Which Is the Best Supply Chain Policy: Carbon Tax, or a Low-Carbon Subsidy?
Abstract
:1. Introduction
- Which policy’s supply chain decision-making model is the best, and is there a Nash equilibrium solution?
- Which policy’s supply chain decision-making model leads to the greatest carbon emission reduction?
- Is there a link between the carbon tax coefficient and the rate of carbon emission reduction, manufacturer income, and subsidy rate?
2. Theoretical Analysis and Development of Model
2.1. Supply Chain Decision Model Based on Pure Carbon Tax Policy
- (1)
- Parameter description.
- (2)
- Profit model of supply chain members without the carbon tax mechanism.
- (3)
- Profit model of the supply chain members under the carbon tax mechanism.
2.2. Supply Chain Decision Model Based on Pure Low-Carbon Subsidy Policy
- (1)
- Model assumptions.
- (2)
- Supply chain decision model without low-carbon subsidy.
- (3)
- Supply chain decision model under low-carbon subsidy.
- (4)
- Compare the supply chain decision-making model with or without low-carbon subsidies.
- (5)
- Analysis of carbon emissions reduction and member income of low-carbon subsidies.
2.3. A Supply Chain Optimal Decision-Making Model Based on Carbon Taxes and Low-Carbon Subsidies
- (1)
- A supply chain decision-making model under linear carbon tax and low-carbon subsidies is established.
- (2)
- Model solving and analysis.
3. Numerical Simulation
3.1. Supply Chain Decision Simulation Based on Pure Carbon Tax
3.2. Supply Chain Decision Simulation Based on Pure Low-Carbon Subsidy Policy
- (1)
- Analysis of the impact of carbon emissions reduction rate on member income without subsidy.
- (2)
- Analysis of influencing factors of low-carbon subsidy strategy.
- (3)
- Analysis of influencing factors of carbon emissions reduction.
- (4)
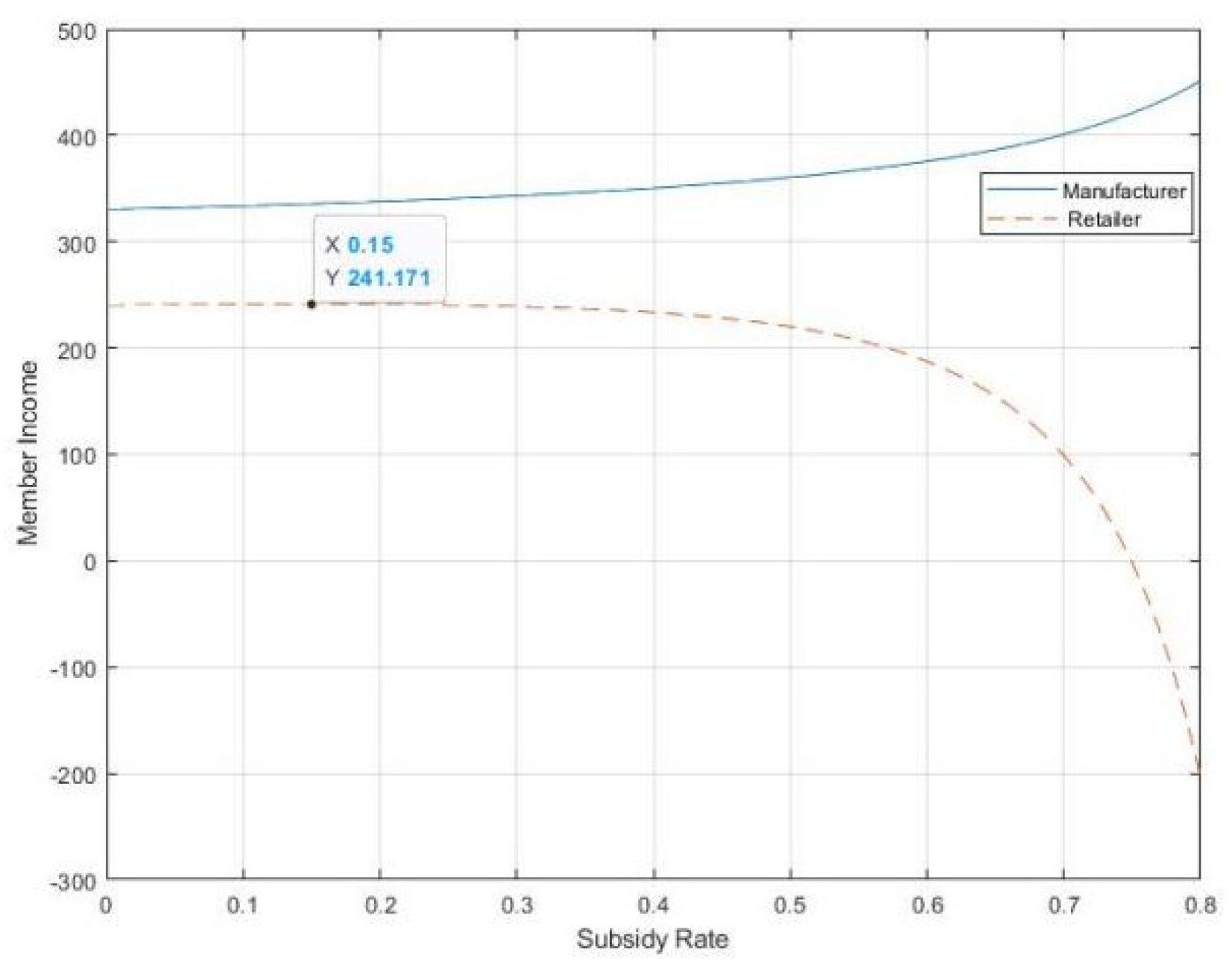
- Analysis of the impact of low-carbon subsidies on member income.
