Changes in the Soundscape of the Public Space Close to a Highway by a Noise Control Intervention
Abstract
1. Introduction
2. Materials and Methods
2.1. Site Description and Noise Control Intervention
2.2. Survey
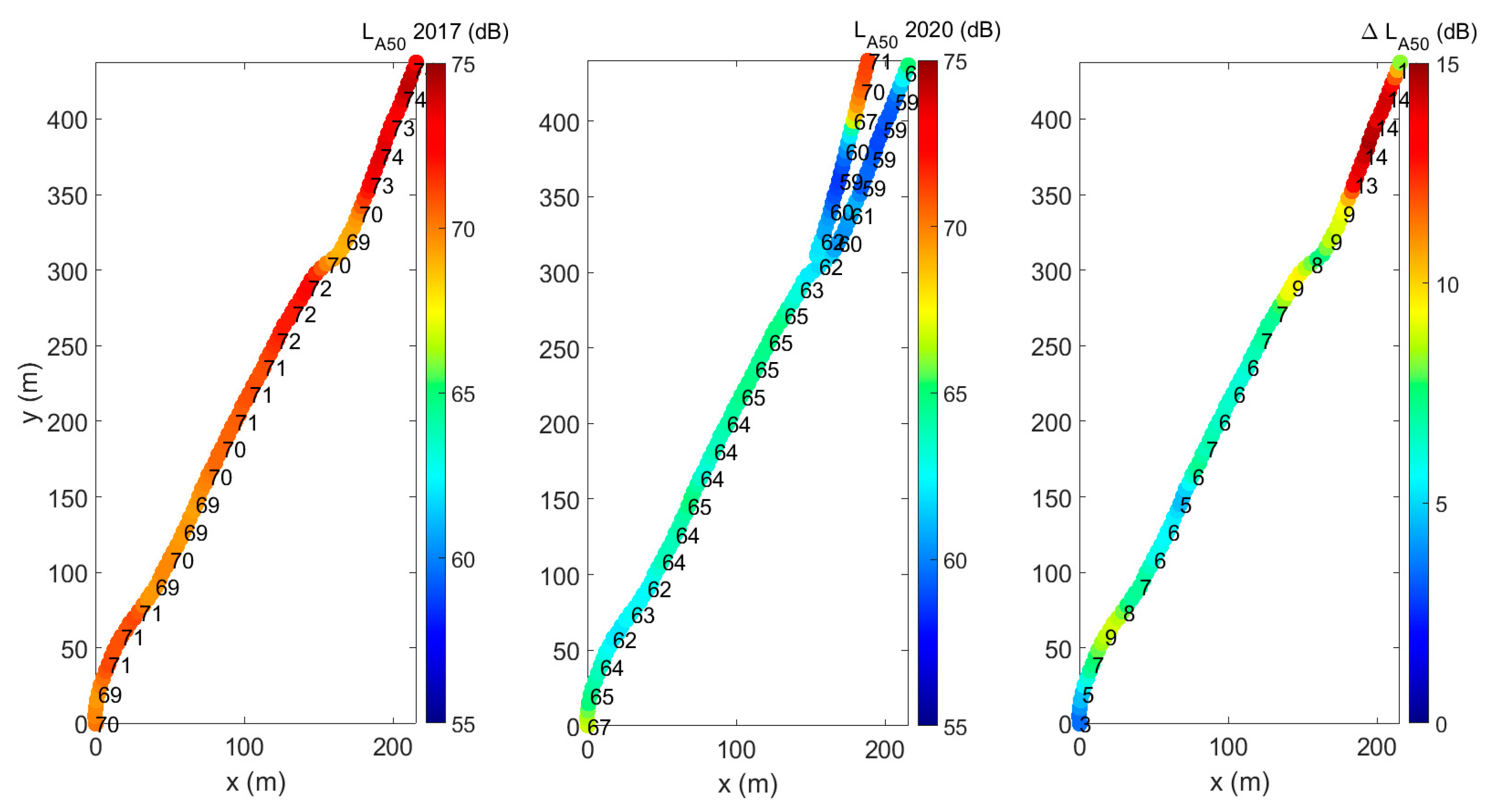
2.3. Objective Sound Pressure Level Measurements
3. Results and Discussion
3.1. Participants
3.2. Observed Perception Effects
3.2.1. Overall Experience
3.2.2. Loudness of the Noise from the Ring Road
3.2.3. Types of Sounds Observed
3.2.4. Soundscape Evaluation
3.2.5. Change Effect
4. Conclusions
Author Contributions
Funding
Institutional Review Board Statement
Informed Consent Statement
Data Availability Statement
Acknowledgments
Conflicts of Interest
References
- Jonasson, H. Sound reduction by barriers on the ground. J. Sound Vib. 1972, 22, 113–126. [Google Scholar] [CrossRef]
- Embleton, T. Tutorial on sound propagation outdoors. J. Acoust. Soc. Am. 1996, 100, 31–48. [Google Scholar] [CrossRef]
- Attenborough, K.; Van Renterghem, T. Predicting Outdoor Sound, 2nd ed.; Taylor and Francis: Abingdon, UK; CRC Press: Boca Raton, FL, USA, 2021. [Google Scholar]
- Van Renterghem, T.; Botteldooren, D. Landscaping for road traffic noise abatement: Model validation. Environ. Model. Softw. 2018, 109, 17–31. [Google Scholar] [CrossRef]
- Southworth, M. The sonic environment of cities. Environ. Behav. 1969, 1, 49–70. [Google Scholar]
- Hong, J.; Jeon, J. The effects of audio-visual factors on perceptions of environmental noise barrier performance. Landsc. Urban Plan. 2014, 125, 28–37. [Google Scholar] [CrossRef]
- Preis, A.; Kociński, J.; Hafke-Dys, H.; Wrzosek, M. Audio-visual interactions in environment assessment. Sci. Total Environ. 2015, 523, 191–200. [Google Scholar] [CrossRef]
- Sun, K.; De Coensel, B.; Echevarria Sanchez, G.; Van Renterghem, T. Effect of interaction between attention focusing capability and visual factors on road traffic noise annoyance. Appl. Acoust. 2018, 134, 16–24. [Google Scholar] [CrossRef]
- Jeon, J.; Jo, H. Effects of audio-visual interactions on soundscape and landscape perception and their influence on satisfaction with the urban environment. Build. Environ. 2020, 169, 106544. [Google Scholar] [CrossRef]
- Li, H.; Lau, S.-K. A review of audio-visual interaction on soundscape assessment in urban built environments. Appl. Acoust. 2020, 166, 107372. [Google Scholar] [CrossRef]
- Joynt, J.; Kang, J. The influence of preconceptions on perceived sound reduction by environmental noise barriers. Sci. Total Environ. 2010, 408, 4368–4375. [Google Scholar] [CrossRef]
- Brown, A.; van Kamp, I. Response to a change in transport noise exposure: A review of evidence of a change effect. J. Acoust. Soc. Am. 2009, 125, 3018–3029. [Google Scholar] [CrossRef]
