Field Study on the Side Resistance-Softening and Resistance-Reinforcing Effects of Large-Diameter Combined Grouting Drilled Shafts
Abstract
:1. Introduction
2. Description of Test Site
3. Combined Grouting and Testing Programs
3.1. Combined Tip and Side Grouting
3.2. Field Bi-Directional Static Test
4. Results and Discussion
4.1. Results of Bi-Directional Static Test
4.2. Equivalent Q-s Curves of Test Shafts
4.3. Tip Resistance
4.4. The τ-s Curves of the Side Resistance at Different Depths
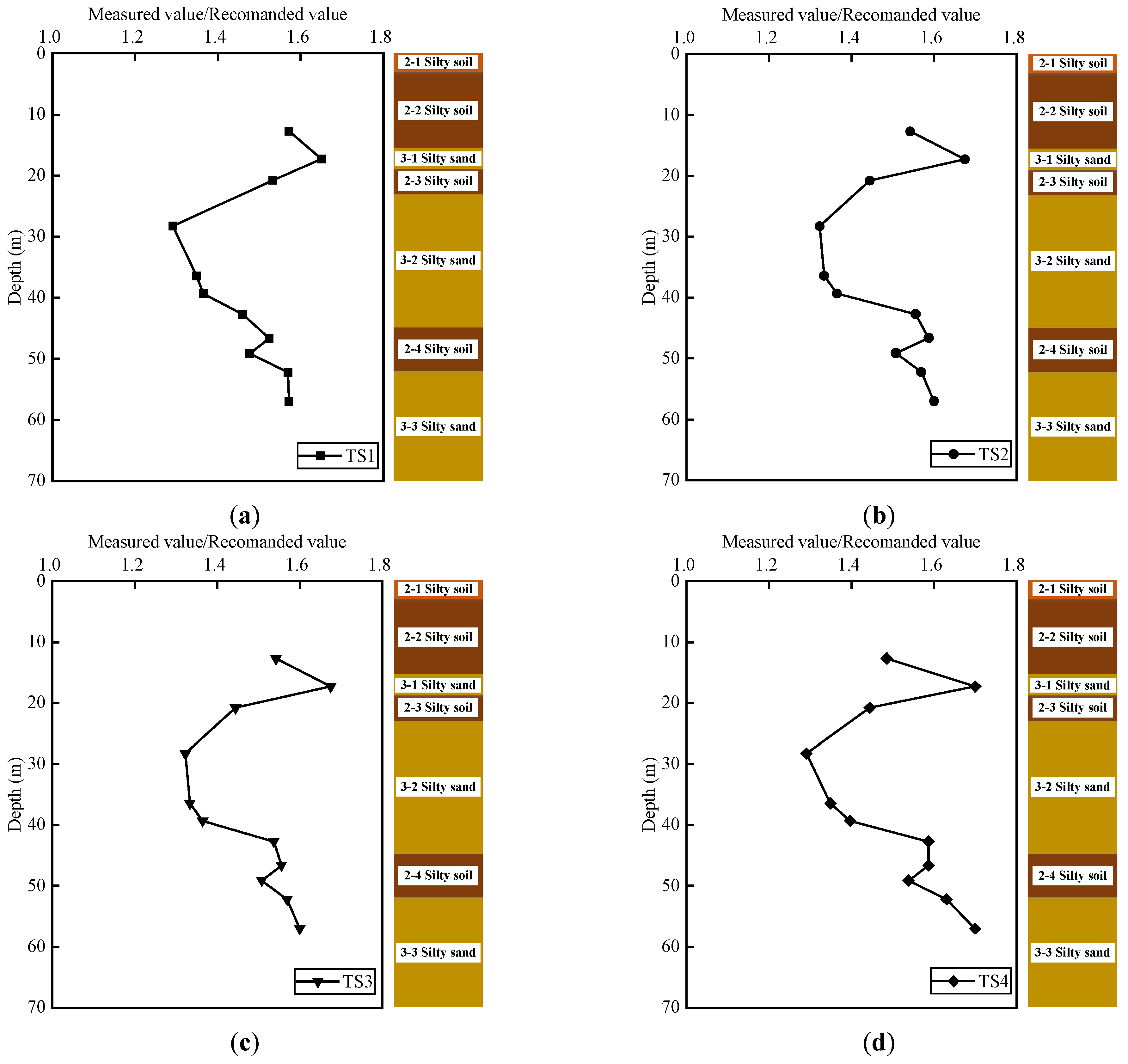
4.5. Comparison between Measured and Predicted Values of Shaft Side Resistance
4.6. Distribution of Side Resistance Versus Depth
4.7. Mechanism of the Softening-Effect and Reinforcing-Effect on Side Resistance
5. Conclusions
- 1.
