Effects of Landscape Positions and Landscape Types on Soil Properties and Chlorophyll Content of Citrus in a Sloping Orchard in the Three Gorges Reservoir Area, China
Abstract
1. Introduction
2. Materials and Methods
2.1. Study Area
2.2. Experimental Design
2.3. Soil Sampling and Chlorophyll Content of Citrus
2.4. Data Analysis
2.4.1. Statistics Analysis
2.4.2. Redundancy Analysis Method
3. Results and Discussion
3.1. The Description of Soil Properties and CCC
3.2. Soil Properties Correlations
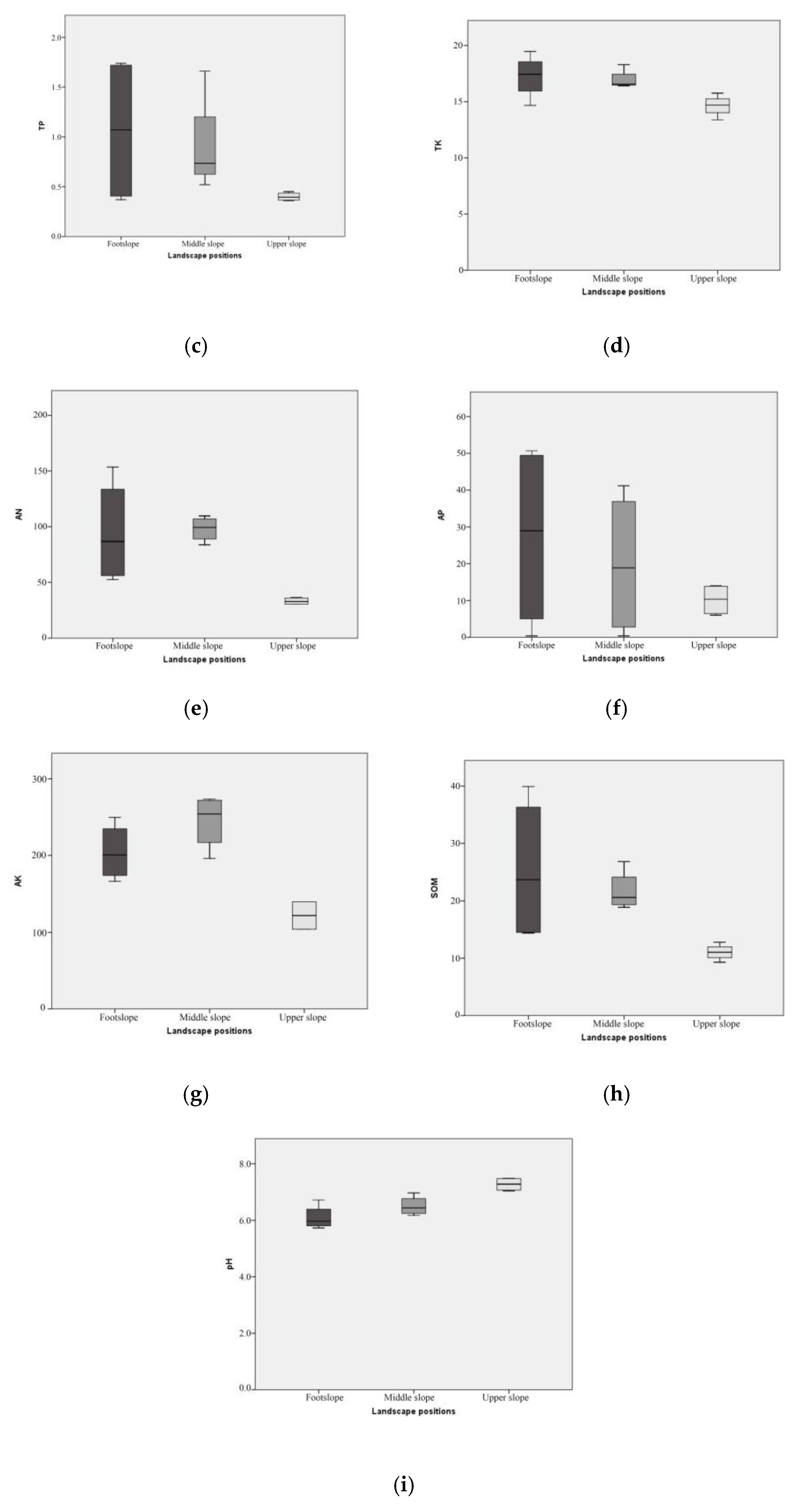
3.3. The Effect of Landscape Positions on Soil Properties and CCC
3.4. The Effect of Landscape Types on Soil Properties and CCC
3.5. Redundancy Analysis (RDA)
4. Conclusions
Author Contributions
Funding
Acknowledgments
Conflicts of Interest
References
- Wen, Z.F. Thoughts on the Construction of Chongqing Citrus Industry Development Technology System. Southwest Hortic. 2002, 30, 15–17+20. [Google Scholar]
- Liu, Y.S.; Zhang, Z.W.; Wang, J.Y. Regional differentiation and comprehensive regionalization scheme of modern agriculture in China. Acta Geogr. Sin. 2018, 73, 203–218. [Google Scholar]
- Zhang, X.; Zhang, J.; Li, L.; Zhang, Y.; Yang, G. Monitoring Citrus Soil Moisture and Nutrients Using an IoT Based System. Sensors 2017, 17, 447. [Google Scholar] [CrossRef] [PubMed]
- Abdollahnejad, A.; Panagiotidis, D.; Shataee Joybari, S.; Surový, P. Prediction of Dominant Forest Tree Species Using QuickBird and Environmental Data. Forests 2017, 8, 42. [Google Scholar] [CrossRef]
- Wan, S.-Z.; Gu, H.-J.; Yang, Q.-P.; Hu, X.-F.; Fang, X.-M.; Singh, A.N.; Chen, F.-S. Long-term fertilization increases soil nutrient accumulations but decreases biological activity in navel orange orchards of subtropical China. J. Soils Sediments 2017, 17, 2346–2356. [Google Scholar] [CrossRef]
- Jiang, P.; Thelen, K.D. Effect of soil and topographic properties on crop yield in a north-central corn-soybean cropping system. Agron. J. 2004, 96, 252–258. [Google Scholar] [CrossRef]
- Kravchenko, A.N.; Bullock, D.G. Correlation of corn and soybean grain yield with topography and soil properties. Agron. J. 2000, 92, 75–83. [Google Scholar] [CrossRef]
- Jiang, Y.; Sun, K.; Guo, X.; Ye, Y.; Rao, L.; Li, W. Prediction of spatial distribution of soil properties based on environmental factors and neighbor information. Res. Environ. Sci. 2017, 30, 1059–1068. [Google Scholar]
- XiaoHua, X.; Xin-Fa, X.; Sheng, L.; ShaSha, F.; Gaowei, W. Soil Erosion Environmental Analysis of the Three Gorges Reservoir AreaBased on the “3S” Technology. Procedia Environ. Sci. 2011, 10, 2218–2225. [Google Scholar] [CrossRef]
