Abstract
Stakeholders need to participate in the carbon abatement activities to achieve carbon peak and carbon neutralization. This paper developed a system of evaluation indices on carbon emission reduction of stakeholders to elucidate the interplaying relationships among stakeholders in carbon emission reduction by using the structural equation model. The analysis showed that (1) the five stakeholders affecting carbon-reduction intensity are ranked in the following descending order: manufacturing enterprises, government, energy supply industry, R&D organizations, and financial institutions, while (2) stakeholders positively affect manufacturing enterprises and government. Notably, manufacturing enterprises exhibit the greater positive influence on carbon-reduction intensity. Finally, (3) the study results indicated how to build the co-governance mechanism by stakeholders to reduce carbon emissions. Overall, this study provided a theoretical support for the stakeholders of carbon emission reduction to clarify their roles, cooperation, and participation in carbon emission reduction, thereby realizing their own interests, while guiding stakeholders toward the carbon emission reduction.
1. Introduction
The Chinese government has prioritized the goals for achieving carbon peak by 2030 and carbon neutralization by 2060. Nowadays, it is imperative for China to reduce carbon emissions for achieving these goals.
As a developing country, China is currently facing great challenges in achieving carbon emission reduction. Carbon emissions are intrinsically linked to economic externality, thereby urging stakeholders to participate in the governance of research and technology activities [,]. To this end, it is necessary to establish a co-governance mechanism of stakeholders, but some related phenomena remain poorly studied to date. For instance, the management mode is administrative, with some severe conflicts of interest with other stakeholders within. Due to this, certain stakeholders lack the motive to invest [,,].
In practice, carbon emission reduction has become an important policy of economic and societal development in China for the future. However, we find there are some aspects that have not received enough attention and should be considered by survey. For example, the carbon emission reduction market is imperfect; the products are not popular. Carbon emission reduction is poly-department, and conflicts of interest threaten to weaken environmental policies. The management mode is administrative, and there are serious conflicts of interest with other stakeholders. Technical standards of carbon emission reduction are falling behind as the enterprise lacks the motive to invest, and research institutes do not have enough drive for innovation. Furthermore, carbon emission reduction has extensive promotion but limited influence; the work of intermediaries is insufficient [,,,].
Therefore, the key is to build a co-governance mechanism that develops coordination and participation among stakeholders and guide them to build partnerships.
This study elucidates the interplaying relationships among stakeholders in carbon emission reduction by developing the co-governance mechanism of coordinating and participating of stakeholders, aimed toward improvement of the carbon abatement efficiency.
2. Literature Review
The intense discussion about how to achieve the goals of carbon emission reduction is ongoing, with some different findings and advice being reported. Particularly, some studies described policies, regulations, and experiences on how to achieve carbon emission reduction in developing countries [,,,,]. These activities included motivating the public to save energy and encouraging them to develop renewable energy through tax policy, thereby promoting energy efficient products by cash rebate, tax concessions, preferential loan, etc. [,]. Simultaneously, these countries follow restrictive policies by setting new taxes regarding aspects such as environmental contamination, carbon, and energy consumption [,,]. Another policy is represented by the market entry certification system. This policy enforces that products will not be permitted to enter the market if they cannot meet the lowest value of energy efficiency [,,,].
The existing studies indicate that a participator of carbon emission reduction is enough. However, the literature about the multi-analysis benefits and impetus of stakeholders is inadequate, whereas (a) the stakeholder theory applications, (b) studies about examining the interaction between behavioral subject/policy of carbon emission reduction, and (c) research on the interaction function and/or structural relation; are insufficient as well. All these aspects are crucial for achieving the goals of carbon emission reduction, which can be based on the cooperative governance of stakeholders [,,,].
The production background of the stakeholder theory stipulates that countries are pursuing the shareholder primacy theory []. After the 1980s, this theory has become increasingly impactful, thereby affecting the enterprise governance model, and bolstering the management mode transformation of enterprise [,,,,].
In practice, the goal of stakeholder management is to promote stakeholders to further cooperate and participate in management, which should broaden the resulted benefits. Stakeholder theory is in line with the nature of an enterprise as a social being, as this theory can lead to the general balance of interest of various stakeholders, while also promoting the enterprise management from stakeholders’ unilateral governance to stakeholder common governance [,,]. Simply put, this theory has become an effective analysis tool.
However, the fundamental question of “Who are the stakeholders of carbon emission reduction?” arises. Generally, stakeholders of carbon emission reduction are considered as a group or an organization who can affect China’s goals of carbon emission reduction including: government, enterprises, institutional investors, financial institutions, and so on [,,,]. This literature analysis suggests that the stakeholders interested in reducing carbon emissions in China are composed of the government, manufacturing enterprises, R&D organizations, energy industry, and financial institutions [,,,].
Moreover, it is challenging to deal with the relation and role of stakeholders. First, many previous works have focused on the achievements of normative and descriptive studies. Consequently, there is a lack of lessons, which can be learned from empirical studies, quantification or implication studies based on the analysis of structure relationship. Thus, the credibility and operability of certain achievements are weakened [,,,]. Second, thus far, the stakeholder theory has not yet established its own robust theoretical basis and framework on the role they play in the carbon emission reduction, how stakeholders take part in the co-governance of carbon emission reduction, and how to coordinate them [,,,]. To this end, we will need to develop and perfect this theory system.
Historically, China’s carbon emission control experienced the singlet governance of administrative control, order orientation, and dual governance model of administration, and has been slowly shifting toward market-based tools. Nowadays, carbon emission control in China has surpassed the capacity of some stakeholders [,]. This challenge urges finding different stakeholders to participate in cooperation. It is reasonable to suggest the co-governance mechanism of carbon emission reduction based on the stakeholder theory. In particular, one can develop the process, which guides multiple stakeholders to participate in governance, pursue reasonable interests, realize win-win scenarios, and then form a positive interaction and harmonious relations.
This study utilizes the stakeholder theory to understand how to build the co-governance mechanism by stakeholders toward reduction of carbon emissions. This study surmises that the main aim of the co-governance theory by stakeholders of carbon emission reduction is to understand how to promote stakeholders, to involve and interactively cooperate in carbon emission reduction practice based on all the stakeholders who share the common understanding of public interests and ecological environment. Such a model can effectively assimilate the idea about governmental leadership, where enterprises can be deemed as principal actors, namely, performers while everyone else are participators.