- Due to the influence of construction-effect and shaft tip sediment, the side resistance of large-diameter drilled shafts without grouting softened at the initial loading stage, and the measured ultimate side resistance, were lower than predicted values. The lower the strength of shaft tip soil, the more serious the side resistance softening-effect e. The mobilization of side resistance was affected by the strength of shaft tip soil.
- 2.
- The shaft tip sediment caused by the construction-effect softened the tip resistance of large-diameter drilled shafts. However, after combined grouting or sediment compression, shaft tip resistance was reinforced.
- 3.
- The increase in shaft tip resistance had a reinforcing-effect on shaft side resistance, which mainly occurred near the shaft tip. However, this side resistance reinforcing-effect near the shaft tip could only reduce, and not completely eliminate the negative impact of construction-effect. Combined grouting could further improve this side resistance reinforcing effect and expand the range of soil layers with this reinforcing-effect by 46%, completely eliminating the negative impact of the construction-effect.
- 4.
- Compared with traditional shaft tip grouting, the reinforcing effect of combined grouting on the side resistance of large-diameter drilled shafts was remarkable, and the mobilization speed of side resistance was improved. Combined grouting could also improve the tip resistance and bearing capacity of large-diameter drilled shafts. After combined grouting, the average increase of side resistance was 67.42%, the average tip resistance increased by 116%, and the bearing capacity increased by 74.64%.
- 5.
- Combined grouting improved the bearing capacity of drilled shafts without increasing drilled shaft sizing, economic costs, and carbon emission. By using combined grouting, the designer could reduce the size and number of original drilled shafts while still achieving the design bearing capacity. Large-diameter combined grouting drilled shafts had great advantages in terms of reducing economic costs, environmental protection, and sustainable development.
- 6.
- The change of radial effective stress in soil was the fundamental reason influencing the side resistance softening-effect and reinforcing-effect. When the soil strength under the shaft tip was low, the shaft tip experienced pierced failure, which reduced radial effective stress and side resistance. When the soil strength under the shaft tip was high, an arching phenomenon appeared in the soil layer near the shaft, which increased radial effective stress and side resistance. Combined grouting extended the arching zone and increased the radial effective stress, thus reinforcing the side resistance.
Author Contributions
Funding
Institutional Review Board Statement
Informed Consent Statement
Data Availability Statement
Acknowledgments
Conflicts of Interest
References
- Zhang, Z.T.; Gong, W.M.; Dai, G.L.; Cao, X.L.; Zhu, Y.; Huang, H. Field Tests on Bearing Characteristics of Large-Diameter Combined Tip-and-Side Post Grouted Drilled Shafts. Appl. Sci. 2021, 11, 11883. [Google Scholar] [CrossRef]
- Randolph, M.F. Design methods for pile groups and piled rafts. In Proceedings of the 13th International Conference on Soil Mechanics and Foundation Engineering, New Delhi, India, 5 January 1994; pp. 61–82. [Google Scholar]
- Żarkiewicz, K. Laboratory Research of Toe Resistance Based on Static Pile Load Tests in Different Schemes. Civ. Environ. Eng. Rep. 2018, 28, 172–181. [Google Scholar] [CrossRef] [Green Version]
- Tejchman, A.; Gwizdala, K. Analysis of Safety Factors of Bearing Capacity for Large Diameter Piles. In Proceedings of the European Conference on Soil Mechanics and Foundation Engineering, Brighton, UK, 1979; pp. 293–296. Available online: https://link.springer.com/article/10.1007/BF02094048 (accessed on 4 May 2022).