- Teng, M.; Zeng, L.; Xiao, W.; Huang, Z.; Zhou, Z.; Yan, Z.; Wang, P. Spatial variability of soil organic carbon in Three Gorges Reservoir area, China. Sci. Total Environ. 2017, 599, 1308–1316. [Google Scholar] [CrossRef] [PubMed]
- Shen, Z.; Chen, L.; Hong, Q.; Qiu, J.; Xie, H.; Liu, R. Assessment of nitrogen and phosphorus loads and causal factors from different land use and soil types in the Three Gorges Reservoir Area. Sci. Total Environ. 2013, 454, 383–392. [Google Scholar] [CrossRef]
- Xu, F.; Cai, Q.G.; Wu, S.A.; Zhang, G.Y.; Ding, S.W.; Cai, C.F. Research on the Control of Soil Nutrient Loss by Slope Land Ecological Engineering in the Three Gorges Reservoir Area—Take contour hedges as an example. Geogr. Res. 2000, 19, 303–310. [Google Scholar]
- Hook, P.B.; Burke, I.C. Biogeochemistry in A Shortgrass Landscape: Control by Topography, Soil Texture, and Microclimate. Ecology 2000, 81, 2686–2703. [Google Scholar] [CrossRef]
- Ovalles, F.A.; Collins, M.E. Soil-landscape Relationships and Soil Variability in North Central Florida. Soil Sci. Soc. Am. J. 1986, 50, 401–408. [Google Scholar] [CrossRef]
- Arnaez, J.; Lasanta, T.; Errea, M.P.; Ortigosa, L. Land abandonment, landscape evolution, and soil erosion in a Spanish Mediterranean mountain region: The case of Camero Viejo. Land Degrad. Dev. 2011, 22, 537–550. [Google Scholar] [CrossRef]
- Wang, J.; Fu, B.; Qiu, Y.; Chen, L. Soil nutrients in relation to land use and landscape position in the semi-arid small catchment on the loess plateau in China. J. Arid Environ. 2001, 48, 537–550. [Google Scholar] [CrossRef]
- Park, S.J.; Vlek, P.L.G. Environmental correlation of three-dimensional soil spatial variability: A comparison of three adaptive techniques. Geoderma 2002, 109, 117–140. [Google Scholar] [CrossRef]
- Gogoi, M.; Basumatary, M. Estimation of the chlorophyll concentration in seven Citrus species of Kokrajhar district, BTAD, Assam, India. Trop. Plant Res. 2018, 5, 83–87. [Google Scholar] [CrossRef]
- Shaahan, M.M.; El-Sayed, A.A.; Abou El-Nour, E.A.A. Predicting nitrogen, magnesium and iron nutritional status in some perennial crops using a portable chlorophyll meter. Sci. Hortic. 1999, 82, 339–348. [Google Scholar] [CrossRef]
- Haboudane, D.; Miller, J.R.; Tremblay, N.; Zarco-Tejada, P.J.; Dextraze, L. Integrated narrow-band vegetation indices for prediction of crop chlorophyll content for application to precision agriculture. Remote Sens. Environ. 2002, 81, 416–426. [Google Scholar] [CrossRef]
- Shi, D.-Y.; Liu, Z.-X.; Jin, W.-W. Biosynthesis, catabolism and related signal regulations of plant chlorophyll. Hereditas 2009, 31, 698–704. [Google Scholar] [CrossRef]
