Characteristics and Assessment of Soil Heavy Metals Pollution in the Xiaohe River Irrigation Area of the Loess Plateau, China
Abstract
1. Introduction
2. Materials and Methods
2.1. Study Area
2.2. Soil Sampling and Analysis
2.3. Ecological Risk Assessment
2.3.1. Geo−Accumulation Index (Igeo)
2.3.2. Ecological Risk Assessment
2.4. Data Analysis
3. Results and Discussion
3.1. Characteristics of Soil Heavy Metals Contamination
3.1.1. Concentrations of Soil Heavy Metals
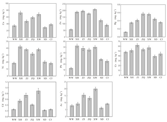
3.1.2. Spatial Distribution of Soil Heavy Metals
3.2. Assessment of Soil Heavy Metals Pollution
3.3. Ecological Risk Assessment of Soil Heavy Metals Pollution
4. Conclusions
Author Contributions
Funding
Institutional Review Board Statement
Informed Consent Statement
Data Availability Statement
Acknowledgments
Conflicts of Interest
References
- He, M.J.; Shen, H.R.; Li, Z.T.; Wang, L.; Wang, F.; Zhao, K.L.; Liu, X.M.; Wendroth, O.; Xu, J.M. Ten−year regional monitoring of soil−rice grain contamination by heavy metals with implications for target remediation and food safety. Environ. Pollut. 2019, 244, 431–439. [Google Scholar] [CrossRef] [PubMed]
- Hou, Q.Y.; Yang, Z.F.; Ji, J.F.; Yu, T.; Yuan, J.X. Effects of Soil pH and Mineral Nutrients on Cadmium Uptake by Rice Grain in the Pearl River Delta, China. Bull. Environ. Contam. Toxicol. 2021, 106, 99–108. [Google Scholar] [CrossRef] [PubMed]
- Zhang, P.Y.; Qin, C.Z.; Hong, X.; Kang, G.H.; Qin, M.Z.; Yang, D.; Pang, B.; Li, Y.Y.; He, J.J.; Dick, R.P. Risk assessment and source analysis of soil heavy metal pollution from lower reaches of Yellow River irrigation in China. Sci. Total Environ. 2018, 633, 1136–1147. [Google Scholar] [CrossRef] [PubMed]
- Sikdar, S.; Kundu, M. A Review on detection and abatement of heavy metals. Chembioeng Rev. 2017, 5, 18–29. [Google Scholar] [CrossRef]
- Chen, T.; Chang, Q.; Liu, J.; Clevers, J.G.P.W.; Kooistra, L. Identification of soil heavy metal sources and improvement in spatial mapping based on soil spectral information: A case study in northwest China. Sci. Total Environ. 2016, 565, 155–164. [Google Scholar] [CrossRef]
- Jing, R.; Wang, D.; Wang, C.; Gang, Z.; Zhang, H. Heavy metal contents, distribution, and prediction in a regional soil−wheat system. Sci. Total Environ. 2016, 544, 422–431. [Google Scholar]
- Ahmed, D.A.; Slima, D.F. Heavy metal accumulation by Corchorus olitorius L. irrigated with waste water. Environ. Sci. Pollut. Res. 2018, 25, 14996–15005. [Google Scholar] [CrossRef]
- Tang, W.Z.; Xia, Q.; Shan, B.Q.; Ng, J.C. Relationship of bioaccessibility and fractionation of cadmium in long−term spiked soils for health risk assessment based on four in vitro gastrointestinal simulation models. Sci. Total Environ. 2018, 631, 1582–1589. [Google Scholar] [CrossRef]
- Chan, M.W.H.; Hasan, K.A.; Balthazar–Silva, D.; Mirani, Z.A.; Asghar, M. Evaluation of heavy metal pollutants in salt and seawater under the influence of the Lyari River and potential health risk assessment. Mar. Pollut. Bull. 2021, 166, 112215. [Google Scholar] [CrossRef]