- (5)
- Analysis of carbon emissions and member income at decision-making equilibrium point.
3.3. Supply Chain Optimal Decision Simulation Based on Carbon Tax and Low-Carbon Subsidy Policy
- (1)
- The influence of carbon tax coefficient on subsidy rate.
- (2)
- The impact of carbon tax on carbon emission reduction.
- (3)
- The effect of marginal profit distribution on subsidy rate under carbon tax.
- (4)
- Impact of carbon tax on member earnings.
- (5)
- Carbon reduction and member benefit analysis.
4. Discussion
5. Conclusions
Author Contributions
Funding
Data Availability Statement
Acknowledgments
Conflicts of Interest
References
- Ding, S.T.; Zhang, M.; Song, M.; Song, Y. Exploring China’s carbon emissions peak for different carbon tax scenarios. Energy Policy 2019, 129, 1245–1252. [Google Scholar] [CrossRef]
- Tang, W.G.; Li, H.T.; Chen, J. Optimizing carbon taxation target and level: Enterprises, consumers, or both? J. Clean. Prod. 2021, 282, 124515. [Google Scholar] [CrossRef]
- Chang, N.; Han, C.H. Cost-push impact of taxing carbon in China: A price transmission perspective. J. Clean. Prod. 2020, 248, 119194. [Google Scholar] [CrossRef]
- Wang, M.Y.; Li, Y.M.; Li, M.M.; Shi, W.Q.; Quan, S.P. Will carbon tax affect the strategy and performance of low-carbon tech nology sharing between enterprises? J. Clean. Prod. 2019, 210, 724–737. [Google Scholar] [CrossRef]
- Yu, X.; Xu, Y.; Sun, M.; Zhang, Y. The Green-Innovation-Inducing Effect of a Unit Progressive Carbon Tax. Sustainability 2021, 13, 11708. [Google Scholar] [CrossRef]
- Wang, J.; Huang, X. The Optimal Carbon Reduction and Return Strategies under Carbon Tax Policy. Sustainability 2018, 10, 2471. [Google Scholar] [CrossRef] [Green Version]
- Tian, Y.; Ma, J.H.; Wang, Z.X.; Xie, L. Complexity and Control of Multichannel Supply Chain Under Carbon Tax Policy. Int. J. Bifurc. Chaos 2021, 31, 2150092. [Google Scholar] [CrossRef]
- Hu, Z.H.; Wang, S.W. An Evolutionary Game Model Between Governments and Manufacturers Considering Carbon Taxes, Subsidies, and Consumers’ low-carbon Preference. Dyn. Games Appl. 2022, 12, 513–551. [Google Scholar] [CrossRef]
- Wang, W.; Wang, Y.; Zhang, X.; Zhang, D. Effects of Government Subsidies on Production and Emissions Reduction Decisions under Carbon Tax Regulation and Consumer low-carbon Awareness. Int. J. Environ. Res. Public Health 2021, 18, 10959. [Google Scholar] [CrossRef]
- Zhang, S.Y.; Wang, C.X.; Panos, M.P. Co-evolutionary game of manufacturers’ abatement behavior under carbon tax-subsidy policy. Int. J. Low Carbon Technol. 2021, 16, 1217–1228. [Google Scholar] [CrossRef]
- Yi, Y.Y.; Li, J.X. The effect of governmental policies of carbon taxes and energy-saving subsidies on enterprise decisions in a two-echelon supply chain. J. Clean. Prod. 2018, 181, 675–691. [Google Scholar]
- Du, S.F.; Zhu, J.A.; Jiao, H.F. Game-theoretical analysis for supply chain with consumer preference to low-carbon. Int. J. Prod. Res. 2015, 53, 3753–3768. [Google Scholar] [CrossRef]
- Liu, M.L.; Li, Z.H.; Anwar, S.; Zhang, Y. Supply chain carbon emission reductions and coordination when consumers have a strong preference for low-carbon products. Environ. Sci. Pollut. Res. 2021, 28, 19969–19983. [Google Scholar] [CrossRef] [PubMed]
