Next Article in Journal
Charitable Organizations’ Cost Disclosure Mitigates Overhead Aversion
Next Article in Special Issue
Embodied Energy and Cost Assessments of a Concentrating Photovoltaic Module
Previous Article in Journal
Duckweed (Lemna minor L.) Successfully Accumulates Selenium from Selenium-Impacted Water
Previous Article in Special Issue
Assessing Energy Descent Scenarios for the Ecological Transition in Spain 2020–2030
 
 
Font Type:
Arial Georgia Verdana
Font Size:
Aa Aa Aa
Line Spacing:
Column Width:
Background:
Article

A New Approach for Static NOx Measurement in PTI

1
EINA, Universidad de Zaragoza, 50018 Zaragoza, Spain
2
Research Centre for Energy Resources and Consumption (CIRCE), Universidad de Zaragoza, 50018 Zaragoza, Spain
3
Department of Mechanical Engineering, Universidad de Zaragoza, 50018 Zaragoza, Spain
4
Knowledge Development Area, Motorland Aragon, 44600 Alcañiz, Spain
*
Author to whom correspondence should be addressed.
Sustainability 2021, 13(23), 13424; https://doi.org/10.3390/su132313424
Submission received: 14 October 2021 / Revised: 15 November 2021 / Accepted: 18 November 2021 / Published: 3 December 2021
(This article belongs to the Special Issue Renewable Energy Technologies and Environmental Impact Assessment)

Abstract

:
NOx emissions in vehicles are currently only controlled through the homologation process. There is a lack of knowledge to assess and control real NOx emissions of vehicles reliably. Even if vehicles in EU-27 are subject to Periodical Technical Inspection (PTI), NOx are not among the pollutants currently being controlled. For PTIs, tests need to be simple, quick, inexpensive, representative, and accurate. Ideally, tests need to be carried out under static conditions, without the need for a power bench or complex equipment. In this paper, a new approach for measuring NOx in PTI is proposed. The method has been developed and validated at a PTI Spanish station to ensure feasibility and repeatability. This method is based on the relationship between the “% engine load” value and exhaust NOx concentration at idle engine speed. Starting from the state of minimum possible power demand in a vehicle (idling and without any consumption), a load state with an average 98% increase in engine power demand is generated by connecting elements of the vehicle’s equipment. The relationship between power demand (through the “% engine load” value) and NOx concentration is then analyzed. The quality and representativity of this relationship have been checked with a p-value lower than 0.01. The method has been compared with a different NOx measurement technique, based on the simulation on a test bench and the ASM 2050 cycle, showing better performance in terms of repeatability and representativeness. The “% engine load” dispersion with the new approach is 7%, which ensures the reliability and repeatability of the method. The results show that the proposed method could be a valuable tool in PTI to detect high NOx emitting vehicles and to obtain information from the diesel vehicles fleet.

1. Introduction

In recent years, frequent episodes of pollutants’ high concentration in cities have increased the concern about urban pollution, some of which are recognized as harmful to human health and the environment. NOx is among the most dangerous emission, as it is directly responsible for generating problems in the respiratory systems of healthy people, aggravating pre-existing respiratory diseases [1,2], and indirectly for acid deposition [3,4] and the generation of tropospheric ozone and secondary particulate matter [5].
Moreover, even if emission restrictions on vehicle approval have become stronger over the years [6,7], a decrease in these pollutants concentration in the air has not occurred with the same intensity. In fact, concentrations of these polluting substances have stagnated in certain areas [8], and NOx is a clear example. These compounds, which encompass both NO and NO2, are generated, to a large extent, by road transport (contribution of 40–70% worldwide NOx emissions [9,10]), and to a greater extent, from diesel engines, which generate about 85% of all NOx emissions from road vehicles [11,12,13].
Contrary to what has happened with petrol engine vehicles, diesel engines have experienced a much lower actual reduction in NOx emissions than expected, with the successive emissions control regulations [14]. From the introduction of Euro 3 standard emission levels to nowadays, newer vehicles can reach NOx emission levels similar to older ones [6]. Even vehicles with more stringent emissions control regulations can have greater emissions than others with fewer restrictions [14]. This fact has been confirmed through measurements of actual driving emissions (RDE) [15,16,17,18], with remote sensing detector systems (RDS) on a large number of vehicles [14,19,20,21], as well as with theoretical models and portable emissions measurement systems (PEMS) [18,22,23].
Currently, NOx emission levels of vehicles are only controlled in the process of homologation. To obtain approval for a new model, one of the procedures that will allow its commercialization is a test that measures the vehicle’s emissions under specific conditions to verify that a certain previously established level of different pollutants (NOx among them) is not surpassed. This test is carried out on one individual vehicle under particular conditions. Leaving aside cases such as the Dieselgate, in which irregularities were identified in vehicles to pass homologation tests, it has been proven that the stipulated maximum NOx levels are widely surpassed when vehicles circulate on public roads [6,16,24]. That is, the test carried out to certify vehicles, according to the allowed emissions level (in terms of their NOx emissions), is not representative of their behavior when they come to circulating in the real world [19,23].
The fact that vehicles with diesel engines are the main NOx emitters is a severe problem in Europe, given that the penetration of this type of vehicle is higher in the EU than in the rest of the world. Precisely, it is estimated that 70% of diesel passenger cars and vans worldwide are sold in the EU [25]. In 2015, 6.6 million diesel vehicles were registered in the EU, accounting for 53% of total vehicle registrations. In 2011, diesel vehicles accounted for 55% of the European fleet and decreased slightly to 53% in 2013 and 2014. In some European countries, such as France, Spain, Belgium, and Ireland, diesel vehicles account for between 65% and 72% of the total passenger car fleet [26].
By trying to improve efficiency and reduce vehicle emissions, EU regulations have been modified to make measurements during the type-approval process more representative of actual vehicle emissions. As a result, vehicles approved to Euro 6c Standard emissions level (from September 2018) and higher are now subjected to the WLTP (Worldwide Harmonized Light Vehicles Test Procedure) cycle, during the type-approval process, instead of the NEDC (New European Driving Cycle) cycle previously used [27,28].
Furthermore, Euro 6d-Temp standard vehicles are subjected to an RDE (Real Driving Emissions) measurement procedure with PEMS (Portable Emission Measurement System) to improve the representativeness of the homologation. Measurement results suggest that implementing this emission standard has improved the NOx emission behavior of these vehicles with respect to previous emission standards [29].
Even from September 2019, new Euro 6d-Temp vehicles may be subject to ISC (In-Service Conformity) measurements to ensure that they continue to comply with the values measured in homologation once they are on the road [30].
Furthermore, since September 2020, the implementation of Regulation (EU) 2018/858 and (EU) 2020/683 has introduced the requirement for national authorities to carry out a Market Surveillance process that checks that vehicles and their components placed on the market comply with the requirements of the Union harmonization legislation.
The next Euro 7 emission standard is currently underway, which, among others, will likely reduce and equalize NOx emission limits for diesel and gasoline vehicles and reduce the emission factor for the RDE test.
It is estimated that most pollutant emissions come from a proportionately small number of vehicles, known as “high emitters” [31]. According to the “Impact Assessment SWD (2012) 206 final” of the European Commission, if 5% of the most NOx polluting vehicles were identified, NOx emissions would be approximately reduced by 25% [32]. Therefore, it becomes key to develop a system that allows the detection of such high emitters.
In most countries in Europe (including all the European Union countries [33,34]), vehicles in circulation are subjected to Periodic Technical Inspection (PTI), the scope of which varies according to the country of registration of the vehicle. That said, the minimum requirements for inspection (in European Union countries) are determined by European directives [35] and national regulations [36,37]. This technical inspection of vehicles generally aims at determining, on the one hand, that the various vehicle systems work correctly (focused on guaranteeing road safety), and on the other hand, that no polluting emissions are produced above the established limits (environmental protection). As indicated in the European directive, testing should be relatively simple, quick, and inexpensive, while at the same time, effective in achieving the objectives set by the established regulation [35].
In the case of petrol vehicles, PTI controls the emissions of CO, so they do not exceed the allowed % volume concentration. In the case of diesel vehicles, the opacity of the exhaust gases is measured, which theoretically allows checking the amount of soot generated in vehicles.
One of the modifications incorporated in Directive 2007/46/EC was the use of vehicle OBD systems to support the control and measurement of the vehicle’s polluting emissions. However, the levels of NOx emission in vehicles are currently not subject of PTI inspection. That said, the directive has contemplated the possibility of adding a NOx emissions on-road test to the type-approval process (RDE test), and establishing NOx levels measurements test methods at PTI [35].
In this respect, several studies, such as the one by CITA (International Motor Vehicle Inspection Committee), have tried to define PTI inspection methods that allow for controlling NOx emissions and identifying Exhaust Gas Recovery (EGR) and Selective Catalytic Reduction (SCR) faults and manipulations. One of them was carried out in 2011, the TEDDIE Project [38], which ended without defining a procedure but urged for further research. In 2015, the SET Project [39], although not explicitly focused on the measurement of NOx, ended with the recommendation to define an inexpensive test method to measure NOx, and determine applicable limit values for NOx. In 2017, a new project was again carried out to determine a method for measuring NOx emissions from vehicles with the SET II project [40,41]. The results were presented in 2019, without a straightforward selection of a NOx measurement method, although suggesting a combination of loaded ASM2050 method with an unloaded test method for EGR assessment.
Most of the procedures analyzed so far for measuring NOx emissions in a vehicle have been based on protocols that pretend to simulate vehicle conditions in circulation. To this end, a simulation power bench (usually reproducing a previously defined cycle) or free acceleration cycles in the static state, have been used. Both procedures have presented similar reproducibility and representativity problems.
Furthermore, some of these approaches to NOx control are mainly focused on detecting breakdowns or manipulation on EGR and after-treatment systems. And, EGR and after-treatment systems themselves are, in many cases, designed more to pass the type-approval test (especially in the case of NEDC) than to reduce emissions in real-life traffic conditions [16]. Moreover, it was found that the SCR system is sometimes ineffective in urban traffic [42], where NOx emissions are more harmful to health. This fact questions that assessing the performance of the SCR is as an effective emission control system. However, the spirit of the directive indicates that the priority should be to measure and know the level of emissions from vehicles [35].
Hence, after various tests over the last several years, a procedure that provides a reliable, repeatable, representative, simple, and quick NOx measurement method to be performed in PTI stations has not yet been achieved.
In short, in the last several years, we have been in a scenario with an increasing number of diesel vehicles in cities that, in turn, have significantly greater NOx emissions than previously thought. Yet, there is no way to measure and control these emissions. This paper proposes a new approach to define a method different from the proposed systems: NOx emissions test for PTI through a static, robust, and fast way.

2. NOx Emissions Tests

2.1. Existing NOx Emissions Tests

There is a large variety of NOx emissions tests. Some are not suitable for PTI applications, but they are listed below as examples used in various applications. According to concepts or equipment used, they can be divided into the following groups [40,41]:

2.1.1. Unloaded Tests

In this group of tests, no external load is applied to the vehicle, and the analysis is carried out from an engine speed variation.
(a)
Idle tests. Usually, two engine speeds are measured [38].
(b)
Free acceleration smoke (FAS) test. This test is used in Europe to measure exhaust smoke opacity [38,43].
(c)
INCOLL/AUTONAT. Both tests consist of rapid engine acceleration and deceleration [44].
(d)
Norris, based on gentle engine accelerations to operate the EGR system [45].
(e)
CAPELEC and AVL, a combination of several free accelerations developed by these equipment manufacturers.

2.1.2. Tests with Power Dynamometer Bench at Loaded Steady State

In this group of tests, a power bench is used to place the vehicle. The vehicle can be driven at a specified speed and varying the brake load; setting a specific loaded steady-state and modifying the vehicle’s speed, or a combination of both situations.
(f)
US Federal 3-Mode and CalVip, use a combination of vehicle speed and brake load, defined according to vehicle characteristics [42].
(g)
D550, uses a constant load (equivalent to a 5% road gradient) and 50 km/h of constant speed [44].
(h)
ASM (Acceleration Simulation Mode) uses a constant load equivalent to the road load of the vehicle (except the rolling resistance) during acceleration [46]. It can be performed with various combinations of load and vehicle speed. The ASM2050 cycle analyzes two speed points, 20 km/h and 50 km/h. It is used to study emissions in urban driving conditions.
(i)
The lug-down test [47] uses a constant speed, while the brake load increases to full throttle vehicle condition. Then, the brake load is gradually increased until lugging the engine. It is currently used in China for NOx measurement (GB 3487-2018).

2.1.3. Tests with Power Dynamometer Bench at Loaded Transient

In this group of tests, a power bench is used to place the vehicle [41]. The engine power and speed of vehicles vary throughout the cycle. It is used to reduce engine damage risk.
(j)
Hot EUDC test, derived from the NEDC cycle (Extra-urban Driving Cycle part of the NEDC) [48]. The manufacturer must provide the value to set the dynamometer inertia. During the driving cycle, one or more faults are introduced and detected by the EOBD system.
(k)
DT80 test [49]. It is a mix-mode cycle, over a dynamometer bench with inertia simulation, which includes three full-load accelerations to 80 km/h and a steady-state at 80 km/h.
(l)
DT60 test [49]. It is similar to the DT80 test but with two full load accelerations at 60 km/h and a steady-state at 60 km/h.
(m)
AC5080 test [49]. It is similar to the DT80 test, with some differences. A first full-load acceleration to 50 km/h is followed by a steady-state cruise at 50 km/h for 60 s. It then follows another full-load acceleration to 80 km/h with a final steady-state cruise at 80 km/h for 60 s.
(n)
IM240 test [50]. A dynamometer bench with associated flywheels is needed. The cycle duration is 240 s and simulates a 3.1 km trip at an average speed of 47 km/h. It is a reduced version of the FTP-75 test.

2.1.4. On-Road Simulation Tests with Power Dynamometer Bench at Loaded Transient

In this group of tests, a power bench is used to place the vehicle. The vehicle reproduces defined speeds and acceleration patterns that simulate on-road circulation conditions.
(o)
NEDC (New European Driving Cycle). It consists of an Urban Driving Cycle (UDC) and an Extra-Urban Driving Cycle (EUDC). Duration is 1180 s for Euro 3 and later vehicles (1220 s for previous), and distance is 11 km. It consists of accelerations, steady speed, decelerations, and idling (in the EUDC there is no idling) [48,51,52].
(p)
WLTP (New Worldwide Harmonized Light Vehicles Test Procedure). It is based on UNECE GTR No. 15. It is divided into four parts (Low, Medium, High, and Extra High). Duration is 1800 s, and the distance is 23.26 km. As with the NEDC, it consists of accelerations, steady speed, decelerations, and idling. It was adopted in 2014 to replace the NEDC cycle [53,54].
(q)
CADC (Common Artemis Driving Cycles) is a set of urban, rural, and motorway cycles, with more dynamic characteristics than NEDC and WLTP cycles [55]. It is a result of the European ARTEMIS project.