- Zhang, Y.N.; Chu, C.L.; Li, T.; Xu, S.G.; Liu, L.; Ju, M.T. A water quality management strategy for regionally protected water through health risk assessment and spatial distribution of heavy metal pollution in 3 marine reserves. Sci. Total Environ. 2017, 599–600, 721–731. [Google Scholar] [CrossRef]
- Bern, C.R.; Walton–Day, K.; Naftz, D. Improved enrichment factor calculations through principal component analysis: Examples from soils near breccia pipe uranium mines, Arizona, USA. Environ. Pollut. 2019, 248, 90–100. [Google Scholar] [CrossRef]
- Wood, J.L.; Tang, C.X.; Franks, A.E. Microbial associated plant growth and heavy metal accumulation to improve phytoextraction of contaminated soils. Soil Biol. Biochem. 2016, 103, 131–137. [Google Scholar] [CrossRef]
- Qiu, H.Y. Studies on the Potential Ecological Risk and Homology Correlation of Heavy Metal in the Surface Soil. J. Agric. Sci. 2010, 2, 194–201. [Google Scholar] [CrossRef][Green Version]
- Wu, Q.M.; Hu, W.Y.; Wang, H.F.; Liu, P.; Wang, X.K.; Huang, B. Spatial distribution, ecological risk and sources of heavy metals in soils from a typical economic development area, Southeastern China. Sci. Total Environ. 2021, 780, 146557. [Google Scholar] [CrossRef]
- Xie, W.Y.; Zhou, H.P.; Yang, Z.X.; Feng, Y.C.; Bai, X.; Du, Y.L. The spatial–temporal variation of soil organic matter and its influencing factors in Xiaohe River basin in eastern Loess Plateau, China. J. Agric. Resour. Environ. 2019, 36, 96–104. [Google Scholar]
- Yang, H.; Fan, G.S.; Ji, J.L. Nitrogen Distribution in Water of Xiaohe River Watershed and Its Relationship with Dissolved Oxygen. Bull. Soil Water Conserv. 2014, 34, 89–92. [Google Scholar]
- Li, Y.M. Shanxi River; Science Press: Beijing, China, 2004. [Google Scholar]
- Nuapia, Y.; Chimuka, L.; Cukrowska, E. Assessment of heavy metals in raw food samples from open markets in two African cities. Chemosphere 2017, 196, 339–346. [Google Scholar] [CrossRef] [PubMed]
- China Environmental Monitoring Station. Background Value of Soil Elements in China; China Environmental Press: Beijing, China, 1990. [Google Scholar]
- Jahromi, M.A.; Jamshidi−Zanjani, A.; Darban, A.K. Heavy metal pollution and human health risk assessment for exposure to surface soil of mining area: A comprehensive study. Environ. Earth. Sci. 2020, 79, 365. [Google Scholar] [CrossRef]
- Cui, J.; Zang, S.Y.; Zhai, D.L.; Wu, B. Potential ecological risk of heavy metals and metalloid in the sediments of Wuyuer River basin, Heilongjiang Province, China. Ecotoxicology 2014, 23, 589–600. [Google Scholar] [CrossRef]
- Hakanson, L. An ecological risk index for aquatic pollution control. A sedimentological approach. Water Res. 1980, 14, 975–1001. [Google Scholar]
