Impacts of Composition and Canopy Characteristics of Plant Communities on Microclimate and Airborne Particles in Beijing, China
Abstract
1. Introduction
2. Materials and Methods
2.1. Study Area and Measurement Sites
2.2. Microclimate and Airborne Particle Level Measurements
2.3. Classification of Plant Community Types and Measurements of Canopy Characteristics
2.4. Data Analysis
3. Results
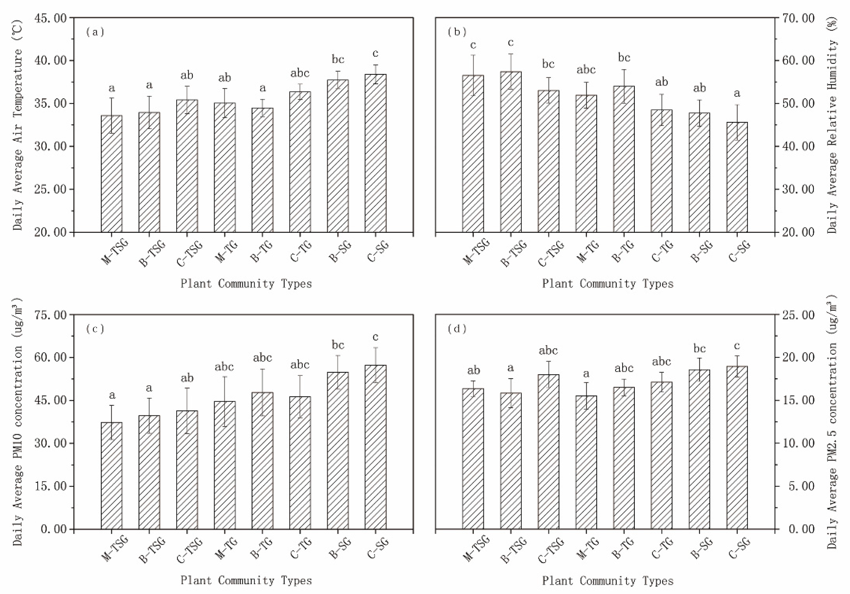
3.1. Microclimate and Airborne Particle Levels of Different Community Types
3.1.1. Air Temperature and Relative Humidity
3.1.2. Particulate Matter Concentrations
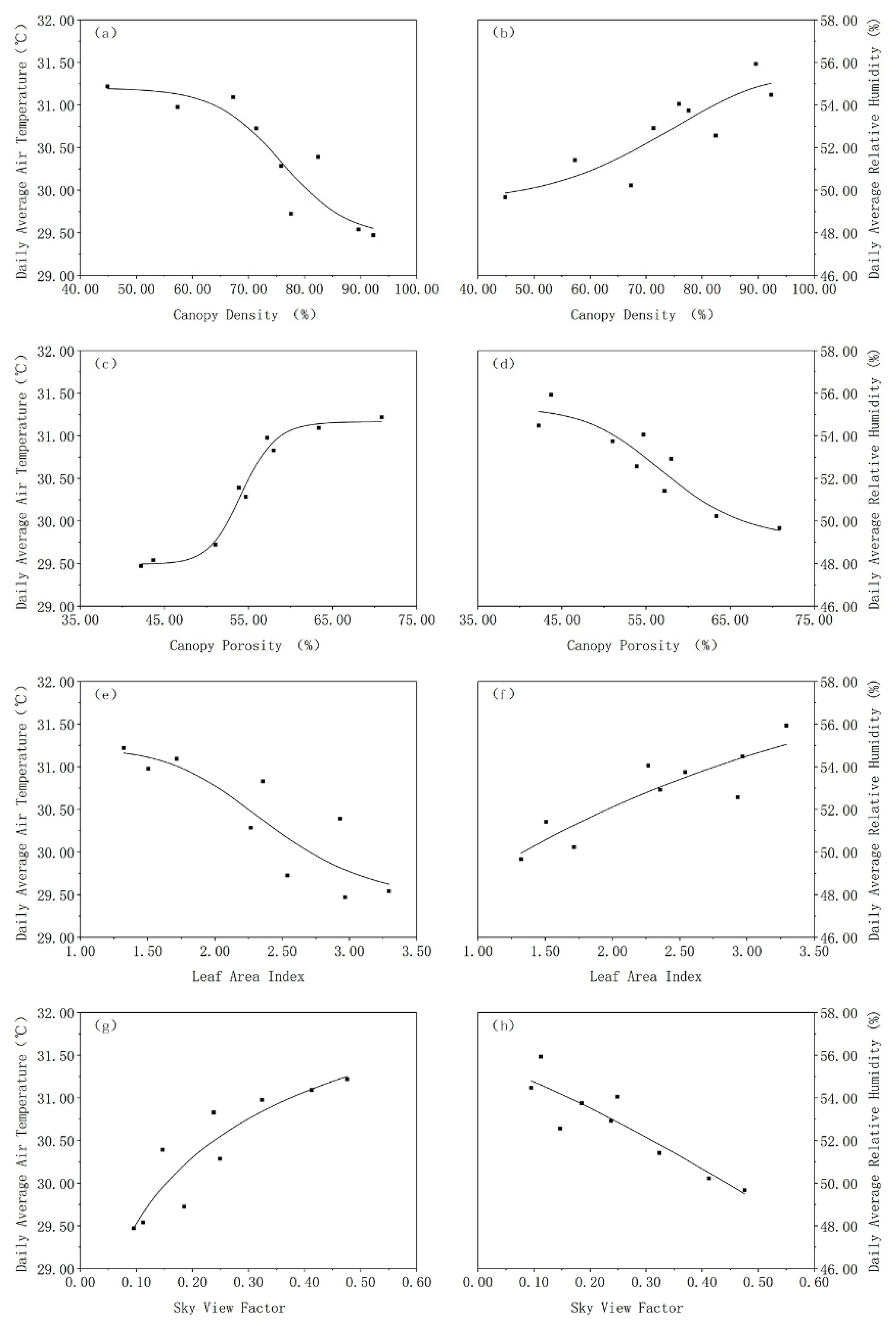
3.2. Response of Microclimate and Airborne Particle Levels to Plant Community Canopy Characteristics
3.2.1. Air Temperature and Relative Humidity
3.2.2. Particulate Matter Concentrations
4. Discussion
4.1. Effects of Plant Community Composition on Microclimate and Airborne Particle Levels
4.2. Critical Thresholds of Plant Community Canopy’s Regulating Effects on Microclimate and Airborne Particle Levels
5. Conclusions
Author Contributions
Funding
Institutional Review Board Statement
Informed Consent Statement
Data Availability Statement
Acknowledgments
Conflicts of Interest
References
- Grimm, N.B.; Faeth, S.H.; Golubiewski, N.E.; Redman, C.L.; Wu, J.; Bai, X.; Briggs, J.M. Global Change and the Ecology of Cities. Science 2008, 319, 756–760. [Google Scholar] [CrossRef] [PubMed]
- King, K.L.; Johnson, S.; Kheirbek, I.; Lu, J.W.; Matte, T. Differences in magnitude and spatial distribution of urban forest pollution deposition rates, air pollution emissions, and ambient neighborhood air quality in New York City. Landsc. Urban Plan. 2014, 128, 14–22. [Google Scholar] [CrossRef]
- Rizwan, A.M.; Dennis, L.Y.; Liu, C. A review on the generation, determination and mitigation of Urban Heat Island. J. Environ. Sci. 2008, 20, 120–128. [Google Scholar] [CrossRef]
- Beijing Municipal Environmental Protection Bureau. Air Quality Status in Beijing 2019. 2020. Available online: http://sthjj.beijing.gov.cn/bjhrb/index/xxgk69/sthjlyzwg/1718880/1718889/1725050/index.html (accessed on 23 January 2020).