Conceptually, this study aims to contribute to carbon reduction-related research in several aspects. First, this study elucidates the interplay relationship among stakeholders in carbon emission reduction by using the structural equation model, thereby laying the theoretical foundation for the stakeholders of carbon emission reduction. In this way, their own roles, cooperation, and participation in carbon emission reduction are clarified, thereby augmenting their own interests, and guiding the stakeholders to build partnerships. Second, this study suggests the co-governance mechanism of coordination and participation of stakeholders in policy formulation, which can facilitate China’s progress toward achieving carbon peak goals by 2030 and carbon neutralization by 2060.
3. Research Design
3.1. Construction of Evaluation Indicators System
First, indicator selection is described in this section. As mentioned in Section 2, the literature review indicates that the stakeholders of carbon emission reduction in China includes the government, manufacturing enterprises, R&D organizations, energy industry, and financial institutions. They have a joint interest in carbon emission reduction, which imposes great responsibility and obligation on them. This aspect also significantly affects the prospects of carbon emission reduction goals in China [,,].
Previous studies [,,,,,] suggested that the government, manufacturing enterprises, R&D organizations, energy industry, financial institutions, and carbon-reduction intensity can be considered as latent variables. Therefore, one can determine responsibilities and obligations for carbon emission reduction, the preferable positions, power, strategy, urgency in achieving the targets of carbon emission reduction, interest requirement, input desire, and the extent of support. Such determination is possible based on the observed variables of every stakeholder. Consequently, the level of carbon emission reduction targets, their implementation, urgency, and significance to achieve these targets can all be determined as the observed variables of carbon-reduction intensity change according to stakeholders’ motives and behaviors and interaction between the stakeholders and carbon-reduction intensity.
In addition, we held interviews and expert discussions to solicit opinions in order to scientifically design the evaluation indicators.
The primary evaluation indicators, which can reflect all the previous aspects of carbon reduction goals, was developed in this study (see the details in Table 1).

Table 1.
Evaluation Indexes System on carbon emission reduction.
This study utilized the exploratory factor analysis to evaluate the primary selection indicator system from a statistical perspective, thereby shedding the light on their reliability. The reliability test and the exploratory factor analysis of evaluation indicators are described below. Within this study, a questionnaire was designed which evaluates the reasonability of evaluation for indicator systems of carbon emission reduction from Table 1. The questionnaire was composed of respondents’ identity attributes and 28 evaluation indices. The respondents were requested to provide scores for 28 evaluation indices according to the respondents’ arbitrary knowledge and understanding. These opinions were classified into: strongly agree, agree, neutral, disagree, and strongly disagree of five levels, respectively, denoted by 5, 4, 3, 2, and 1 points, respectively (the questionnaires see Appendix A).
The final survey distributed 200 questionnaires and received 156 valid questionnaires. The effective recovery rate was 78%. The respondents were comprised of 67 experts and scholars, 42 government regulators, 39 enterprise managers, and 8 others.
Furthermore, Cronbach α (0–1) was used to analyze and estimate the reliability of evaluation indicators. Cronbach’s alpha is one of the most widely used measures of reliability in the social and organizational sciences. It is used to measure the internal consistency of the test according to the following formula []:
where k is the number of survey indicators in the scale, is the variance of indicator, and the variance of the total score.
Briefly, the higher the α value is, the greater the reliability is. According to the results from Nunally [], when α is >0.8, an excellent internal consistency is achieved, while if α = 0.7–0.8, the internal consistency is good with the minimum acceptable threshold of 0.7. This survey data revealed that all the subscales and total scales of the Cronbach α ranged between 0.806~0.931 in this survey, thereby indicating a high reliability of the scale.
At the next stage, a factor analysis was carried out to determine the evaluation indicators by using the method of principal component analysis with the varimax rotation. To this end, SPSS22.0 soft was applied. Namely, the standard was applied, according to which, if eigenvalue is >1 and the rotated factor loading is >0.5, the factor analysis was performed, wherein six factors were identified. The factor loading on the six factors and eigenvalue, variance contribution rate, and variance contribution rate cumulative of the six factors are shown in Table 2.

Table 2.
The Results of Explore Factor Analysis of Evaluation Indicators.
The Anderson and Gerbing’s views stipulate that when the factor loadings is >0.6, it indicates that the model exhibited convergent validity and discriminate validity. Table 2 shows that the evaluation indicators of the factor loadings were >0.6, while most were >0.8. Furthermore, the variance contribution of cumulative was 87.021%, thereby resonating with the following principle, according to which, the variance contribution is >85%. All these estimates suggest that the factors on the interpretation of the variance were relatively high, and the structure validity was relatively high as well. Therefore, the questionnaire can be deemed significant. The test results revealed that the primary selection indicators were scientific and reasonable. Finally, the evaluation indicator-based system was obtained, namely, the primary selection of indicators.
Thus, the evaluation indicator system was built. The system comprised of six latent variables and 28 observed variables, thereby making the interaction relations among stakeholders in carbon emission reduction activities become an architecture of a system. Note that this system includes the evaluation relations. Moreover, it ensures that specifications of evaluation indicators are not present. Most importantly, it makes the evaluation results more reliable.
3.2. Evaluation Model Building
In this study, the structural equation model was applied to study the interaction relations among stakeholders in carbon emission reduction. It is used in the novel way to introduce the structure equation model. In this study, every stakeholder and carbon-reduction intensity are considered as the latent variables. They undertake the responsibilities and obligations of carbon emission reduction and own the position and power, interest requirement, urgency to achieve the targets of carbon emission reduction, and the extent of support as the observed variables. This allows them to build the structure equation model of carbon emission reduction relations evaluation.
The structure equation model is a multivariate statistical analysis method of building, estimating, and testing causality. Its purpose is to explore the causal relationships among the variables and then express these causal relationships using the causal model and path graph.
By using the structure equation model to study the interaction relationship among the stakeholders in carbon emission reduction activities, the carbon emission reduction system becomes organic and holistic. Thus, it considers stakeholders, thereby opening a window toward quantification of the direct and indirect influence coefficient between observed variables and latent variables by the measurement equation model. As a result, the path graph is drawn. It is a new way to explore the use of the structure equation model to research the in-action relationships among the stakeholders.
