Selection of Suitable Potato Genotypes for Late-Sown Heat Stress Conditions Based on Field Performance and Stress Tolerance Indices
Abstract
1. Introduction
2. Materials and Methods
2.1. Site Description
2.2. Plant Materials and Experimental Design
2.3. Crop Management
2.4. Calculation of Stress Tolerance Indices
2.5. Statistical Analysis
3. Results and Discussion
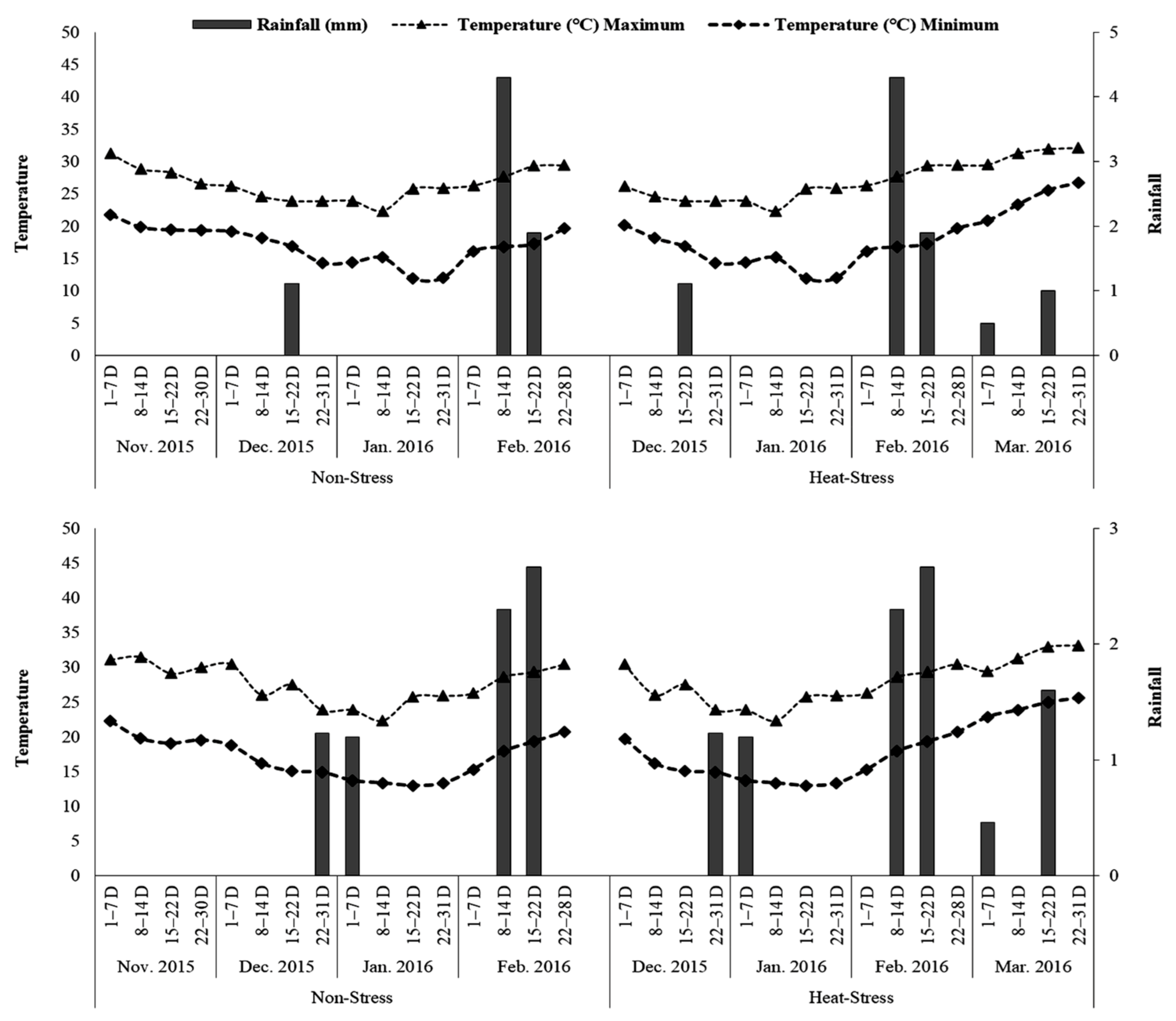
3.1. Environmental Conditions
3.2. Morphological Attributes
3.3. Yield Attributes
3.4. Comparing Genotypes Based on the Resistance/Tolerance Indices
3.5. Ranking of the Genotypes
4. Conclusions
Author Contributions
Funding
Institutional Review Board Statement
Informed Consent Statement
Data Availability Statement
Acknowledgments
Conflicts of Interest
References
- FAOSTAT. 2017. Available online: http://www.fao.org/faostat/en/#data/QC (accessed on 6 June 2018).