- Marando, F.; Salvatori, E.; Sebastiani, A.; Fusaro, L.; Manes, F. Regulating Ecosystem Services and Green Infrastructure: Assessment of Urban Heat Island effect mitigation in the municipality of Rome, Italy. Ecol. Model. 2019, 392, 92–102. [Google Scholar] [CrossRef]
- Schwarz, N.; Schlink, U.; Franck, U.; Großmann, K. Relationship of land surface and air temperatures and its implica-tions for quantifying urban heat island indicators—An application for the city of Leipzig (Germany). Ecol. Ind. 2012, 18, 693–704. [Google Scholar] [CrossRef]
- Voogt, J.; Oke, T. Thermal remote sensing of urban climates. Remote Sens. Environ. 2003, 86, 370–384. [Google Scholar] [CrossRef]
- Nowak, D.J.; Hirabayashi, S.; Bodine, A.; Greenfield, E. Tree and forest effects on air quality and human health in the United States. Environ. Pollut. 2014, 193, 119–129. [Google Scholar] [CrossRef]
- Giridharan, R.; Lau, S.; Ganesan, S.; Givoni, B. Urban design factors influencing heat island intensity in high-rise high-density environments of Hong Kong. Build. Environ. 2007, 42, 3669–3684. [Google Scholar] [CrossRef]
- Gober, P.; Brazel, A.; Quay, R.; Myint, S.; Grossman-Clarke, S.; Miller, A.; Rossi, S. Using Watered Landscapes to Manipulate Urban Heat Island Effects: How Much Water Will It Take to Cool Phoenix? J. Am. Plan. Assoc. 2009, 76, 109–121. [Google Scholar] [CrossRef]
- Zhao, X.; Liu, J.; Bu, Y. Quantitative Analysis of Spatial Heterogeneity and Driving Forces of the Thermal Environment in Urban Built-Up Areas: A Case Study in Xi’an, China. Sustainability 2021, 13, 1870. [Google Scholar] [CrossRef]
- Li, L.; Wang, W.; Feng, J.; Zhang, D.; Li, H.; Gu, Z.; Wang, B.; Sheng, G.; Fu, J. Composition, source, mass closure of PM2.5 aerosols for four forests in eastern China. J. Environ. Sci. 2010, 22, 405–412. [Google Scholar] [CrossRef]
- Masiol, M.; Squizzato, S.; Rampazzo, G.; Pavoni, B. Source apportionment of PM2.5 at multiple sites in Venice (Italy): Spatial variability and the role of weather. Atmos. Environ. 2014, 98, 78–88. [Google Scholar] [CrossRef]
- Rooney, M.S.; Arku, R.E.; Dionisio, K.L.; Paciorek, C.; Friedman, A.B.; Carmichael, H.; Zhou, Z.; Hughes, A.F.; Vallarino, J.; Agyei-Mensah, S.; et al. Spatial and temporal patterns of particulate matter sources and pollution in four communities in Accra, Ghana. Sci. Total Environ. 2012, 435–436, 107–114. [Google Scholar] [CrossRef]
- Garcia, J.N.P.M.; Cerdeira, R.S.D.S.; Tavares, N.A.; Coelho, L.M.R. Studying street geometry influence in PM10 concentration. Int. J. Environ. Pollut. 2012, 50, 283. [Google Scholar] [CrossRef]
- Gomez-Martinez, F.; Beurs, K.M.D.; Koch, J.; Widener, J. Multi-Temporal Land Surface Temperature and Vegetation Green-ness in Urban Green Spaces of Puebla, Mexico. Land 2021, 10, 155. [Google Scholar] [CrossRef]
- Hoek, G.; Beelen, R.; Hoogh, K.; Vienneau, D.; Gulliver, J.; Fischer, P.; Briggs, D. A Review of Land-use Regression Models to Assess Spatial Variation of Outdoor Air Pollution. Atmos. Environ. 2008, 42, 7561–7578. [Google Scholar] [CrossRef]
- Zhai, L.; Zou, B.; Fang, X.; Luo, Y.; Wan, N.; Li, S. Land Use Regression Modeling of PM2.5 Concentrations at Optimized Spatial Scales. Atmosphere 2016, 8, 1. [Google Scholar] [CrossRef]
- Ng, E.; Chen, L.; Wang, Y.; Yuan, C. A study on the cooling effects of greening in a high-density city: An experience from Hong Kong. Build. Environ. 2012, 47, 256–271. [Google Scholar] [CrossRef]