- Heinonen-Guzejev, M.; Vuorinen, H.; Mussalo-Rauhamaa, H.; Heikkila, K.; Koskenvuo, M.; Kaprio, J. Genetic component of noise sensitivity. Twin Res. Hum. Genet. 2005, 8, 245–249. [Google Scholar] [CrossRef] [PubMed]
- Schreckenberg, D.; Griefahn, B.; Meis, M. The associations between noise sensitivity, reported physical and mental health, perceived environmental quality, and noise annoyance. Noise Health 2010, 12, 7–16. [Google Scholar] [CrossRef] [PubMed]
- Xie, H.; Kang, J. On the Relationships Between Environmental Noise and Socio-Economic Factors in Greater London. Acta Acust. United Acust. 2010, 96, 472–481. [Google Scholar] [CrossRef]
- Aletta, F.; Van Renterghem, T.; Botteldooren, D. Influence of Personal Factors on Sound Perception and Overall Experience in Urban Green Areas. A Case Study of a Cycling Path Highly Exposed to Road Traffic Noise. Int. J. Environ. Res. Public Health 2018, 15, 1118. [Google Scholar] [CrossRef] [PubMed]
- Sun, K.; Echevarria-Sanchez, G.; De Coensel, B.; Van Renterghem, T.; Talsma, D.; Botteldooren, D. Personal Audiovisual Aptitude Influences the Interaction Between Landscape and Soundscape Appraisal. Front. Psychol. 2018, 9, 780. [Google Scholar] [CrossRef] [PubMed]
- Van Renterghem, T.; Dekoninck, L.; Botteldooren, D. Multi-stage sound planning methodology for urban redevelopment. Sustain. Cities Soc. 2020, 62, 102362. [Google Scholar] [CrossRef]
- International Organization for Standardization. ISO 12913-1: 2014 Acoustics—Soundscape—Part 1: Definition and Conceptual Framework; ISO: Geneva, Switzerland, 2014. [Google Scholar]
- Aletta, F.; Xiao, J. What are the Current Priorities and Challenges for (Urban) Soundscape Research? Challenges 2018, 9, 16. [Google Scholar] [CrossRef]
- Kang, J.; Aletta, F.; Gjestland, T.; Brown, L.; Botteldooren, D.; Schulte-Fortkamp, B.; Lercher, P.; van Kamp, I.; Genuit, K.; Fiebig, A.; et al. Ten questions on the soundscapes of the built environment. Build. Environ. 2016, 108, 284–294. [Google Scholar] [CrossRef]
- Bild, E.; Coler, M.; Pfeffer, K.; Bertolini, L. Considering sound in planning and designing public spaces: A review of theory and applications and a proposed framework for integrating research and practice. J. Plan. Lit. 2016, 31, 419–434. [Google Scholar] [CrossRef]
- Can, A.; L’Hostis, A.; Aumond, P.; Botteldooren, D.; Coelho, M.; Guarnaccia, C.; Kang, J. The future of urban sound environments: Impacting mobility trends and insights for noise assessment and mitigation. Appl. Acoust. 2020, 170, 107518. [Google Scholar] [CrossRef]
- Axelsson, Ö.; Nilsson, M.; Berglund, B. A principal components model of soundscape perception. J. Acoust. Soc. Am. 2010, 128, 2836–2846. [Google Scholar] [CrossRef] [PubMed]
- International Organization for Standardization. ISO/TS 12913-2: 2018 Acoustics—Soundscape—Part 2: Data Collection and Reporting Requirements; ISO: Geneva, Switzerland, 2018. [Google Scholar]