- Scott, G.J.; Rosegrant, M.W.; Ringler, C. Global projections for root and tuber crops to the year 2020. Food Policy 2000, 25, 561–597. [Google Scholar] [CrossRef]
- Thiele, G.; Theisen, K.; Bonierbale, M.; Walker, T. Targeting the poor and hungry with potato science. Potato J. 2010, 37, 75–86. [Google Scholar]
- Badoni, A.; Chauhan, J.S. Importance of Potato Micro Tuber Seed Material for Farmers of Uttarakhand Hills. Int. J. Sustain. Agric. 2010, 2, 1–9. [Google Scholar]
- Walker, T.; Thiele, G.; Suarez, V.; Crissman, C. Hindsight and Foresight about Potato Production and Consumption; Social Sciences Working Paper 2011-5; International Potato Centre (CIP): Lima, Peru, 2011; 43p. [Google Scholar]
- Scott, G.; Suarez, V. From Mao to McDonald’s: Emerging markets for potatoes and potato products in China 1961–2007. Am. J. Potato Res. 2012, 89, 216–231. [Google Scholar] [CrossRef]
- FAOSTAT. Production Yearbook; Food and Agriculture Organization of the United Nations: Rome, Italy, 2018. [Google Scholar]
- Burton, W.G. Challenges for stress physiology in potato. Am. Potato J. 1981, 58, 3–14. [Google Scholar] [CrossRef]
- Levy, D.; Veilleux, R.E. Adaptation of potato to high temperatures and salinity—A review. Am. J. Potato Res. 2007, 84, 487–506. [Google Scholar] [CrossRef]
- van Oort, P.A.J.; Saito, K.; Zwart, S.J.; Shrestha, S. A simple model for simulating heat-induced sterility in rice as a function of flowering time and transpirational cooling. Field Crop. Res. 2014, 156, 303–312. [Google Scholar] [CrossRef]
- Tang, R.; Niu, S.; Zhang, G.; Chen, G.; Haroon, M.; Yang, Q.; Rajora, O.P.; Li, X.-Q. Physiological and growth responses of potato cultivars to heat stress. Botany 2018, 96, 897–912. [Google Scholar] [CrossRef]
- Hijmans, R.J. The effect of climate change on global potato production. Am. J. Potato Res. 2003, 80, 271–279. [Google Scholar] [CrossRef]
- Sharma, S.; Upadhyaya, H.D.; Varshney, R.K.; Gowda, C.L.L. Pre-breeding for diversification of primary gene pool and genetic enhancement of grain legumes. Front. Plant Sci. 2013, 4, 309. [Google Scholar] [CrossRef] [PubMed]
- Minhas, J.S.; Rawat, S.; Govindakrishnan, P.M.; Kumar, D. Possibilities in enhancing potato production in non-traditional areas. Potato J. 2011, 38, 14–17. [Google Scholar]
- Sunitha, S.; Gupta, V.K.; Anil, S.R.; Kumar, J.S. Performance of Heat Tolerant Clones of Potato in Tropical Coastal Region of India. Int. J. Curr. Microbiol. Appl. Sci. 2020, 9, 2961–2967. [Google Scholar] [CrossRef]
- Monneveux, P.; Ramírez, D.A.; Khan, M.A.; Raymundo, R.M.; Loayza, H.; Quiroz, R. Drought and Heat Tolerance Evaluation in Potato (Solanum tuberosum L.). Potato Res. 2014, 57, 225–247. [Google Scholar] [CrossRef]
- Quiroz, R.; Ramírez David, A.; Kroschel, J.; Andrade-Piedra, J.; Barreda, C.; Condori, B.; Mares, V.; Monneveux, P.; Perez, W. Impact of climate change on the potato crop and biodiversity in its center of origin. Open Agric. 2018, 3, 273–283. [Google Scholar] [CrossRef]
- Singh, B.; Kukreja, S.; Goutam, U. Impact of heat stress on potato (Solanum tuberosum L.): Present scenario and future opportunities. J. Hortic. Sci. Biotechnol. 2020, 95, 407–424. [Google Scholar] [CrossRef]
- BARC (Bangladesh Agricultural Research Council). Fertilizer Recommendation Guide; BARC: Farmgate, Dhaka, 2012; pp. 29–30. [Google Scholar]
- Farshadfar, E.; Elyasi, P. Screening quantitative indictors of drought tolerance in bread wheat (Triticum aestivum L.) landraces. Eur. J. Exp. Biol. 2012, 2, 577–584. [Google Scholar]