- Nowak, D.J.; Crane, D.E.; Stevens, J.C. Air pollution removal by urban trees and shrubs in the United States. Urban For. Urban Green. 2006, 4, 115–123. [Google Scholar] [CrossRef]
- Yin, S.; Cai, J.; Chen, L.; Shen, Z.; Zou, X.; Wu, D.; Wang, W. Effects of vegetation status in urban green spaces on particles removal in a canyon street atmosphere. Acta Ecol. Sin. 2007, 27, 4590–4595. [Google Scholar]
- Yin, S.; Shen, Z.; Zhou, P.; Zou, X.; Che, S.; Wang, W. Quantifying air pollution attenuation within urban parks: An experimental approach in Shanghai, China. Environ. Pollut. 2011, 159, 2155–2163. [Google Scholar] [CrossRef]
- Litschke, T.; Kuttler, W. On the reduction of urban particle concentration by vegetation a review. Meteorol. Z. 2008, 17, 229–240. [Google Scholar] [CrossRef]
- Onishi, A.; Cao, X.; Ito, T.; Shi, F.; Imura, H. Evaluating the potential for urban heat-island mitigation by greening parking lots. Urban For. Urban Green. 2010, 9, 323–332. [Google Scholar] [CrossRef]
- Paoletti, E.; Bardelli, T.; Giovannini, G.; Pecchioli, L. Air quality impact of an urban park over time. Procedia Environ. Sci. 2011, 4, 10–16. [Google Scholar] [CrossRef]
- Dimoudi, A.; Nikolopoulou, M. Vegetation in the urban environment: Microclimatic analysis and benefits. Energy Build. 2003, 35, 69–76. [Google Scholar] [CrossRef]
- Georgi, J.N.; Dimitriou, D. The contribution of urban green spaces to the improvement of environment in cities: Case study of Chania, Greece. Build. Environ. 2010, 45, 1401–1414. [Google Scholar] [CrossRef]
- Oliveira, S.; Andrade, H.; Vaz, T. The cooling effect of green spaces as a contribution to the mitigation of urban heat: A case study in Lisbon. Build. Environ. 2011, 46, 2186–2194. [Google Scholar] [CrossRef]
- Cavanagh, J.-A.E.; Zawar-Reza, P.; Wilson, J.G. Spatial attenuation of ambient particulate matter air pollution within an urbanised native forest patch. Urban For. Urban Green. 2009, 8, 21–30. [Google Scholar] [CrossRef]
- Janhäll, S. Review on urban vegetation and particle air pollution—Deposition and dispersion. Atmos. Environ. 2015, 105, 130–137. [Google Scholar] [CrossRef]
- Fowler, D.; Skiba, U.; Nemitz, E.; Choubedar, F.; Branford, D.; Donovan, R.; Rowland, P. Measuring Aerosol and Heavy Metal Deposition on Urban Woodland and Grass Using Inventories of210Pb and Metal Concentrations in Soil. Water Air Soil Pollut. Focus 2004, 4, 483–499. [Google Scholar] [CrossRef]
- Skelhorn, C.; Lindley, S.; Levermore, G. The impact of vegetation types on air and surface temperatures in a temperate city: A fine scale assessment in Manchester, UK. Landsc. Urban Plan. 2014, 121, 129–140. [Google Scholar] [CrossRef]
- Hardin, P.J.; Jensen, R.R. The effect of urban leaf area on summertime urban surface kinetic temperatures: A Terre Haute case study. Urban For. Urban Green. 2007, 6, 63–72. [Google Scholar] [CrossRef]
- Peters, E.B.; McFadden, J.P. Influence of seasonality and vegetation type on suburban microclimates. Urban Ecosyst. 2010, 13, 443–460. [Google Scholar] [CrossRef]
- Srivanit, M.; Hokao, K. Evaluating the cooling effects of greening for improving the outdoor thermal environment at an institutional campus in the summer. Build. Environ. 2013, 66, 158–172. [Google Scholar] [CrossRef]