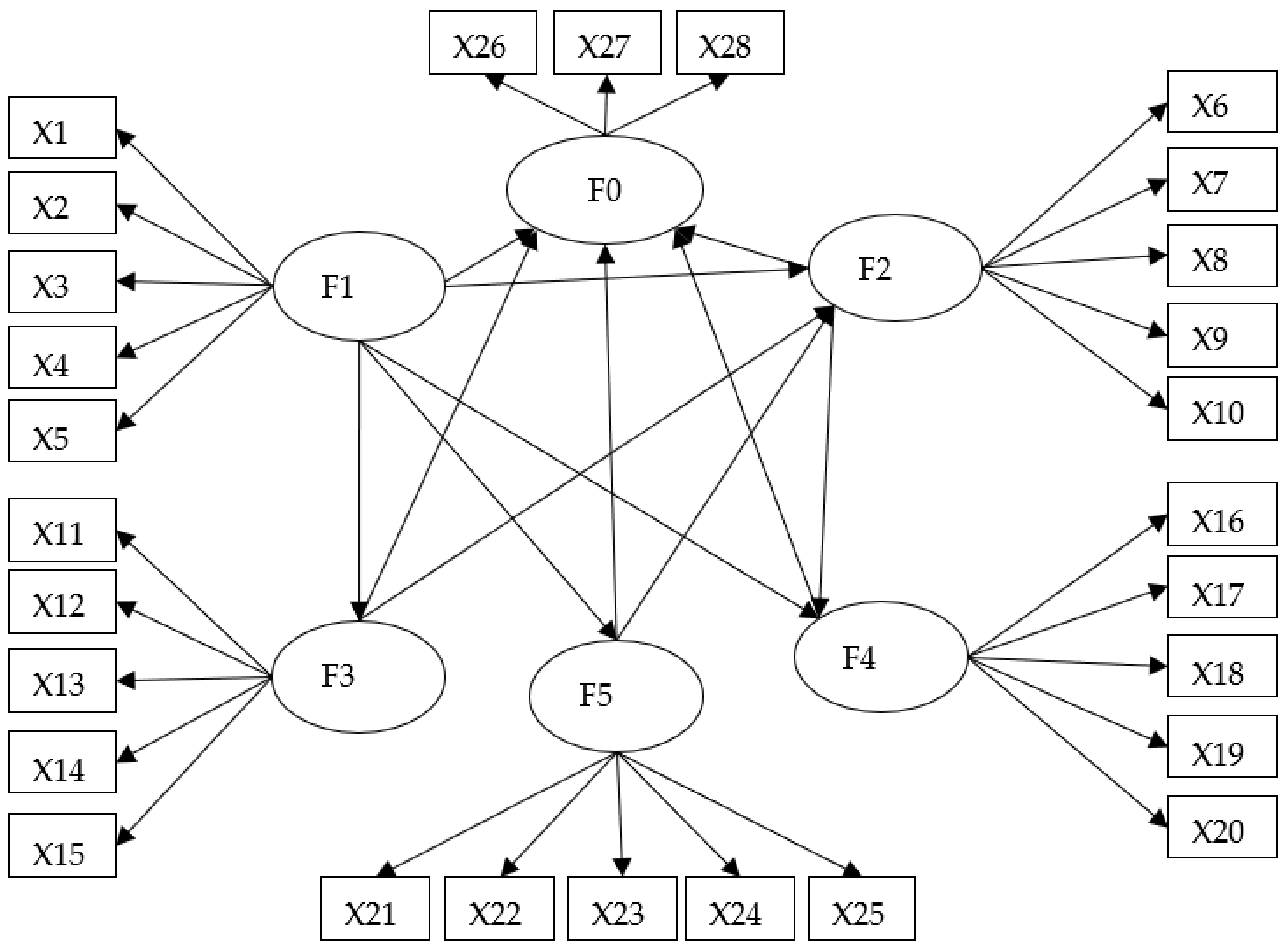
The model is the basis for elucidation of the structure relations and the mechanisms of action of stakeholders in carbon emission reduction activities. The results facilitate the development of efficient co-governance mechanisms of carbon emission reduction. The process of building the relationship evaluation model of latent variables is shown in Figure 1. The model numbers of indicators in Figure 1 are in accordance with those in Table 1.

Figure 1.
The Relationship Evaluation Model among the Stakeholders.
As is shown in Figure 1, Government (F1), Manufacturing Enterprises (F2), R&D Organizations (F3), Energy Industry (F4), Financial Institutions (F5) and Carbon-reduction intensity (F6) were taken as the latent variables. Furthermore, 28 evaluation indicators were considered as the observed variables. Together, they compose the relationship evaluation model of stakeholders and carbon-reduction intensity.
The model can yield the relations among the variables as follows: (1) to estimate the influence coefficient of Government (F1), Manufacturing Enterprises (F2), R&D Organizations (F3), Energy Industry (F4), and Financial Institutions (F5) on the Carbon-reduction intensity (F0), respectively; (2) to assess the influence coefficient of Government (F1) on the Manufacturing Enterprises (F2), R&D Organizations (F3), Energy Supply Industry (F4), and Financial Institutions (F5), respectively; (3) to calculate the influence coefficient of R&D Organizations (F3), Energy Supply Industry (F4) and Financial Institutions (F5) on Manufacturing Enterprises (F2), respectively; and (4) to quantify the influence coefficient of the observed variables on the latent variables.
Thus, this study comprehensively elucidates the interaction relations among the stakeholders and between stakeholders and carbon-reduction intensity in carbon emission reduction activities. The entire system of the research method to evaluate the interaction relations among the stakeholders within carbon emission reduction activities is built.
3.3. Data Investigation and Test
The data were acquired by questionnaires and some panels. We selected the stakeholders and experts as the important respondents. They mainly originated from R&D organizations, manufacturing enterprises, energy supply industries, and financial institutions. Thus, the respondents were characterized by higher education and professional skills.
The respondents were also requested to provide scores to 28 evaluation indicators in Table 1, which are classified into strongly agree, agree, neutral, disagree, and strongly disagree of five levels, respectively, denoted by 5, 4, 3, 2 and 1 points, respectively.
This survey distributed 700 questionnaires and received 457 valid questionnaires from 2020–2021 with effective recovery rate of 76.17%. The respondents comprised of the following subjects: 85 from government, 79 from manufacturing enterprises, 92 from R&D organizations, 73 from the energy supply industry, 75 from financial institutions, and 53 from others. The distribution of respondents exhibited broad diversity characteristics. In addition, respondents had extensive knowledge and experiences, which ensures their views are credible and representative.