- Bouslama, M.; Schapaugh, W.T. Stress Tolerance in Soybean. Part 1: Evaluation of Three Screening Techniques for Heat and Drought Tolerance. Crop Sci. 1984, 24, 933–937. [Google Scholar] [CrossRef]
- Fischer, R.; Maurer, R. Drought Resistance in Spring Wheat Cultivars. I. Grain Yield Responses. Aust. J. Agric. Res. 1978, 29, 897–912. [Google Scholar] [CrossRef]
- Golestani Araghi, S.; Assad, M.T. Evaluation of four screening techniques for drought resistance and their relationship to yield reduction ratio in wheat. Euphytica 1998, 103, 293–299. [Google Scholar] [CrossRef]
- Rosielle, A.A.; Hamblin, J. Theoretical aspects of selection for yield in stress and nonstress environments. Crop Sci. 1981, 21, 943–946. [Google Scholar] [CrossRef]
- Kristin, A.S.; Senra, R.R.; Perez, F.I.; Enriquez, B.C.; Gallegos, J.A.A.; Vallego, P.R.; Wassimi, N.; Kelley, J.D. Improving common bean performance under drought stress. Crop Sci. 1997, 37, 43–50. [Google Scholar]
- Fernandez, G.C.J. Effective selection criteria for assessing plant stress tolerance. In Adaptation of Food Crops to Temperature and Water Stress; Kuo, C.G., Ed.; Asian Vegetable Research and Development Center (AVRDC): Tainan, Taiwan, 1992; Volume 93, p. 257. [Google Scholar]
- Lan, J. Comparison of evaluating methods for agronomic drought resistance in crops. Acta Agric. Borealioccidentalis Sin. 1998, 7, 85–87. [Google Scholar]
- Moosavi, S.S.; Yazdi-Samadi, B.; Naghavi, M.R.; Zali, A.A.; Dashti, H.; Pourshahbazi, A. Introduction of new indices to identify relative drought tolerance and resistance in wheat genotypes. Desert 2008, 12, 165–178. [Google Scholar]
- Gavuzzi, P.; Rizza, F.; Palumbo, M.; Campaline, R.G.; Ricciardi, G.L.; Borghi, B. Evaluation of field and laboratory predictors of drought and heat tolerance in winter cereals. Can. J. Plant Sci. 1997, 77, 523–531. [Google Scholar] [CrossRef]
- Hancock, R.D.; Morris, W.L.; Ducreux, L.J.M.; Morris, J.A.; Usman, M.; Verrall, S.R.; Fuller, J.; Simpson, C.G.; Zhang, R.; Hedley, P.E.; et al. Physiological, biochemical and molecular responses of the potato (Solanum tuberosum L.) plant to moderately elevated temperature. Plant Cell Environ. 2014, 37, 439–450. [Google Scholar] [CrossRef] [PubMed]
- Paul, S.; Bose, I.; Gogoi, N. Morphophysiological responses: Criteria for screening heat tolerance in potato. Curr. Sci. 2016, 111, 1226–1231. [Google Scholar] [CrossRef]
- Struik, P.C. Responses of the potato plant to temperature. In Potato Biology and Biotechnology: Advances and Perspectives; Vreugdenhil, D., Ed.; Elsevier: Oxford, UK; Amsterdam, The Netherlands, 2007; pp. 367–393. [Google Scholar]
- Demirel, U.; Çalişkan, S.; Yavuz, C.; Tindaş, İ.; Polgar, Z.; Vaszily, Z.; Cernák, I.; Çalişkan, M.E. Assessment of morphophysiological traits for selection of heat-tolerant potato genotypes. Turk. J. Agric. For. 2017, 41, 218–232. [Google Scholar] [CrossRef]
- Khalili, M.; Naghavi, M.R.; Pour Aboughadareh, A.R.; Talebzadeh, J. Evaluating of Drought Stress Tolerance based on selection indices in spring canola cultivars (Brassica napus L.). J. Agric. Sci. 2012, 4, 78–85. [Google Scholar] [CrossRef]
- Farshadfar, E.; Farshadfar, M.; Dabiri, S. Comparison between effective selection criteria of drought tolerance in bred wheat landraces in Iran. Ann. Biol. Res. 2012, 3, 3381–3389. [Google Scholar]
- Ashraf, A.; El-Mohsen, A.; Abd El-Shafi, M.A.; Gheith, E.M.S.; Suleiman, H.S. Using different statistical procedures for evaluating drought tolerance indices of bread wheat genotypes. Adv. Agric. Biol. 2015, 4, 19–30. [Google Scholar]