- Esposti, M.D.D.; de Siqueira, D.L.; Pereira, P.R.G.; Venegas, V.H.A.; Salomão, L.C.C.; Filho, J.A.M. Assessment of Nitrogenized Nutrition of Citrus Rootstocks Using Chlorophyll Concentrations in the Leaf. J. Plant Nutr. 2003, 26, 1287–1299. [Google Scholar] [CrossRef]
- Brubaker, S.C.; Jones, A.J.; Lewis, D.T.; Frank, K. Soil Properties Associated with Landscape Position. Soil Sci. Soc. Am. J. 1993, 57, 235–239. [Google Scholar] [CrossRef]
- Tong, L.L. Application of RDA analysis in Canoco4.5 in water ecological evaluation. Technol. Wind 2018, 2, 47. [Google Scholar]
- Zhai, J.; Song, Y.; Entemake, W.; Xu, H.; Wu, Y.; Qu, Q.; Xue, S. Change in Soil Particle Size Distribution and Erodibility with Latitude and Vegetation Restoration Chronosequence on the Loess Plateau, China. Int. J. Environ. Res. Public Health 2020, 17, 822. [Google Scholar] [CrossRef]
- Liu, Y.; He, N.; Wen, X.; Yu, G.; Gao, Y.; Jia, Y. Patterns and regulating mechanisms of soil nitrogen mineralization and temperature sensitivity in Chinese terrestrial ecosystems. Agric. Ecosyst. Environ. 2016, 215, 40–46. [Google Scholar] [CrossRef]
- Weng, H.L.; Ci, E.; Li, S.; Lian, M.S.; Chen, L. Pedogenetic Process and Taxonomy of Yellow Soil in Chongqing, China. Acta Pedol. Sin. 2020, 57, 579–589. [Google Scholar]
- Lysenko, V.; Kosolapov, A.; Usova, E.; Tatosyan, M.; Varduny, T.; Dmitriev, P.; Rajput, V.; Krasnov, V.; Kunitsina, A. Chlorophyll fluorescence kinetics and oxygen evolution in Chlorella vulgaris cells: Blue vs. red light. J. Plant Physiol. 2021, 258–259, 153392. [Google Scholar] [CrossRef]
- Chen, H.; Li, Q.-P.; Zeng, Y.-L.; Deng, F.; Ren, W.-J. Effect of different shading materials on grain yield and quality of rice. Sci. Rep. 2019, 9, 9992. [Google Scholar] [CrossRef]
- Richter, G.; Wessel, K. Red light inhibits blue light-induced chloroplast development in cultured plant cells at the mRNA level. Plant Mol. Biol. 1985, 5, 175–182. [Google Scholar] [CrossRef]
- Sigua, G.C.; Coleman, S.W. Spatial distribution of soil carbon in pastures with cow-calf operation: Effects of slope aspect and slope position. J. Soils Sediments 2010, 10, 240–247. [Google Scholar] [CrossRef]
- Guo, X.; Fu, Q.; Hang, Y.; Lu, H.; Gao, F.; Si, J. Spatial Variability of Soil Moisture in Relation to Land Use Types and Topographic Features on Hillslopes in the Black Soil (Mollisols) Area of Northeast China. Sustainability 2020, 12, 3552. [Google Scholar] [CrossRef]