- Meyerhof, G.G. Scale effect of ultimate pile capacity. J. Geotech. Eng-ASCE 1983, 109, 797–806. [Google Scholar] [CrossRef]
- Borghi, X.; White, D.J.; Bolton, M.D.; Springman, S. Empirical pile design based on cone penetrometer data: An explanation for reduction of unit base resistance between CPTs and piles. In Proceedings of the 5th International Conference on Deep Foundation Practice, Singapore, 4–6 April 2001; pp. 125–132. [Google Scholar]
- Zhang, Q.Q.; Zhang, Z.M.; Li, S.C. Investigation into Skin Friction of Bored Pile Including Influence of Soil Strength at Pile Base. Mar. Geores. Geotechnol. 2013, 31, 1–16. [Google Scholar] [CrossRef]
- Broere, W.; Vantol, A.F. Modelling the Bearing Capacity of Displacement Piles in Sand. In Proceedings of the Institution of Civil Engineers: Geotechnical Engineering, London, UK, 2006; pp. 195–206. Available online: https://doi.org/10.1680/geng.2006.159.3.195 (accessed on 4 May 2022).
- Shin, J.K.C.; Omer, J.R.; Delpak, R.; Robinson, R.B.; Jones, C.D. Full-scale pile tests in sand and development of a computer program for predicting load capacity. Can. J. Civ. Eng. 2007, 34, 1222–1236. [Google Scholar]
- Lee, J.; Paik, K.; Kim, D.; Hwang, S. Estimation of axial load capacity for bored tapered piles using CPT results in sand. J. Geotech. Geoenviron. Eng. 2009, 135, 1285–1294. [Google Scholar] [CrossRef]
- Flynn, K.N.; McCabe, B.A. Shaft resistance of driven cast-in-situ piles in sand. Can. Geotech. J. 2016, 53, 49–59. [Google Scholar] [CrossRef] [Green Version]
- Heerema, J.P. Predicting pile driveability: Heather as an illustration of the ‘‘friction fatigue’’ theory. Ground. Eng. 1980, 13, 13–37. [Google Scholar]
- Kraft, L.M.; Focht, J.A.; Amerasinghe, S.F. Friction capacity of piles driven into clay. J. Geotech. Eng. Div. 1981, 107, 1521–1541. [Google Scholar] [CrossRef]
- Randolph, M.F. Design considerations for offshore piles. In Proceedings of the Conference on Geotechnical Practice in Offshore Engineering, Austin, TX, USA, 27–29 April 1983; pp. 422–439. [Google Scholar]
- Moayedi, H.; Nazir, R.; Mosallanezhad, M. Determination of Reliable Stress and Strain Distributions Along Bored Piles. Soil Mech. Found. Eng. 2015, 51, 285–291. [Google Scholar] [CrossRef]
- Lehane, B.; Jardine, R.; Bond, A.J.; Frank, R. Mechanisms of shaft friction in sand from instrumented pile tests. J. Geotech. Eng. 1993, 119, 19–35. [Google Scholar] [CrossRef]
- Hanna, T.H.; Tan, R.H.S. The behavior of long piles under compressive loads in sand. Can. Geotech. J. 1973, 10, 311–340. [Google Scholar] [CrossRef]
- Vesic, A.S. Tests on instrumented piles, ogeechee river site. J. Soil Mech. Found Div. 1970, 96, 561–584. [Google Scholar] [CrossRef]
- Duan, N.; Cheng, Y.P.; Lu, M.F.; Wang, Z.K. DEM investigation of sand response during displacement pile installation. Ocean Eng. 2021, 230, 109040. [Google Scholar] [CrossRef]