- Mahmud, A.A.; Hossain, M.; Bazzaz, M.M.; Khan, M.S.A.; Hossain, M.A.; Kadian, M.S. Tuber Yield, Tuber Quality and Plant Water Status of Potato under Drought and Well-Watered Condition. Glob. J. Sci. Front. Res. 2014, 14, 101–107. [Google Scholar]
- Mahmud, A.A.; Hossain, M.; Zakaria, M.; Mian, M.A.K.; Karim, M.A.; Hossain, M. Stress tolerance attributes and yield based selection of potato genotypes for water stress environment. Songklanakarin J. Sci. Technol. 2017, 39, 185–194. [Google Scholar]

| Sl. No. | Genotype/Variety | Tolerant Group | Tuber Characters |
|---|---|---|---|
| 1 | CIP-112 (380606.6) | Abiotic stress (Heat and Salinity), Adapted for Low-land Tropics | Round tuber and medium-size tuber with medium deep eyes, red skin with yellow flesh color. |
| 2 | CIP-118 (388615.22) | Abiotic stress, Adapted for Low-land Tropics | White–cream skin with cream flesh color, oblong-shaped with shallow eyes |
| 3 | CIP-127 (392820.1) | Abiotic stress (Heat), Adapted for Low-land Tropics | Oval–oblong shape and medium size tuber with shallow eye depth. White cream skin with cream flesh. |
| 4 | CIP-139 (396311.1) | Abiotic stress (Heat and salinity), Adapted for Low-land Tropics | Short oval shape and medium to large size tuber with slightly deep eye depth and red skin color with pale yellow flesh color. |
| 5 | CIP-202 (302476.108) | Heat tolerant, High in Fe content, Adapted for Low-land Tropics | Pink skin with yellow flesh, long-oblong shape with the shallow eye. |
| 6 | CIP-203 (302498.70) | Heat tolerant, Adapted for Low-land Tropics | White–cream skin, cream flesh, oblong shape with the shallow eye. |
| 7 | CIP-205 (302499.3) | Salinity tolerant | Cream skin color with cream flesh, oblong shape, shallow eye. |
| 8 | CIP-218 (304351.109) | Adapted for Low-land Tropics | Red skin, cream flesh, round–oblong, shape, slightly deep eye. |
| 9 | CIP-220 (304366.46) | Heat tolerant, Adapted for Low-land Tropics | Red skin, cream flesh, oblong shape and slightly deep eye. |
| 10 | CIP-221 (304368.46) | Salinity tolerant, medium resistant to late blight, adapted for Low-land Tropics, | White–cream skin, cream flesh, round shape, shallow eye. |
| 11 | CIP-229 (304387.17) | Heat tolerant, Adapted for Low-land Tropics | White–cream skin, cream flesh, long–oblong shape and shallow eye. |
| 12 | CIP-232 (304394.56) | Heat tolerant, Adapted for Low-land Tropics | White–cream skin, white flesh, Long-oblong shape and shallow eye |
| 13 | CIP-235 (304405.47) | Heat tolerant, Adapted for Low-land Tropics | White–cream skin, cream flesh, round shape, shallow eye |
| 14 | LB-7 (393371.58) | Late Blight resistant | White shin with white flesh, round shape and medium–deep, pink eye. |
| 15 | Granola | Moderate yielding, popular variety mostly suited for early cultivation in Bangladesh | Yellowish–white skin, white flesh, round shape and shallow eye |
| 16 | Asterix | High yielding, a popular variety, mostly suited for non-stress cultivation in Bangladesh | Red skin with light yellow flesh, oval–long-oval shape, shallow eye |
| Index Name | Outcome | Reference |
|---|---|---|
| Yield stability index (YSI) | The genotypes with high YSI values can be regarded as stable genotypes under stress and non-stress conditions. | Bouslama and Schapaugh, [21] |
| Heat susceptibility index (HSI) | The genotypes with HSI < 1 are more resistant to stress conditions | Fisher and Maurer, [22] |
| Yield reduction ratio (YRR) | The genotypes with a low value of this index will be suitable for stress conditions | Golestani-Araghi and Asad, [23] |