- Givoni, B. Impact of planted areas on urban environmental quality: A review. Atmos. Environ. Part B Urban Atmos. 1991, 25, 289–299. [Google Scholar] [CrossRef]
- Liu, X.; Yu, X.; Zhang, Z. PM2.5 Concentration Differences between Various Forest Types and Its Correlation with Forest Structure. Atmosphere 2015, 6, 1801–1815. [Google Scholar] [CrossRef]
- Setälä, H.; Viippola, V.; Rantalainen, A.-L.; Pennanen, A.; Yli-Pelkonen, V. Does urban vegetation mitigate air pollution in northern conditions? Environ. Pollut. 2013, 183, 104–112. [Google Scholar] [CrossRef]
- Tang, Z.; Ren, Z.; Zheng, H.; He, X. Cooling effects of urban forest community structure. Chinese J. Appl. Ecol. 2017, 28, 2823–2830. [Google Scholar] [CrossRef]
- Ngarambe, J.; Joen, S.J.; Han, C.-H.; Yun, G.Y. Exploring the relationship between particulate matter, CO, SO2, NO2, O3 and urban heat island in Seoul, Korea. J. Hazard. Mater. 2021, 403, 123615. [Google Scholar] [CrossRef]
- Sebastiani, A.; Marando, F.; Manes, F. Mismatch of regulating ecosystem services for sustainable urban planning: PM10 removal and urban heat island effect mitigation in the municipality of Rome (Italy). Urban For. Urban Green. 2021, 57, 126938. [Google Scholar] [CrossRef]
- Dimitriou, K.; Kassomenos, P. Local and regional sources of fine and coarse particulate matter based on traffic and background monitoring. Theor. Appl. Clim. 2013, 116, 413–433. [Google Scholar] [CrossRef]
- Masoudi, M.; Tan, P. Multi-year comparison of the effects of spatial pattern of urban green spaces on urban land sur-face temperature. Landscape Urban Plann. 2019, 184, 44–58. [Google Scholar] [CrossRef]
- Song, Y.; Song, X.; Shao, G. Effects of Green Space Patterns on Urban Thermal Environment at Multiple Spatial–Temporal Scales. Sustainable 2020, 12, 6850. [Google Scholar] [CrossRef]
- Beijing Meteorological Bureau. Climatic Characteristics of Beijing 2019. 2019. Available online: http://bj.cma.gov.cn/xwzx/qxyw/202001/t20200115_1380086.html (accessed on 13 January 2020).
- Sun, C.-Y. A street thermal environment study in summer by the mobile transect technique. Theor. Appl. Clim. 2011, 106, 433–442. [Google Scholar] [CrossRef]
- Matzarakis, A.; Rutz, F.; Mayer, H. Modelling radiation fluxes in simple and complex environments—application of the RayMan model. Int. J. Biometeorol. 2007, 51, 323–334. [Google Scholar] [CrossRef] [PubMed]
- Mori, J.; Sæbø, A.; Hanslin, H.M.; Teani, A.; Ferrini, F.; Fini, A.; Burchi, G. Deposition of traffic-related air pollutants on leaves of six evergreen shrub species during a Mediterranean summer season. Urban For. Urban Green. 2015, 14, 264–273. [Google Scholar] [CrossRef]
- Xu, Y.; Xu, W.; Mo, L.; Heal, M.R.; Xu, X.; Yu, X. Quantifying particulate matter accumulated on leaves by 17 species of urban trees in Beijing, China. Environ. Sci. Pollut. Res. 2018, 25, 12545–12556. [Google Scholar] [CrossRef] [PubMed]
- Qin, Z.; Li, Z.; Cheng, F.; Chen, J.; Liang, B. Influence of canopy structural characteristics on cooling and humidifying effects of Populus tomentosa community on calm sunny summer days. Landsc. Urban Plan. 2014, 127, 75–82. [Google Scholar] [CrossRef]
- Liu, J.; Li, S.; Wu, F.; Liu, J.; Zhang, Z. The ecological effects between pure woodland and mixed of urban green space. Acta Ecol. Sin. 2007, 27, 674–684. [Google Scholar]