- Wan, Z.H.; Liu, H.; Feng, Z.; Dai, G.L. Axial Bearing Mechanism of Post-Grouted Piles in Calcareous Sand. Appl. Sci. 2022, 12, 2731. [Google Scholar] [CrossRef]
- Wan, Z.H.; Dai, G.L.; Gong, W.M. Field and theoretical analysis of response of axially loaded grouted drilled shafts in extra-thick fine sand. Can. Geotech. J. 2020, 57, 391–407. [Google Scholar] [CrossRef]
- Thiyyakkandi, S.; McVay, M.; Bloomquist, D.; Lai, P. Measured and predicted response of a new jetted and grouted precast pile with membranes in cohesionless soils. J. Geotech. Geoenviron. Eng. 2013, 139, 1334–1345. [Google Scholar] [CrossRef]
- Stocker, M.F. Influence of post-grouting on the load-bearing capacity of bored piles. In Proceedings of the 8th European Conference on Soil Mechanics and Foundation Engineering, Helsinki, Finland, 23–26 May 1983; pp. 167–170. [Google Scholar]
- Sliwinski, Z.J.; Fleming, W.G.K. The integrity and performance of bored piles. In Piling and Ground Treatment; Thomas Telford Publishing: London, UK, 1984; pp. 211–223. [Google Scholar]
- Majano, R.E.; O’Neill, M.W.; Hassan, K.M. Perimeter load transfer in model drilled shafts formed under slurry. J. Geotech. Eng. 1994, 120, 2136–2154. [Google Scholar] [CrossRef]
- Thompson, P.A. Base and shaft grouted piles. Proc. Inst. Civ. Eng. Geotech. Eng. 1996, 119, 186–192. [Google Scholar]
- Mullins, G.; Winters, D.; Dapp, S. Predicting end bearing capacity of post-grouted drilled shaft in cohesionless soils. J. Geotech. Geoenviron. Eng. 2006, 132, 478–487. [Google Scholar] [CrossRef] [Green Version]
- Zhang, Z.M.; Yu, J.; Zhang, G.X.; Zhou, X.M. Test study on the characteristics of mudcakes and in situ soils around bored piles. Can. Geotech. J. 2009, 46, 241–255. [Google Scholar] [CrossRef]
- Sinnreich, J.; Simpson, R.C. Case histories of full-scale comparative load testing of base grouted and Ungrouted test shaft pairs. In Proceedings of the IFCEE 2015, San Antonio, TX, USA, 17–21 March 2015; pp. 486–499. [Google Scholar]
- Frizzi, R.P.; Meyer, M.E.; Zhou, L.J. Full Scale Field Performance of Drilled Shafts Constructed Utilizing Bentonite and Polymer Slurries. In GeoSupport 2004: Drilled Shafts, Micropiling, Deep Mixing, Remedial Methods, and Specialty Foundation Systems; Geotechnical Special Publication: Orlando, FL, USA, 2004; pp. 573–586. [Google Scholar]
- Wan, Z.H.; Dai, G.L.; Gong, W.M. Full-scale load testing of two large-diameter drilled shafts in coral-reef limestone formations. Bull. Eng. Geol. Environ. 2018, 77, 1127–1143. [Google Scholar] [CrossRef]
- Randolph, M.F.; Wroth, C.P. An analysis of the vertical deformation of pile groups. Geotechnique 1979, 29, 423–439. [Google Scholar] [CrossRef]
- El-Kelesh, A.M.; Matsui, T.; Tokida, K. Field investigation into effectiveness of compaction grouting. J. Geotech. Geoenviron. Eng. 2012, 138, 451–460. [Google Scholar] [CrossRef] [Green Version]
- Fang, K.; Zhang, Z.M.; Zhang, Q.Q.; Liu, X.W. Prestressing effect evaluation for a grouted shaft: A case study. Proc. Inst. Civ. Eng.-Geotech. Eng. 2014, 167, 253–261. [Google Scholar] [CrossRef]