2.1.5. On-Road Test

(r)
RDE (Real Driving Emissions) test with PEMS (Portable Emission Measurement System). Real emissions are measured from a vehicle with portable equipment while driving on a road with pre-defined characteristics [15]. There are some experiences with mini-PEMS systems for inspection (e.g., 3DATX and ECM).

2.1.6. Other Tests

(s)
RSD (Remote Sensing Device). It is used to obtain a great number of measurements in a short time, in a fixed location on actual driving conditions. It is a powerful tool to determine fleet emissions by location [14]. This concept has been used for an inspection called RSIS (Remote Sensing Inspection System).
(t)
Plume Chasing, carried out from a vehicle driving behind the tested vehicle. This system is used for on-road monitoring of vehicle emissions (e.g., Færdselsstyrelsen).

2.2. Premises When Designing a NOx Emissions Test for PTI

A PTI test differs from the mentioned ones in several ways. In the first place, when designing a new test for PTI, inspection requirements must be met. According to the PTI directive [35] “Testing during the life cycle of a vehicle should be relatively simple, quick and inexpensive, while at the same time effective in achieving the objectives of this Directive”. Likewise, the regulations of European countries (e.g., Spanish regulations [36,37]) establish requirements in the same sense: “Testing should be as simple and direct as possible, and the inspection should be possible in a limited time”. Of course, there are other requirements in common with other types of tests, such as accuracy, precision, significance, and repeatability, although at a different scale. Another important aspect is to strictly define the technical situation that the test will measure.
Existing methods of NOx measurement are trying to simulate, in different ways, on-road conditions in vehicles. Yet, these methods face a problem that is difficult to solve.
As is explained in Appendix A, the diesel engine NOx generation mainly depends on O2 concentration and temperature in the combustion chamber [10,56,57]. However, a vehicle is a complex combination of interacting systems regulated by the Engine Control Unit (ECU). The real on-road NOx emission from the vehicle at the exhaust pipe depends on many variables (see Table 1). These variables can be divided into exogenous and endogenous [58]. The exogenous variables are those affected by the engine working conditions, such as traffic congestion, road condition, road grade, driving style, fuel composition, among others. The endogenous variables are vehicle or engine inner working variables that affect emissions such as engine speed, gear engaged, power demanded, engine temperature, etc.
A variation from any of these variables causes a significant variation of the vehicle’s NOx emissions. For example, a severe driving style can increase NOx emission by more than 250%. Similarly, an increase in road grade from 0% to 5% means a 115% NOx emission increase [59]. As a result, it is very complex to design and carry out a test that considers all these variables while ensuring repeatability.
To solve this issue, either some of these variables are fixed before the test, or the number of variables involved is reduced. The first option introduces a high complexity to the test, while the option to reduce variables can simplify the test, but at the cost of reduced precision, accuracy, repeatability, and representativity.
Another option is to develop the test in a situation where several variables do not influence NOx emissions. This situation is the engine idle state.
When the vehicle is at idle, the gear engaged, the speed, the acceleration, VSP, the throttle position, the road grade, the payload, the weight, the aerodynamic drag, or the driving style, among others, do not influence NOx emissions. Moreover, the engine speed remains constant, and the engine operation temperature variation is so small throughout the test that NOx emissions do not change.
Table 1 shows some of the variables that can affect NOx emissions. All of them have to be accounted for in a dynamic test. Still, the quantity of variables affecting the NOx emissions is reduced dramatically for the idling static test.
Only these variables that are out of test control, such as the EGR strategy and the post-treatment systems strategy, remain free. However, theoretically, by reproducing the same engine behavior (at idle), these strategies should work identically when the test is repeated. As such, only environmental conditions could change and affect the NOx emissions. For example, low ambient temperatures are associated with higher NOx emissions. The use of EGR increases the water vapor concentration in the exhaust gas. There are problems in the recirculating system at lower ambient temperatures when a high EGR rate is used because water vapor condensation can cause severe problems in the EGR line. For that reason, EGR rates are reduced or even cancelled at low temperatures to avoid EGR components’ failures. The result of the EGR rate decreasing is a higher NOx emission at low ambient temperatures [24].
That said, it should be mentioned that the period between inspections is usually one or two years, so the weather conditions may be similar when the PTI test is repeated, and the influence of this variation is reduced. On average, only vehicles with 6 months between inspections could be affected by this variation. That said, the influence of variations in ambient temperature, pressure, or relative humidity over the test results should be studied further.
Therefore, performing the test at idling speed has significant advantages over other types of measurements in terms of test design and execution.
In contrast, the main disadvantage that could be attributed to this type of measurement, compared to dynamic measurements (e.g., on a roller bench), would be the poor representativeness of the result concerning the actual emissions of the vehicle while driving. However, although this may seem very obvious, in reality, this is not the case.
Firstly, NOx emissions are most harmful on an urban trip because the time a vehicle spends idling is very significant. In congested traffic situations (again, the most damaging situation), this time can reach up to 60% of the total commuting time, and there can be up to four stops for every kilometer travelled, so the emissions generated while the vehicle is in the test situation are very representative [12,13,55].
In contrast, the roll bench measurements, or PEMS measurements, which in theory, simulate actual traffic conditions, present two serious problems in terms of their representativeness to actual emissions:
  • Tests short enough to be feasible to perform at PTI simulate conditions that rarely occur in reality. For example, the situation reproduced in an ASM 2050 test (going from a standstill to a constant speed of 20 km/h for about 15 s and accelerating, in a single step, to a speed of 50 km/h to maintain this constant speed for about 15 s) is a very specific situation that will rarely be reproduced, exactly, in real traffic conditions. As indicated, NOx emissions depend on many variables. The result of a NOx measurement can only be considered representative for the exact situation it was measured at. Therefore, the result of an ASM2050 test can hardly be considered representative of the actual emissions of the vehicle in urban traffic.
  • Tests that are sufficiently long and complex to be considered representative of actual vehicle emissions (such as the NEDC and WLTP type-approval measurement cycles), are not adequate to PTI in time, equipment, and staff terms, and have been reliably demonstrated to provide emission values that differ greatly from actual vehicle emissions on the road. Accordingly, representativeness of them can also be questioned.
For all these reasons, a test that provides the actual value of vehicle emissions for up to 60% of the time of a congested urban trip, should be considered as a representative, if not more so, than other tests that reproduce situations that occur with much less probability in the actual vehicle traffic.

3. Proposal of the New Measurement Process

3.1. Technical Proposal for NOx Measurement Method

As explained in Appendix A, NOx emissions from diesel vehicles strongly correlate with engine power demand [24], and the “% engine load” is an ECU parameter related to the engine power demand.
This proposal is based on the analysis of the variation of the NOx concentration at the vehicle exhaust gas pipe, caused by the modification of the “% engine load” at idle. The engine idle state is chosen to simplify the test and ensure repeatability for the reasons explained in Section 2.2.
At this idling condition, the engine can be easily subjected to two different engine load states defined by the measurement of the “% engine load”. The NOx concentration variation and other engine working parameters are read through the OBD system.
Experience tells us that the better way to increase the “% engine load” value, if the vehicle is in static conditions, is not with a free acceleration from idling, but increasing the power demand from the equipment in the vehicle. Simply switching on the engine and working at a natural engine idle speed, some of the torque available is consumed by the necessary accessories of the engine (water pump, alternator, etc.). This consumption translates directly into a “% engine load” value, which gives us the percentage of torque used compared with the available peak torque at natural engine idle speed. We name the situation of the engine with minimum power demand as “Unloaded state”.
Increasing the power demand when the vehicle is idling increases the “% engine load” significantly. One of the easiest ways to increase the power demand is connecting some vehicle equipment, such as the Air Conditioning (A/C) system, the lighting and signaling system, and the rear window heater system.
The power demand from the Air Conditioning system and the vehicle’s electric equipment are not considered in the type approval NEDC test. However, it is estimated that it may vary the CO2 emissions. Instead, the USA SC03 Air Conditioning test is used to control the pollutant’s emissions of the vehicles because the Air Conditioner compressor is the highest power-consuming accessory, and it increases NOx emissions [60]. Several previous measurements demonstrate that A/C system use increases the engine load and NOx emissions [61]. Furthermore, the battery’s state of charge at the start of the NEDC test can vary by as much as 3% of the CO2 emissions, so, for the tests to be consistent between measurements, full battery charge must be ensured [16]. This gives an idea of the influence that Air Conditioning and electrical consumption can have on vehicle pollutant’s emissions while idling. We name the situation of the engine with the vehicle’s equipment connected as “Loaded state”.
Through this procedure, it is possible to double the “% engine load” from the initial Unloaded state to the Loaded state and even reach a higher “% engine load” than in a simulation bench. Depending on the vehicle, a “% engine load” of more than 50% can be reached with the vehicle at the natural engine idle speed. The average increase in “% engine load” from the Unloaded state to the Loaded state is about 100%.
Instead, free acceleration from natural engine idle speed without a gear engaged increases the “% engine load” for a short time, decreasing immediately to a lower natural engine idle speed level. If the engine speed is increased, the available peak torque is increased too, but the torque consumed from the engine remains constant if there is no new consumption. As a consequence, the “% engine load” decreases. The initial increase in “% engine load” comes from the inertial forces of the engine that are necessary to overcome. When the new engine speed is reached, the “% engine load” decreases. This behavior can be observed in Figure 1.
The gas analyzer uses an OBDII reader to measure and register the “% engine load” value. This connector plugs into the OBDII port of the vehicle and transmits the required parameters to the measurement equipment [43,62,63,64].
The “% engine load” is not the only parameter registered from the ECU of the vehicle. Other relevant parameters that could be registered through the vehicle’s OBD port are available: the engine speed, the % EGR opening, and the engine temperature, among others.
Summarizing, through the OBDII port, several working parameters are read from the vehicle’s ECU, the “% engine load” being the most important. Simultaneously, a gas analyzer measures NOx concentration from the vehicle’s exhaust pipe. The details of the gas analyzer used are shown in Appendix B.
Combining the OBD data and the NOx concentration measures from the gas analyzer, it is possible to analyze the relationship between the exhaust gases NOx concentration from the vehicle and the operational engine parameters, precisely the “% engine load”.