- Fan, Y.F.; Chen, X.L.; Chen, Z.B.; Zhou, X.X.; Lu, X.; Liu, J. Pollution characteristics and source analysis of heavy metals in surface sediments of Luoyuan Bay, Fujian. Environ. Res. 2021, 203, 111911. [Google Scholar] [CrossRef] [PubMed]
- Mamat, Z.; Haximu, S.; Zhang, Z.Y.; Aji, R. An ecological risk assessment of heavy metal contamination in the surface sediments of Bosten Lake, northwest China. Environ. Sci. Pollut. Res. 2016, 23, 7255–7265. [Google Scholar] [CrossRef]
- CMEE (China Ministry of Ecology and Environment). Chinese Soil Environmental Quality: Risk Control Standard for Soil Contamination of Agricultural Land (GB 15618–2018); China Environmental Science Press: Beijing, China, 2018. [Google Scholar]
- Teng, Y.G.; Wu, J.; Lu, S.J.; Wang, Y.Y.; Jiao, X.D.; Song, L.T. Soil and soil environmental quality monitoring in China: A review. Environ. Int. 2014, 69, 177–199. [Google Scholar] [CrossRef]
- Qi, H.X.; Zhao, B.Q.; Li, L.H.; Chen, X.L.; An, J.; Liu, X.P. Heavy metal contamination and ecological risk assessment of the agricultural soil in Shanxi Province, China. R. Soc. Open Sci. 2020, 7, 200538. [Google Scholar] [CrossRef]
- Wang, C.; Yang, Z.F.; Zhong, C.; Ji, J.F. Temporal−spatial variation and source apportionment of soil heavy metals in the representative river−alluviation depositional system. Environ. Pollut. 2016, 216, 18–26. [Google Scholar] [CrossRef] [PubMed]
- Agrelli, D.; Caporale, A.G.; Adamo, P. Assessment of the bioavailability and speciation of heavy metal(loid)s and hydrocarbons for risk−based soil remediation. Agronomy 2020, 10, 1440. [Google Scholar] [CrossRef]
- Wang, X.; Wu, N.; Wu, X.; Geng, W.N.; Xu, X.Y. Effect of insect feces (Hermetia illucens) on rice growth and heavy metal migration from polluted soil to rice plant. Environ. Sci. Pollut. Res. 2022, 29, 14695–14704. [Google Scholar] [CrossRef] [PubMed]
- Jacques, D.; Simunek, J.; Mallants, D.; Genuchten, M. Modelling coupled water flow, solute transport and geochemical reactions affecting heavy metal migration in a podzol soil. Geoderma 2008, 145, 449–461. [Google Scholar] [CrossRef]
- Qin, G.; Niu, Z.; Yu, J.; Li, Z.; Xiang, P. Soil heavy metal pollution and food safety in China: Effects, sources and removing technology. Chemosphere 2021, 267, 129205. [Google Scholar] [CrossRef]
- Ji, Y.; Xu, J.; Zhu, L. Impact of a super typhoon on heavy metal distribution, migration, availability in agricultural soils. Environ. Pollut. 2021, 289, 117835. [Google Scholar] [CrossRef]
- Luo, W.; Wang, T.Y.; Lu, Y.L.; Giesy, J.P.; Shi, Y.J.; Zheng, Y.M.; Xing, Y.; Wu, G.H. Landscape ecology of the Guanting Reservoir, Beijing, China: Multivariate and geostatistical analyses of metals in soils. Environ. Pollut. 2007, 146, 567–576. [Google Scholar] [CrossRef]
- Yang, Q.Q.; Li, Z.Y.; Lu, X.N.; Duan, Q.N.; Huang, L.; Bi, J. A review of soil heavy metal pollution from industrial and agricultural regions in China: Pollution and risk assessment. Sci. Total Environ. 2018, 642, 690–700. [Google Scholar] [CrossRef]
