 2015 [27] |
| c. | UNO = –26.49(3.117) + 0.597(0.0158) NI | Equation (2e); Angelidis et al., 2019 [12] |
| d. | MNO = –5.681(3.1652) + 0.761(0.0157) NI | Equation (1d); Angelidis et al., 2019 [12] |
| Parameter | Mean 1 | |||||
|---|---|---|---|---|---|---|
| Angelidis et al. | Reed et al. | IPCC 2006 | IPCC 2019 | SE | p-Value | |
| Nex (g/d) | 188.6 c | 196.1 b | 210.9 a | 210.9 a | 14.70 | <0.001 |
| NexU (g/d) | 125.3 | 115.6 | - | - | 8.100 | <0.001 |
| NexF (g/d) | 62.74 | 79.91 | - | - | 3.530 | <0.001 |
| NH3-N (g/d) | 30.55 c | 28.05 d | 71.01 a | 69.77 b | 4.020 | <0.001 |
| NH3-N (%Nex) | 18.24 c | 16.48 d | 37.49 a | 36.55 b | 0.110 | <0.001 |
| NH3-N (kg/kg lwg) | 0.076 b | 0.070 b | 0.154 a | 0.149 a | 0.021 | <0.001 |
| N2O-N (g/d) | 3.290 c | 3.330 c | 4.790 a | 3.760 b | 0.260 | <0.001 |
| N2O-N (%Nex) | 1.989 c | 1.960 d | 2.279 a | 2.028 b | 0.014 | <0.001 |
| N2O-N (kg/kg lwg) | 0.011 | 0.011 | 0.012 | 0.011 | 0.002 | 0.800 |
| Nlos (g/d) | 59.49 c | 58.02 c | 140.3 a | 123.1 b | 7.080 | <0.001 |
| Nlos (%Nex) | 34.27 c | 32.51 d | 71.42 a | 62.66 b | 0.400 | <0.001 |
| Nlos (kg/kg lwg) | 0.116 b | 0.113 b | 0.240 a | 0.210 a | 0.030 | <0.001 |
| NH3-Nhg (g/d) | 14.81 c | 13.80 d | 36.35 a | 34.49 b | 1.820 | <0.001 |
| N2O-Nhg (g/d) | 1.460 b | 1.470 b | 2.360 a | 0.960 c | 0.100 | <0.001 |
| NO-Nhg (g/d) | 0.310 a | 0.310 a | 0.000 b | 0.000 b | 0.010 | <0.001 |
| N2O-Nhgv (g/d) | 0.150 c | 0.140 d | 0.360 a | 0.340 b | 0.020 | <0.001 |
| Nglea (g/d) | 8.600 c | 9.040 c | 28.92 a | 23.18 b | 1.240 | <0.001 |
| N2O-Nglea (g/d) | 0.060 c | 0.070 c | 0.220 b | 0.250 a | 0.010 | <0.001 |
| N2-Nhg (kg/d) | 4.360 b | 4.400 b | 5.110 a | 1.730 c | 0.330 | <0.001 |
Publisher’s Note: MDPI stays neutral with regard to jurisdictional claims in published maps and institutional affiliations. |
© 2022 by the authors. Licensee MDPI, Basel, Switzerland. This article is an open access article distributed under the terms and conditions of the Creative Commons Attribution (CC BY) license (https://creativecommons.org/licenses/by/4.0/).
Share and Cite
Angelidis, A.E.; McAuliffe, G.A.; Takahashi, T.; Crompton, L.; Yan, T.; Reynolds, C.K.; Stergiadis, S.; Misselbrook, T. The Impact of Using Novel Equations to Predict Nitrogen Excretion and Associated Emissions from Pasture-Based Beef Production Systems. Sustainability 2022, 14, 7260. https://doi.org/10.3390/su14127260
Angelidis AE, McAuliffe GA, Takahashi T, Crompton L, Yan T, Reynolds CK, Stergiadis S, Misselbrook T. The Impact of Using Novel Equations to Predict Nitrogen Excretion and Associated Emissions from Pasture-Based Beef Production Systems. Sustainability. 2022; 14(12):7260. https://doi.org/10.3390/su14127260
Chicago/Turabian StyleAngelidis, Angelos E., Graham A. McAuliffe, Taro Takahashi, Les Crompton, Tianhai Yan, Christopher K. Reynolds, Sokratis Stergiadis, and Tom Misselbrook. 2022. "The Impact of Using Novel Equations to Predict Nitrogen Excretion and Associated Emissions from Pasture-Based Beef Production Systems" Sustainability 14, no. 12: 7260. https://doi.org/10.3390/su14127260
APA StyleAngelidis, A. E., McAuliffe, G. A., Takahashi, T., Crompton, L., Yan, T., Reynolds, C. K., Stergiadis, S., & Misselbrook, T. (2022). The Impact of Using Novel Equations to Predict Nitrogen Excretion and Associated Emissions from Pasture-Based Beef Production Systems. Sustainability, 14(12), 7260. https://doi.org/10.3390/su14127260