3.2. Protocol

A protocol must be followed to ensure that every test is performed in the same way. This protocol consists of three steps: (a) verification of vehicle conditions for the performance of the test, (b) preconditioning of the vehicle, and (c) execution of the defined cycle for the test.
The first and second steps are shared with the current opacity measurement procedure [43]. The only difference is the measurement equipment used: an opacimeter is used for the current measure of opacity in diesel vehicles. However, for the NOx measurement, equipment able to measure NOx concentration (such as the equipment described in the Appendices, but not exclusively) are used.
For the first step, the conditions of the vehicle must be verified to ensure that the vehicle is suitable and is prepared to be subjected to the test. The following aspects must be checked: the state of the exhaust system is correct and does not show any apparent damage or modifications (visual checking), any extra loads and equipment of the vehicle are disconnected, the vehicle shows an adequate mechanical and electrical condition, and the vehicle does not indicate faults using the MIL indicator (or OBD).
In the second step (preconditioning), it must be checked if the engine is in normal working condition, using the engine oil temperature. At this point, vehicle manufacturer information must be used. If it is not available, the engine oil temperature or, alternatively, the engine crankcase temperature should reach at least 80 °C, according to preconditioning for opacity test [43].
The third step consists of the implementation of the cycle defined in Table 2. The blowpipe of the measurement equipment is introduced into the exhaust pipe and the OBD connector is plugged into the OBD port of the vehicle. Once the measurement equipment is ready, the five stages indicated in Table 2, must be followed while NOx concentration is measured.
As OBD data reading is necessary, only vehicles with OBDII port and supported communication protocol available are suitable for the test. That includes most Euro 4 vehicles, as well as Euro 5 and Euro 6. Some Euro 3 vehicles are suitable for this type of measurement, but OBD reading is not always ensured.
The procedure and results obtained for a vehicle (vehicle No. 20, from the vehicle set listed in Section 3.4) are presented below to illustrate the testing process. The results of the test are compiled following the instructions from Table 3. With these data, the graph shown in Figure 1 is built. The measurement time is along the x-axis, NOx concentration and mass flow are on the left y-axis, and engine speed, “% engine load”, and % EGR aperture are on the right y-axis.
Reading time for each stage can be defined at convenience, but 20 s for each stage can be enough. With the engine working at a steady state, it is unnecessary to wait for a long time to get enough representative values. If engine working is irregular, a longer time might be required to get enough measurements to reach a representative average. The simplicity of the method allows using as much time as necessary to make a correct measurement easily.
For each stage, the average value of the recorded parameters is calculated. The combination of the average concentration of NOx and the average of the corresponding “% engine load” provides the numeric results for the test. To calculate the average values of NOx concentration, only data of steady emissions and “% engine load” are selected, avoiding sections of data where emissions are increasing or decreasing (limits between stages). In this way, the average calculated represents, more accurately, the NOx emissions for the corresponding engine load state.
Figure 1 presents the five stages described before. In the first place, the first Unloaded stage can be seen, where the average value of “% engine load” is 13%, and the average NOx concentration read is about 150 ppm. In the second stage (Loaded state), the “% engine load” increases to an average value of 36%, while an increase in average NOx concentration to 465 ppm is observed.
In these two stages, the EGR system was inactive, so the control emissions system does not affect the value of NOx concentration read. That means the correlation between NOx concentration in the exhaust pipe and “% engine load”, if it exists, is not modified by the influence of another parameter. The tests carried out show that the indicators of the correlation (R2 and p-value, see Appendix D) between data of both variables are generally higher in these two stages than in other parts of the cycle, where other parameters may affect the concentration of NOx. To summarize, at these stages, the correlation between both variables is so strong (evidenced by the R2 and p-value from NOx concentration and “% engine load” data) because of the absence of other factors.
In stage 3, the engine is accelerated to an average speed of 2163 rpm, which provokes some changes in the engine’s behavior.
A free acceleration reduces the “% engine load”. When engine speed is increased, the available torque and power from the engine also increase. Still, the power demand in stage 3 remains the same as in stage 2 (after an initial peak of power, the engine needs to overcome the inertial forces from the engine acceleration). Consequently, if available torque and power are higher, but the power demand remains the same, the “% engine load” value decreases. This situation can be observed in Figure 1: as soon as the engine speed increases, the “% engine load” decreases. The same situation was observed in every test carried out.
A second change is when the engine speed increases and NOx concentration decreases. This reduction results from the “% engine load” reduction, which is another validation of the relationship between NOx concentration and “% engine load”. Although power demand is steady in stages 2 and 3, the NOx concentration in stage 3 decreases. This reduction is related to the “% engine load” reduction. The same behavior was observed in every test carried out.
Besides this, the engine acceleration causes the opening of the EGR valve and an additional reduction in NOx concentration. As shown in Table 3, in the Loaded & Accelerated section, the EGR valve is 56% opened on average. As a consequence, the average NOx concentration in this 3rd stage is similar to the 1st stage but with the following difference: in the 1st stage, the NOx concentration was steady and continuous, while in the 3rd stage, the NOx concentration is strongly decreasing from a maximum value of 478 ppm to a value near to 100 ppm. Meanwhile, the engine load was reduced and maintained at 11% throughout this stage (slightly lower than at unloaded conditions).
In the 4th stage, the engine speed goes back to 750 rpm, the same speed as the 1st and 2nd stages, and engine load returns to 35 ”% engine load”, the same level as the 2nd loaded stage. However, the NOx concentration in the 4th stage is lower than in the 2nd stage. This is because the EGR valve remains open at 30%, reducing the NOx emissions of the vehicle. As a result, the average NOx concentration in the 4th stage is slightly higher than in the 1st stage and significantly lower than in the 2nd stage.
Finally, in the 5th stage, the EGR valve remains open (even more than in the 4th stage), while “% engine load” is reduced to the same level as the 1st stage. As a consequence, NOx concentration in the 5th stage is lower than in the 1st stage.
This behavior supports the hypothesis that NOx concentration is related to “% engine load” at idling, and % EGR reduces the NOx concentration in the vehicle’s exhaust gas.
As a result of the static NOx test, Table 3 is obtained. Data from stage 1 and stage 5 are joined in the “Unloaded idle state”, and data from stage 2 and stage 4 are joined in the “Loaded idle state”, while data from stage 3 are placed in the “Loaded & Accelerated state” to build the table. The average values of NOx concentration, “% engine load” and the other emissions and parameters are summarized and calculated for each of the states.
The accelerated section is necessary to make sure that the EGR system or other EATS (Exhaust After-Treatment Systems) are working if they were not previously activated (usually they are not), although these NOx values are not used to define the NOx emissions level. In this way, EGR and EATS work along stages 4 and 5 (according to ECU programming), and the influence over the NOx concentration from this system is accounted for by the average values in the final result. This stage is not useful for checking emission rates during acceleration because it is a free acceleration without additional load (the load only appears when engine acceleration increases vehicle speed). The result of this type of free acceleration is a decrease in the “% engine load”.
This behavior reproduces what happens in actual urban driving conditions, where once the vehicle stops and remains idling (e.g., at a red light), the EGR and EATS also stop working until the vehicle is back in motion, and the operating conditions programmed in the ECU are reached.
These results make it possible to use the average NOx concentration at both states (Unloaded idle state and Loaded idle state) as a simple indicator of NOx concentration level. Moreover, Unloaded state concentration or Loaded state concentration could be used to make a comparison between vehicles (Table 3).
Although NOx concentration could be used to compare the level of NOx emissions between vehicles (most of the NOx test methods explained in the Section 2.1.1 and Section 2.1.2 provide NOx concentration as a result), it is more appropriate to make this comparison in absolute terms. For the same NOx concentrations, higher engine size and/or higher engine idle speed arguably emit a greater mass of NOx than smaller vehicles.
In approval type procedures, emission factors (g/km) are used to compare pollutant emissions, yet this value cannot be obtained from a static test. Instead, the NOx mass emissions flow in mg/s can be used to compare emissions. This value is not directly obtained from the measurement equipment and should be calculated. The procedure to do so is explained in Appendix C.
In this way, it is possible to determine NOx emission mass flow (see Figure 1) in mg/s throughout the test. With these data, the average value of NOx emission mass flow in each of the five stages of the test can be obtained and used in the same way as with the NOx concentration. These values are included in Table 4 for a complete overview of NOx concentration and mass emissions at both states. The results summary in Table 4 includes the maximum value of NOx concentration read in the test (in the Unloaded or Loaded state) because it is further used to estimate the maximum value of NOx concentration by extrapolation with the unloaded and loaded values.
Uncertainties associated with measured and estimated data are calculated according to the Guide JCGM 100:2008 [65] and presented in Table 5. Uncertainties depend on the measuring equipment used.
Once the set of values is completed for both states, including the maximum instantaneous value, it is possible to define a linear regression function relating NOx concentration and NOx mass emissions with “% engine load”, as is shown in Figure 2.
As a part of the data, the value of 0 ppm NOx concentration is related to the value 0 “% engine load”, and the value of 0 mg/s NOx emission is also related to the value 0 “% engine load”. According to the definition of “% engine load”, its value is 0% at engine off and ignition on [60]. With this (0,0) point, and the three points defined in Table 4 (pair NOx (mg/s)- “% engine load”, pair NOx (ppm)-”% engine load”), a linear regression function is defined to extrapolate the value of NOx emissions mass flow at 100 ”% engine load” (Figure 2, left plot). Another linear regression function is defined to extrapolate the value of NOx concentration at 100 ”% engine load” (Figure 2, right plot).
Finally, once both linear regression functions are available, Table 4 can be completed. The TMV (Theoretical Maximum Value) is the estimation of the vehicle’s NOx emissions if it were at 100% of “% engine load” at idling state. This estimated data is the final result of the test. It defines the NOx emissions level of the vehicle, which can then be used to compare NOx emissions between different vehicles. The calculation of TMV can be easily incorporated into measurement software as the final result of the test.
As an indicator, the TMV could be helpful to detect the NOx high emitters and to classify the fleet, according to NOx emissions levels.
Moreover, idle Unloaded and idle Loaded average NOx emissions mass flow provide a close estimation of the actual value of NOx emissions from a vehicle when, during urban circulation, it is stopped at a red light or remains stopped in a traffic jam. A significant amount of the vehicle NOx emissions throughout a trip are emitted while the vehicle is stationary and idling, i.e., in the conditions under which the test is performed.
The determination of this information from a significant amount of the vehicle fleet can allow us to characterize the expected NOx emissions from actual vehicle information. This information, in turn, can be beneficial in generating appropriate environmental protection policies. For example, it can be used to optimize traffic light frequencies from a NOx emissions point of view in sensitive areas.
In summary, the average values obtained from the test are a close estimation of NOx actual emissions when the vehicle is stopped during actual circulation. In addition to this, the TMV of NOx emission mass flow (mg/s) could be a good indicator of the NOx emissions level, obtained from a test performed under the same operating conditions on all vehicles, so it may be a suitable way to compare emissions between vehicles. In this way, emissions from vehicles with different technical characteristics can be compared because the relative tested condition for all of them is the same: at the lowest possible engine load (unloaded idling) and the theoretical maximum load while idling. These two conditions are the minimum and the maximum possible load demand for idling, and although the absolute values of load demand involved can be very different, the relative situation is the same for every vehicle tested and can be used for comparison purposes between them.

3.3. Repeatability

The test was carried out several times over the vehicle to check the repeatability (as shown in Table 6). Figure 3 shows, in a graphical way, the repeatability of results.
To check the repeatability of the method, from these results, the usual statistical dispersion parameters of the registered data are calculated and shown in Table 7, the most important of which is the Standard Deviation (SD) and the Coefficient of Variation (CV).
The set of results shows that the method applied provides similar results for the various tests carried out over the vehicle, not only for Unloaded idle but for Loaded idle and TMV too, in the same way as for NOx concentration and NOx mass flow. As can be seen from the Standard Error of the Mean, the Standard Deviation, and the Coefficient of Variation, the repeatability of the measures was satisfactory. The quality of the relationship between NOx concentration and “% engine load” was also checked for this set of measurements. Results are explained in Appendix D through the R2 and the p-value.

3.4. Results

The explained method has been applied to the diesel vehicles indicated in Table 8. The vehicles come from 14 different manufacturers representative of the European market. They have emission levels from Euro 3 to Euro 6, with engine sizes from 1248 cm3 to 2993 cm3, and engine power from 66 kW to 210 kW. For each vehicle, several tests have been carried out to compare the dispersion of the results in a similar way as was explained before. One petrol vehicle (vehicle No. 18) has also been tested in the same way to compare the NOx emissions of diesel engine vehicles with petrol engine vehicles.
The average results of this complete set of measurements are shown in Table 9. The average NOx concentration at loaded idle was 152% higher than average NOx concentration at unloaded idle, and the average “% engine load” at loaded idle was 106% higher than average “% engine load” at unloaded idle. The increase in “% engine load” between both load states is large enough for the explained linear extrapolation. Furthermore, these results confirm the assumption, used as a basis for the proposal, that the concentration of NOx in the exhaust pipe is related to the “% engine load”.
The same situation is observed for the NOx mass flow emissions, where the average value of loaded state emissions is 146% higher than average unloaded idle emissions. Again, the increase in NOx mass flow emissions between both load states allows the building of a linear function.
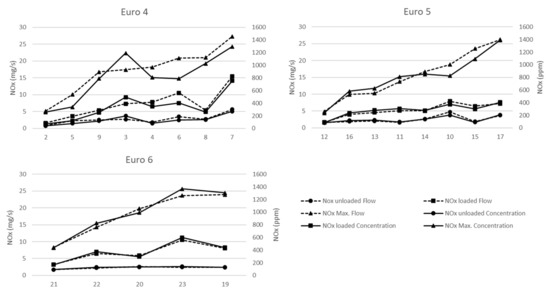
Comparing the average results for each diesel vehicle (see Figure 4), it can be observed that increases in NOx concentration and NOx mass flow from the unloaded to the loaded state is heterogeneous but always significant, with the lower increase being 102% (vehicle No. 12), and the largest increase being 431% (vehicle No. 4). The same behavior can be observed for the TMV values, with the lower increase from loaded state to TMV of 172% (Vehicle No. 7) and the largest increase being 394% (Vehicle No. 8). Heterogeneity in the results (that means the different NOx emission behavior), even between vehicles from the same emission level, comes from different ECU’s vehicle management of EGR and EATS.
It can also be observed how some vehicles with more demanding emission levels present equal or higher emissions than less demanding vehicles. This is one of the problems indicated in the introduction [6,14], and it is detected with the process of measuring. From RSD tests [66,67,68], Euro 6 emissions are lower than Euro 4 and Euro 5 (which are very similar between them). Still, comparing vehicle to vehicle, we can find Euro 6 vehicles with similar emissions to Euro 4 or Euro 5. The NOx emissions behavior of the sample vehicles is similar to that observed with other types of measurements such as with RSD.
The average engine load reached at loaded idle is 41.7% (in some cases, it went up to 60%), while the average engine load at unloaded idle is 20.3%. This shows how this static NOx measurement method, without any additional equipment or simulation bench, makes it possible to double the “% engine load” between unloaded and loaded idle, allowing to analyze and compare NOx emissions for two different load demand situations.
For the petrol engine vehicle, NOx concentration in unloaded idle state and loaded idle state is at least 20 times lower than the average NOx concentration for diesel engines. This difference is even higher for the NOx mass flow emissions. However, the “% engine load” reached is similar to diesel engine vehicles. The value for both states, 22% for unloaded idle and 38 % for loaded idle, is near the mean of the complete set of vehicles previously mentioned. These results verify the fact that diesel vehicles are the main NOx emitters [11,12,13].
Summarizing, the results show that for the set of vehicles analyzed:
(a)
There is an average increase of 106% of “% engine load” from Unloaded idle to the Loaded idle for the complete set of vehicles tested
(b)
There is a significant increase in NOx concentration from the Unloaded idle to the Loaded idle in all vehicles, with an average increase of 152%.
(c)
There is a significant increase in NOx flow mass emission from the Unloaded idle to the Loaded idle in all vehicles, with an average increase of 146%.
(d)
The petrol engine vehicle shows the same levels of “% engine load”, but NOx concentration values are 20 times smaller than average diesel vehicles NOx concentration, and the difference is even higher for the NOx mass flow emission.
(e)
The relationship between NOx concentration and “% engine load” is better for the initial section, due to the inactivity of the EGR and after-treatment systems in this section. As a result, there is less dispersion of results.
(f)
Standard Deviation for NOx concentration and NOx mass flow emissions is lower for unloaded idle than loaded idle.
(g)
Standard Deviation for “% engine load” is lower for unloaded idle, but in both states, it is very low (1.4% unloaded idle, 2.6% loaded idle). This means that the “% engine load” shows low dispersion when the test is carried out several times over the same vehicle.
(h)
The average Coefficient of Variation is similar for the NOx concentration and NOx mass flow emission for unloaded idle and loaded idle (17–18%). This means the dispersion of data is the same for both states and types of measurements.
(i)
The Coefficient of Variation for “% engine load” is 7% for both idle states. It confirms that “% engine load” data dispersion is low, and the tests are always deployed under the same conditions of “% engine load”.