- Shi, T.R.; Zhang, Y.Y.; Gong, Y.W.; Ma, J.; Wei, H.Y.; Wu, X.; Zhao, L.; Hou, H. Status of cadmium accumulation in agricultural soils across China (1975–2016): From temporal and spatial variations to risk assessment. Chemosphere 2019, 230, 136–143. [Google Scholar] [CrossRef] [PubMed]
- Lyu, L.G.; Wang, X.R.; Sui, X.Y.; Liu, Z.Y.; Yuan, Y.; Lin, C. Heavy Metal Pollution and Ecological Risk Assessment of Cultivated Land Soil in the Farming Areas of Coastal China: A Case Study of Donghai County, Jiangsu Province. Agric. Biotechnol. 2018, 7, 125–129. [Google Scholar]
- Wu, H.Y.; Yang, F.; Li, H.P.; Zhang, F.L.; Ba, Y.; Gui, L.X.; Sun, L.L.; Lv, T.C.; Wang, N.; Zhu, J.Y. Heavy metal pollution and health risk assessment of agricultural soil near a smelter in an industrial city in China. Int. J. Environ. Health Res. 2019, 30, 174–186. [Google Scholar] [CrossRef]
- Chen, H.Y.; Teng, Y.G.; Lu, S.J.; Wang, Y.Y.; Wang, J.S. Contamination features and health risk of soil heavy metals in China. Sci. Total Environ. 2015, 1, 143–153. [Google Scholar] [CrossRef] [PubMed]
- Hu, B.F.; Shao, S.A.; Ni, H.; Fu, Z.Y.; Hu, L.S.; Zhou, Y.; Min, X.X.; She, S.F.; Chen, S.C.; Huang, M.X.; et al. Current status, spatial features, health risks, and potential driving factors of soil heavy metal pollution in China at province level. Environ. Pollut. 2020, 266, 114961. [Google Scholar] [CrossRef]
- Jia, X.L.; Fu, T.T.; Hu, B.F.; Zhou, S.; Zhou, L.Q.; Zhu, Y.W. Identification of the potential risk areas for soil heavy metal pollution based on the source–sink theory. J. Hazard. Mater. 2020, 393, 122424. [Google Scholar] [CrossRef]
- Li, W.B.; Wang, D.Y.; Wang, Q.; Wang, Q.; Liu, S.H.; Zhu, Y.L.; Wu, W.J. Impacts from Land Use Pattern on Spatial Distribution of Cultivated Soil Heavy Metal Pollution in Typical Rural–Urban Fringe of Northeast China. Int. J. Environ. Res. Public Health 2017, 14, 336. [Google Scholar] [CrossRef]
- Huang, B.; Li, Z.W.; Li, D.Q.; Yuan, Z.J.; Chen, Z.L.; Huang, J.Q. Distribution characteristics of heavy metal(loid)s in aggregates of different size fractions along contaminated paddy soil profile. Environ. Sci. Pollut. Res. Int. 2017, 24, 23939–23952. [Google Scholar] [CrossRef]
- Nriagu, J.O. A history of global metal pollution. Science 1996, 272, 223. [Google Scholar] [CrossRef]
- Liu, M.X.; Han, Z.Q.; Yang, Y.Y. Accumulation, temporal variation, source apportionment and risk assessment of heavy metals in agricultural soils from the middle reaches of Fenhe River basin, North China. RSC Adv. 2019, 9, 21893–21902. [Google Scholar] [CrossRef] [PubMed]
- Zhang, X.X.; Zha, T.G.; Guo, X.P.; Meng, G.X.; Zhou, J.X. Spatial distribution of metal pollution of soils of Chinese provincial capital cities. Sci. Total Environ. 2018, 643, 1502–1513. [Google Scholar] [CrossRef] [PubMed]
- Bi, C.J.; Zhou, Y.; Chen, Z.L.; Jia, J.P.; Bao, X.Y. Heavy metals and lead isotopes in soils, road dust and leafy vegetables and health risks via vegetable consumption in the industrial areas of Shanghai, China. Sci. Total Environ. 2018, 619–620, 1349–1357. [Google Scholar] [CrossRef] [PubMed]