As mentioned, the SPSS22.0 software was applied to estimate the reliability and the structure validity of survey data. Cronbach α was used to analyze the of evaluation indicators. The survey data revealed that all the subscales and total scale of the Cronbach α ranged between 0.811~0.953 in this survey, thereby indicating a high reliability of the data. Note that when the Kaiser-Meyer-Olkin (KMO) is greater, the common factor between variables fits better to carry on the factor analysis. Note that the KMO of this study varied in the 0.726~0.924 range, thereby highlighting its applicability for the factor analysis according to the criteria from Kaiser (1974) []. Furthermore, the Bartlett’s test of sphericity was applied to evaluate the relevance of a feature between variables, which must be significant. The table above reveals a significant level of 0.000, thereby indicating the presence of common factors at the correlation matrix of populations. Overall, it fits the factor analysis. Thus, the level of reliability and validity of the survey data are both good for the factor analysis.
3.4. Model Fit
As mentioned, AMOS7.0 soft was applied to estimate the structure relations of stakeholders according to the contents, shown in Figure 1. According to the input which fitted the modifying indices, this study fit and modified the model and obtained the ultimate model through many comparative analyses.
The criteria of the model fitting are related to the judgment indices of the calculated model input. There are numerous indices to test the goodness of fit and evaluate whether the fitted model agrees with the theoretical assumptions in advance by testing the relationship of the variables, which is testing the influence coefficient and whether plus or minus symbols are normal. Moreover, the different indices to test the goodness of fit have different features in different sample sizes or models. Note that we selected the relatively stable indices, including chi-square (CMIN), degrees of freedom (DF), goodness of fit index (GFI), root mean square residual (RMSR), comparative fit index (CFI), adjusted goodness of fit index (AGFI), and root mean square approximation error (RMSAE) as the goodness of fit indices. The indices of goodness of fit are shown in Table 3.

Table 3.
Indices Value of Model Fitting.
The discussion of the results and how they can be interpreted from the perspective of previous studies and the working hypotheses is provided here. The findings and their implications should be discussed in the broadest context possible. Future research directions can be also highlighted.
According to previous studies [,], the general standard for judging the table was taken as following: (1) when CMIN/DF < 3, it means that the model is good; (2) when CFI > 0.95, it means that the model is good, where CFI > 0.90 means that the model is acceptable; (3) when both RMR and RMSEA are <0.05, the model fits well, and when both RMR and RMSEA are <0.08, the model is acceptable; (4) both GFI and AGFI must be >0.85. Table 3 demonstrates that the model fitting is better from the subjective evaluation.
4. Empirical Results and Analysis
4.1. Relations Evaluation of Latent Variables
According to the output results of the evaluation model by the AMOS7.0 software, we can determine the influence coefficient relations diagram among the latent variables (see Figure 2). AMOS7.0 software is a collection of tools and class interfaces. The package includes a robust infrastructure, modular assembly pipelines, tools for overlapping, consensus generation, contigging, and assembly manipulation. It was used to calculate the influence coefficients of structural equation models.

Figure 2.
Path Relations Diagram among the Latent Variables.
In Figure 2, the influence coefficient indicates that variable changes induce the change in other variable changes.
- (1)
- The influence coefficients of Government (F1), Manufacturing Enterprises (F2), R&D Organizations (F3), Energy Supply Industry (F4), and Financial Institutions (F5) to the Carbon-reduction intensity (F0) are 0.881, 0.908, 0.624, 0.691 and 0.313, respectively. This finding implies that when the influence of Government (F1), Manufacturing Enterprises (F2), R&D Organizations (F3), Energy Supply Industry (F4), and Financial Institutions (F5) on Carbon-reduction intensity (F6) is up to 1%, the Carbon-reduction intensity (F0) would be strengthened by 0.881%, 0.908%, 0.624%, 0.691%, and 0.313%, respectively. Notably, the influence of every stakeholder on carbon-reduction intensity varies. We can see that the influence coefficients of Financial Institutions (F5) to the Carbon-reduction intensity (F0) are the lowest. This may be one of the reasons why China’s carbon finance policy is imperfect, green financial products are not rich enough, and the support of financial institutions for carbon emission reduction is not currently visible [,].
- (2)
- In carbon emission reduction activities, the influence coefficients of Government (F1) to Manufacturing Enterprises (F2), R&D Organizations (F3), Energy Supply Industry (F4), and Financial Institutions (F5) are 0.702, 0.517, 0.739, and 0.767, respectively, thereby indicating that when the influence of Government (F1) on Manufacturing Enterprises (F2), R&D Organizations (F3), Energy Supply Industry (F4), and Financial Institutions (F5) is up to 1%, Manufacturing Enterprises (F2), R&D Organizations (F3), Energy Supply Industry (F4), and Financial Institutions (F5) in the reducing carbon emissions would be strengthened by 0.702%, 0.517%, 0.739%, and 0.767%, respectively.
- (3)
- Manufacturing enterprises are the source of carbon emissions. The influence coefficients of Government (F1), R&D Organizations (F3), Energy Supply Industry (F4), and Financial Institutions (F5) to Manufacturing Enterprises (F2) are 0.702, 0.574, 0.872, and 0.467, respectively, thereby indicating that when the influence of Government (F1), R&D Organizations (F3), Energy Supply Industry (F4), and Financial Institutions (F5) on Manufacturing Enterprises (F2) are enhanced by 1%, Manufacturing Enterprises (F2) in the reduction carbon emissions are enhanced by 0.702%, 0.574%, 0.872%, and 0.467%, respectively.
4.2. Influence Analysis of the Observed Variables on Latent Variables
This study analyzed the influence of the observed variables on the latent variables by using the influence coefficient (see Table 4).

Table 4.
Standardized Total Effects.
Table 4 shows that the standardized total effect coefficients of Government (F1) were higher, thereby indicating that the respondents were convinced that the government should undertake more responsibilities and obligations. Simultaneously, the government’s interest requirements were very consistent with the targets of carbon emission reduction. The respondents also believed that the government had the greater police power and more strategies to reduce carbon emissions, while facing the urgency to achieve the targets of carbon emission reduction.