4. Comparison between Methods

Once the quality of the relationship between NOx concentration and “% engine load” has been checked and the repeatability of the test has been verified, the proposed measurement process has been compared to another method designed for NOx measurement. This procedure is accomplished according to the cycle ASM 2050 shown in Figure 5: the vehicle is “driven” on a dynamometer power bench, following instructions to reproduce the ASM 2050 cycle.
To compare results, a vehicle (No. 12 from Table 8) has been tested using a power bench and following operating instructions from the equipment according to ASM 2050 cycle. Subsequently, the same vehicle has been tested with the proposed static method, with the same mechanical and environmental conditions.
The comparison of both methods was developed by the following three Type Test:
Test Type (1): the vehicle was tested in the simulation bench according to ASM 2050 cycle test. OBD data and exhaust gas composition were read and recorded with the ASM 2050 cycle equipment. The “% engine load” was not registered because the ASM 2050 equipment does not allow this option.
Test Type (2): the vehicle was tested in the simulation bench according to ASM 2050 cycle test. OBD data and exhaust gas composition were read and recorded with static method equipment. The “% engine load” was registered.
Test Type (3): the vehicle was tested according to the static test. OBD data and exhaust gas composition were read and recorded with static method equipment. The “% engine load” was registered.
For Tests Type 1 and Type 2, the vehicle was placed over the power bench. The test was then performed by a trained driver according to the ASM 2050 cycle, once the vehicle was secured and preconditioned. The greater time required for the preparation of the test on the simulation bench has not been taken into account for the evaluation of the test. The only difference between Test Type 1 and Test Type 2 is the measurement equipment, as they are performed in the same way.
Figure 5 shows the graphical representation of data read in a test from Test Type 2. Data from Test Type 1 is similar to that from Test Type 2, but the power bench equipment does not register “% engine load” and % EGR.
The solid black line shows the speed of the vehicle over the simulation bench. It can be observed that the behavior of speed is similar to that reflected in the image of the theoretical ASM2050 cycle: it starts with an acceleration from 0 to 20 km/h, then the speed is maintained for a few seconds (the time required for the equipment) and after this, the vehicle is accelerated to 50 km/h. After maintaining this speed for some time (required from the equipment), the speed decreases to 0 km/h. This behavior was similar in Test Type 1 and Test Type 2.
After these two types of tests, the static method proposed in this paper was applied to the vehicle in Test Type 3. Figure 6 shows a graphical representation of data from one of these tests, with the 5 stages of the test visible.
The results from all tests, carried out according to the three Type Tests, are included in Appendix E. According to registered data from the three Type Tests, we can state the following:
  • For the ASM 2050 cycle, it is difficult to repeat the test with the same result.
As shown in Figure 5, when the vehicle is at 20 km/h, the engine speed is not homogeneous. This means that “% engine load”, % EGR, and NOx emissions are not homogeneous either. This suggests that NOx emissions from this data section may not be very representative. Besides this, it is difficult to maintain a constant speed of 20 km/h, and it is even more challenging to reproduce the test with the same conditions of rpm and “% engine load” several times. For both data sections (20 km/h and 50 km/h), the time used to calculate the average of NOx emissions could be considered short to get a fair average value. It is important to remember that test operations are determined by the test equipment, which gives the trained driver instructions about how to operate the vehicle.
2.
For the ASM 2050 cycle test, the Standard Deviation and Coefficient of Variation are higher than for the static cycle test.
Specifically, for Test Type 1, the Standard Deviation and Coefficient of Variation are remarkable for both sections (20 km/h and 50 km/h). As is shown in Appendix E Table A4 and Appendix E Table A5, at 20 km/h, the highest NOx concentration is four times greater than the lowest, and at 50 km/h, more than 2.3 times greater. The SD at 20 km/h is 168.15 ppm, while at 50 km/h, it is 97.26 ppm, and the corresponding CV is 57.97% and 30.94%.
For Test Type 2, the SD is lower than for Type 1, but CV at 20 km/h is 39.08%. This indicates that the dispersion of data is high. On the contrary, these dispersion metrics are better for the static test than for the dynamic one. The unloaded idle presents an SD of 13.33 ppm and a CV of 8.10%, while for the loaded idle, the SD was 58.85 ppm and CV was 12.37%. In short, the static test shows lower dispersion, that is, better repeatability.
3.
For the ASM 2050 cycle test (equally for Test Type 1 and Test type 2), the highest NOx emissions are indistinctly reached at the 20 km/h or 50 km/h section, while for the static cycle test, the highest NOx emissions are always reached at loaded state.
The difficulty to repeat the ASM 2050 cycle test in the same conditions means that “% engine load” presents high variability and, consequently, NOx emissions are variable too. Instead, the simplicity of the static test allows us to achieve similar “% engine load” at unloaded and loaded states. Consequently, similar NOx emissions are reached from several tests: the highest NOx emissions are always reached at loaded state.
4.
There are important differences between NOx emissions values from Tests Type 1 and Type 2. Although the test was developed in the same way, the average NOx emissions from Test Type 1 were more than 2 times greater than from Test Type 2. This could be attributed to the difference between the NOx sensors of both types of equipment. However, the behavior in both Test Types is different too, so the different NOx sensors are not the only explanation for the differences.
5.
In Test Type 2, the “% engine load” is higher for the 20 km/h section than for the 50 km/h section. Instead, NOx emissions are higher (on average) for the 50 km/h than for the 20 km/h section.
This seems to indicate that, in this type of test, data from NOx emissions are not correlated to “% engine load”. Calculating the significance of the model in Test 2 with the p-value, as was explained before, seven of the eight p-values calculated were higher than the significance level, so the null hypothesis cannot be rejected for both situations.
When the vehicle is accelerated from 20 km/h to 50 km/h, the engine speed and the “% engine load” values are more homogeneous than in the 20 km/h section. In this situation, the EGR is near to being closed. It could be assumed that for this section, NOx emissions are more representative. Still, in this case, with rpm, “% engine load”, and % EGR with a homogeneous behavior, the NOx concentration (and the “% engine load”) fall from a maximum value to the same concentration in the idle rate. Consequently, it is difficult to define a correlation between NOx emissions and “% engine load” in this section.
6.
The “% engine load” reached from the static test is significantly higher than for the dynamic test with a chassis dyno.
In Test Type 2, the higher engine load was 38.08% at 20 km/h. Instead, in Test Type 3 the higher engine load was 51.66% at loaded idle, with the average engine load at loaded idle being 49.76%.
The highest “% engine load” value in Test Type 3 also generates the highest NOx emissions, individually for every test, and on average. Instead, in Test Type 2, the highest “% engine load” value does not always correspond to the highest NOx emissions. This occurs individually for some of the tests, and with the average value. The average NOx concentration for loaded idle was 475.80 ppm, while for the dynamic test, the higher average NOx emissions read were 314.36 ppm at 50 km/h in Test Type 1, and 134.98 ppm at 50 k/h in Test Type 2. In short, NOx concentration, measured with the static test, is higher than NOx concentration read with the ASM 2050 dynamic test (in this vehicle).
7.
It is easier to reproduce the static test than the ASM 2050 dynamic test.
In this way, it is possible to make the static test repeatedly with similar results. The duration of each step of the test can be deliberately extended to obtain a stable and adequate set of data to calculate the average NOx emissions easily.
For Test Type 1 and Type 2, the extension of the section to calculate average emissions was approx. 10 s for 20 km/h and 50 km/h, respectively (indicated by the equipment to the driver).
Instead, in Test Type 3, the duration of any of the measurement steps is higher than 30 s. If it is not necessary, they could be shorter (20 s are usually enough to get the required data), but if necessary, they could be as long as required to get correct average NOx emissions because the simplicity of the method allows it.
This is because, as observed in Figure 6, the behavior of “% engine load”, engine speed, and % EGR is much more stable in the static test than in the dynamic one (Figure 5). Consequently, NOx emissions are more stable, and therefore, it is easier to get a representative and accurate average NOx concentration value.
In Table 10, differences between both methods are listed. Summarizing, the repeatability, significance, and results in the dispersion of the static test are significantly better than for the dynamic one. Moreover, the “% engine load” reached, and the NOx concentration read with the static test, are higher, and yet the equipment and staff training requirements are lower than for the dynamic test.

5. Conclusions

This paper has proposed a new approach to include NOx control at PTI. Its main characteristics are:
(a)
Feasibility: fast and easy to incorporate into PTI, without additional vehicle preparation. It can be easily accomplished together with the current opacity emissions test [39]. Besides this, the vehicle’s operation could be executed by the vehicle’s driver (there is no need for a PTI inspector operating the vehicle). The time required to carry out the test is 2–3 min for the complete test.
(b)
Accuracy: measuring at natural engine idle speed guarantees the stability of engine functioning and provides a stable and accurate measurement of NOx concentration. Uncertainty for the average NOx emissions measurement is 4% relative, and it is 8% rel. for TMV values.
(c)
Repeatability: conditions for the test are easy to reproduce (idle rotation rate, and OBD reading of “% engine load”). The Coefficient of Variation or the “% engine load” value along the test is 7%, providing high repeatability.
(d)
Safety: reduced number of manipulations on the vehicle implies a higher probability of error-free tests, a lower probability of mechanical failure, a reduced probability of safety incidents during the inspection, and less severe consequences in case of an accident.
(e)
Requirements: it does not need additional equipment such as a Chassis Dynamometer, nor expert staff, so it is inexpensive: only a gas analyzer able to measure NOx emissions concentration and an OBD equipment to read engine speed and “% engine load” are required.
(f)
Maintenance: the equipment’s maintenance cost, both mechanical and metrological, is much lower than other systems, such as a power bench, and similar to current costs.
(g)
Type of Vehicles: it can be applied in the same way to any kind of passenger car or light-duty vehicle with the same equipment (e.g., 4 × 4 vehicles, automatic gearbox vehicles, non-disconnectable traction control vehicles, etc.). Even hybrid vehicles could be tested because most of them include some kind of inspection/maintenance mode, in which the test could be performed.
(h)
Representivity: it reproduces an actual driving condition. According to the NOx emissions in urban areas, it closely simulates one of the worst situations: a vehicle in a city, standing at a red traffic light or in a traffic jam, with the engine switched on and with the air conditioning running. The time a vehicle is idling when it is in actual on-road conditions varies from the driving condition, but for urban circulation, it is significant. In flow-urban circulation, the time the vehicle is at idling condition is between 6.7–9.1%. Still, in congested urban situations with high stop duration, this time can be from 40% to 50% of circulation time [69] and even rise to 60% [55].
Instead, none of the current NOx measurement methods shown in Section 2.1 meet all the characteristics indicated for the idling test.
The power bench basis methods of NOx measurement use more complex equipment and procedures, with greater times of preparation and execution, and, more importantly, higher associated risks, lower repeatability of the test, and a larger dispersion of the results (as has been previously checked for the ASM2050 method). It also requires more expensive equipment (expensive in the acquisition, installation, maintenance, and use terms) and specifically trained staff to perform the tests correctly. This implies lower feasibility for its implementation in PTI, which can be referred to as every power dynamometer bench at loaded steady-state method (or loaded transient methods), including the ASM2050 or the Lug-down method.
Moreover, power bench test preparation is more time-consuming than for the presented idling test because the vehicle needs to be secured. Otherwise, the consequences in case of an accident could be severe. The probability of malfunction or mechanical failure along the test is also higher than for the idling test.
In addition, the representativeness of the results from this type of test related to actual on-road emissions is limited to the conditions of the test, being very short the time in which a vehicle reproduces the same conditions of the test. Instead, conditions of the idling test can be found comprising up to 60% of the time of an urban trip. In this respect, TMV provides information that could be used to estimate the maximum instantaneous NOx emissions from urban on-road circulation, responsible for the most NOx emissions [70].
In conclusion, the proposed proposal meets the requirements to ensure a correct, accurate, reliable, and useful measurement and estimation of NOx emissions from vehicles. It further meets the requirements for a test that must be performed during the inspection in the process of a PTI, that is: as simple, quick, and inexpensive as possible.
Furthermore, with this method applied through PTI, it could be possible to classify vehicles according to their NOx emissions in an actual situation and become an important tool for the Anti-Pollution Protocols in large cities and allow for the correct management of circulating vehicle fleet. As expensive and complicated equipment and expert staff are not required, the measurement method could be incorporated into PTIs in a short time.
The main future issue will be to define the adequate emission limits according to this test method. For this, a measurement campaign, following the proposed method, is being conducted. The objective of this campaign is twofold: on the one hand, to check that in a sufficiently large number of measurements, the characteristics observed in the development of the method are maintained in the same way, and on the other hand, to define the appropriate rejection NOx emissions threshold in the PTI from a significant sample of vehicles. As was said in the introduction, the European Commission suggests detecting 5% of vehicles with higher NOx emissions [32]. This value can be used as an orientation to define a PTI threshold. The preliminary results from the campaign confirm the conclusions from the test performed to define the measurement method. In addition, with the preliminary results, it is possible to establish emission limits to be used as a rejection tool in the inspection, which would generate an approximate inspection rejection of 5% of the vehicles. The methodology for determining these limits will be discussed in future papers.
Moreover, if the tests are carried out during a large enough period, the evolution of NOx emissions as a function of vehicle aging could be assessed. This fact was pointed out in previous studies [71].
Results from on-road tests performed will be discussed in next papers, but one of the main results obtained was that TMV is always lower but close to the peak of NOx instantaneous emissions in urban on-road emissions.
It is important to remark that, although the method has been developed and tested with passenger cars and light-duty vehicles, it could be applied in a similar way to heavy-duty vehicles or buses. However, further research is needed to determine its suitability for heavy vehicle inspection or even motorcycles and mopeds.

Author Contributions

Conceptualization, E.F.; methodology, E.F.; validation, A.V., J.J.A. and A.O.; formal analysis, A.V. and J.J.A.; investigation, E.F.; resources, E.F.; data curation, E.F.; writing—original draft preparation, E.F.; writing—review and editing, E.F.; visualization, E.F.; supervision, A.V. and J.J.A. All authors have read and agreed to the published version of the manuscript.

Funding

This research received no external funding.

Institutional Review Board Statement

Not applicable.

Informed Consent Statement

Not applicable.

Data Availability Statement

Not applicable.

Acknowledgments

We would like to thank specially to GRUPO ITEVELESA S.L.U. for the help and support received, allowing us to accomplish measurements at PTI station 5001 placed in Zaragoza (Spain), and providing the equipment required for the development of the test. And to TEKNIKA BEREZIAK (Centralauto), for the help and support in providing the gas analyzer and developing the software to make it easier and faster the measurement and treatment of recorded data.

Conflicts of Interest

The authors declare no conflict of interest.

Abbreviations

DOC: Diesel Oxidation Catalyst, DPF: Diesel Particulate Filter, ECU: Engine Control Unit, EGR: Exhaust Gas Recirculation, EATS: Exhaust After-Treatment Systems, NOx: Nitrogen Oxides, OBD: On-Board Diagnostics, PEMS: Portable Emissions Measurement System, PGM: Precious Group Metals, PTI: Periodic Technical Inspection, RDE: Real-driving emissions, RSD: Remote Sensing Detector, SCR: Selective catalytic reduction, TMV: Theoretical Maximum Value, VSP: Vehicle Specific Power, WHO: World Health Organization.