| Mean productivity (MP) | The genotypes with a high value of this index will be more advantageous | Rosielle and Hamblin, [24] |
| Geometric mean productivity (GMP) | The genotypes with the high value of this index will be more desirable | Kristin et al. [25] |
| Tolerance (TOL) | The genotypes with low values of this index are more consistent in two different conditions. | Rosielle and Hamblin, [24] |
| Hear tolerance index (HTI) | The genotypes with high HTI values will be tolerant to stress | Fernandez, [26] |
| Stress resistance index (SRI) | The genotypes with a high value of this index will be suited to stress conditions | Lan, [27] |
| Abiotic stress tolerance index (ASTI) | The genotypes with a low value of this index is appropriate for the stress conditions | Moovasi et al. [28] |
| Yield index (YI) | The genotypes with a high value of this index will be appropriate for stress conditions | Gavuzzi et al. [29] |
| Relative stress index (RSI) | The genotypes with a high value of this index will be appropriate for the stress conditions | Fisher and Maurer, [22] |
| Rank sum (RS) | The genotypes with a low value of this index will be suitable for stress conditions | Farshadfar and Elyasi, [20] |
| Clones/Varieties | Average Plant Height at 60 DAP | % Change over Non-Stress (+/−) | Average Stems per Plant at 60 DAP | % Change over Non-Stress (+/−) | ||
|---|---|---|---|---|---|---|
| Non-Stress | Heat Stress | Non-Stress | Heat Stress | |||
| CIP-112 | 50.13 bcd | 57.26 de | 14.22 | 6.27 ab | 9.07 ab | 44.66 |
| CIP-118 | 53.46 abc | 64.13 cd | 19.96 | 4.40 abc | 7.20 abcd | 63.64 |
| CIP-127 | 47.40 bcd | 57.13 de | 20.53 | 3.60 bc | 4.47 d | 24.17 |
| CIP-139 | 50.26 bcd | 74.00 bcd | 47.23 | 2.80 c | 5.33 cd | 90.36 |
| CIP-202 | 57.26 ab | 80.93 abc | 41.34 | 5.73 abc | 7.27 abcd | 26.88 |
| CIP-203 | 56.00 abc | 65.66 cd | 17.25 | 5.47 abc | 7.47 abcd | 36.56 |
| CIP-205 | 59.26 ab | 73.13 bcd | 23.41 | 3.33 bc | 5.47 cd | 64.26 |
| CIP-218 | 69.00 a | 93.60 a | 35.65 | 6.93 a | 9.93 a | 43.29 |
| CIP-220 | 49.26 bcd | 70.33 cd | 42.77 | 6.87 a | 8.73 ab | 27.07 |
| CIP-221 | 45.53 bcd | 72.40 bcd | 59.02 | 4.27 abc | 6.6 bcd | 54.57 |
| CIP-229 | 48.13 bcd | 63.33 cde | 31.58 | 6.33 ab | 7.40 abcd | 16.90 |
| CIP-232 | 32.80 d | 59.73 de | 82.10 | 4.40 abc | 4.93 cd | 12.05 |
| CIP-235 | 54.86 abc | 75.00 abcd | 36.71 | 3.60 bc | 6.07 bcd | 68.61 |
| Granola | 38.33 cd | 45.46 e | 18.60 | 5.60 abc | 6.00 bcd | 7.14 |
| LB-7 | 62.13 ab | 91.00 ab | 46.47 | 7.07 a | 7.47 abcd | 5.66 |
| Asterix | 50.80 abcd | 66.93 cd | 31.75 | 7.47 a | 7.47 abcd | 2.75 |
| Range | 32.80–69.00 | 45.46–93.60 | 2.80–7.47 | 4.47–9.93 | ||
| Mean ± SD | 51.54 ± 8.73 | 69.38 ± 12.41 | 5.25 ± 1.48 | 6.93 ± 1.52 | ||
| Clones/Varieties | Canopy Coverage at 60 DAP | % Change over Non-Stress (+/−) | Plant Vigor at 60 DAP | % Change over Non-Stress (+/−) | ||
|---|---|---|---|---|---|---|
| Non-Stress | Heat Stress | Non-Stress | Heat Stress | |||
| CIP-112 | 85.00 cde | 90.00 bcde | 5.88 | 4.00 b | 4.33 ab | 8.25 |
| CIP-118 | 83.33 cde | 85.00 def | 2.00 | 4.00 b | 5.00 a | 25.00 |
| CIP-127 | 90.00 bc | 95.00 ab | 5.56 | 4.00 b | 4.00 bc | 0.00 |
| CIP-139 | 91.67 ab | 93.33 abc | 1.81 | 5.00 a | 5.00 a | 0.00 |
| CIP-202 | 93.33 ab | 93.33 abc | 0.00 | 5.00 a | 5.00 a | 0.00 |
| CIP-203 | 98.33 a | 98.33 a | 0.00 | 5.00 a | 4.00 bc | −20.00 |
| CIP-205 | 88.33 bcd | 95.00 ab | 7.55 | 4.00 b | 4.33 ab | 8.25 |
| CIP-218 | 90.00 bc | 91.67 abcd | 1.86 | 5.00 a | 4.33 ab | −13.40 |
| CIP-220 | 86.67 cde | 90.00 bcde | 3.84 | 4.00 b | 4.33 ab | 8.25 |