- Wen, L.; Kong, G.Q.; Li, Q.S.; Zhang, Z.D. Field Tests on Axial Behavior of Grouted Steel Pipe Micropiles in Marine Soft Clay. Int. J. Geomech. 2020, 20, 06020006. [Google Scholar] [CrossRef]
- Fiscina, L.F.G.; Barbosa, Y.; Albuquerque, P.J.R.D.; Carvalho, D.D. Field study on axial behavior of instrumented post-grouted steel pipe micropiles in tropical lateritic soil. Innov. Infrastruct. Solut. 2021, 6, 56. [Google Scholar] [CrossRef]
- Wan, Z.H.; Dai, G.L.; Gong, W.M. Field study on post-grouting effects of cast-in-place bored piles in extra-thick fine sand layers. Acta Geotech. 2019, 14, 1357–1377. [Google Scholar] [CrossRef]
- Xing, H.; Liu, L.L.; Luo, Y. Effects of Construction Technology on Bearing Behaviors of Rock-Socketed Bored Piles as Bridge Foundations. J. Bridge Eng. 2019, 24, 05019002. [Google Scholar] [CrossRef]
- Jianhang, L.; Xiaojuan, L.; Luchao, G.; Guoliang, D.; Weiguo, W. Conversion factor analysis of self-balanced loading test of cast-in-situ piles based on analogue test method. J. Southeast Univ. (Engl. Ed.) 2019, 35, 185–190. [Google Scholar]
- Osterberg, J. New device for load testing driven piles and drilled shafts separates friction and end bearing. In Proceedings of the 3rd International Conference on Piling and Deep Found, London, UK, 15–18 May 1989; pp. 421–428. [Google Scholar]
- The Traffic Professional Standards Compilation Group of People’s Republic of China. JT/T 738-2009 Static Loading Test of Foundation Pile-Self-Balanced Method; China Communications Press: Beijing, China, 2009. (In Chinese) [Google Scholar]
- Yu, C.H. Application and Development of Load Tests on Cast-in Place Bored Piles in Taiwan. In Proceedings of the 5th Deep Foundation Engineering Development Forum, Hangzhou, China, 25–28 March 2015; pp. 218–235. (In Chinese). [Google Scholar]
- Hsu, M.C.; Chen, C.H.; Koh, C.; Kwan, P.C.; Yu, C.H. Evaluation of base grouting for the bearing behavior of barrette piles socketed in a gravel formation. J. Chin. Inst. Eng. 2017, 40, 492–502. [Google Scholar] [CrossRef]
- Touma, F.T.; Reese, L.C. Behavior of bored piles in sand. J. Geotech. Eng.-ASCE. 1974, 100, 749–761. [Google Scholar] [CrossRef]
- Kamal, Z.A.; Arab, M.G.; Dif, A. Analysis of the arching phenomenon of bored piles in sand. Alex. Eng. J. 2016, 55, 2639–2645. [Google Scholar] [CrossRef]
- Dai, G.L.; Gong, W.M.; Zhao, X.L.; Zhou, X.Q. Static testing of pile-base post-grouting piles of the Suramadu Bridge. Geotech. Test. J. 2010, 34, 34–49. [Google Scholar]

















| Soil Layer | Layer Thickness (m) | w (%) | c (kPa) | φ (°) | Es (MPa) | γ (kN/m−3) | qs (kPa) | SPT (N) |
|---|---|---|---|---|---|---|---|---|
| 2-1 Silty soil | 2.8–3.2 | 21.8 | 25.6 | 10.6 | 6.86 | 19.5 | 33 | 7 |
| 2-2 Silty soil | 11.6–14.0 | 19.4 | 41.2 | 9.5 | 12.54 | 19.3 | 35 | 10 |
| 3-1 Silty sand | 1.6–2.9 | -- | -- | -- | -- | -- | 40 | 10 |