- Jia, D.; Qian, W.; Hui, Y.; Shouren, Z. Effects of topographic variations and soil characteristics on plant functional traits in a subtropical evergreen broad-leaved forest. Biodivers. Sci. 2011, 19, 158–167. [Google Scholar] [CrossRef]
- Tang, X.F.; Wang, Y.Q.; Wang, Y.J.; Guo, P.; Hu, B.; Sun, S.Q. Influence of hydrological processes on the runoff variation of base cations in Jinyun Mountain. Acta Ecol. Sin. 2014, 34, 7047–7056. [Google Scholar]
- Hu, C.; Wright, A.L.; Lian, G. Estimating the spatial distribution of soil properties using environmental variables at a catchment scale in the loess hilly area, China. Int. J. Environ. Res. Public Health. 2019, 16, 491. [Google Scholar] [CrossRef]
- Ni, S.J.; Zhang, J.H. Variation of chemical properties as affected by soil erosion on hillslopes and terraces. Eur. J. Soil Sci. 2007, 58, 1285–1292. [Google Scholar] [CrossRef]
- Su, Z.A.; Zhang, J.H.; Nie, X.J. Effect of Soil Erosion on Soil Properties and Crop Yields on Slopes in the Sichuan Basin, China. Pedosphere 2010, 20, 736–746. [Google Scholar] [CrossRef]
- Clemens, G.; Fiedler, S.; Nguyen, D.C.; Nyuyen, V.D.; Schuler, U.; Stahr, K. Soil fertility affected by land use history, relief position, and parent material under a tropical climate in NW-Vietnam. Catena 2010, 81, 87–96. [Google Scholar] [CrossRef]
- Hao, Y.; Lal, R.; Owens, L.B.; Izaurralde, R.C.; Post, W.M.; Hothem, D.L. Effect of cropland management and slope position on soil organic carbon pool at the North Appalachian Experimental Watersheds. Soil Tillage Res. 2002, 68, 133–142. [Google Scholar] [CrossRef]
- Ao, C.; Yang, P.; Ren, S.; Xing, W. Mathematical model of ammonium nitrogen transport with overland flow on a slope after polyacrylamide application. Sci. Rep. 2018, 8, 6380. [Google Scholar] [CrossRef]
- Doni, F.; Isahak, A.; Che Mohd Zain, C.R.; Wan Yusoff, W.M. Physiological and growth response of rice plants (Oryza sativa L.) to Trichoderma spp. inoculants. AMB Express 2014, 4, 45. [Google Scholar] [CrossRef]
- Naseem, F.; Zhi, Y.; Farrukh, M.A.; Hussain, F.; Yin, Z. Mesoporous ZnAl2Si10O24 nanofertilizers enable high yield of Oryza sativa L. Sci. Rep. 2020, 10, 10841. [Google Scholar] [CrossRef]
- Xue, Z.; Cheng, M.; An, S. Soil nitrogen distributions for different land uses and landscape positions in a small watershed on Loess Plateau, China. Ecol. Eng. 2013, 60, 204–213. [Google Scholar] [CrossRef]
- Lin, W.; Ding, J.; Xu, C.; Zheng, Q.; Zhuang, S.; Mao, L.; Li, Q.; Liu, X.; Li, Y. Evaluation of N2O sources after fertilizers application in vegetable soil by dual isotopocule plots approach. Ecol. Eng. 2020, 188, 109818. [Google Scholar]