| CIP-221 | 80.00 e | 88.33 bcdef | 10.41 | 4.00 b | 4.33 ab | 8.25 |
| CIP-229 | 80.00 e | 85.00 def | 6.25 | 4.00 b | 4.33 ab | 8.25 |
| CIP-232 | 85.00 cde | 98.33 a | 15.68 | 4.00 b | 4.00 bc | 0.00 |
| CIP-235 | 81.67 de | 95.00 ab | 16.32 | 4.00 b | 4.67 ab | 16.75 |
| Granola | 78.33 e | 81.67 f | 4.26 | 3.00 c | 3.33 c | 11.00 |
| LB-7 | 93.33 ab | 95.00 ab | 1.79 | 5.00 a | 5.00 a | 0.00 |
| Asterix | 83.33 c–e | 83.33 ef | 0.00 | 4.00 b | 4.67 ab | 16.75 |
| Range | 78.33–98.33 | 81.67–98.33 | 3.00–5.00 | 3.33–5.00 | ||
| Mean ± SD | 86.77 ± 5.69 | 91.15 ± 5.22 | 4.25 ± 0.58 | 4.42 ± 0.46 | ||
| Clones/Varieties | Days to Tuber Initiation | % Change over Non-Stress (+/−) | Tuber Number per Plant at 90 DAP | % Change over Non-Stress (+/−) | ||
|---|---|---|---|---|---|---|
| Non-Stress | Heat Stress | Non-Stress | Heat Stress | |||
| CIP-112 | 32.33 a | 32.00 a | −1.02 | 16.40 a | 10.15 abc | −38.11 |
| CIP-118 | 30.00 ab | 29.00 abc | −3.33 | 11.26 bc | 6.97 bc | −38.10 |
| CIP-127 | 31.00 ab | 30.00 abc | −3.23 | 10.26 bc | 7.81 bc | −23.88 |
| CIP-139 | 32.33 a | 31.67 a | −2.04 | 6.06 c | 8.38 bc | 38.28 |
| CIP-202 | 32.00 ab | 30.33 abc | −7.16 | 9.50 bc | 8.53 bc | −10.21 |
| CIP-203 | 32.00 ab | 31.00 abc | −3.13 | 13.43 ab | 11.75 ab | −12.51 |
| CIP-205 | 31.33 ab | 28.67 bc | −8.49 | 12.87 abc | 9.86 abc | −23.39 |
| CIP-218 | 26.67 c | 25.00 c | −6.26 | 13.74 ab | 10.00 abc | −27.22 |
| ‘CIP-220′ | 31.33 ab | 29.00 abc | −7.44 | 11.14 bc | 11.14 ab | 0 |
| CIP-221 | 31.33 ab | 27.67 bc | −11.68 | 14.14 ab | 9.20 abc | −34.94 |
| CIP-229 | 31.33 ab | 27.00 bc | −13.82 | 13.57 ab | 13.95 a | −2.86 |
| CIP-232 | 31.67 ab | 31.00 ab | −2.12 | 9.92 bc | 7.47 bc | −24.70 |
| CIP-235 | 32.00 ab | 29.67 abc | −7.28 | 12.45 abc | 5.77 c | −53.65 |
| Granola | 30.00 ab | 29.33 abc | −2.23 | 10.76 bc | 9.34 abc | −13.20 |
| LB-7 | 27.67 bc | 27.00 bc | −2.42 | 11.32 bc | 11.44 ab | 1.06 |
| Asterix | 30.00 ab | 28.00 bc | −6.67 | 10.79 bc | 9.10 abc | −15.66 |
| Range | 26.67–32.67 | 25.00–32.00 | 6.06–13.97 | 5.77–13.57 | ||
| Mean ± SD | 30.85 ± 1.67 | 29.15 ± 1.90 | 11.75 ± 2.40 | 9.40 ± 1.97 | ||
| Clones/Varieties | Yield at 70 DAP (t ha−1) | % Yield Reduction over Non-Stress | Yield at 90 DAP (t ha−1) | % Yield Reduction over Non-Stress | ||
|---|---|---|---|---|---|---|
| Non-Stress | Heat Stress | Non-Stress | Heat Stress | |||
| CIP-112 | 24.71 | 23.30 | 5.71 | 32.42 bcde | 21.13 de | 34.82 |
| CIP-118 | 30.96 | 26.43 | 14.63 | 34.17 abcd | 30.27 cde | |
| CIP-127 | 20.92 | 20.44 | 2.29 | 38.48 ab | 32.22 ab | 16.27 |
| CIP-139 | 27.77 | 23.44 | 15.59 | 35.15 abcd | 26.92 abcde | 23.41 |
| CIP-202 | 21.36 | 20.00 | 6.37 | 32.47 bcde | 24.75 bcde | 23.78 |
| CIP-203 | 29.24 | 27.58 | 5.68 | 33.38 abcd | 22.89 cde | 31.43 |
| CIP-205 | 21.14 | 18.83 | 10.93 | 40.66 a | 29.95 abc | 26.34 |
| CIP-218 | 32.47 | 30.05 | 7.45 | 25.32 e | 20.39 e | 19.47 |
| CIP-220 | 22.60 | 19.30 | 14.60 | 38.12 abc | 32.89 a | 13.72 |
| CIP-221 | 24.53 | 23.41 | 4.57 | 33.25 abcd | 21.78 de | 34.50 |
| CIP-229 | 28.53 | 21.02 | 26.32 | 27.99 de | 26.74 abcde | 4.47 |
| CIP-232 | 26.92 | 22.41 | 16.75 | 32.84 bcd | 24.78 bcde | 24.54 |
| CIP-235 | 26.14 | 24.80 | 5.13 | 30.89 cde | 22.32 de | 27.74 |
| Granola | 23.72 | 21.91 | 7.63 | 29.90 de | 26.90 abcde | 10.03 |
| LB-7 | 25.43 | 24.78 | 2.56 | 28.37 de | 24.13 cde | 14.95 |
| Asterix | 20.97 | 19.01 | 9.35 | 34.24 abcd | 28.56 abcd | 16.59 |
| Mean ± SD | 25.66 ± 4.04 | 23.16 ± 3.63 | 32.78 ± 4.04 | 25.80 ± 3.77 | ||
| Range | 20.92–34.17 | 18.83–30.27 | ||||