| Pollution Assessment | Ecological Risk Assessment | ||||
|---|---|---|---|---|---|
| Igeo | Pollution Degree | fi | RI | Potential Ecological Risk Degree | |
| Igeo ≤ 0 | uncontaminated | fi < 1 | RI < 80 | slight hazard | |
| 0 ≤ Igeo < 1 | slightly contaminated | 1 ≤ fi < 3 | 80 ≤ RI < 160 | moderate hazard | |
| 1 ≤ Igeo < 2 | slightly to moderately contaminated | 3 ≤ fi < 6 | 160≤ RI < 320 | considerable hazard | |
| 2 ≤ Igeo < 3 | moderately contaminated | fi ≥ 6 | 320 ≤ RI < 640 | heavy hazard | |
| 3 ≤ Igeo < 4 | Moderately to heavily contaminated | RI ≥ 640 | extreme hazard | ||
| 4 ≤ Igeo < 5 | heavily contaminated | ||||
| Igeo ≥ 5 | extremely contaminated | ||||
| Cu | Zn | Hg | Ni | Pb | Cr | Cd | As | |
|---|---|---|---|---|---|---|---|---|
| Mean | 43.22 | 146.47 | 0.26 | 38.07 | 37.21 | 57.16 | 0.41 | 13.08 |
| Median | 46.91 | 125.07 | 0.38 | 27.11 | 30.95 | 68.49 | 0.48 | 12.11 |
| Maximum | 85.02 | 261.34 | 0.64 | 52.02 | 66.03 | 78.51 | 1.08 | 22.91 |
| Minimum | 17.58 | 40.17 | 0.08 | 14.55 | 9.16 | 37.16 | 0.13 | 4.99 |
| Standard deviation | 16.44 | 42.44 | 0.12 | 6.47 | 14.06 | 12.81 | 0.25 | 4.27 |
| Coefficient of variation (CV) | 0.38 | 0.29 | 0.46 | 0.17 | 0.39 | 0.22 | 0.61 | 0.33 |
| Skewness | 3.91 | 4.58 | 4.25 | −0.94 | 2.47 | 0.98 | 3.88 | −1.11 |
| Kurtosis | 7.88 | 15.01 | 8.51 | 7.02 | 10.28 | 6.61 | 13.19 | 12.24 |
| Background value of Shanxi Province [19] | 22.9 | 63.5 | 0.023 | 29.9 | 14.7 | 55.3 | 0.102 | 9.10 |
| Soil environmental standard for agricultural land in China (grade II) [25] | 100 | 300 | 3.4 | 190 | 170 | 250 | 0.6 | 25 |
| Average value of soil heavy metals in China [26] | 23.0 | 74.0 | 0.065 | 27.0 | 27.0 | 61.0 | 0.097 | 11.0 |
| Enrichment factor (n = 42) | 1.89 | 2.31 | 11.31 | 1.27 | 2.53 | 1.03 | 4.02 | 1.44 |
| Cu | Zn | Hg | Ni | Pb | Cr | Cd | As | |
|---|---|---|---|---|---|---|---|---|
| Cu | 1.00 | |||||||
| Zn | 0.79 ** | 1.00 | ||||||
| Hg | 0.46 | 0.75 ** | 1.00 | |||||
| Ni | 0.89 ** | 0.92 ** | 0.46 | 1.00 | ||||
| Pb | 0.61 * | 0.98 ** | 0.70 ** | 0.95 ** | 1.00 | |||
| Cr | 0.61 * | 0.41 | 0.30 | 0.78 ** | 0.68 * | 1.00 | ||
| Cd | 0.72 * | 0.84 ** | 0.48 * | 0.85 ** | 0.79 ** | 0.86 ** | 1.00 | |
| As | 0.60 * | 0.73 ** | 0.61 * | 0.65 * | 0.66 * | 0.83 ** | 0.91 ** | 1.00 |
| Sampling Site | Igeo | |||||||
|---|---|---|---|---|---|---|---|---|
| Cu | Zn | Hg | Ni | Pb | Cr | Cd | As | |
| WW | 2.15 | −0.86 | 2.61 | −2.85 | −0.82 | −3.61 | 2.48 | −1.26 |
| XH | 4.01 | 3.84 | 3.02 | 2.03 | 4.87 | −2.78 | 3.24 | −0.47 |
| ZJ | 2.08 | 2.81 | 2.78 | 1.48 | 4.55 | 1.11 | 4.45 | 2.12 |
| ZQ | 3.55 | 3.67 | 3.41 | 0.54 | 4.50 | −3.24 | 3.18 | 1.73 |
| XW | 3.02 | 3.81 | 3.65 | 1.84 | 4.64 | −3.18 | 5.84 | 3.08 |
| SD | 1.88 | 2.66 | 2.86 | −2.47 | 2.44 | −4.15 | 1.98 | −2.04 |