Appendix A. NOx Generation Process and “% Engine Load” in Diesel Vehicles

The most important sources of NO generation during combustion in diesel engines are: Thermal NO, Prompt NO, Fuel NO and NO originated from N2O. Part of the NO generated in combustion is subsequently combined with oxygen to get NO2 Equation (A4) along the exhaust line.
The main source of NOx is the Thermal NO, generated by the Zeldovich mechanism [56] Equations (A1) and (A2) and the Extended Zeldovich Mechanism [57] Equation (A3), being usually the rest of the sources fewer important compared with Thermal NO.
N 2 + O     NO + N
N + O 2   NO + O
N +   OH     NO + H
NO + 1 2 O 2       NO 2
NOx [ppm] = NO [ppm] + NO2 [ppm]
The combination of both compounds is usually named NOx Equation (A5). Although most of the generated NOx is NO, vehicles from the Euro 3 emission standard up to today show an increase in the proportion of NO2 in the exhaust gases [24].
All of these NOx formation processes are highly dependent on temperature in the combustion chamber [10,56,57]. As diesel engines work without throttle and always with excess air (lean combustion), O2 concentration is always ensured. When the temperature in the combustion chamber increases (for example due to the vehicle’s power demand) the concentration of NOx generated also raises. Increasing temperature in the combustion chamber above 1600 °C causes a significant increase in NO generation [11,72]. Therefore, diesel vehicles’ NOx emissions have a strong relationship with engine power demand [24].
The “% engine load” is a parameter that relates the power demand to fundamental operating parameters of the engine (specifically, the airflow or the fuel flow into the engine). The value of “% engine load” can be read through the On-Board Diagnostic (OBDII) port of the vehicle.
The “% engine load” is calculated by the Engine Control Unit (ECU) of the vehicle according to SAE J1979/ISO 15031-5 [60], through a relationship between the current airflow intake to the engine and the peak airflow intake at the given rpm, although for the compression-ignition engines the fuel flow is used in place of airflow for the calculations. This value corresponds to the “Calculated load value” as defined in European directives [73] and is a dimensionless number, which has the advantage that is not engine specific value, so can be used to compare engines with different characteristics.
The “% engine load” value indicates the percentage of available peak torque or, in other words, the percentage of the engine torque that is being used, as a function of rpm, by the power demand to which the vehicle is subjected. It is a relative indicator that provides information on the use of the engine concerning its maximum capacity under given engine speed conditions. This is usually read at PID $04 from the OBDII communications system, and is a generic output from ECU, both in diesel and petrol vehicles, so it can be read in PTI.

Appendix B. Measurement Equipment

As the objective is to define a measurement procedure for PTI, it was decided to use a gas analyzer CENTRALAUTO model SPEKTRA 3011, equipment commonly used in PTI stations. It is used for the measurement of CO emissions and lambda value in the exhaust gases of petrol engine vehicles, in the station where the measurements will be made. The equipment used has Model Test (Class I) No. 370-B-57/12-M, is following the UNE 82,501, and for the realization of the measurements has been equipped with an electrochemical NOx sensor manufactured by IT (International Technologies Dr. Gambert GmbH).
The sensor works as a potentiostatic-driven cell backed up by an onboard battery and has a measurement range of 0 to 5000 ppm vol., an accuracy of ±20 ppm abs. and ±4% rel. and an annual deviation of less than 5% of the signal. This sensor is included in the Model Examination of the gas analyzer. The operating range of the sensor is suitable for the measurements to be made, given that the usual values to measure move within the range of 0–2000 ppm. Equipment was calibrated on a weekly basis with a pattern gas certified bottle.
The operation of NOx measurement potentiostatic cell is as follows: the sample of gas to be analyzed goes through the cell, producing an electrochemical reaction. At the output of the sensor, an electrical signal is obtained, which is proportional to the concentration of the specific study gas (NOx) within the gas sample analyzed. The sensor generates a linear output from 45 to 75 nA for each ppm of NOx concentration in the gas sample.
Other advantages of using this equipment lie in the fact that being the usual equipment for standard emission tests in the PTI station, it has a very small influence on the usual inspection operations, reducing the impact of carrying out the tests in the normal operation of the PTI station.
The whole measurement equipment is made up of the Gas Analyzer equipment indicated above, and a computer where software designed by the manufacturer of the analyzer performs the reading of the data manages the performance of the test, and provides a file with the data read for further processing. The equipment also performs, simultaneously, the reading of a set of engine operating parameters through the OBDII connector of the vehicle.

Appendix C. NOx Mass Emission Flow Estimation

As the measurement equipment does not provide the value of NOx emission mass flow, but the NOx concentration in the exhaust gas, it must be estimated from NOx concentration and exhaust gas flow.
As the test is developed for a quick measurement at PTI, not for a laboratory or homologation process, the precision from the following estimation method is considered enough for the test proposal.
In the first place, the Molar Volume of the exhaust gas is calculated with Equation (A6). With this value, NOx concentration in mg/m3 in the exhaust gas flow is obtained from ppm concentration through the Equation (A7), and finally, the NOx emission mass flow in mg/s is calculated with Equation (A8) from the exhaust gas flow.
V m = n R T P
X i = M i V m x i
m ˙ i = m ˙ e X i
  • Vm = Molar Volume of exhaust gas (L/mol)
  • n = the amount of substance (mol)
  • R = Ideal gas constant
  • T = Gas temperature (°K)
  • p = Gas pressure (mmHg)
  • x i = NOx concentration (ppm)
  • M i = NOx molecular weight (g/mol)
  • m ˙ i = NOx emission mass flow (mg/s)
  • m ˙ e = Exhaust gas flow (m3/s)
  • X i = NOx concentration (mg/m3)
Although the exhaust gas flow ( m ˙ e ) is not measured in the test by the equipment, it can be estimated from the read test data. Even for the PEMS equipment (used for the homologation process), it is an accepted possibility to calculate the exhaust gas flow from fuel or intake airflow instead of with a direct read with a flowmeter. This is because the results obtained have similar accuracy to values from flowmeters or pitot tubes [58,74,75].
The intake airflow could be measured through OBD, but sometimes these data are not available. Therefore, the method used is to estimate the intake airflow from the engine size and engine speed.
It can be assumed that the intake airflow for a diesel engine is as much air as possible at a given engine speed condition and that the volume intake airflow is the same as the volume outlet exhaust flow [76]. In this way, from the engine size and the engine speed, the outlet exhaust gas flow volume can be estimated.
For the M i value, all measured NOx has been considered as NO2. This estimation is made on the basis that measurement in the exhaust pipe occurs when the exhaust gases are discharging to the atmosphere and that NO is a gas that oxidizes very easily to the NO2 Equation (A9) at ambient temperatures or above, so most of the NO emitted will eventually be converted to NO2.
2 NO +   O 2     2   NO 2
In this way, the maximum mass emitted if all the NO is converted into NO2 is calculated. Calculating the value of M i based on the real proportion of NO and NO2 present in the exhaust gases would be a more accurate option if the measurement equipment provided both values, but since the equipment used only provides the aggregate NOx data without disaggregating the measurement between the two components, using a theoretical proportion would be equally inaccurate but could lead to an underestimation of the emissions, so it has been considered a better option to use the above criterion of considering all NOx as NO2. Moreover, when NOx emission is expressed in mass units, the same criterion is widely used [29,77].

Appendix D. Relationship between NOx Concentration and “% Engine Load”

This new approach to NOx measurement is based on the relationship between NOx concentrations, measured at the exhaust pipe, and “% engine load” while idling. To check the quality and the significance of the relationship between both variables, the regression factor (R2) and the p-value are calculated for the following 4 different data sets:
(a)
Total of measurements of the test: the complete data set is analyzed as a whole.
(b)
The Initial section of the test: the data corresponding to the 1st and 2nd stages are analyzed as a whole.
(c)
The Final section of the test: the data corresponding to the 4th and 5th stages are analyzed as a whole.
(d)
The Acceleration section: the data corresponding to the 3rd section is analyzed as a whole.
Linear Regression factor (coefficient of determination R2) is calculated from the Pearson coefficient to check the quality of the model (the relationship between NOx concentration and “% engine load”). It provides information about the “goodness-of-fit” of the data to the fitted regression line, so the higher the Regression factor, the better the quality of the model.
A relationship shows statistical significance when the probability of this relationship being random is very low. The p-value shows the probability to obtain the present results, assuming that the null hypothesis is true. In this way, it is possible to check the significance of the model. Usually, the p-value used for research is 0.05. When it is important to ensure the results, such as for medical research, a p-value of 0.01 is used. For the model studied, the significance level defined is 0.01.
In this way, a p-value lower than 0.01 suggests that the data obtained in the test are not consistent with the null hypothesis, because the probability of the null hypothesis is too low (in this case, the null hypothesis: there is no relation between NOx concentration and % engine load), so it can be rejected. That means that the lower the p-value, the higher the significance of the model.
In the sample used along with the paper (Figure 1, vehicle Nr. 20), for the Initial section (1st and 2nd stage), the EGR system was inactive, so the NOx concentration is not affected by the control emissions system. As there wasn’t any external affection, the increase in “% engine load” caused an increase in NOx concentration. This is reflected when correlation and p-value for these stages are analyzed. For the initial section of data, there is the highest coefficient of determination (R2 = 0.79), and the p-value for this section is not only lower than the significance level chosen (0.01) but the lowest of the test. In fact, the p-value for this section is so low (1.1 × 10−25) compared to the significance level that it is possible to reject the null hypothesis and presume that both variables are correlated.
On the other hand, in the Accelerated section (3rd stage) the EGR system was active, so the correlation between NOx emissions data and “% engine load” data was affected. For this reason, the p-value for the accelerated section is higher than the significance level so, for this data section, it is not possible to reject the null hypothesis (maybe NOx concentration and “% engine load” data aren’t correlated) in this section.
The aperture of the EGR valve in the Final section (4th and 5th stage) modifies the NOx emission behavior, with respect to the Initial section. The p-value is lower than the significance level (it is possible to assume that NOx concentration and “% engine load” are correlated) but significantly higher than the p-value in the Initial section. On the other hand, the Coefficient of determination (R2 = 0.56) is lower than in the Initial section.
In Table A1, the average statistical values of correlation between NOx concentration and “% engine load” for the set of vehicles are represented. In the Initial section, the p-value uses to be the lowest, followed by the p-value of the Final section. The p-value for Total and Accelerated sections are usually higher.
Table A1. Statistical analysis of vehicles in static sections of NOx test.
Table A1. Statistical analysis of vehicles in static sections of NOx test.
TotalInitialFinalAccelerated
Reference VehicleR2p-ValueR2p-ValueR2p-ValueR2p-Value
10.0142.97 × 10−10.9075.26 × 10−280.8561.56 × 10−200.1751.53 × 10−1
20.6209.90 × 10−100.8847.69 × 10−660.8079.36 × 10−190.2271.75 × 10−1
30.6978.02 × 10−350.9151.04 × 10−440.7901.46 × 10−100.2692.19 × 10−1
40.5252.02 × 10−240.5671.38 × 10−110.7498.20 × 10−140.0985.31 × 10−1
50.1101.38 × 10−10.4614.36 × 10−20.5461.86 × 10−90.3805.30 × 10−2
60.6329.73 × 10−70.8522.65 × 10−200.7917.35 × 10−80.4942.36 × 10−2
70.6877.22 × 10−180.9074.29 × 10−430.8803.89 × 10−170.4271.59 × 10−1
80.2551.97 × 10−10.9201.25 × 10−250.6093.28 × 10−40.4281.10 × 10−1
90.0433.62 × 10−20.9762.78 × 10−600.8161.03 × 10−180.4808.73 × 10−2
100.2053.16 × 10−40.8872.95 × 10−330.2502.19 × 10−20.4431.67 × 10−1
110.1622.35 × 10−40.8403.22 × 10−260.2453.89 × 10−20.2492.76 × 10−1
120.0342.75 × 10−10.0942.51 × 10−10.1611.29 × 10−10.3623.37 × 10−1
130.2092.15 × 10−10.9141.22 × 10−320.3581.59 × 10−20.2172.65 × 10−1
140.2728.16 × 10−30.9053.86 × 10−320.5983.23 × 10−30.1743.15 × 10−1
150.1461.45 × 10−10.8805.63 × 10−370.5243.04 × 10−50.4822.02 × 10−2
160.4371.92 × 10−40.8571.82 × 10−160.5302.45 × 10−60.2192.62 × 10−1
170.3215.96 × 10−130.9536.84 × 10−480.1602.43 × 10−10.1583.70 × 10−1
180.0631.66 × 10−10.3506.31 × 10−30.3628.41 × 10−20.0952.96 × 10−1
190.6914.51 × 10−160.9122.33 × 10−320.7869.24 × 10−60.3133.12 × 10−2
200.3253.96 × 10−80.7981.10 × 10−250.5668.77 × 10−50.2981.13 × 10−1
210.1817.53 × 10−30.9138.11 × 10−220.8131.06 × 10−180.3159.12 × 10−2
220.0193.40 × 10−10.9276.13 × 10−410.8278.08 × 10−110.5601.24 × 10−4
230.3001.32 × 10−130.8777.97 × 10−240.8811.76 × 10−170.3231.02 × 10−1
In fact, 87% of vehicles show for the Initial section a p-value lower than 1 × 10−11, and only two of the vehicles have an average p-value higher than 0.01, one of them being a VW engine where the EGR remained opened along with the test and the other a BMW with 2993 cm3 engine size, with only a test with a p-value higher than 0.01. In the Final section, 70% of vehicles show an average p-value lower than 1 × 10−4, so although it is a worse value than the Initial section, most of the tests show a p-value significantly lower than 0.01.
On the other hand, for the Total section, only 60% of vehicles show an average p-value lower than 0.01, and more than 50% have a p-value higher than 1 × 10−3. For the accelerated section, only one vehicle presents an average p-value lower than 0.01.
The main cause of this situation is the operation of the emissions control system of vehicles, which usually begins to act from the acceleration of vehicles in the 3rd stage. This result was expected from the hypothesis, and results for the p-value obtained in measurements confirm the statistical significance of the relationship.
The same situation is observed about the quality of the model. The R2 values for the initial section, where the influence of EGR and EATS is lower, are the best in the data set, with 82% of vehicles showing an average R2 higher than 0.85. Data from this section are well-fitted to the regression line. These values gradually worsen as the final section, the total data, and the accelerated section are checked.
To check the repeatability and consistency of the measurement method, Table A2 shows the Standard Deviation (SD), obtained from the set of measurements carried out over the vehicles tested, and Table A3 shows the Coefficient of Variation (CV) of the measures.
The Standard Deviation for NOx concentration is affected by the size of NOx emissions. As for unloaded idle, the NOx concentration is usually lower than for loaded idle, the SD values obtained for unloaded idle are lower than SD for loaded idle. The average SD for NOx concentration at the unloaded idle state was 18 ppm, while at the loaded idle state was 53 ppm.
The Standard Deviation for NOx mass flow has similar behavior to NOx concentration, usually being lower the SD NOx mass flow for unloaded idle (average of 0.32 mg/s) than SD NOx mass flow for loaded idle (average of 0.93 mg/s).
Instead, the Standard Deviation for the % engine load is more homogeneous for the whole set of vehicles. This is one of the advantages of this method: it is easy to reproduce the test conditions for the vehicle. The maximum SD reached does not exceed 6% with an average value of 2.6% for loaded idle, and the maximum value of 2.77% for unloaded idle, with an average value of 1.4%. That means that the load condition for the test was similar in all measures.
The Coefficient of Variation (CV) allows comparing the dispersion of data between several vehicles, giving another measure of the dispersion of data, calculated from the SD and the Average NOx emissions. It is useful to compare the tested vehicles, although there was a great difference in their SD values. Of course, the lower the CV, the lower the dispersion of data.
The average CV of NOx concentration was 18% for both unloaded and loaded idle (for diesel engines). For individual vehicles, the CV at unloaded and loaded idle for NOx emissions is from 3% (very satisfactory) to 53% in the worst case. These values, together with those shown above for the SD of NOx emissions, are considered as a confirmation that NOx emissions measurements are consistent, and the method proposed shows an acceptable value for the repeatability of the measures.
The average CV of NOx mass flow emissions is 16% for the unloaded idle and 17% for the loaded idle. These values are similar to the CV of NOx concentration, which gives an idea of the robustness of the results.
For the “% engine load”, the worst CV is 17%, and the average value for both states is 7%, which confirms again the homogeneity of “% engine load” data from the test, and the facility to reproduce the test conditions in the vehicles. These values, together with the values from SD, show that conditions of % engine load for the several tests were similar for the complete set of measurements at each vehicle.
Standard deviation and Coefficient of variation are, in general, lower for the Initial section. As was said previously, the reason is the inactivity of EGR and after-treatment systems at this state. The absence of influence of these elements over the NOx concentration reduces the dispersion of the values.
Table A2. Standard Deviation from measures for vehicles in static NOx test.
Table A2. Standard Deviation from measures for vehicles in static NOx test.
Idle UnloadedIdle LoadedTMV
Reference VehicleSD NOx (mg/s)SD NOx (ppm)SD % Engine LoadSD NOx (mg/s)SD NOx (ppm)SD % Engine LoadSD NOx (mg/s)SD NOx (ppm)
10.209.930.940.3114.431.050.6922.45
20.2810.500.501.1246.645.872.3186.28
30.6045.840.521.2282.822.392.71180.11
40.6127.081.920.8036.282.881.6667.02
50.6922.902.770.5619.662.561.4051.57
60.4515.842.211.4356.145.192.55103.36
70.6432.201.043.33161.022.204.34222.03
80.3014.570.770.5321.600.771.3465.53
90.136.410.320.219.991.790.4723.72
100.4037.032.230.4475.344.781.2466.80
110.4325.461.251.66100.555.114.92298.46
120.2211.592.590.2110.731.440.3922.08
130.3422.272.601.2883.484.262.38156.03
140.2614.602.751.1461.083.431.2677.07
150.2411.240.520.7434.531.211.6375.02
160.3421.881.501.3982.903.232.49146.68
170.2719.800.581.0870.091.463.48162.99
180.053.030.280.105.490.770.5531.97
190.127.801.731.4487.732.382.42158.40
200.168.101.430.6631.801.371.7487.14
210.2915.290.000.4825.440.791.1058.76
220.169.722.190.7243.414.272.72162.16
230.1116.281.770.5766.700.851.1669.97
Instead, the influence of these elements in the Final Section usually modifies NOx emissions, mostly in the 3rd and 4th stages of measurement. The way this control emission acts is different for each vehicle and engine model and depends on ECU programming, which can’t be modified or controlled by the measurement process. So, variations of the behavior of the ECU in the test give a higher difference between measurements in the final section. Finally, for unloaded idle in the Final Section, the influence of EGR and EATS can be lower, because sometimes in the 5th stage they are not acting or, if they are, they do with a lower influence than in the 4th.
For these reasons, in general, the Coefficient of Determination (R2) is higher for the Initial section than for the Final section (and of course, for Total or Accelerated), and the p-value is much lower than the significance level for the Initial section than for the Final section and the rest. It could be concluded that the Initial section data shows a better correlation between NOx concentration and “% engine load” because of the lack of outside influence. Only for vehicles with unusual EGR behavior, this conclusion could be wrong (e.g., VW engines usually keep the EGR valve open and with a more or less constant aperture throughout the test, regardless of engine speed and “% engine load”).
Table A3. The Coefficient of Variation from measures for vehicles in static NOx test.
Table A3. The Coefficient of Variation from measures for vehicles in static NOx test.
Idle UnloadedIdle LoadedTMV
Reference VehicleCV NOx (mg/s)CV NOx (ppm)CV % Eng. LoadCV NOx (mg/s)CV NOx (ppm)CV % Eng. LoadCV NOx (mg/s)CV NOx (ppm)
123.16%24.66%4.51%18.59%19.81%2.83%13.31%8.67%
215.46%13.67%2.94%21.10%20.62%17.11%14.74%12.91%
322.41%23.09%2.67%16.74%16.73%5.73%15.53%15.10%
433.16%33.27%7.95%10.23%10.39%6.18%9.14%8.31%
530.36%29.90%11.54%15.58%16.13%6.62%13.91%15.20%
612.69%11.84%9.14%13.59%13.99%9.57%12.23%13.10%
711.30%11.95%3.42%21.49%21.36%3.64%15.87%17.13%
811.05%10.56%5.12%9.85%8.27%2.48%6.37%6.37%
95.00%5.40%1.50%3.83%3.95%4.26%2.81%3.00%
108.43%18.51%10.43%5.59%20.13%10.29%6.61%8.11%
1126.07%26.44%6.56%32.34%33.13%10.89%35.79%36.75%
1213.57%14.48%15.01%12.22%13.13%3.99%8.11%9.31%
1316.64%18.09%11.63%28.15%29.99%8.17%23.11%24.87%
149.78%10.54%11.14%22.32%22.06%8.88%7.52%9.06%
1512.64%12.72%3.16%11.39%11.51%4.27%6.93%6.87%
1617.89%18.74%6.82%34.86%35.16%7.74%25.16%25.18%
177.28%9.54%3.85%14.97%17.31%3.94%13.27%11.71%
1859.63%65.04%1.27%37.90%37.30%2.03%37.12%36.48%
195.13%6.06%11.17%17.96%19.96%6.71%10.10%12.13%
206.02%6.18%9.79%11.24%10.74%3.74%8.80%8.79%
2116.68%16.80%0.00%14.87%15.09%2.04%13.25%13.47%
227.36%7.58%12.53%11.15%11.63%9.42%19.02%19.63%
234.35%11.52%8.61%5.45%11.14%1.59%4.88%5.11%