For the Manufacturing Enterprises (F2), the influence coefficient of manufacturing enterprises’ support level for achieving the targets of carbon emission reduction was the highest. Moreover, at the support level of up to 1%, the carbon-reduction intensity would increase by 0.848%. Thus, manufacturing enterprises are essential in achieving the targets of carbon emission reduction. The interest requirements also play an important role to achieve the targets of carbon emission reduction, thereby indicating that we should build the sharing benefits mechanism of carbon emission reduction for motivating enterprises to take part in reducing carbon emissions.
The R&D Organizations (F3) analysis revealed that the influence coefficient of urgency degree for achieving the targets of carbon emission reduction was the greatest among the evaluation indicators. This finding indicates that it was an essential effect for achieving the targets of carbon emission reduction by R&D to realize the manufacturing industrial upgrading, technical reformation, to improve the energy efficiency, and to eliminate the backward production capacity.
From the Energy Supply Industry (F4) perspective, the size of undertaking the responsibilities and obligations in the carbon emission reduction activities were analyzed. It was found that the influence coefficient was lower, because the proportion of non-fossil energy consumption was <10%. The consistency extent of interest requirements indicated that influence coefficient is higher. This finding indicates that more attention should be given to exert the positive influence of energy supply industry.
The Financial Institutions (F5) analysis indicated some hints. The influence coefficient, the consistency extent of interest requirements, the urgency degree and the degree of support were higher, thereby indicating that the Financial Institutions in the carbon emission reduction activities are characterized by great potential. Thus, we should implement the low carbon authentication system, thereby providing preferential tax incentives and promoting green financial policy.
The identified order of evaluation indicators suggests that the influence coefficient embodies the reality of different evaluation indicators, while also bolstering the build-up of the targeted co-government system of carbon emission reduction.
Previous studies have observed the relationship between stakeholders in carbon emission reduction from different perspectives, and some indicate that different types of institutional pressure—coercive, normative, and mimetic—lead to different and, in certain situations, more active responses from companies []. Some experts have proposed a novel multistakeholder low-carbon transaction mechanism, which takes into account the initiative and decision-making capacities in the three-party stakeholders of energy supply, demand, and storage so that all stakeholders can benefit from the proposed transaction mechanism []. These results are useful supplements to this study.
5. Conclusions and Recommendations
5.1. Conclusions
This study intends to better answer how to promote the cooperative and participation of stakeholders to reduce the carbon emissions from the view of stakeholders and contribute to achieving the targets of carbon emission reduction in China. Our conclusions from this study are as follows:
Firstly, different influences of every stakeholder on carbon reduction intensity were elucidated in this study. Overall, five stakeholders affecting carbon-reduction intensity were revealed (in descending order): Manufacturing Enterprises, Government, Energy Supply Industry, R&D Organizations, and Financial Institutions. Revealing the influence and direction strengthens the targeted governance policy of carbon emission reduction.
Secondly, government positively affected other stakeholders, thereby opening a window for building the carbon emission reduction governance system. Such a system can be built based on the model, led by the government, while other stakeholders can actively participate.
Thirdly, stakeholders positively affected the Manufacturing Enterprises. Thus, we can achieve the targets of carbon emission reduction by stakeholders exerting influence and offering the support for manufacturing enterprises.
Fourthly, government and manufacturing enterprises exerted greater positive influence on the carbon reduction intensity.
This underlines that the government has the leading role, whereas manufacturing enterprises are the principals and takers, and other stakeholders are the necessary supporters in the carbon emission reduction activities.
5.2. Recommendations
The main core of the co-governance mechanism of carbon emission reduction is the mechanism in which stakeholders work together, restrict, and cooperate with each other. Furthermore, stakeholders reasonably pursue their own interests and share benefits, thereby forming a positive interaction and win-win interactions to achieve the targets of carbon emission reduction.
We should set up the decision-making and implementation mechanism by stakeholders’ mutual participation in which the government will be acknowledged as the leading actor, while manufacturing enterprises will be the principals and other stakeholders will exhibit mutual participation. In this mechanism, every stakeholder has his/her own reasonable right to express his/her interest requirements. This mechanism can consolidate stakeholders’ forces to realize the targets.
The change of the structure of energy supply indicates that there are several effective ways to reduce the carbon emissions in the future including: (a) increase in the proportion of China’s non-fossil energy consumption to total energy consumption, (b) the norm of the buying behaviors, and (c) the improvement of the market share of low-carbon productions.
The core of the interplay among stakeholders’ is the interest. Thus, the development of reasonable and fair interest distribution alongside the share mechanism is the interest driving force for stakeholders to participate in carbon emission reduction activities. This will improve the stakeholders’ motivations to reduce carbon emissions, thereby creating a virtuous circle in the carbon emission reduction activities.
Motivation and restriction mechanisms are the necessary systematic safeguards to bolster the stakeholders’ positivity and to promote the fair and reasonable principles in carbon emission reduction activities. Moreover, the motivation mechanism will increase the stakeholders’ profit motive, while the restriction mechanism can regularize the seeking profits behavior of stakeholders, while complementing each other.
Author Contributions
Conceptualization, Y.W. and J.W.; methodology, J.W.; software, Y.W.; validation, Y.W. and Z.D.; formal analysis, Y.W.; investigation, Y.W.; resources, Z.D.; data curation, Y.W.; writing—original draft preparation, Y.W.; writing—review and editing, J.W.; visualization, Y.W.; supervision, Z.D. All authors have read and agreed to the published version of the manuscript.
Funding
This research was funded by the National Social Science Fund of China (21BJY116).
Informed Consent Statement
Informed consent was obtained from all subjects involved in the study.
Data Availability Statement
All relevant data are within the paper.
Acknowledgments
The authors would like to express their sincerest appreciation for all the respondents, the excellent advice from the editor and anonymous reviewers.
Conflicts of Interest
The authors declare no conflict of interest.
Appendix A
Questionnaire of interaction of stakeholders in the carbon emission reduction
Dear Respondent:
This survey is designed to develop an understanding of individuals’ perceptions about what interaction relationships exist among the stakeholders in the carbon emission reduction activities in China. Please let us know your opinions about this problem.
The information from this survey will be kept confidential. For statistical purposes, data will be analyzed at an aggregate level.
If you have any questions regarding this academic study, please feel free to contact me using the contact information below.
Thank you for your valuable time and cooperation.
Sincerely
JianMin Wang
E-mail: jmwang0396@163.com
Part I Respondent Profile
- 1.
- You are:
A. Male; B. Female
- 2.