- Wu, D.; Yang, Y. The low-carbon Supply Chain Coordination Problem with Consumers’ low-carbon Preference. Sustainability 2020, 12, 3591. [Google Scholar] [CrossRef]
- Sun, L.C.; Cao, X.X.; Majed, A.; Zhang, J.J.; Farhad, T.-H.; Muhammad, M. Carbon emission transfer strategies in supply chain with lag time of emission reduction technologies and low-carbon preference of consumers. J. Clean. Prod. 2020, 264, 121664. [Google Scholar] [CrossRef]
- Xie, J.P.; Li, J.; Liang, L.; Fang, X.; Yang, G.; Wei, L.H. Contracting Emissions Reduction Supply Chain Based on Market low-carbon Preference and Carbon Intensity Constraint. Asia Pac. J. Oper. Research 2020, 37, 2050003. [Google Scholar] [CrossRef]
- Ji, J.N.; Zhang, Z.Y.; Yang, L. Carbon emission reduction decisions in the retail-/dual-channel supply chain with consumers’ preference. J. Clean. Prod. 2017, 141, 852–867. [Google Scholar] [CrossRef]
- Santanu, K.G.; Mijanur, R.S.; Milan, C. Analyzing a stochastic dual-channel supply chain under consumers’ low-carbon preferences and cap-and-trade regulation. Comput. Ind. Eng. 2020, 149, 106765. [Google Scholar]
- Chen, X.; Zhang, H.; Zhang, M.; Chen, J. Optimal decisions in a retailer Stackelberg supply chain. Int. J. Prod. Econ. 2017, 187, 260–270. [Google Scholar] [CrossRef]
- Fang, D.; Ren, Q. Optimal Decision in a Dual-Channel Supply Chain under Potential Information Leakage. Symmetry 2019, 11, 308. [Google Scholar] [CrossRef] [Green Version]
- Luo, Y.; Wei, Q.; Ling, Q.H.; Huo, B.F. Optimal decision in a green supply chain: Bank financing or supplier financing. J. Clean. Prod. 2020, 271, 122090. [Google Scholar] [CrossRef]
- Su, C.; Liu, X.; Du, W. Green Supply Chain Decisions Considering Consumers’ low-carbon Awareness under Different Government Subsidies. Sustainability 2020, 12, 2281. [Google Scholar] [CrossRef] [Green Version]
- Wu, Y.; Wang, J.; Chen, L. Optimization and Decision of Supply Chain Considering Negative Spillover Effect and Service Competition. Sustainability 2021, 13, 2320. [Google Scholar] [CrossRef]
- Ke, H.; Wu, Y.; Huang, H.; Chen, Z.Y. Optimal pricing decisions for a closed-loop supply chain with retail competition under fuzziness. Orig. Artic. 2018, 69, 1468–1482. [Google Scholar] [CrossRef]
- Cao, Q.N.; Tang, Y.Z.; Perera, S.; Zhang, J.Q. Manufacturer- versus retailer-initiated bundling: Implications for the supply chain. Transp. Res. Part E Logist. Transp. Rev. 2022, 157, 102552. [Google Scholar] [CrossRef]
- Vipin, B.; Amit, R.K. Whole sale price versus buyback: A comparison of contracts in a supply chain with a behavioral retailer. Comput. Ind. Eng. 2021, 162, 107689. [Google Scholar] [CrossRef]
- Zhao, X.; Niu, T. Impacts of horizontal mergers on dual-channel supply chain. J. Ind. Manag. Optim. 2022, 18, 655–680. [Google Scholar] [CrossRef]
- Lou, Y.Q.; Feng, L.P.; He, S.G.; He, Z.; Zhao, X.K. Logistics service outsourcing choices in a retailer-led supply chain. Transp. Res. Part E Logist. Transp. Rev. 2020, 141, 101944. [Google Scholar] [CrossRef]
- Yang, L.; Ji, J.N.; Wang, M.Z.; Wang, Z.Z. The manufacturer’s joint decisions of channel selections and carbon emission reductions under the cap-and-trade regulation. J. Clean. Prod. 2018, 193, 506–523. [Google Scholar] [CrossRef]
- Wang, Y.J.; Chen, W.D.; Liu, B.Y. Manufacturing/remanufacturing decisions for a capital-constrained manufacturer considering carbon emission cap and trade. J. Clean. Prod. 2017, 140, 1118–1128. [Google Scholar] [CrossRef]