- Wang, J.; Fu, B.-j.; Qiu, Y.; Chen, L.-d. The effects of land use and its patterns on soil properties in a small catchment of the Loess Plateau. J. Environ. Sci. 2003, 15, 263–266. [Google Scholar]
- Xu, C.; Xie, D.T.; Gao, M.; Tao, C.; Yu, L. Study on the Nitrogen and Phosphorus Loss Characteristics from Sloping Uplands in Small Watershed of Three Gorges Reservoir Region. J. Soil Water Conservation. 2011, 25, 1–5+10. [Google Scholar]
- Shigaki, F.; Sharpley, A.; Prochnow, L.I. Rainfall intensity and phosphorus source effects on phosphorus transport in surface runoff from soil trays. Sci. Total Environ. 2007, 373, 334–343. [Google Scholar] [CrossRef] [PubMed]
- Zhang, J. Assessment of tillage translocation and tillage erosion by hoeing on the steep land in hilly areas of Sichuan, China. Soil Tillage Res. 2004, 75, 99–107. [Google Scholar] [CrossRef]
- Papiernik, S.K.; Lindstrom, M.J.; Schumacher, T.E.; Schumacher, J.A.; Malo, D.D.; Lobb, D.A. Characterization of soil profiles in a landscape affected by long-term tillage. Soil Tillage Res. 2007, 93, 335–345. [Google Scholar] [CrossRef]
- Sun, B.; Zhang, L.; Yang, L.; Zhang, F.; Norse, D.; Zhu, Z. Agricultural Non-Point Source Pollution in China: Causes Mitigation Measures. AMBIO 2012, 41, 370–379. [Google Scholar] [CrossRef]
- Ding, X.; Liu, L. Long-Term Effects of Anthropogenic Factors on Nonpoint Source Pollution in the Upper Reaches of the Yangtze River. Sustainability 2019, 11, 2246. [Google Scholar] [CrossRef]
- Mesfin, G.S.; Almeida, O.; Yazew, E.; Bresci, E.; Castelli, G. Spatial Variability of Soil Moisture in Newly Implemented Agricultural Bench Terraces in the Ethiopian Plateau. Water 2019, 11, 2134. [Google Scholar] [CrossRef]
- Moges, A.; Holden, N.M. Soil fertility in relation to slope position and agricultural land use: A case study of Umbulo catchment in southern Ethiopia. Environ. Manag. 2008, 42, 753–763. [Google Scholar] [CrossRef] [PubMed]
- Gessler, P.; Chadwick, O.; Chamran, F.; Althouse, L.; Holmes, K. Modeling soil–landscape and ecosystem properties using terrain attributes. Soil Sci. Soc. Am. J. 2000, 64, 2046–2056. [Google Scholar] [CrossRef]
- Tsui, C.-C.; Chen, Z.-S.; Hsieh, C.-F. Relationships between soil properties and slope position in a lowland rain forest of southern Taiwan. Geoderma 2004, 123, 131–142. [Google Scholar] [CrossRef]
- Sigua, G.C.; Coleman, S.W.; Albano, J.; Williams, M. Spatial distribution of soil phosphorus and herbage mass in beef cattle pastures: Effects of slope aspect and slope position. Nutr. Cycl. Agroecosyst. 2011, 89, 59–70. [Google Scholar] [CrossRef]
- Chin, G. Of Sunlight, Water, and Trees. Science 2005, 310, 19. [Google Scholar] [CrossRef][Green Version]