| Clones/Varieties | Marketable Yield (kg plot−1) | Non-Marketable Yield (kg plot−1) | ||
|---|---|---|---|---|
| Non-Stress | Heat Stress | Non-Stress | Heat Stress | |
| CIP-112 | 11.08 cde | 9.32 abcd | 0.060 | 0.196 |
| CIP-118 | 13.82 ab | 11.53 a | 0.033 | 0.073 |
| CIP-127 | 12.62 abcd | 9.54 abcd | 0.040 | 0.150 |
| CIP-139 | 11.65 bcde | 8.83 bcd | 0.040 | 0.086 |
| CIP-202 | 11.99 abcd | 8.13 bcd | 0.020 | 0.106 |
| CIP-203 | 14.59 a | 10.69 ab | 0.050 | 0.090 |
| CIP-205 | 9.07 e | 7.16 d | 0.043 | 0.180 |
| CIP-218 | 13.66 abc | 11.68 a | 0.053 | 0.156 |
| CIP-220 | 11.93 abcd | 7.72 cd | 0.043 | 0.123 |
| CIP-221 | 10.03 de | 9.47 abcd | 0.046 | 0.160 |
| CIP-229 | 11.76 bcd | 8.79 bcd | 0.063 | 0.126 |
| CIP-232 | 11.09 cde | 7.98 cd | 0.023 | 0.053 |
| CIP-235 | 10.73 de | 9.56 abcd | 0.033 | 0.123 |
| Granola | 10.19 de | 8.61 bcd | 0.020 | 0.073 |
| LB-7 | 12.28 abcd | 10.16 abc | 0.046 | 0.120 |
| Asterix | 11.64 bcde | 7.55 cd | 0.037 | 0.060 |
| Mean ± SD | 11.76 ± 1.45 | 9.17 ± 1.35 | 0.04 ± 0.01 | 0.12 ± 0.04 |
| Range | 9.07–14.59 | 7.16–11.53 | 0.020–0.060 | 0.053–0.196 |
| Genotype | Yield Plant−1 (kg) | Stress Indices | |||||||||||
|---|---|---|---|---|---|---|---|---|---|---|---|---|---|
| Ys | Yp | YSI | SSI | YRR | MP | GMP | TOL | HTI | SRI | ASTI | YI | RHI | |
| 1 | 2 | 3 | 4 | 5 | 6 | 7 | 8 | 9 | 10 | 11 | 12 | 13 | |
| Asterix | 0.32 | 0.49 | 0.65 | 1.64 | 0.35 | 0.41 | 0.40 | 0.17 | 0.65 | 0.43 | 0.085 | 0.83 | 0.83 |
| CIP-112 | 0.39 | 0.46 | 0.85 | 0.72 | 0.15 | 0.43 | 0.42 | 0.07 | 0.74 | 0.67 | 0.038 | 1.01 | 1.08 |
| CIP-118 | 0.48 | 0.57 | 0.84 | 0.75 | 0.16 | 0.53 | 0.52 | 0.09 | 1.13 | 0.82 | 0.060 | 1.24 | 1.07 |
| CIP-127 | 0.40 | 0.53 | 0.75 | 1.16 | 0.25 | 0.47 | 0.46 | 0.13 | 0.88 | 0.62 | 0.076 | 1.04 | 0.96 |
| CIP-139 | 0.37 | 0.48 | 0.77 | 1.08 | 0.23 | 0.43 | 0.42 | 0.11 | 0.74 | 0.58 | 0.059 | 0.96 | 0.98 |
| CIP-202 | 0.34 | 0.50 | 0.68 | 1.51 | 0.32 | 0.42 | 0.41 | 0.16 | 0.70 | 0.47 | 0.084 | 0.88 | 0.86 |
| CIP-203 | 0.45 | 0.61 | 0.74 | 1.24 | 0.26 | 0.53 | 0.52 | 0.16 | 1.14 | 0.68 | 0.106 | 1.17 | 0.94 |
| CIP-205 | 0.30 | 0.38 | 0.79 | 0.99 | 0.21 | 0.34 | 0.34 | 0.08 | 0.47 | 0.48 | 0.034 | 0.78 | 1.00 |
| CIP-218 | 0.49 | 0.57 | 0.86 | 0.66 | 0.14 | 0.53 | 0.53 | 0.08 | 1.16 | 0.86 | 0.054 | 1.27 | 1.09 |
| CIP-220 | 0.32 | 0.50 | 0.64 | 1.70 | 0.36 | 0.41 | 0.40 | 0.18 | 0.66 | 0.42 | 0.091 | 0.83 | 0.81 |
| CIP-221 | 0.41 | 0.42 | 0.98 | 0.11 | 0.02 | 0.42 | 0.41 | 0.01 | 0.71 | 0.82 | 0.005 | 1.06 | 1.24 |
| CIP-229 | 0.37 | 0.49 | 0.76 | 1.16 | 0.24 | 0.43 | 0.43 | 0.12 | 0.75 | 0.57 | 0.065 | 0.96 | 0.96 |
| CIP-232 | 0.34 | 0.46 | 0.74 | 1.23 | 0.26 | 0.40 | 0.40 | 0.12 | 0.65 | 0.51 | 0.060 | 0.88 | 0.94 |
| CIP-235 | 0.40 | 0.45 | 0.89 | 0.52 | 0.11 | 0.43 | 0.42 | 0.05 | 0.75 | 0.73 | 0.027 | 1.04 | 1.13 |
| Granola | 0.37 | 0.44 | 0.84 | 0.75 | 0.16 | 0.41 | 0.40 | 0.07 | 0.67 | 0.63 | 0.036 | 0.96 | 1.07 |
| LB-7 | 0.43 | 0.51 | 0.84 | 0.74 | 0.16 | 0.47 | 0.47 | 0.08 | 0.91 | 0.74 | 0.048 | 1.11 | 1.07 |
| Genotype | Yield Plant−1 (kg) | Stress Indices | RM | SDR | RS | Rank | |||||||||||
|---|---|---|---|---|---|---|---|---|---|---|---|---|---|---|---|---|---|
| Ys | Yp | YSI | SSI | YRR | MP | GMP | TOL | HTI | SRI | ASTI | YI | RHI | |||||
| 1 | 2 | 3 | 4 | 5 | 6 | 7 | 8 | 9 | 10 | 11 | 12 | 13 | 14 | 15 | 16 | 17 | |
| Asterix | 14.5 | 8.0 | 15.0 | 15.0 | 16.0 | 13.0 | 15.0 | 16.0 | 14.0 | 15.0 | 13.0 | 14.5 | 15.0 | 14.2 | 2.1 | 16.2 | 15 |
| CIP-112 | 8.0 | 11.5 | 4.0 | 4.0 | 4.0 | 7.5 | 8.0 | 3.5 | 8.0 | 7.0 | 5.0 | 8.0 | 4.0 | 6.3 | 2.4 | 8.8 | 5 |