| 2-3 Silty soil | 4.1–4.3 | 22.6 | 44.5 | 14.0 | 10.07 | 19.0 | 45 | 11 |
| 3-2 Silty sand | 21.1–23.0 | -- | -- | -- | -- | -- | 63 | 14 |
| 2-4 Silty soil | 7.5–12.1 | 26.7 | 29.8 | 8.3 | 4.46 | 20.0 | 65 | 17 |
| 3-3 Silty sand | 3.2–10.7 | -- | -- | -- | -- | -- | 70 | 17 |
| Shaft No. | Shaft Diameter (m) | Shaft Length (m) | Sediment Thickness (mm) | Combined Grouting | Maximum Shaft Head Load (kN) | Maximum Shaft Head Displacement (mm) |
|---|---|---|---|---|---|---|
| TS1 | 1.8 | 61 | 42 | ungrouted | 22,428 | 73.21 |
| TS2 | 1.8 | 61 | 29 | ungrouted | 22,428 | 70.47 |
| TS3 | 1.8 | 57 | 53 | ungrouted | 20,196 | 67.15 |
| TS4 | 1.8 | 57 | 25 | ungrouted | 20,196 | 62.66 |
| TS1 | 1.8 | 61 | 42 | grouted | 38,561 | 54.73 |
| TS2 | 1.8 | 61 | 29 | grouted | 38,561 | 59.85 |
| TS3 | 1.8 | 57 | 53 | grouted | 36,019 | 50.50 |
| TS4 | 1.8 | 57 | 25 | grouted | 36,019 | 52.43 |
| Shaft No. | Combined Grouting | Maximum Load (kN) | Displacement (mm) | Percentage of Rebound (%) | ||
|---|---|---|---|---|---|---|
| Upward | Downward | Upward | Downward | |||
| TS1 | ungrouted | 11,000 | 14.64 | 92.72 | 13.92 | 13.88 |
| TS2 | ungrouted | 11,000 | 14.83 | 90.14 | 13.24 | 22.12 |
| TS3 | ungrouted | 10,000 | 11.65 | 85.69 | 15.80 | 11.32 |
| TS4 | ungrouted | 10,000 | 12.32 | 77.78 | 14.95 | 23.64 |
| TS1 | grouted | 18,133 | 27.33 | 38.39 | 31.94 | 20.15 |
| TS2 | grouted | 18,133 | 26.25 | 43.51 | 32.37 | 31.42 |
| TS3 | grouted | 17,000 | 19.91 | 35.92 | 31.46 | 21.55 |
| TS4 | grouted | 17,000 | 21.50 | 37.85 | 37.01 | 32.03 |
Publisher’s Note: MDPI stays neutral with regard to jurisdictional claims in published maps and institutional affiliations. |
© 2022 by the authors. Licensee MDPI, Basel, Switzerland. This article is an open access article distributed under the terms and conditions of the Creative Commons Attribution (CC BY) license (https://creativecommons.org/licenses/by/4.0/).
Share and Cite
Hu, T.; Dai, G.; Wan, Z.; Gong, W. Field Study on the Side Resistance-Softening and Resistance-Reinforcing Effects of Large-Diameter Combined Grouting Drilled Shafts. Sustainability 2022, 14, 6835. https://doi.org/10.3390/su14116835
Hu T, Dai G, Wan Z, Gong W. Field Study on the Side Resistance-Softening and Resistance-Reinforcing Effects of Large-Diameter Combined Grouting Drilled Shafts. Sustainability. 2022; 14(11):6835. https://doi.org/10.3390/su14116835
Chicago/Turabian StyleHu, Tao, Guoliang Dai, Zhihui Wan, and Weiming Gong. 2022. "Field Study on the Side Resistance-Softening and Resistance-Reinforcing Effects of Large-Diameter Combined Grouting Drilled Shafts" Sustainability 14, no. 11: 6835. https://doi.org/10.3390/su14116835
APA StyleHu, T., Dai, G., Wan, Z., & Gong, W. (2022). Field Study on the Side Resistance-Softening and Resistance-Reinforcing Effects of Large-Diameter Combined Grouting Drilled Shafts. Sustainability, 14(11), 6835. https://doi.org/10.3390/su14116835