Appendix E. Results from the Comparison between NOx Measurement Methods

The data from the test of comparison between methods explained in Section 4 of the paper, are presented in Table A4, showing the average emissions. In Table A5 the statistical values to determine the dispersion of data and repeatability of the tests are summarized, and the Regression factor (R2) and p-value from Test Type 2 and Test Type 3 are indicated in Table A6 to analyze the significance of the relationship. It is important to remark that the measurement equipment does not register “% engine load” data in Test Type 1, so these data are not available.
Table A4. Results from comparison tests from chassis dyno and static method.
Table A4. Results from comparison tests from chassis dyno and static method.
Test Type 1Test Type 2Test Type 3
20 km/h50 km/h20 km/h50 km/hUnloaded IdleLoaded Idle
Test NumberNOx (ppm)% Engine LoadNOx (ppm)% Engine LoadNOx (ppm)% Engine LoadNOx (ppm)% Engine LoadNOx (ppm)% Engine LoadNOx (ppm)% Engine Load
1174.19-354.06-84.3937.12127.0627.25179.6222.19536.4949.20
2258.28-276.20-163.6730.31135.8327.09159.3320.00471.9248.41
3127.45-193.34-68.0832.62132.7127.25154.5019.72418.9951.66
4528.12-422.57-131.1638.08144.3327.70----
5194.65-234.70---------
6535.57-451.73---------
7237.03-267.94---------
Table A5. Summary of statistical values from comparison tests.
Table A5. Summary of statistical values from comparison tests.
Test Type 1Test Type 2Test Type 3
20 km/h50 km/h20 km/h50 km/hUnloaded IDLELoaded IDLE
Statistical ParametersNOx (ppm)% Engine LoadNOx (ppm)% Engine LoadNOx (ppm)% Engine LoadNOx (ppm)% Engine loadNOx (ppm)% Engine LoadNOx (ppm)% Engine Load
Min.127.45-193.34-68.0830.31127.0627.09154.519.72418.9948.41
Max.535.57-451.73-163.6738.08144.3327.70179.6222.19536.4951.66
Average293.61-314.36-111.8334.53134.9827.32164.4820.64475.849.76
Std. Dev.168.15-97.26-43.73.697.210.2613.331.3558.851.69
Coef. Var.57.27%-30.94%-39.08%10.67%5.34%0.96%8.10%6.55%12.37%3.40%
S.E.M.63.56-36.76-21.851.843.610.137.70.7833.970.98
Lower limit169-242-6931128271491940948
Upper limit418-386-15538142281802254252
Table A6. Summary of statistical significance analysis from comparison tests.
Table A6. Summary of statistical significance analysis from comparison tests.
Test Type 2Test Type 3
20 km/h50 km/hUnloaded IdleLoaded Idle
Test NumberR2p-ValueR2p-ValueR2p-ValueR2p-Value
10.1160.21410.78541.08 × 10−50.92573.53 × 10−700.92096.58 × 10−78
20.14480.16150.04540.41150.95015.53 × 10−970.46975.22 × 10−27
30.39530.03820.2210.04210.78071.16 × 10−460.07971.01 × 10−6
40.01220.67170.25080.0481----