- Fukui, H.; Miyoshi, C. The impact of aviation fuel tax on fuel consumption and carbon emissions: The case of the US airline industry. Transp. Res. Part D Transp. Environ. 2017, 50, 234–253. [Google Scholar] [CrossRef] [Green Version]
- Reanos, M.A.T.; Lynch, M.A. Measuring carbon tax incidence using a fully flexible demand system. Vertical and horizontal effects using Irish data. Energy Policy 2022, 160, 112682. [Google Scholar] [CrossRef]
- Wei, S.D. A sequential game analysis on carbon tax policy choices in open economies: From the perspective of carbon emission responsibilities. J. Clean. Prod. 2021, 283, 124588. [Google Scholar] [CrossRef]
- Zhai, M.Y.; Huang, G.H.; Liu, L.R.; Guo, Z.Q.; Su, S. Segmented carbon tax may significantly affect the regional and national economy and environment-a CGE-based analysis for Guangdong Province. Energy 2021, 231, 120958. [Google Scholar] [CrossRef]
- Xia, L.J.; Hao, W.Q.; Qin, J.J.; Ji, F.; Yue, X.H. Carbon emission reduction and promotion policies considering social preferences and consumers’ low-carbon awareness in the cap-and-trade system. J. Clean. Prod. 2018, 195, 1105–1124. [Google Scholar] [CrossRef]
- Pan, X.Y.; Pan, X.F.; Wu, X.H.; Jiang, L.; Guo, S.C.; Feng, X.H. Research on the heterogeneous impact of carbon emission reduction policy on R&D investment intensity: From the perspective of enterprise’s ownership structure. J. Clean. Prod. 2021, 328, 129532. [Google Scholar]
- Yu, J.J.; Shi, W.J.; Fang, Y.L. Optimization of carbon emission reduction paths in the low-carbon power dispatching process. Renew. Energy 2022, 188, 425–436. [Google Scholar]
- Yu, J.J.; Shi, W.J.; Fang, Y.L. Construction of low-carbon Supply Chain Profit Model Considering Consumer Preference. Procedia CIRP 2019, 83, 690–693. [Google Scholar] [CrossRef]
- Wang, Y.J.; Wang, F. Production and emissions reduction decisions considering the differentiated carbon tax regulation across new and remanufactured products and consumer preference. Urban Clim. 2021, 40, 100992. [Google Scholar] [CrossRef]
- Li, X.Y. Local government decision-making competition and regional carbon emissions: Experience evidence and emission reduction measures. Sustain. Energy Technol. Assess. 2022, 50, 101800. [Google Scholar] [CrossRef]
- He, S.Y.; Yin, J.H.; Zhang, B.; Wang, Z.H. How to upgrade an enterprise’s low-carbon technologies under a carbon tax: The trade-off between tax and upgrade fee. Appl. Energy 2018, 227, 564–573. [Google Scholar] [CrossRef]
- Deng, Y.L.; You, D.M.; Zhang, Y. Research on improvement strategies for low-carbon technology innovation based on a differential game: The perspective of tax competition. Sustain. Prod. Consum. 2021, 26, 1046–1061. [Google Scholar] [CrossRef]
- Zhou, D.Q.; An, Y.F.; Zha, D.L.; Wu, F.; Wang, Q.W. Would an increasing block carbon tax be better? A comparative study within the Stackelberg Game framework. J. Environ. Manag. 2019, 235, 328–341. [Google Scholar] [CrossRef] [PubMed]
- Yu, P. Carbon tax/subsidy policy choice and its effects in the presence of interest groups. Energy Policy 2020, 147, 111886. [Google Scholar] [CrossRef]