- How many years have you been working?
A. less than 5 years; B. 6–10 years; C. 11–20 years; D. 21–30 years; E. more than 30 years
- 3.
- Highest level of education you have completed:
A. Secondary; B. College degree; C. Undergraduate; D. Graduate and above
- 4.
- Your professional title:
A. Primary Title; B. Assistant Professor; C. Associate Professor; D. Full Professor
- 5.
- Your employer:
A. Government; B. Manufacturing Enterprises; C. R&D Organizations; D. Energy Supply Industry; E. Financial Institutions; F. others
Part II What are the interactions of stakeholders in carbon emission reduction?

Number | Questionnaires Subjects | Your Choice | ||||
---|---|---|---|---|---|---|
X1 | Government should undertake the responsibilities and obligations in carbon emission reduction activities. | 5 | 4 | 3 | 2 | 1 |
X2 | Government has the power and strategy to reduce carbon emissions, and its position is suitable. | 5 | 4 | 3 | 2 | 1 |
X3 | Government urgently wants to achieve the targets of carbon emission reduction. | 5 | 4 | 3 | 2 | 1 |
X4 | Government’s interest requirements are consistent with the targets of carbon emission reduction. | 5 | 4 | 3 | 2 | 1 |
X5 | Government supports towards achieving the targets of the carbon emission reduction. | 5 | 4 | 3 | 2 | 1 |
X6 | Manufacturing enterprises should undertake the responsibilities and obligations in carbon emission reduction activities. | 5 | 4 | 3 | 2 | 1 |
X7 | Manufacturing enterprises have the power and strategy to reduce carbon emissions, and their position is suitable. | 5 | 4 | 3 | 2 | 1 |
X8 | Manufacturing enterprises urgently want to achieve the targets of the carbon emission reduction. | 5 | 4 | 3 | 2 | 1 |
X9 | Manufacturing enterprises’ interest requirements are consistent with the targets of the carbon emission reduction. | 5 | 4 | 3 | 2 | 1 |
X10 | Manufacturing enterprises support towards achieving the targets of the carbon emission reduction. | 5 | 4 | 3 | 2 | 1 |
X11 | R&D Organizations should undertake the responsibilities and obligations in carbon emission reduction activities. | 5 | 4 | 3 | 2 | 1 |
X12 | R&D Organizations have the power and strategy to reduce carbon emissions, and their position is suitable. | 5 | 4 | 3 | 2 | 1 |
X13 | R&D Organizations urgently want to achieve the targets of the carbon emission reduction. | 5 | 4 | 3 | 2 | 1 |
X14 | R&D Organizations’ interest requirements are consistent with the targets of carbon emission reduction. | 5 | 4 | 3 | 2 | 1 |
X15 | R&D Organizations support towards achieving the targets of the carbon emission reduction. | 5 | 4 | 3 | 2 | 1 |
X16 | Energy Supply Industry should undertake the responsibilities and obligations in carbon emission reduction activities. | 5 | 4 | 3 | 2 | 1 |
X17 | Energy Supply Industry has the power and strategy to reduce carbon emissions, and its position is suitable. | 5 | 4 | 3 | 2 | 1 |
X18 | Energy Supply Industry urgently wants to achieve the targets of carbon emission reduction. | 5 | 4 | 3 | 2 | 1 |
X19 | Energy Supply Industry’ interest requirements are consistent with the targets of carbon emission reduction. | 5 | 4 | 3 | 2 | 1 |
X20 | Energy Supply Industry supports towards achieving the targets of carbon emission reduction. | 5 | 4 | 3 | 2 | 1 |
X21 | Financial Institutions should undertake the responsibilities and obligations in carbon emission reduction activities. | 5 | 4 | 3 | 2 | 1 |
X22 | Financial Institutions have the power and strategy to reduce carbon emissions, and their position is suitable. | 5 | 4 | 3 | 2 | 1 |
X23 | Financial Institutions urgently want to achieve the targets of the carbon emission reduction. | 5 | 4 | 3 | 2 | 1 |
X24 | Financial Institutions’ interest requirements are consistent with the targets of carbon emission reduction. | 5 | 4 | 3 | 2 | 1 |
X25 | Financial Institutions support towards achieving the targets of carbon emission reduction. | 5 | 4 | 3 | 2 | 1 |
X26 | China can achieve the targets of carbon emission reduction. | 5 | 4 | 3 | 2 | 1 |
X27 | China has the urgency to achieve the targets of carbon emission reduction. | 5 | 4 | 3 | 2 | 1 |
X28 | China will benefit from achieving the targets of carbon emission reduction. | 5 | 4 | 3 | 2 | 1 |
Notes: 5, strongly agree; 4, agree; 3, neutral; 2, disagree; 1, strongly disagree.
Thank you for your time and cooperation!