References

  1. World Health Organization; Occupational and Environmental Health Team. WHO Air Quality Guidelines for Particulate Matter, Ozone, Nitrogen Dioxide and Sulfur Dioxide: Global Update 2005: Summary of Risk Assessment; WHO: Geneva, Switzerland, 2006. [Google Scholar]
  2. De Leeuw, F.; González Ortiz, A.; Guerreiro, C. Air Quality in Europe; 2017 Report; Publications Office of the European Union: Luxembourg, 2017; 74p. [Google Scholar] [CrossRef]
  3. Garcés, L.; Hernández, M. La Lluvia Ácida: Un Fenómeno Fisicoquímico de Ocurrencia Local. Rev. Lasallista Investig. 2004, 1, 67–72. [Google Scholar]
  4. Larssen, T.; Seip, H.M.; Semb, A.; Mulder, J.; Muniz, I.P.; Vogt, R.D.; Lydersen, E.; Angell, V.; Dagang, T.; Eilertsen, O. Acid deposition and its effects in China: An overview. Environ. Sci. Policy 1999, 2, 9–24. [Google Scholar] [CrossRef]
  5. Tan, J.; Duan, J.; He, K.; Ma, Y.; Duan, F.; Chen, Y.; Fu, J. Chemical characteristics of PM2.5 during a typical haze episode in Guangzhou. J. Environ. Sci. 2009, 21, 774–781. [Google Scholar] [CrossRef]
  6. Carslaw, D.C.; Beevers, S.D.; Tate, J.E.; Westmoreland, E.J.; Williams, M. Recent evidence concerning higher NOx emissions from passenger cars and light duty vehicles. Atmos. Environ. 2011, 45, 7053–7063. [Google Scholar] [CrossRef]
  7. Williams, M.L.; Carslaw, D.C. New Directions: Science and policy—Out of step on NOx and NO2? Atmos. Environ. 2011, 45, 3911–3912. [Google Scholar] [CrossRef]
  8. Hoekman, S.K.; Robbins, C. Review of the effects of biodiesel on NOx emissions. Fuel Process. Technol. 2012, 96, 237–249. [Google Scholar] [CrossRef]
  9. Hooftman, N.; Messagie, M.; Van Mierlo, J.; Coosemans, T. A review of the European passenger car regulations—Real driving emissions vs local air quality. Renew. Sustain. Energy Rev. 2018, 86, 1–21. [Google Scholar] [CrossRef]
  10. Reşitoğlu, A.; Altinişik, K.; Keskin, A. The pollutant emissions from diesel-engine vehicles and exhaust aftertreatment systems. Clean Technol. Environ. Policy 2014, 17, 15–27. [Google Scholar] [CrossRef] [Green Version]
  11. Lee, T.; Park, J.; Kwon, S.; Lee, J.; Kim, J. Variability in operation-based NOx emission factors with different test routes, and its effects on the real-driving emissions of light diesel vehicles. Sci. Total Environ. 2013, 461–462, 377–385. [Google Scholar] [CrossRef]
  12. Wang, X.; Westerdahl, D.; Hu, J.; Wu, Y.; Yin, H.; Pan, X.; Zhang, K.M. On-road diesel vehicle emission factors for nitrogen oxides and black carbon in two Chinese cities. Atmos. Environ. 2011, 46, 45–55. [Google Scholar] [CrossRef]
  13. O’Driscoll, R.; Stettler, M.; Molden, N.; Oxley, T.; ApSimon, H.M. Real world CO2 and NOx emissions from 149 Euro 5 and 6 diesel, gasoline and hybrid passenger cars. Sci. Total Environ. 2018, 621, 282–290. [Google Scholar] [CrossRef]
  14. Pujadas, M.; Domínguez-Sáez, A.; De la Fuente, J. Real-driving emissions of circulating Spanish car fleet in 2015 using RSD Technology. Sci. Total Environ. 2017, 576, 193–209. [Google Scholar] [CrossRef] [PubMed]
  15. Hausberger, S.; Rexeis, M.; Zallinger, M.; Luz, R. Emission Factors from the Model PHEM for the HBEFA Version 3; Report 2009, Nr. I-20/2, 76; University of Technology: Graz, Austria, 2009. [Google Scholar]
  16. Triantafyllopoulos, G.; Dimaratos, A.; Ntziachristos, L.; Bernard, Y.; Dornoff, J.; Samaras, Z. A study on the CO2 and NOx emissions performance of Euro 6 diesel vehicles under various chassis dynamometer and on-road conditions including latest regulatory provisions. Sci. Total Environ. 2019, 666, 337–346. [Google Scholar] [CrossRef] [PubMed]
  17. Ramos, A.; Muñoz, J.; Andrés, F.; Armas, O. NOx emissions from diesel light duty vehicle tested under NEDC and real-word driving conditions. Transp. Res. Part D Transp. Environ. 2018, 63, 37–48. [Google Scholar] [CrossRef]
  18. Weiss, M.; Bonnel, P.; Kühlwein, J.; Provenza, A.; Lambrecht, U.; Alessandrini, S.; Carriero, M.; Colombo, R.; Forni, F.; Lanappe, G.; et al. Will Euro 6 reduce the NOx emissions of new diesel cars?—Insights from on-road tests with Portable Emissions Measurement Systems (PEMS). Atmos. Environ. 2012, 62, 657–665. [Google Scholar] [CrossRef]
  19. Pielecha, J.; Merkisz, J.; Markowski, J.; Jasiński, R. Analysis of Passenger Car Emission Factors in RDE Tests. E3S Web Conf. 2016, 10, 73. [Google Scholar] [CrossRef] [Green Version]
  20. Franco, V.; Mock, P. ICCT Real Driving Emissions: Challenges to Regulating Diesel Engines in Europe. In Proceedings of the Anil Agarwal Dialogue, New Delhi, India, 11–12 March 2015; p. 33. [Google Scholar]
  21. Chen, Y.; Borken-Kleefeld, J. Real-driving emissions from cars and light commercial vehicles—Results from 13 years remote sensing at Zurich/CH. Atmos. Environ. 2014, 88, 157–164. [Google Scholar] [CrossRef]
  22. Franco, V.; Posada Sánchez, F.; German, J.; Mock, P. ICCT Real-World Exhaust Emissions from Modern Diesel Cars: A Meta-Analysis of PEMS Emissions Data from EU (Euro 6) and US (Tier 2 Bin 5/ULEV II) Diesel Passenger Cars; Part 1: Aggregated Results; International Council on Clean Transportation (ICCT): Berlin, Germany, 2014. [Google Scholar]
  23. Degraeuwe, B.; Weiss, M. Does the New European Driving Cycle (NEDC) really fail to capture the NOX emissions of diesel cars in Europe? Environ. Pollut. 2016, 222, 234–241. [Google Scholar] [CrossRef] [PubMed]
  24. Rexeis, M.; Hausberger, S.; Kühlwein, J.; Luz, R. Update of Emission Factors for EURO 5 and EURO 6 Vehicles for the HBEFA Version 3.3.; Report No. I-31/2013/Rex EM-I 2011/20/679; University of Technology: Graz, Austria, 2013; Volume 43, pp. 1–31. [Google Scholar]
  25. Poliscanova, J. Diesel, the True (Dirty) Story; Transport & Environment: Brussels, Belgium, 2017; 63p, Available online: https://www.transportenvironment.org/wp-content/uploads/2021/07/2017_09_Diesel_report_final.pdf (accessed on 2 December 2021).
  26. Yang, L.; Franco, V.; Campestrini, A.; German, J.; Mock, P. NOx Control Technologies for Euro 6 Diesel Passenger Cars: Market Penetration and Experimental Performance Assessment; ICCT White Paper; International Council on Clean Transportation (ICCT): Berlin, Germany, 2015; 29p. [Google Scholar]
  27. European Commission. Commission Regulation (EU) 2017/1151 of 1 June 2017. Off. J. Eur. Union 2017, L175, 1–643. Available online: https://eur-lex.europa.eu/legal-content/EN/TXT/PDF/?uri=CELEX:32017R1151&from=ES (accessed on 2 December 2021).
  28. European Commission. Commission Regulation (EU) 2017/1154 of 7 June 2017. Off. J. Eur. Union 2017, L175, 708–732. Available online: https://eur-lex.europa.eu/legal-content/EN/TXT/PDF/?uri=CELEX:32017R1154&from=ES (accessed on 2 December 2021).
  29. Söderena, P.; Laurikko, J.; Weber, C.; Tilli, A.; Kuikka, K.; Kousa, A.; Väkevä, O.; Venho, A.; Haaparanta, S.; Nuottimäki, J. Monitoring Euro 6 Diesel Passenger Cars NOx Emissions for One Year in Various Ambient Conditions with PEMS and NOx Sensors. Sci. Total Environ. 2020, 746, 140971. [Google Scholar] [CrossRef]
  30. European Commission. Commission Regulation (EU) 2017/1347 of 13 July 2017. Off. J. Eur. Union 2017, L192, 1–22. Available online: https://eur-lex.europa.eu/legal-content/EN/TXT/PDF/?uri=CELEX:32017R1347&from=ES (accessed on 2 December 2021).
  31. Zhang, Y.I.; Stedman, D.H.; Bishop, G.A.; Guenther, P.L.; Beaton, S.P. Worldwide On-Road Vehicle Exhaust Emissions Study by Remote Sensing. Environ. Sci. Technol. 1995, 29, 2286–2294. [Google Scholar] [CrossRef]
  32. European Commission. Roadworthiness Package Commission Staff Working Paper; European Commission Impact Assessment SWD(2012) 206 Final; European Commission: Brussels, Belgium, 2012. [Google Scholar]
  33. International Motor Vehicle Inspection Committee (CITA). CITA AUTOFORE: Study on the Future Options for Roadworthiness Enforcement in the European Union. 2007. Available online: https://citainsp.org/wp-content/uploads/2016/01/Autofore_Final_report_without_links.pdf (accessed on 2 December 2021).
  34. European Commission. Road Safety: The Roadworthiness Package—Tougher Vehicle Checks to Save Lives. Spokespersons’ Service, 9p. 2012. Available online: https://ec.europa.eu/commission/presscorner/api/files/document/print/en/memo_12_555/MEMO_12_555_EN.pdf (accessed on 2 December 2021).
  35. The Council of the European Communities. European Parliament Directive 2014/45/EU of 3 April 2014 on Periodic Roadworthiness Tests for Motor Vehicles and Their Trailers and Repealing Directive 2009/40/EC. Off. J. Eur. Union 2014, 127, 51–128. [Google Scholar]
  36. Gobierno de España. Real Decreto 920/2017 Por El Que Se Regula La Inspección Técnica de Vehículos. Boletín Oficial del Estado 2017, 271, 107068–107133, BOE-A-2012-5403. [Google Scholar]
  37. Ministerio de Industria, Comercio y Turismo, Gobierno de Espana. Manual de Procedimiento de Inspeccion de Estaciones ITV; Versión 7.4.1; Catálogo de Publicaciones de la Administración General del Estado; Ministerio de Industria, Comercio y Turismo, Gobierno de Espana: Madrid, Spain, 2020; 654p.
  38. Boulter, P.; Buekenhoudt, P.; Stricker, P.; Mäurer, H.-J.; Nolte, C.; Ost, T.; Schulz, W.H.; Witz, K.-U.; Afflerbach, G.; Förster, C.; et al. TEDDIE: A New Roadworthiness Emission Test for Diesel Vehicles Involving NO, NO2 and PM Measurements; Final Report; International Motor Vehicle Inspection Committee (CITA): Brussels, Belgium, 2011; 105p. [Google Scholar]
  39. Barlow, T.; Müller, G.; Mäurer, H.J.; Buekenhoudt, P.; Schulz, W.H.; Geis, I.; Multari, A.; Petelet, G. CITA PROJECT: SET–Sustainable Emissions Test; Final Report; International Motor Vehicle Inspection Committee (CITA): Brussels, Belgium, 2015; 103p. [Google Scholar]
  40. Buekenhoudt, P.; Müller, G.; Mäurer, H.J.; Sánchez González, A.; Stephenson, J.; Multari, A.; Petelet, G.; Schulz, W.H. CITA SET II Project Final Report; International Motor Vehicle Inspection Committee (CITA): Brussels, Belgium, 2019. [Google Scholar]
  41. Buekenhoudt, P.; Müller, G.; Mäurer, H.J.; Sánchez González, A.; Stephenson, J.; Multari, A.; Petelet, G.; Schulz, W.H. CITA SET II Project Annexes to the Final Report; International Motor Vehicle Inspection Committee (CITA): Brussels, Belgium, 2019. [Google Scholar]
  42. Verbeek, R.; Vermeulen, R.; Vonk, W.; Dekker, H. Real World NOx Emissions of Euro V Vehicles; TNO Report; TNO: Delft, The Netherlands, 2010. [Google Scholar]
  43. The Council of the European Communities. Directive 72/306/EEC of 2 August 1972 on the Approximation of the Laws of the Member States Relating to the Measures to Be Taken against the Emission of Pollutants from Diesel Engines for Use in Vehicles. Off. J. Eur. Communities 1972, 190, 889–908. [Google Scholar]
  44. Samaras, Z.; Zachariadis, T. The Inspection of In-Use Cars in Order to Attain Minimum Emissions of Pollutants and Optimum Energy Efficiency; LAT Report 9502; Laboratory of Applied Thermodynamics/Aristotle University Thessaloniki (LAT): Thessaloniki, Greece, 1995; 45p. [Google Scholar]
  45. Norris, J. Low Emission Diesel Research CP17/18/770 Phase 3-Report; AEA Technology: Didcot, UK, 2005; 33p. Available online: https://www.transportoffice.gov.uk/crt/repository/Low%20Emission%20Diesel%20Research%20-%20Annex%201.pdf (accessed on 2 December 2021).
  46. Anyon, P.; Beville-Anderson, J.; Brown, S.; Bryett, C.; Pattison, D.; Mowle, M.; Walls, G. Proposed Diesel Vehicle Emissions National Environment Protection Measure Preparatory Work: In-Service Emissions Performance - Drive Cycles; National Environment Protection Council Service Corporation: Adelaida, Australia, 2000; Volume 1, ISBN 0642323348.
  47. United States Environmental Protection Agency (EPA). Acceleration Simulation Mode Test Procedures, Emission Standards, Quality Control Requirements, and Equipment Specifications—Final Technical Guidance (EPA-420-B-04-011, July 2004). 2004. Available online: https://nepis.epa.gov/Exe/ZyPURL.cgi?Dockey=P10006DI.TXT (accessed on 2 December 2021).
  48. International Organization for Standardization (ISO). Technical Committee: ISO/TC 22 Road Vehicles ISO 7644:1988 Road Vehicles—Measurement of Opacity of Exhaust Gas from Compression-Ignition (Diesel) Engines—Lug-Down Test; International Organization for Standardization (ISO): Geneva, Switzerland, 1988; Available online: https://www.iso.org/standard/14461.html (accessed on 2 December 2021).
  49. The Council of the European Communities. Directive 70/220/EEC of 20 March 1970 on the Approximation of the Laws of the Member States Relating to Measures to Be Taken against Air Pollution by Gases from Positive-Ignition Engines of Motor Vehicles; European Commission: Brussels, Belgium, 1970; 76p. [Google Scholar]
  50. Pidgeon, W.M.; Sampson, D.J.; Burgage IV, P.H.; Landman, L.C.; Clemmens, W.B.; Herzog, E.; Brzezinski, D.J.; Sosnowski, D. Evaluation of a Four-Mode Steady-State Test with Acceleration Simulation Modes as an Alternative Inspection and Maintenance Test for Enhanced I/M Programs; Environmental Protection Agency: Ann Arbor, MI, USA, 1993.
  51. Gieseke, J.; Gerbrandy, G.-J. Working Document No. 11 on the Inquiry into Emission Measurements in the Automotive Sector –Appendix D: Timeline; Committee of Inquiry into Emission Measurements in the Automotive Sector: Brussels, Belgium, 2016; 13p. [Google Scholar]
  52. European Parliament; Council of the European Union. Regulation (EC) No 443/2009 of 23 April 2009 Setting Emission Performance Standards for New Passenger Cars as Part of the Community’s Integrated Approach to Reduce CO2 Emissions from Light-Duty Vehicles. Off. J. Eur. Communities 2009, 140, 1–15. [Google Scholar]
  53. European Commission. Commission Regulation (EU) 2016/427 of 10 March 2016 Amending Regulation (EC) No 692/2008 as Regards Emissions from Light Passenger and Commercial Vehicles (Euro 6). Off. J. Eur. Communities 2016, 82, 1–98. [Google Scholar]
  54. European Commission. Commission Regulation (EU) 2016/646 of 20 April 2016 Amending Regulation (EC) No 692/2008 as Regards Emissions from Light Passenger and Commercial Vehicles (Euro 6). Off. J. Eur. Communities 2016, 109, 1–22. [Google Scholar]