- Weinstein, N. Individual differences in critical tendencies and noise annoyance. J. Sound Vib. 1980, 68, 241–248. [Google Scholar] [CrossRef]
- Benfield, J.; Nurse, G.; Jakubowski, R.; Gibson, A.; Taff, B.; Newman, P.; Bell, P. Testing Noise in the Field: A Brief Measure of Individual Noise Sensitivity. Environ. Behav. 2014, 46, 353–372. [Google Scholar] [CrossRef]
- Van Renterghem, T.; Thomas, P.; Dekoninck, L.; Botteldooren, D. Getting insight in the performance of noise interventions by mobile sound level measurements. Appl. Acoust. 2021. under review. [Google Scholar]
- Van Renterghem, T. Towards explaining the positive effect of vegetation on the perception of environmental noise. Urban For. Urban Green. 2019, 40, 133–144. [Google Scholar] [CrossRef]
- Miedema, H.; Oudshoorn, C. Annoyance from Transportation Noise: Relationships with Exposure Metrics DNL and DENL and Their Confidence Intervals. Environ. Health Perspect. 2001, 109, 409–416. [Google Scholar] [CrossRef] [PubMed]
- Van Renterghem, T.; Vanhecke, K.; Filipan, K.; Sun, K.; De Pessemier, T.; De Coensel, B.; Joseph, W.; Botteldooren, D. Interactive augmentation by natural sounds in a noise polluted urban park. Landsc. Urban Plan. 2020, 194, 103705. [Google Scholar] [CrossRef]
- McClure, C.; Ware, H.; Carlisle, J.; Kaltenecker, G.; Barber, J. An experimental investigation into the effects of traffic noise on distributions of birds: Avoiding the phantom road. Proc. R. Soc. B Biol. Sci. 2013, 280, 20132290. [Google Scholar] [CrossRef] [PubMed]
- Fégeant, O. Wind-induced vegetation noise. Part II: Field measurements. Acta Acust. United Acust. 1999, 85, 241–249. [Google Scholar]
- Aletta, F.; Kang, J. Towards an Urban Vibrancy Model: A Soundscape Approach. Int. J. Environ. Res. Public Health 2018, 15, 1712. [Google Scholar] [CrossRef] [PubMed]
- Sun, K.; De Coensel, B.; Filipan, K.; Aletta, F.; Van Renterghem, T.; De Pessemier, T.; Joseph, W.; Botteldooren, D. Classification of soundscapes of urban public open spaces. Landsc. Urban Plan. 2019, 189, 139–155. [Google Scholar] [CrossRef]
- Van Renterghem, T.; Hernalsteen, H.; Brown, A. Comparing noise policies of eight European cities using a noise intervention classification scheme. In Proceedings of the 23rd International Congress on Acoustics (ICA 2019), Aachen, Germany, 9–13 September 2019; Deutsche Gesellschaft für Akustik: Berlin, Germany, 2019; pp. 397–403. [Google Scholar]
- Echevarria-Sanchez, G.; Alves, S.; Botteldooren, D. Urban Sound Planning: An Essential Component in Urbanism and Landscape Architecture. In Handbook of Research on Perception-Driven Approaches to Urban Assessment and Design; Aletta, F., Xiao, J., Eds.; IGI Global: Hershey, PA, USA, 2018; pp. 1–22. [Google Scholar]