References
- Lim, A.M.R.T.; Saedah, S.; Zulkipli, G. An ISM approach for managing critical stakeholder issues regarding carbon capture and storage (CCS) deployment in developing Asian countries. Sustainability 2021, 13, 6618. [Google Scholar]
- Lin, J.C.; Mitchell, L.; Crosman, E.; Mendoza, D.L.; Buchert, M.; Bares, R.; Fasoli, B.; Bowling, D.R.; Pataki, D.; Catharine, D.; et al. CO2 and carbon emissions from cities: Linkages to air quality, socioeconomic activity, and stakeholders in the salt lake city urban Area. Bull. Am. Meteorol. Soc. 2018, 99, 2325–2339. [Google Scholar] [CrossRef]
- Rob, B.; Mathias, F.; Javier, L.; James, P.; Rodriguez, E.; Adrian, L.; Anders, H.; Stefan, G.; Simon, H. Incentivising bioenergy with carbon capture and storage (BECCS) responsibly: Comparing stakeholder policy preferences in the United Kingdom and Sweden. Environ. Sci. Policy 2021, 116, 47–55. [Google Scholar]
- Moon, W.-K.; Kahlor, L.A.; Olson, H.C. Understanding public support for carbon capture and storage policy: The roles of social capital, stakeholder perceptions, and perceived risk/benefit of technology. Energy Policy 2020, 139, 111312. [Google Scholar] [CrossRef]
- Somaiya, Y.; Elijido-Ten, E.O.; Subhash, A. Impact of stakeholder pressure on the adoption of carbon management strategies: Evidence from Australia. Sustain. Acc. Manag. Policy J. 2020, 11, 1189–1212. [Google Scholar]
- Hao, L.N.; Umar, M.; Khan, Z.; Ali, W. Green growth and low carbon emission in G7 countries: How critical the network of environmental taxes, renewable energy and human capital is? Sci. Total Environ. 2021, 752, 141853. [Google Scholar] [CrossRef]
- Jiang, M. Locating the Principal Sectors for Carbon Emission Reduction on the Global Supply Chains by the Methods of Complex Network and Susceptible–Infective Model. Sustainability 2022, 14, 4287. [Google Scholar] [CrossRef]
- Li, Z.; Wang, J. Spatial spillover effect of carbon emission trading on carbon emission reduction: Empirical data from pilot regions in China. Energy 2022, 251, 123906. [Google Scholar] [CrossRef]
- Qin, J.; Cao, J. Carbon Emission Reduction Effects of Green Credit Policies: Empirical Evidence From China. Front. Environ. Sci. 2022, 10, 798072. [Google Scholar] [CrossRef]
- Canal, V.L.; Mariolina, L.; Mura, M. Are the European manufacturing and energy sectors on track for achieving net-zero emissions in 2050? An empirical analysis. Energy Policy 2021, 156, 112464. [Google Scholar] [CrossRef]
- Gu, G.; Zhen, H.; Tong, L.; Dai, Y. Does carbon financial market as an environmental regulation policy tool promote regional energy conservation and emission reduction? Empirical evidence from China. Energy Policy 2022, 163, 112826. [Google Scholar] [CrossRef]
- Zhishuang, Z.; Hua, L.; Li, L. The role of public energy R&D in energy conservation and transition: Experiences from IEA countries. Renew. Sustain. Energy Rev. 2021, 143, 110978. [Google Scholar]
- Huaping, S.; Love, E.; Augustine, M.; Khoa, T.D.; Ehsan, R.; Farhad, T.H. The long-run effects of trade openness on carbon emissions in sub-Saharan African countries. Energies 2020, 13, 5295. [Google Scholar] [CrossRef]
- Yang, L.; Wang, J.; Shi, J. Can China meet its 2020 economic growth and carbon emissions reduction targets? J. Cleaner Prod. 2017, 142, 993–1001. [Google Scholar] [CrossRef]
- Muhammad, S.; Xu, D.; Avik, S.; Zubair, M.M.; Nudrat, F. The dynamic nexus among financial development, renewable energy and carbon emissions: Moderating roles of globalization and institutional quality across BRI countries. J. Clean. Prod. 2022, 343, 130995. [Google Scholar] [CrossRef]
- Huaping, S.; Hu, L.; Geng, Y.; Yang, G. Uncovering impact factors of carbon emissions from transportation sector: Evidence from China’s Yangtze River Delta Area. Mitig. Adapt. Strateg. Glob. Chang. 2020, 25, 1423–1437. [Google Scholar]
- Wang, R.; Cheng, S.; Zuo, X.; Liu, Y. Optimal management of multi stakeholder integrated energy system considering dual incentive demand response and carbon trading mechanism. Int. J. Energy Res. 2021, 46, 6246–6263. [Google Scholar] [CrossRef]
- Qiang, W.; Xinyu, H.; Rongrong, L. Does technical progress curb India’s carbon emissions? A novel approach of combining extended index decomposition analysis and production-theoretical decomposition analysis. J. Environ. Manag. 2022, 310, 114720. [Google Scholar] [CrossRef]
- Wei, W.; Jun, Z.Y. Does China’s carbon emissions trading scheme affect the market power of high-carbon enterprises? Energy Econ. 2022, 108, 105906. [Google Scholar]
- Jabir, A.; Vaseem, A.; Muqbil, B. Does economic complexity lead to global carbon emissions convergence? Environ. Sci. Pollut. Res. Int. 2022. [Google Scholar] [CrossRef]
- Yun, T.; Rui, Z.; Biao, H. The carbon emission reduction effect of tourism economy and its formation mechanism: An empirical study of China’s 92 tourism-dependent cities. Int. J. Environ. Res. Public Health 2022, 19, 1824. [Google Scholar] [CrossRef]
- Glanz, S.; Schönauer, L. Towards a low-carbon society via hydrogen and carbon capture and storage: Social acceptance from a stakeholder perspective. J. Sustain. Dev. Energy Water Environ. Syst. 2021, 9, 9. [Google Scholar] [CrossRef]
- Ansoff, H.I. Corporate Strategy; McGraw-Hill: New York, NY, USA, 1965. [Google Scholar]
- Blair, J.D.; Rock, T.T.; Rotarius, T.M.; Fottler, M.D.; Bosse, G.C.; Driskill, J.M. The problematic fit of diagnosis and strategy for medical group stakeholders including IDS/Ns. Health Care Manag. Rev. 1996, 21, 7–28. [Google Scholar] [CrossRef]
- Clarkson, M.E. A stakeholder framework for analyzing and evaluating corporate social performance. Acad. Manag. Rev. 1995, 20, 92–117. [Google Scholar] [CrossRef]
- Mitchell, R.K.; Cohen, B. Stakeholder theory and the entrepreneurial firm. J. Small Bus. Strategy 2006, 17, 1–15. [Google Scholar]
- Mitchell, R.K.; Agle, B.R.; Wood, D.J. Toward a theory of stakeholder identification and salience: Defining the principle of who and what really Counts. Acad. Manag. Rev. 1997, 22, 853–886. [Google Scholar] [CrossRef]