| CIP-118 | 2.0 | 2.0 | 5.0 | 6.0 | 6.0 | 3.0 | 3.0 | 8.0 | 3.0 | 2.0 | 9.5 | 2.0 | 6.0 | 4.4 | 2.5 | 6.9 | 3 |
| CIP-127 | 6.5 | 4.0 | 11.0 | 11.0 | 11.0 | 4.5 | 5.0 | 12.0 | 5.0 | 9.0 | 12.0 | 6.5 | 11.0 | 8.3 | 3.1 | 11.5 | 9 |
| CIP-139 | 10.5 | 10.0 | 9.0 | 9.0 | 9.0 | 7.5 | 9.0 | 9.0 | 9.0 | 10.0 | 8.0 | 10.0 | 9.0 | 9.2 | 0.8 | 10.0 | 7 |
| CIP-202 | 12.5 | 6.5 | 14.0 | 14.0 | 14.0 | 10.5 | 11.0 | 13.0 | 11.0 | 14.0 | 14.0 | 13.0 | 14.0 | 12.4 | 2.2 | 14.6 | 13 |
| CIP-203 | 3.0 | 1.0 | 13.0 | 13.0 | 13.0 | 1.5 | 2.0 | 14.0 | 2.0 | 6.0 | 16.0 | 3.0 | 13.0 | 7.7 | 5.9 | 13.6 | 11 |
| CIP-205 | 16.0 | 16.0 | 8.0 | 8.0 | 8.0 | 16.0 | 16.0 | 5.5 | 16.0 | 13.0 | 3.0 | 16.0 | 8.0 | 11.5 | 4.8 | 16.3 | 14 |
| CIP-218 | 1.0 | 3.0 | 3.0 | 3.0 | 3.0 | 1.5 | 1.0 | 5.5 | 1.0 | 1.0 | 7.0 | 1.0 | 3.0 | 2.6 | 1.9 | 4.5 | 1 |
| CIP-220 | 14.5 | 6.5 | 16.0 | 16.0 | 15.0 | 13.0 | 14.0 | 15.0 | 13.0 | 16.0 | 15.0 | 14.5 | 16.0 | 14.2 | 2.5 | 16.7 | 16 |
| CIP-221 | 5.0 | 15.0 | 1.0 | 1.0 | 1.0 | 10.5 | 10.0 | 1.0 | 10.0 | 3.0 | 1.0 | 5.0 | 1.0 | 5.0 | 4.8 | 9.8 | 6 |
| CIP-229 | 10.5 | 9.0 | 10.0 | 10.0 | 10.0 | 7.5 | 6.0 | 10.5 | 6.0 | 11.0 | 11.0 | 10.0 | 10.0 | 9.3 | 1.7 | 11.1 | 8 |
| CIP-232 | 12.5 | 11.5 | 12.0 | 12.0 | 12.0 | 15.0 | 15.0 | 10.5 | 15.0 | 12.0 | 9.5 | 12.0 | 12.0 | 12.4 | 1.7 | 14.1 | 12 |
| CIP-235 | 6.5 | 13.0 | 2.0 | 2.0 | 2.0 | 7.5 | 7.0 | 2.0 | 7.0 | 5.0 | 2.0 | 6.5 | 2.0 | 5.0 | 3.4 | 8.3 | 4 |
| Granola | 9.0 | 14.0 | 7.0 | 7.0 | 6.0 | 13.0 | 13.0 | 3.5 | 12.0 | 8.0 | 4.0 | 10.0 | 7.0 | 8.7 | 3.5 | 12.2 | 10 |
| LB-7 | 4.0 | 5.0 | 6.0 | 5.0 | 6.0 | 4.5 | 4.0 | 7.0 | 4.0 | 4.0 | 6.0 | 4.0 | 5.0 | 5.0 | 1.0 | 6.0 | 2 |
Publisher’s Note: MDPI stays neutral with regard to jurisdictional claims in published maps and institutional affiliations. |
© 2021 by the authors. Licensee MDPI, Basel, Switzerland. This article is an open access article distributed under the terms and conditions of the Creative Commons Attribution (CC BY) license (http://creativecommons.org/licenses/by/4.0/).
Share and Cite
Al Mahmud, A.; Alam, M.J.; Kundu, B.C.; Skalicky, M.; Rahman, M.M.; Rahaman, E.H.M.S.; Sultana, M.; Molla, M.S.H.; Hossain, A.; El-Shehawi, A.M.; et al. Selection of Suitable Potato Genotypes for Late-Sown Heat Stress Conditions Based on Field Performance and Stress Tolerance Indices. Sustainability 2021, 13, 2770. https://doi.org/10.3390/su13052770
Al Mahmud A, Alam MJ, Kundu BC, Skalicky M, Rahman MM, Rahaman EHMS, Sultana M, Molla MSH, Hossain A, El-Shehawi AM, et al. Selection of Suitable Potato Genotypes for Late-Sown Heat Stress Conditions Based on Field Performance and Stress Tolerance Indices. Sustainability. 2021; 13(5):2770. https://doi.org/10.3390/su13052770
Chicago/Turabian StyleAl Mahmud, Abdullah, M. Jahangir Alam, Bimal Chandra Kundu, Milan Skalicky, M. Matiar Rahman, E. H. M. Shofiur Rahaman, Mousumi Sultana, M. Samim Hossain Molla, Akbar Hossain, Ahmed M. El-Shehawi, and et al. 2021. "Selection of Suitable Potato Genotypes for Late-Sown Heat Stress Conditions Based on Field Performance and Stress Tolerance Indices" Sustainability 13, no. 5: 2770. https://doi.org/10.3390/su13052770
APA StyleAl Mahmud, A., Alam, M. J., Kundu, B. C., Skalicky, M., Rahman, M. M., Rahaman, E. H. M. S., Sultana, M., Molla, M. S. H., Hossain, A., El-Shehawi, A. M., Brestic, M., & Sabagh, A. E. (2021). Selection of Suitable Potato Genotypes for Late-Sown Heat Stress Conditions Based on Field Performance and Stress Tolerance Indices. Sustainability, 13(5), 2770. https://doi.org/10.3390/su13052770