| Question Category | Question(s) | Scale (Extremes) |
|---|---|---|
| (a) Overall experience | “How would you generally describe your experience today when using the path between Bridge 1 and Bridge 2?” | Very bad—Very good (0–10) |
| (b) Soundscape appraisal (“Overall, the acoustic environment you just experienced was…”) | Eventful | Not at all—Completely (0–10) |
| Vibrant | ||
| Pleasant | ||
| Calm | ||
| Uneventful | ||
| Monotonous | ||
| Annoying | ||
| Chaotic | ||
| (c) Noticed sounds (“To what extent, did you hear sounds from...”) | Other people (voices, footsteps,...) | Not at all—To a large extent (1–5) |
| Highway traffic | ||
| Traffic at local roads | ||
| Airplanes | ||
| Railways (trams and trains) | ||
| Nature (birds, rustling of leaves,...) | ||
| (d) Loudness | “When cycling/walking along the path, I rate the loudness of the environmental noise from the Ring road as… “ | Very quiet—Extremely loud (0–10) |
| (e) Noise sensitivity (“Please, state to what extent you agree to each of the following statements...”) | No one should complain when one listens to music for a while. | Do not agree at all—Totally agree (1–5) |
| I wake up quickly because of noise. | ||
| I get bothered when my neighbours are noisy. | ||
| I get used to most noises without much trouble. | ||
| Sometimes noise makes me nervous. | ||
| Music that I usually love bothers me when I am trying to focus. | ||
| I find it difficult to relax in a noisy place. | ||
| It does not matter what’s happening around me, I can always concentrate well. | ||
| I get angry with people making noise, preventing me to sleep or work. | ||
| I am sensitive to noise. | ||
| (f) Comparing new versus old situation | Overall experience: “When comparing the 2020 situation with the one from 2017, my walk/cycling trip today is... “ | Much less pleasant—Much more pleasant (-2 to +2, on a 5-point scale) |
| Specific aspects: “How do you judge the impact of the infrastructural works regarding …”: Traffic safety and connectivity | Very negative—Very positive (-2 to +2, on a 5-point scale) | |
| Environmental noise | ||
| Air quality | ||
| Visual (landscape) |
| Category | 2017 Survey | 2020 Survey |
|---|---|---|
| Number of respondents | 181 | 175 |
| Number of interviews | near Bridge 1: 95 | |
| near Bridge 2: 80 | ||
| Average age | 46.9 years | 45.4 years |
| Gender | 44% female | 46% female |
| Cyclist or walker | 93% cyclist | 83% cyclist |
| Residence | From outside city: 39% | From outside city: 55% |
| Within the city: 34% | Within the city: 13% | |
| Living nearby (<10 min):27%. | Living nearby (<10 min): 32%. | |
| Being professionally active | Full time: 46% | Full time: 45% |
| Part time or less: 28% | Part time or less: 33% | |
| Student: 7% | Student: 6% | |