- Qin, J.; Wang, L.; Hu, Y.; Zhang, M.; You, W. Effect of Plant Community on Temperature Lowering and Humidity Increasing in Residential Areas of Shanghai. J. Ecol. R. Environ. 2009, 25, 92–95. [Google Scholar]
- Zhu, C.; Ji, P.; Li, S. Effects of the different structure of urban green belts on the air quality. J. Nanjing Forestry Univ. (Nat. Sci. Ed.) 2013, 37, 18–24. [Google Scholar]
- Gao, G.; Sun, F.; Thao, N.T.T.; Lun, X.; Yu, X. Different Concentrations of TSP, PM10, PM2.5, and PM1 of Several Urban Forest Types in Different Seasons. Pol. J. Environ. Stud. 2015, 24, 2387–2395. [Google Scholar] [CrossRef]
- Nguyen, T.; Yu, X.; Zhang, Z.; Liu, M.; Liu, X. Relationship between types of urban forest and PM2.5 capture at three growth stages of leaves. J. Environ. Sci. 2015, 27, 33–41. [Google Scholar] [CrossRef] [PubMed]
- Tallis, M.; Taylor, G.; Sinnett, D.; Freer-Smith, P. Estimating the removal of atmospheric particulate pollution by the urban tree canopy of London, under current and future environments. Landsc. Urban Plan. 2011, 103, 129–138. [Google Scholar] [CrossRef]
- Fan, S.X.; Yan, H.; Qi, S.M.Y.; Bai, W.L.; Pi, D.J.; Li, X.; Dong, L. Dust capturing capacities of twenty-six deciduous broad-leaved trees in Beijing. Chin. J. Plant Ecol. 2015, 39, 736–745. [Google Scholar] [CrossRef]
- Popek, R.; Gawrońska, H.; Wrochna, M.; Gawroński, S.W.; Saebø, A. Particulate Matter on Foliage of 13 Woody Species: Deposition on Surfaces and Phytostabilisation in Waxes—A 3-Year Study. Int. J. Phytoremed. 2013, 15, 245–256. [Google Scholar] [CrossRef] [PubMed]
- Hallquist, M.; Wenger, J.C.; Baltensperger, U.; Rudich, Y.; Simpson, D.; Claeys, M.; Dommen, J.; Donahue, N.M.; George, C.; Goldstein, A.H.; et al. The formation, properties and impact of secondary organic aerosol: Current and emerging issues. Atmos. Chem. Phys. 2009, 9, 5155–5236. [Google Scholar] [CrossRef]
- Schaubroeck, T.; Deckmyn, G.; Neirynck, J.; Staelens, J.; Adriaenssens, S.; Dewulf, J.; Muys, B.; Verheyen, K. Multilayered Modeling of Particulate Matter Removal by a Growing Forest over Time, From Plant Surface Deposition to Washoff via Rainfall. Environ. Sci. Technol. 2014, 48, 10785–10794. [Google Scholar] [CrossRef]






| Residential Area | Build Time | Total Area | Vegetation Area | Vegetation Coverage |
|---|---|---|---|---|
| (m2) | (m2) | (%) | ||
| WJHY | 2002 | 239,167.20 | 113,197.80 | 47.33 |
| XY | 2003 | 135,437.57 | 58,915.34 | 43.50 |
| SDZ | 1993 | 129,022.85 | 64,214.67 | 49.77 |
| HPJY | 1985 | 499,524.66 | 292,521.60 | 58.56 |
| No. | Composition Types | Average Height (m) | Average Crown Diameter (m) | Average DBH/GD (cm) |
|---|---|---|---|---|
| A1 | M-TSG | 6.21 | 4.30 | 11.25 |
| A2 | B-TSG | 5.40 | 3.95 | 16.00 |
| A3 | C-TSG | 8.84 | 3.26 | 10.18 |
| A4 | M-TG | 9.29 | 4.46 | 14.53 |
| A5 | B-TG | 2.93 | 2.22 | 15.35 |
| A6 | C-TG | 4.79 | 3.91 | 8.73 |
| A7 | B-SG | 1.63 | 2.48 | 13.44 |
| A8 | C-SG | 0.73 | 1.47 | 5.02 |
| B1 | M-TSG | 4.06 | 3.92 | 18.70 |
| B2 | B-TSG | 3.86 | 5.77 | 8.78 |
| B3 | C-TSG | 7.19 | 3.45 | 8.75 |
| B4 | M-TG | 5.32 | 3.03 | 17.69 |
| B5 | B-TG | 7.39 | 3.30 | 8.13 |
| B6 | C-TG | 5.43 | 2.84 | 12.11 |
| B7 | B-SG | 1.58 | 1.15 | 16.81 |
| B8 | C-SG | 0.58 | 2.08 | 5.25 |
| C1 | M-TSG | 5.32 | 3.19 | 12.87 |
| C2 | B-TSG | 7.91 | 4.54 | 14.36 |
| C3 | C-TSG | 6.27 | 2.63 | 19.67 |
| C4 | M-TG | 8.33 | 4.22 | 20.04 |