  55. André, M. The ARTEMIS European Driving Cycles for Measuring Car Pollutant Emissions. Sci. Total Environ. 2004, 334–335, 73–84. [Google Scholar] [CrossRef] [PubMed]
  56. Zeldovich, J. The Oxidation of Nitrogen in Combustion and Explosions. Eur. Phys. J. 1946, 21, 577–628. [Google Scholar]
  57. Fenimore, C.P.; Jones, G.W. Nitric Oxide Decomposition at 2200–2400K. J. Phys. Chem. 1957, 61, 654–657. [Google Scholar] [CrossRef]
  58. Fonseca González, N.E. Aspectos de la Medición Dinámica Instantánea de Emisiones de Motores. Aplicación al Desarrollo de Un Equipo Portátil y Una Metodología Para Estudios de Contaminación de Vehículos En Tráfico Real; Sección de Publicaciones de la Escuela Técnica Superior de Ingenieros Industriales Universidad Politécnica de Madrid: Madrid, Spain, 2012. [Google Scholar]
  59. Gallus, J.; Kirchner, U.; Vogt, R.; Benter, T. Impact of Driving Style and Road Grade on Gaseous Exhaust Emissions of Passenger Vehicles Measured by a Portable Emission Measurement System (PEMS). Transp. Res. Part D Transp. Environ. 2017, 52, 215–226. [Google Scholar] [CrossRef]
  60. Nam, E.K. Understanding and Modeling NOx Emissions from Air Conditioned Automobiles; SAE Technical Paper; Society of Automotive Engineer (SEA): Detroit, MI, USA, 2000. [Google Scholar] [CrossRef]
  61. Mock, P.; German, J. The Future of Vehicle Emissions Testing and Complance: How to Align Regulatory Requirements, Customer Expectations, and Environmental Performance in the European Union; ICCT White Paper; International Council on Clean Transportation (ICCT): Berlin, Germany, 2015; 36p. [Google Scholar]
  62. European Commission. Directive 2010/48/EU on Roadworthiness Tests for Motor Vehicles and Their Trailers. Off. J. Eur. Communities 2010, L173, 47–72. [Google Scholar]
  63. European Parliament; The Council of the European Communities. DIRECTIVE 2009/40/EC on Roadworthiness Tests for Motor Vehicles and Their Trailers; European Parliament; The Council of the European Communities: Brussels, Belgium, 2009. [Google Scholar]
  64. International Organization for Standardization (ISO). ISO 15031-5:2006 Road Vehicles—Communication between Vehicle and External Equipment for Emissions Related Diagnosis, Part 5: Emissions-Related Diagnostic Services; International Organization for Standardization (ISO): Geneva, Switzerland, 2006; 185p. [Google Scholar]
  65. Joint Committee for Guides in Metrology. W.G. 1 (JCGM/WG 1) JCGM 100:2008 GUM 1995 with Minor Corrections, Evaluation of Measurement Data—Guide to the Expression of Uncertainty in Measurement; Joint Committee for Guides in Metrology: Paris, France, 2008; Volume 50. [Google Scholar]
  66. Dallmann, T.; Bernard, Y.; Tietge, U.; Muncrief, R. Remote Sensing of Motor Vehicle Exhaust Emissions in London; The Real Urban Emissions Initiative: London, UK, 2018; 34p. [Google Scholar]
  67. Dallmann, T.; Bernard, Y.; Tietge, U.; Muncrief, R. Remote Sensing of Motor Vehicle Emissions in Paris; The Real Urban Emissions Initiative: London, UK, 2019; 44p. [Google Scholar]
  68. Bernard, Y.; Tietge, U.; German, J.; Muncrief, R. Determination of Real-World Emissions from Passenger Vehicles Using Remote Sensing Data; The Real Urban Emissions Initiative: London, UK, 2018. [Google Scholar]
  69. Boulter, P.G.; Barlow, T.; Mccrae, I.S.; Latham, S. OSCAR: On-Board Emission Measurements in Central London; Transport Research Laboratory: Wokingham, UK, 2006; 26p. [Google Scholar]
  70. Mera, Z.; Fonseca, N.; López, J.M.; Casanova, J. Analysis of the High Instantaneous NOx Emissions from Euro 6 Diesel Passenger Cars under Real Driving Conditions. Appl. Energy 2019, 242, 1074–1089. [Google Scholar] [CrossRef]
  71. Chen, Y.; Borken-Kleefeld, J. NOx Emissions from Diesel Passenger Cars Worsen with Age. Environ. Sci. Technol. 2016, 10, 3327–3332. [Google Scholar] [CrossRef] [PubMed] [Green Version]
  72. Chong, J.J.; Tsolakis, A.; Gill, S.S.; Theinnoi, K.; Golunski, S.E. Enhancing the NO2/NOx Ratio in Compression Ignition Engines by Hydrogen and Reformate Combustion, for Improved Aftertreatment Performance. Int. J. Hydrog. Energy 2010, 35, 8723–8732. [Google Scholar] [CrossRef]
  73. European Parliament; The Council of the European Union. Directive 98/69/EC of the European Parliament and of the Council of 13 October 1998 Relating to Measures to Be Taken against Air Pollution by Emissions from Motor Vehicles and Amending Council Directive 70/220/EEC. Off. J. Eur. Communities 1998, L350, 1–56. [Google Scholar]
  74. Vu, D.; Szente, J.; Loos, M.; Maricq, M. How Well Can MPEMS Measure Gas Phase Motor Vehicle Exhaust Emissions? SAE Technical Paper 2020-01-0369; Society of Automotive Engineer (SEA): Detroit, MI, USA, 2020. [Google Scholar] [CrossRef]
  75. Bonnel, P.; Brunella, A.; Carriero, M.; Fumagalli, I.; Kubelt, J.; Manfredi, U.; Montigny, F.; Hummel, R.; Krasenbrink, A.; de Santi, G. European Project on Portable Emissions Measurement Systems: “EU-PEMS” Project; European Commision, Joint Research Centre; Institute for Environment and Sustainability: Ispra, Italy, 2006; 34p. [Google Scholar]
  76. Ladommatos, N.; Abdelhalim, S.; Zhao, H. Control of Oxides of Nitrogen from Diesel Engines Using Diluents While Minimising the Impact on Particulate Pollutants. Appl. Therm. Eng. 1998, 18, 963–980. [Google Scholar] [CrossRef]
  77. Flagan, R.C.; Seinfeld, J.H. Pollutant Formation and Control in Combustion. i Fundamentals of Air Pollution Engineering; Prentice-Hall: Englewood Cliffs, NJ, USA, 1988. [Google Scholar]
Figure 1. NOx test for Euro 6 vehicle No. 20.
Figure 1. NOx test for Euro 6 vehicle No. 20.
Sustainability 13 13424 g001
Figure 2. NOx emission mass flow − “% engine load” linear regression function (left plot); NOx concentration − “% engine load” linear regression function (right plot).
Figure 2. NOx emission mass flow − “% engine load” linear regression function (left plot); NOx concentration − “% engine load” linear regression function (right plot).
Sustainability 13 13424 g002
Figure 3. Results for the set of static NOx tests for Vehicle No. 20 (NOx concentration left axis, NOx mass flow right axis).
Figure 3. Results for the set of static NOx tests for Vehicle No. 20 (NOx concentration left axis, NOx mass flow right axis).
Sustainability 13 13424 g003
Figure 4. NOx emissions average values ordered according to the TMV flow (mg/s) (Euro 4, Euro 5, and Euro 6 diesel vehicles).
Figure 4. NOx emissions average values ordered according to the TMV flow (mg/s) (Euro 4, Euro 5, and Euro 6 diesel vehicles).
Sustainability 13 13424 g004
Figure 5. Data from dynamic ASM 2050 test cycle Test Type 2.
Figure 5. Data from dynamic ASM 2050 test cycle Test Type 2.
Sustainability 13 13424 g005
Figure 6. Data plot from static NOx test cycle Test Type 3.
Figure 6. Data plot from static NOx test cycle Test Type 3.
Sustainability 13 13424 g006
Table 1. Vehicle working variables affecting NOx emissions in a dynamic and static test.
Table 1. Vehicle working variables affecting NOx emissions in a dynamic and static test.
TypeVariableOrigin of VariableDynamic TestStatic Test
EndogenousEngine speedOperationalYesNo
Gear engagedOperationalYesNo
Power demandOperationalYesNo
Engine temperatureOperationalYesNo
EGR strategyECUYesYes
EATS strategyECUYesYes
% engine loadECUYesNo
Throttle settingOperationalYesNo
Injection pressureOperationalYesNo
ExogenousTraffic congestionRoadYesNo
VSPVehicleYesNo
Road conditionRoadYesNo
Road gradeRoadYesNo
Driving styleDriverYesNo
Fuel compositionVehicleYesYes
TemperatureEnvironmentalYesYes
Atmospheric pressureEnvironmentalYesYes
HumidityEnvironmentalYesYes
Aerodynamic dragVehicleYesNo
PayloadVehicleYesNo
Mechanical conditionsVehicleYesNo
SpeedDriverYesNo
AccelerationDriverYesNo
Table 2. Engine running conditions for the test cycle.
Table 2. Engine running conditions for the test cycle.
Stage 1: UnloadedStage 2: LoadedStage 3: Loaded & AcceleratedStage 4: LoadedStage 5: Unloaded
Engine stateOnOnOnOnOn
Engine rotation speedNatural idle speedNatural idle speed>2000 rpm <3000 rpmNatural idle speedNatural idle speed
Vehicle extra load equipmentDisconnectedConnectedConnectedConnectedDisconnected
% Engine load value<25% *>25% *Irrelevant>25% *<25% *
(*) Reference values, depending on the vehicle.
Table 3. Average measures in static NOx test for Euro 6 vehicle No. 20 registered through the Gas Analyzer and the OBD system.
Table 3. Average measures in static NOx test for Euro 6 vehicle No. 20 registered through the Gas Analyzer and the OBD system.
Engine Speed (rpm)NOx Conc. (ppm)“% Engine Load”% EGR Aperture Engine Temp. (°C)
Idle UnloadedAv.750136132177
Max.774178244379
Idle LoadedAv.750306363077
Max.755481373179
Loaded & AcceleratedAv.2157147105676
Max.2203200126376
Table 4. Summary of final results in static NOx test for Euro 6 vehicle Nr. 20.
Table 4. Summary of final results in static NOx test for Euro 6 vehicle Nr. 20.
NOx (mg/s)NOx (ppm)“% Engine Load”
Avg. Idle Unloaded2.7213613
Avg. Idle Loaded6.1030636
Maximum value Read9.5948137
TMV21.841096100
Table 5. Standard uncertainty associated with measurements and type of data.
Table 5. Standard uncertainty associated with measurements and type of data.
VariableUnitsInstantaneousAverageExtrapolation
NOx concentrationppm±4% ±4% ±8%
NOx mass flowmg/s±8% ±4% ±8%
% Engine load%±1%±2% -
Engine speedrpm±1% ±2% -
% EGR aperture%±1%±2% -
Engine Temperature °C±1% ±2% -
Table 6. Summary of results for the set of static NOx tests for Vehicle No. 20.
Table 6. Summary of results for the set of static NOx tests for Vehicle No. 20.
Idle UnloadedIdle LoadedTMV
Test NumberNOx (mg/s)NOx (ppm)“% Engine Load”NOx (mg/s)NOx (ppm)“% Engine Load”NOx (mg/s)NOx (ppm)
12.67133165.942963918.29912
22.27114167.553803523.041155
32.83142165.432733619.57982
42.51126145.652843718.90949
52.53127145.722873719.15958
62.46124145.682853618.90950
72.63132135.872943620.301018
82.66133135.922973520.591032
92.72136136.103063621.841096
102.84142156.043033620.611034
Table 7. Statistical parameters from the static NOx tests for Vehicle No. 20.
Table 7. Statistical parameters from the static NOx tests for Vehicle No. 20.
Idle UnloadedIdle LoadedTMV
Statistical ParametersNOx (mg/s)NOx (ppm)“% Engine Load”NOx (mg/s)NOx (ppm)“% Engine Load”NOx (mg/s)NOx (ppm)
Min.2.271141352513517.09860
Max.2.83142177.553803923.041155
Average2.5913114.645.8929636.5519.77991
Standard Deviation0.168.101.430.6631.801.371.7487.14
Coef. of Variation6.02%6.18%9.79%11.24%10.74%3.74%8.80%8.79%
Std. Error Mean0.052.440.430.219.590.410.5527.56
Lower limit2.50126.2113.795.48277.2135.7418.69937.19
Upper limit2.69135.7915.486.30314.7937.3520.851045.21
Table 8. Set of vehicles and engines analyzed, ordered by emissions level.
Table 8. Set of vehicles and engines analyzed, ordered by emissions level.
Reference VehicleVehicle ManufacturerModelEngine ManufacturerEngine ModelEngine Size (cm3)Engine Power (kW)Emissions Level
1SEATLeonVolkswagenARL1896110Euro 3
2VolvoV50PSAD4204T1997100Euro 4
3Alfa RomeoMitoFIAT19981000124870Euro 4
4AudiA4AudiCAG1968100Euro 4
5BMW330DBMW306D32993170Euro 4
6BMW535dBMW306D52993210Euro 4
7Peugeot407PeugeotRHR1997100Euro 4
8VolkswagenPassatVolkswagenBKP1968103Euro 4
9SkodaOctaviaVolkswagenBKD1968103Euro 4
10AudiA5AudiCGKA2698140Euro 5
11CitroënBerlingoCitroën9H06156066Euro 5
12VolkswagenTouranVolkswagenCFH1968103Euro 5
13Hyundaii30HyundaiD4FB158281Euro 5
14SEATLeonVolkswagenBLS189677Euro 5
15OpelInsigniaGMPTEA20DTH1956118Euro 5
16NissanJukeRenaultK9K146181Euro 5
17OpelAstraGMA17DTS168681Euro 5
18RenaultFluenceRenaultH4M D7159884Euro 6
19RenaultTalismanRenaultR9M E4159896Euro 6
20Peugeot BoxerPeugeotAH03199796Euro 6
21SkodaSuperbVolkswagenCRL1968110Euro 6
22KiaSportageKiaD4FD168585Euro 6
23CitroënC4 PicassoCitroënBH01156088Euro 6
Table 9. Average NOx emissions for the Unloaded and Loaded state, and TMV from static NOx tests for the analyzed vehicles.
Table 9. Average NOx emissions for the Unloaded and Loaded state, and TMV from static NOx tests for the analyzed vehicles.
Idle UnloadedIdle LoadedTMV
Reference VehicleNOx (mg/s)NOx (ppm)“% Engine Load”NOx (mg/s)NOx (ppm)“% Engine Load”NOx (mg/s)NOx (ppm)
10.8740211.6573375.15259
21.8077175.292263415.67668
32.70199197.304954217.441193
41.8381247.833494718.20806
52.2877243.601223910.08339
63.511342410.564015420.85789
75.652693015.517546027.311296
82.74138155.392613121.011028
92.52119215.372534216.77790
104.74200217.923744618.82824
111.6496195.143044713.76812
121.6580171.6882364.85237
132.04123224.562785210.30627
142.65139255.092773916.72851
151.9188166.463002823.571093
161.88117223.98236429.90582
173.71208157.234053726.261392
180.085220.2515371.48388
192.35129168.014403623.931306
202.59131155.892963719.77991
211.7391223.22169398.31436
222.22128176.473734514.29826
232.451412110.525995323.681368
Table 10. Main differences between dynamic and static tests.
Table 10. Main differences between dynamic and static tests.
Dynamic TestStatic Test
EquipmentComplexSimple
ProcedureComplexSimple
“% engine load”LowMedium
RepeatabilityLowHigh
Results dispersionHighLow
Relation “% engine load”—NOxLowHigh
Publisher’s Note: MDPI stays neutral with regard to jurisdictional claims in published maps and institutional affiliations.

Share and Cite

MDPI and ACS Style

Fernández, E.; Valero, A.; Alba, J.J.; Ortego, A. A New Approach for Static NOx Measurement in PTI. Sustainability 2021, 13, 13424. https://doi.org/10.3390/su132313424

AMA Style

Fernández E, Valero A, Alba JJ, Ortego A. A New Approach for Static NOx Measurement in PTI. Sustainability. 2021; 13(23):13424. https://doi.org/10.3390/su132313424

Chicago/Turabian Style

Fernández, Eugenio, Alicia Valero, Juan José Alba, and Abel Ortego. 2021. "A New Approach for Static NOx Measurement in PTI" Sustainability 13, no. 23: 13424. https://doi.org/10.3390/su132313424

APA Style

Fernández, E., Valero, A., Alba, J. J., & Ortego, A. (2021). A New Approach for Static NOx Measurement in PTI. Sustainability, 13(23), 13424. https://doi.org/10.3390/su132313424

Note that from the first issue of 2016, this journal uses article numbers instead of page numbers. See further details here.

Article Metrics

Back to TopTop