| Retired: 22% | Retired: 16% | |
| Average noise sensitivity | 3.48 | 3.45 |
| 2017 | 2020 | 2020 | ||||||||||||||||||
|---|---|---|---|---|---|---|---|---|---|---|---|---|---|---|---|---|---|---|---|---|
| 2017 | 2020 | NS | S | NS | S | Bridge1 | Bridge2 | |||||||||||||
| M | SD | M | SD | p | M | SD | M | SD | p | M | SD | M | SD | p | M | SD | M | SD | p | |
| Pleasant | 2.8 | 2.7 | 4.0 | 2.4 | <10−4 ** | 3.4 | 2.6 | 2.2 | 2.7 | 2 × 10−3 ** | 3.8 | 2.3 | 4.1 | 2.5 | 0.51 | 4.3 | 2.4 | 3.6 | 2.4 | 0.04 * |
| Vibrant | 1.0 | 1.8 | 2.9 | 2.3 | <10−4 ** | 1.2 | 1.8 | 0.9 | 1.8 | 0.37 | 2.9 | 2.2 | 2.8 | 2.4 | 0.94 | 3.2 | 2.1 | 2.4 | 2.5 | 0.02 * |
| Eventful | 2.5 | 3.0 | 4.3 | 2.5 | <10−4 ** | 2.7 | 3.0 | 2.3 | 3.0 | 0.35 | 4.2 | 2.4 | 4.5 | 2.7 | 0.43 | 5.1 | 2.1 | 3.4 | 2.7 | <10−4 ** |
| Chaotic | 6.8 | 2.7 | 6.2 | 2.0 | 0.01 ** | 6.5 | 2.7 | 7.2 | 2.8 | 0.09 | 6.0 | 2.0 | 6.3 | 2.1 | 0.33 | 6.3 | 1.7 | 6.1 | 2.4 | 0.61 |
| Annoying | 6.7 | 2.8 | 6.2 | 2.1 | 0.07 | 5.6 | 2.9 | 7.6 | 2.4 | <10−4 ** | 6.0 | 2.1 | 6.4 | 2.0 | 0.19 | 6.0 | 2.0 | 6.4 | 2.1 | 0.21 |
| Monotonous | 6.4 | 2.8 | 6.3 | 2.2 | 0.89 | 5.6 | 3.0 | 7.0 | 2.6 | 10−3 ** | 6.3 | 2.2 | 6.3 | 2.3 | 0.86 | 5.9 | 2.3 | 6.8 | 2.2 | 0.02 * |
| Uneventful | 6.4 | 2.8 | 6.7 | 1.9 | 0.28 | 6.0 | 2.9 | 6.7 | 2.7 | 0.12 | 6.8 | 1.9 | 6.5 | 2.0 | 0.22 | 6.3 | 1.8 | 7.1 | 2.0 | 4 × 10−3 ** |
| Calm | 1.7 | 2.3 | 2.8 | 2.1 | <10−4 ** | 2.1 | 2.4 | 1.3 | 2.1 | 0.02 * | 2.6 | 2.0 | 2.9 | 2.2 | 0.39 | 2.9 | 1.9 | 2.6 | 2.3 | 0.35 |
Publisher’s Note: MDPI stays neutral with regard to jurisdictional claims in published maps and institutional affiliations. |
© 2021 by the authors. Licensee MDPI, Basel, Switzerland. This article is an open access article distributed under the terms and conditions of the Creative Commons Attribution (CC BY) license (https://creativecommons.org/licenses/by/4.0/).
Share and Cite
Van Renterghem, T.; Aletta, F.; Botteldooren, D. Changes in the Soundscape of the Public Space Close to a Highway by a Noise Control Intervention. Sustainability 2021, 13, 5284. https://doi.org/10.3390/su13095284
Van Renterghem T, Aletta F, Botteldooren D. Changes in the Soundscape of the Public Space Close to a Highway by a Noise Control Intervention. Sustainability. 2021; 13(9):5284. https://doi.org/10.3390/su13095284
Chicago/Turabian StyleVan Renterghem, Timothy, Francesco Aletta, and Dick Botteldooren. 2021. "Changes in the Soundscape of the Public Space Close to a Highway by a Noise Control Intervention" Sustainability 13, no. 9: 5284. https://doi.org/10.3390/su13095284
APA StyleVan Renterghem, T., Aletta, F., & Botteldooren, D. (2021). Changes in the Soundscape of the Public Space Close to a Highway by a Noise Control Intervention. Sustainability, 13(9), 5284. https://doi.org/10.3390/su13095284