- Sun, Y.; Shi, J.A.; Shao, X.P.; Li, F.; Li, Q.; Gao, X.; Zhong, Q.; Zhao, W.Z. Effects of light intensity on photosynthetic pigment content and flowering of Jacaranda mimosifolia D. Don in different habitats. Chin. J. Appl. Environ. Biol. 2015, 21, 1150–1156. [Google Scholar]
- Yan, X.; Wang, D. Effects of shading on leaf characteristics and photosynthetic characteristics of Kuding tea tree. Acta Ecol. Sin. 2014, 34, 3538–3547. [Google Scholar] [CrossRef][Green Version]
- Wei, J.B.; Xiao, D.N.; Zeng, H.; Fu, Y.K. Spatial variability of soil properties in relation to land use and topography in a typical small watershed of the black soil region, northeastern China. Environ. Geol. 2008, 53, 1663–1672. [Google Scholar] [CrossRef]




| Item | Classification | Area (km2) | Proportion (%) |
|---|---|---|---|
| Soil | Purple soil | 297.3 | 7.3 |
| Yellow soil | 3796.7 | 92.7 | |
| Yellow brown earth | 5.1 | 0.1 | |
| Geography | ≤500 m | 636 | 14.1 |
| 501–1000 m | 1820.1 | 40.3 | |
| 1001–1500 m | 1520.2 | 33.7 | |
| ≥1501 m | 537.3 | 11.9 | |
| Land use | Plowland | 37,504 | 45.5 |
| Forestland | 33,575 | 40.7 | |
| Grassland | 7608 | 9.2 | |
| Water area | 333 | 0.4 | |
| Construction land | 2399 | 2.9 | |
| Unused land | 12 | 0.01 |
| Landscape Position | Geographic Position | Elevation (m) | Slope (°) | Slope Aspect (°) | Number of Plots | Dominant Landscape Position |
|---|---|---|---|---|---|---|
| FS | 31°6′55″ N 109°27′24″ E | 210 | 19–23 | 302–355 | 8 | slopes |
| MS | 31°6′52″ N 109°27′25″ E | 225 | 30–36 | 78–355 | 8 | slopes |
| US | 31°6′49″ N 109°27′26″ E | 240 | 5–21 | 347–352 | 8 | terraces, slopes |
| Item | CCC | TN (g/kg) | TP (g/kg) | TK (g/kg) | AN (mg/kg) | AP (mg/kg) | AK (mg/kg) | SOM (g/kg) | pH |
|---|---|---|---|---|---|---|---|---|---|
| Range | 97.37 | 2.15 | 1.56 | 23.35 | 154.90 | 50.40 | 222.90 | 41.70 | 1.81 |
| Minimum | 66.03 | 0.55 | 0.19 | 11.76 | 30.60 | 0.30 | 50.50 | 9.30 | 5.73 |
| Maximum | 163.40 | 2.70 | 1.75 | 35.11 | 185.50 | 50.70 | 273.40 | 51.00 | 7.54 |
| Mean | 119.59 | 1.30 | 0.77 | 16.45 | 76.39 | 16.83 | 157.25 | 21.40 | 6.81 |
| SD CV (%) | 33.72 28.20 | 0.60 46.15 | 0.51 66.23 | 4.54 27.60 | 38.67 50.62 | 16.40 61.40 | 63.66 40.48 | 11.67 54.53 | 0.58 83.82 |
| TN | TP | TK | AN | AP | AK | SOM | |
|---|---|---|---|---|---|---|---|
| TP | 0.687 ** | ||||||
| TK | −0.058 | 0.096 | |||||
| AN | 0.930 ** | 0.584 ** | −0.075 | ||||
| AP | 0.744 ** | 0.876 ** | 0.089 | 0.737 ** | |||
| AK | 0.607 ** | 0.458 * | −0.094 | 0.660 ** | 0.653 ** | ||
| SOM | 0.954 ** | 0.699 ** | −0.120 | 0.876 ** | 0.744 ** | 0.475 * | |