- Xu, C.Y.; Wang, C.X.; Huang, R. I mpacts of horizontal integration on social welfare under the interaction of carbon tax and green subsidies. Int. J. Prod. Econ. 2020, 222, 107506. [Google Scholar] [CrossRef]











| Parameter | Parameter Interpretation |
|---|---|
| w | Wholesale price of products ordered by retailers |
| p | Price a customer pays for the product |
| c | Cost per unit product produced by the manufacturer |
| d | Market demand |
| Earnings of manufacturers and retailers | |
| e | Carbon emissions per unit product produced by the manufacturer |
| Linear carbon tax coefficient | |
| t | Carbon tax levied on enterprises by the government |
| λ | Subsidy rate |
| No Low-Carbon Subsidies | Low-Carbon Subsidies | |
|---|---|---|
| Optimal subsidy rate | — | 0.1429 |
| Carbon reduction rate | 0.1833 | 0.2139 |
| Manufacturer’s revenue | 330.2500 | 335.2934 |
| Retailer revenue | 240.326 | 241.1736 |
| η | Carbon Reduction Rate | Manufacturer’s Revenue | Retailer Revenue |
|---|---|---|---|
| 0.01 | 0.2142 | 336.6795 | 238.8605 |
| 0.02 | 0.2144 | 335.7147 | 238.9002 |
| 0.03 | 0.2147 | 334.7500 | 238.9400 |
| 0.04 | 0.2150 | 333.7855 | 238.9800 |
| 0.05 | 0.2153 | 332.8210 | 239.0200 |
| 0.06 | 0.2156 | 331.8567 | 239.0602 |
| 0.07 | 0.2158 | 330.8924 | 239.1004 |
| 0.08 | 0.2161 | 329.9283 | 239.1407 |
| 0.09 | 0.2164 | 328.9644 | 239.1812 |
| …… | …… | …… | …… |
| 0.34 | 0.2238 | 304.9051 | 240.2270 |
| 0.35 | 0.2242 | 303.9444 | 240.2702 |
| 0.36 | 0.2245 | 302.9838 | 240.3136 |
| 0.37 | 0.2248 | 302.0234 | 240.3571 |
| 0.38 | 0.2251 | 301.0631 | 240.4007 |
| …… | …… | …… | …… |
| 0.54 | 0.2303 | 285.7177 | 241.1141 |
| 0.55 | 0.2306 | 284.7598 | 241.1597 |
| 0.56 | 0.2309 | 283.8021 | 241.2054 |
| 0.57 | 0.2313 | 282.8445 | 241.2513 |
| …… | …… | …… | …… |
| 4.31 | 0.6046 | −47.4272 | 267.2147 |
| 4.32 | 0.6076 | −48.1153 | 267.2200 |
| 4.33 | 0.6106 | −48.8006 | 267.2222 |
| 4.34 | 0.6137 | −49.4833 | 267.2210 |
| …… | …… | …… | …… |
| 5.07 | 0.9809 | −89.1959 | 242.6019 |
| 5.08 | 0.9893 | −89.5556 | 241.4796 |
| 5.09 | 0.9978 | −89.9091 | 240.7563 |
| 5.10 | 1.0064 | −90.2563 | 240.3264 |
| 5.11 | 1.0152 | −90.5974 | 237.8303 |
| …… | …… | …… | …… |
Publisher’s Note: MDPI stays neutral with regard to jurisdictional claims in published maps and institutional affiliations. |
© 2022 by the authors. Licensee MDPI, Basel, Switzerland. This article is an open access article distributed under the terms and conditions of the Creative Commons Attribution (CC BY) license (https://creativecommons.org/licenses/by/4.0/).
Share and Cite
Wu, H.; Sun, Y.; Su, Y.; Chen, M.; Zhao, H.; Li, Q. Which Is the Best Supply Chain Policy: Carbon Tax, or a Low-Carbon Subsidy? Sustainability 2022, 14, 6312. https://doi.org/10.3390/su14106312
Wu H, Sun Y, Su Y, Chen M, Zhao H, Li Q. Which Is the Best Supply Chain Policy: Carbon Tax, or a Low-Carbon Subsidy? Sustainability. 2022; 14(10):6312. https://doi.org/10.3390/su14106312
Chicago/Turabian StyleWu, Hanbo, Yaxin Sun, Yutong Su, Ming Chen, Hongxia Zhao, and Qi Li. 2022. "Which Is the Best Supply Chain Policy: Carbon Tax, or a Low-Carbon Subsidy?" Sustainability 14, no. 10: 6312. https://doi.org/10.3390/su14106312
APA StyleWu, H., Sun, Y., Su, Y., Chen, M., Zhao, H., & Li, Q. (2022). Which Is the Best Supply Chain Policy: Carbon Tax, or a Low-Carbon Subsidy? Sustainability, 14(10), 6312. https://doi.org/10.3390/su14106312