| C5 | B-TG | 4.45 | 3.53 | 15.93 |
| C6 | C-TG | 5.32 | 3.08 | 14.04 |
| C7 | B-SG | 1.93 | 2.46 | 7.60 |
| C8 | C-SG | 0.61 | 1.35 | 4.37 |
| No. | Composition Types | Average Height (m) | Average Crown Diameter (m) | Average DBH/GD(cm) |
|---|---|---|---|---|
| D1 | M-TSG | 9.10 | 4.50 | 19.50 |
| D2 | B-TSG | 5.63 | 4.53 | 11.47 |
| D3 | B-TSG | 4.67 | 4.01 | 9.13 |
| D4 | M-TSG | 11.15 | 6.34 | 18.53 |
| D5 | M-TSG | 8.92 | 6.48 | 19.49 |
| D6 | M-TSG | 6.40 | 4.77 | 14.39 |
| D7 | B-TSG | 11.74 | 4.70 | 29.89 |
| D8 | M-TSG | 8.57 | 5.69 | 28.74 |
| D9 | M-TSG | 6.97 | 3.21 | 15.55 |
| No. | CD (%) | CP (%) | LAI | SVF (%) |
|---|---|---|---|---|
| D1 | 44.879 | 70.864 | 1.322 | 0.476 |
| D2 | 57.311 | 57.192 | 1.506 | 0.324 |
| D3 | 67.264 | 63.336 | 1.714 | 0.412 |
| D4 | 71.369 | 57.968 | 2.356 | 0.238 |
| D5 | 75.840 | 54.686 | 2.268 | 0.249 |
| D6 | 77.589 | 51.036 | 2.540 | 0.185 |
| D7 | 82.392 | 53.866 | 2.932 | 0.147 |
| D8 | 89.585 | 43.706 | 3.294 | 0.112 |
| D9 | 92.280 | 42.213 | 2.968 | 0.095 |
| No. | dAT (°C) | dRH (%) | dPM10 (ug/m3) | dPM2.5 (ug/m3) |
|---|---|---|---|---|
| D1 | 31.218 | 49.666 | 109.923 | 44.565 |
| D2 | 30.977 | 51.415 | 107.745 | 41.593 |
| D3 | 31.091 | 50.228 | 104.441 | 42.715 |
| D4 | 30.829 | 52.922 | 103.083 | 39.040 |
| D5 | 30.286 | 54.053 | 105.297 | 37.943 |
| D6 | 29.724 | 53.746 | 94.929 | 35.732 |
| D7 | 30.391 | 52.569 | 100.944 | 38.764 |
| D8 | 29.540 | 55.932 | 98.622 | 40.678 |
| D9 | 29.471 | 54.479 | 101.549 | 40.198 |
| No. | CD | CP | LAI | SVF | ||||
|---|---|---|---|---|---|---|---|---|
| cc | sig. | cc | sig. | cc | sig. | cc | sig. | |
| dAT | −0.874 ** | 0.002 | 0.930 ** | 0.000 | −0.867 ** | 0.002 | 0.885 ** | 0.002 |
| dRH | 0.865 ** | 0.003 | −0.917 ** | 0.001 | 0.880 ** | 0.002 | −0.902 ** | 0.001 |
| dPM10 | −0.769 * | 0.015 | 0.711 * | 0.032 | −0.788 * | 0.012 | 0.762 * | 0.017 |
| dPM2.5 | −0.591 | 0.094 | 0.551 | 0.124 | −0.570 | 0.109 | 0.671 * | 0.048 |
Publisher’s Note: MDPI stays neutral with regard to jurisdictional claims in published maps and institutional affiliations. |
© 2021 by the authors. Licensee MDPI, Basel, Switzerland. This article is an open access article distributed under the terms and conditions of the Creative Commons Attribution (CC BY) license (https://creativecommons.org/licenses/by/4.0/).
Share and Cite
Fan, S.; Zhang, M.; Li, Y.; Li, K.; Dong, L. Impacts of Composition and Canopy Characteristics of Plant Communities on Microclimate and Airborne Particles in Beijing, China. Sustainability 2021, 13, 4791. https://doi.org/10.3390/su13094791
Fan S, Zhang M, Li Y, Li K, Dong L. Impacts of Composition and Canopy Characteristics of Plant Communities on Microclimate and Airborne Particles in Beijing, China. Sustainability. 2021; 13(9):4791. https://doi.org/10.3390/su13094791
Chicago/Turabian StyleFan, Shuxin, Mengyuan Zhang, Yilun Li, Kun Li, and Li Dong. 2021. "Impacts of Composition and Canopy Characteristics of Plant Communities on Microclimate and Airborne Particles in Beijing, China" Sustainability 13, no. 9: 4791. https://doi.org/10.3390/su13094791
APA StyleFan, S., Zhang, M., Li, Y., Li, K., & Dong, L. (2021). Impacts of Composition and Canopy Characteristics of Plant Communities on Microclimate and Airborne Particles in Beijing, China. Sustainability, 13(9), 4791. https://doi.org/10.3390/su13094791