| pH | −0.537 ** | −0.297 | 0.089 | −0.582 ** | 0.539 * | −0.611 ** | −0.420 * |
| LS | CCC | Soil Properties | PH | ||||||
|---|---|---|---|---|---|---|---|---|---|
| TN (g/kg) | TP (g/kg) | TK (g/kg) | AN (mg/kg) | AP (mg/kg) | AK (mg/kg) | SOM (g/kg) | |||
| FS | 85.80 | 1.62 | 1.06 | 17.25 | 94.93 | 27.25 | 204.30 | 25.40 | 6.10 |
| MS | 150.88 | 1.53 | 0.91 | 16.96 | 98.08 | 19.85 | 244.40 | 21.73 | 6.51 |
| US | 141.96 | 0.70 | 0.40 | 14.64 | 33.25 | 10.18 | 121.85 | 11.05 | 7.27 |
| F | 37.57 *** | 6.15 * | 1.73 | 4.36 * | 6.64 * | 0.80 | 14.90 ** | 3.67 | 11.53 ** |
| LT | CCC | Soil Properties | PH | ||||||
|---|---|---|---|---|---|---|---|---|---|
| TN (g/kg) | TP (g/kg) | TK (g/kg) | AN (mg/kg) | AP (mg/kg) | AK (mg/kg) | SOM (g/kg) | |||
| Slope | 141.96 | 0.70 | 0.40 | 14.64 | 33.25 | 10.18 | 121.85 | 11.05 | 7.27 |
| Terrace | 139.83 | 1.08 | 0.99 | 17.68 | 58.88 | 32.33 | 127.05 | 19.28 | 7.49 |
| F value | 0.05 | 6.43 * | 10.41 | 7.17 * | 30.69 *** | 45.22 *** | 0.10 | 3.97 | 3.02 |
Publisher’s Note: MDPI stays neutral with regard to jurisdictional claims in published maps and institutional affiliations. |
© 2021 by the authors. Licensee MDPI, Basel, Switzerland. This article is an open access article distributed under the terms and conditions of the Creative Commons Attribution (CC BY) license (https://creativecommons.org/licenses/by/4.0/).
Share and Cite
Sun, S.; Zhang, G.; He, T.; Song, S.; Chu, X. Effects of Landscape Positions and Landscape Types on Soil Properties and Chlorophyll Content of Citrus in a Sloping Orchard in the Three Gorges Reservoir Area, China. Sustainability 2021, 13, 4288. https://doi.org/10.3390/su13084288
Sun S, Zhang G, He T, Song S, Chu X. Effects of Landscape Positions and Landscape Types on Soil Properties and Chlorophyll Content of Citrus in a Sloping Orchard in the Three Gorges Reservoir Area, China. Sustainability. 2021; 13(8):4288. https://doi.org/10.3390/su13084288
Chicago/Turabian StyleSun, Siyue, Guolin Zhang, Tieguang He, Shufang Song, and Xingbiao Chu. 2021. "Effects of Landscape Positions and Landscape Types on Soil Properties and Chlorophyll Content of Citrus in a Sloping Orchard in the Three Gorges Reservoir Area, China" Sustainability 13, no. 8: 4288. https://doi.org/10.3390/su13084288
APA StyleSun, S., Zhang, G., He, T., Song, S., & Chu, X. (2021). Effects of Landscape Positions and Landscape Types on Soil Properties and Chlorophyll Content of Citrus in a Sloping Orchard in the Three Gorges Reservoir Area, China. Sustainability, 13(8), 4288. https://doi.org/10.3390/su13084288