- Freeman, R.E. Strategic Management: A Stakeholder Approach; Pitman: Boston, MA, USA, 1984. [Google Scholar]
- Carlos, C.-F.; Yuliya, S.; Pascual, B.; Enric, R.J. The stakeholder value proposition of digital platforms in an urban ecosystem. Res. Policy 2022, 51, 104488. [Google Scholar] [CrossRef]
- Harjoto, M.A.; Hoepner, A.G.; Qian, L. A stakeholder resource-based view of corporate social irresponsibility: Evidence from China. J. Bus. Res. 2022, 144, 830–843. [Google Scholar] [CrossRef]
- Kumarasiri, J. Stakeholder pressure on carbon emissions: Strategies and the use of management accounting. Australas. J. Environ. Manag. 2017, 24, 339–354. [Google Scholar] [CrossRef]
- Yue, Z.; Liu, B. Analysis on carbon emission reduction strategy and potential based on stakeholder groups—A case study of Suzhou. Chin. J. Environ. Manag. 2018, 10, 79–86. [Google Scholar]
- Cherepovitsyn, A.E.; Ilinova, A.A.; Evseeva, O.O. Stakeholders management of carbon sequestration project in the state—Business—Society system. J. Min. Inst. 2019, 240, 731–742. [Google Scholar] [CrossRef] [Green Version]
- Amiraslani, F. Rising to the top ten transformative projects in Asia and the Pacific: A stakeholder analysis of the community-based carbon sequestration project in Eastern Iran. Proj. Leadersh. Soc. 2021, 2, 100030. [Google Scholar] [CrossRef]
- Jian-Min, W.; Chuan-Xu, W.; Li, Y. Definition and classification of carbon emissions reduction stakeholders in China. J. Anhui Univ. Sci. Technol. 2014, 16, 17–24. [Google Scholar]
- Feliciano, D.; Sobenes, A. Stakeholders’ perceptions of factors influencing climate change risk in a Central America hotspot. Reg. Environ. Chang. 2022, 22, 23. [Google Scholar] [CrossRef]
- Christopher, D.; AbiElias Ivan, H.; Quinn Charlene, C.; Adams Alyce, S.; Magaziner Jay, S.; Ito, K.; Paavani, J.; Gurwitz Jerry, H.; Mazor Kathleen, M. Stakeholders’ views on priorities essential for establishing a supportive environment for clinical trials in nursing homes. J. Am. Geriatr. Soc. 2022, 70, 950–959. [Google Scholar] [CrossRef]
- Dhanda Kanwalroop, K.; Joseph, S.; Dhavale Dileep, G. Institutional and stakeholder effects on carbon mitigation strategies. Bus. Strategy Environ. 2021, 31, 782–795. [Google Scholar] [CrossRef]
- Shen, H.; Zheng, S.; Adams, J.; Jaggi, B. The effect stakeholders have on voluntary carbon disclosure within Chinese business organizations. Carbon Manag. 2020, 11, 455–472. [Google Scholar] [CrossRef]
- Juhari, S.K.; Omar, D.B.; Leh, O.L.H.; Kamarudin, S.M.; Marzukhi, M.A. The readiness of the stakeholders in the implementation of low carbon cities framework (Lccf) in an urban Area: Methodology of research. IOP Conf. Ser. Earth Environ. Sci. 2019, 385, 012071. [Google Scholar]
- Sun, Y.; Li, Y.; Cai, B.-F.; Li, Q. Comparing the explicit and implicit attitudes of energy stakeholders and the public towards carbon capture and storage. J. Clean. Prod. 2020, 254, 120051. [Google Scholar] [CrossRef]
- Huaping, S.; Kofi, E.B.; Kwaku, K.A.; Asumadu, S.S.; Farhad, T.-H. Energy efficiency: The role of technological innovation and knowledge spillover. Technol. Forecast. Soc. Chang. 2021, 167, 120659. [Google Scholar] [CrossRef]
- Herold, D.M.; Farr-Wharton, B.; Lee, K.-H.; Groschopf, W. The interaction between institutional and stakeholder pressures: Advancing a framework for categorising carbon disclosure strategies. Bus. Strat. Dev. 2019, 2, 77–90. [Google Scholar] [CrossRef]
- Jianmin, W.; Li, Y. Does factor endowment allocation improve technological innovation performance? An empirical study on the Yangtze River Delta region. Sci. Total Environ. 2020, 716, 137107. [Google Scholar] [CrossRef] [PubMed]
- Zhou, Z.; Li, J.; Ceng, H. Research on the impact of political and economic stakeholders on corporate carbon performance—An Empirical Analysis Based on Chinese Listed Companies. J. Yunnan Univ. Fin. Econ. 2020, 36, 72–88. [Google Scholar]
- Charef, R. Supporting construction stakeholders with the circular economy: A trans-scaler framework to understand the holistic approach. Clean. Eng. Technol. 2022, 8, 100454. [Google Scholar] [CrossRef]
- Huaping, S.; Pofoura, A.K.; Mensah, I.A.; Li, L.; Mohsin, M. The role of environmental entrepreneurship for sustainable development: Evidence from 35 countries in Sub-Saharan Africa. Sci. Total Environ. 2020, 741, 140132. [Google Scholar]
- Wang, J.; Sekei, V.S.; Ganiyu, S.A.; Makwetta, J.J. Research on the Sustainability of the Standard Gauge Railway Construction Project in Tanzania. Sustainability 2021, 13, 5271. [Google Scholar] [CrossRef]
- Freeman, R.E. Divergent stakeholder theory. Acad. Manag. Rev. 1999, 24, 233–236. [Google Scholar] [CrossRef]
- Mahmoudian, F.; Lu, J.; Dongning, Y.; Nazari, J.A.; Herremans, I.M. Inter- and intra-organizational stakeholder arrangements in carbon management accounting. Br. Acc. Rev. 2020, 53, 100933. [Google Scholar] [CrossRef]
- Penz, E.; Polsa, P. How do companies reduce their carbon footprint and how do they communicate these measures to stakeholders? J. Clean. Prod. 2018, 195, 1125–1138. [Google Scholar] [CrossRef]
- Weimin, J.; Michael, C.; Jiajing, S.; Shouyang, W. Innovation, carbon emissions and the pollution haven hypothesis: Climate capitalism and global re-interpretations. J. Environ. Manag. 2022, 307, 114465. [Google Scholar]
- Nunally, J.C. Psychometric Theory, 2nd ed.; McGraw-Hill: New York, NY, USA, 1978. [Google Scholar]
- Zhonglin, W.; Kittai, H.; Marsh, H.W. Structural equation model testing: Cutoff criteria for goodness of fit indices and chi-square test. Acta Psychol. Sin. 2004, 36, 186–194. [Google Scholar]
- Burnham, K.P.; Anderson, D.R. Model Selection and Multimodel Inference: Apractical Information—Theoretical Approach, 2nd ed.; Springer: New York, NY, USA, 2002. [Google Scholar]
Publisher’s Note: MDPI stays neutral with regard to jurisdictional claims in published maps and institutional affiliations. |
© 2022 by the authors. Licensee MDPI, Basel, Switzerland. This article is an open access article distributed under the terms and conditions of the Creative Commons Attribution (CC BY) license (https://creativecommons.org/licenses/by/4.0/).