| CJ | 1.72 | 2.29 | 2.12 | −2.49 | 2.16 | −3.57 | 2.14 | −0.55 |
| Sampling Site | fi | |||||||
|---|---|---|---|---|---|---|---|---|
| Cu | Zn | Hg | Ni | Pb | Cr | Cd | As | |
| WW | 1.51 | 0.90 | 5.22 | 0.62 | 0.87 | 0.86 | 2.45 | 0.86 |
| XH | 3.16 | 2.96 | 15.22 | 1.41 | 3.54 | 0.92 | 5.29 | 1.01 |
| ZJ | 2.07 | 3.09 | 17.83 | 1.27 | 3.24 | 1.12 | 7.25 | 1.70 |
| ZQ | 2.55 | 2.77 | 24.78 | 1.06 | 3.07 | 0.96 | 4.02 | 1.45 |
| XW | 2.97 | 3.28 | 24.35 | 1.27 | 3.39 | 1.03 | 8.73 | 2.18 |
| SD | 1.27 | 1.97 | 19.13 | 0.67 | 1.91 | 0.71 | 2.16 | 0.67 |
| CJ | 1.66 | 1.41 | 15.65 | 0.61 | 1.71 | 0.80 | 2.45 | 1.01 |
| Mean | 2.17 | 2.34 | 17.45 | 0.99 | 2.54 | 0.91 | 4.62 | 1.27 |
| Sampling Site | RI | Pollution Assessment | ||||||||
|---|---|---|---|---|---|---|---|---|---|---|
| Cu | Zn | Hg | Ni | Pb | Cr | Cd | As | |||
| WW | 7.54 | 0.90 | 208.70 | 3.09 | 4.37 | 1.73 | 73.53 | 8.62 | 308.47 | considerable hazard |
| XH | 15.82 | 2.96 | 608.70 | 7.05 | 17.72 | 1.85 | 158.82 | 10.05 | 822.97 | extreme hazard |
| ZJ | 10.37 | 3.09 | 713.04 | 6.36 | 16.21 | 2.24 | 217.65 | 16.97 | 985.93 | extreme hazard |
| ZQ | 12.75 | 2.77 | 991.30 | 5.30 | 15.35 | 1.92 | 120.59 | 14.55 | 1164.53 | extreme hazard |
| XW | 14.83 | 3.28 | 973.91 | 6.36 | 16.97 | 2.06 | 261.76 | 21.84 | 1301.01 | extreme hazard |
| SD | 6.37 | 1.97 | 765.22 | 3.37 | 9.57 | 1.41 | 64.71 | 6.75 | 859.37 | extreme hazard |
| CJ | 8.32 | 1.41 | 626.09 | 3.04 | 8.55 | 1.60 | 73.53 | 10.05 | 732.59 | extreme hazard |
| Mean | 10.86 | 2.34 | 698.14 | 4.94 | 12.68 | 1.83 | 138.66 | 12.69 | 882.12 | extreme hazard |
Publisher’s Note: MDPI stays neutral with regard to jurisdictional claims in published maps and institutional affiliations. |
© 2022 by the authors. Licensee MDPI, Basel, Switzerland. This article is an open access article distributed under the terms and conditions of the Creative Commons Attribution (CC BY) license (https://creativecommons.org/licenses/by/4.0/).
Share and Cite
Meng, Z.; Liu, T.; Bai, X.; Liang, H. Characteristics and Assessment of Soil Heavy Metals Pollution in the Xiaohe River Irrigation Area of the Loess Plateau, China. Sustainability 2022, 14, 6479. https://doi.org/10.3390/su14116479
Meng Z, Liu T, Bai X, Liang H. Characteristics and Assessment of Soil Heavy Metals Pollution in the Xiaohe River Irrigation Area of the Loess Plateau, China. Sustainability. 2022; 14(11):6479. https://doi.org/10.3390/su14116479
Chicago/Turabian StyleMeng, Zhilong, Ting Liu, Xinru Bai, and Haibin Liang. 2022. "Characteristics and Assessment of Soil Heavy Metals Pollution in the Xiaohe River Irrigation Area of the Loess Plateau, China" Sustainability 14, no. 11: 6479. https://doi.org/10.3390/su14116479
APA StyleMeng, Z., Liu, T., Bai, X., & Liang, H. (2022). Characteristics and Assessment of Soil Heavy Metals Pollution in the Xiaohe River Irrigation Area of the Loess Plateau, China. Sustainability, 14(11), 6479. https://doi.org/10.3390/su14116479
